Monte Carlo-Based Performance Analysis for Underwater Continuous-Variable Quantum Key Distribution
Abstract
1. Introduction
2. Monte Carlo-Based Channel Parameter Characteristics Analysis
2.1. Underwater Channel Modeling Based on Monte Carlo
2.2. Transmittance Analysis
2.3. Detection Efficiency Analysis
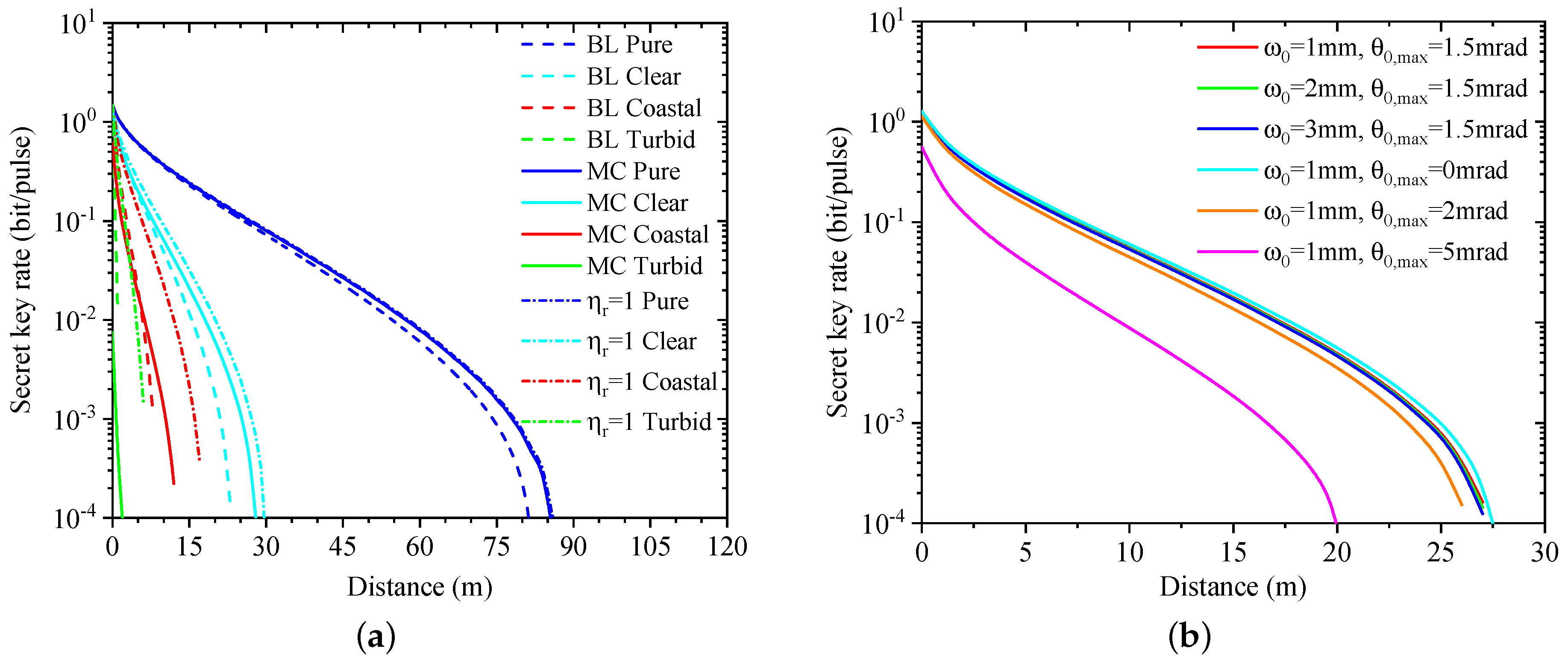
3. Performance Analysis for Underwater CVQKD
4. Discussion and Conclusions
Author Contributions
Funding
Conflicts of Interest
Abbreviations
| CVQKD | Continuous-variable Quantum key Distribution |
| MC | Monte Carlo |
| BL | Beer’s law |
| LO | Local oscillator |
| FOV | Field of view |
| RTE | Radiative transfer equation |
Appendix A. Major Processes in Monte Carlo Simulation
References
- Lanzagorta, M. Underwater communications. Synth. Lect. Commun. 2012, 5, 1–129. [Google Scholar] [CrossRef]
- Zeng, Z.; Fu, S.; Zhang, H.; Dong, Y.; Cheng, J. A survey of underwater optical wireless communications. IEEE Commun. Surv. Tutor. 2016, 19, 204–238. [Google Scholar] [CrossRef]
- Khalighi, M.A.; Gabriel, C.; Hamza, T.; Bourennane, S.; Leon, P.; Rigaud, V. Underwater wireless optical communication; recent advances and remaining challenges. In Proceedings of the 2014 16th International Conference on Transparent Optical Networks (ICTON), Graz, Austria, 6–10 July 2014; pp. 1–4. [Google Scholar]
- Kong, M.; Wang, J.; Chen, Y.; Ali, T.; Sarwar, R.; Qiu, Y.; Wang, S.; Han, J.; Xu, J. Security weaknesses of underwater wireless optical communication. Opt. Express 2017, 25, 21509–21518. [Google Scholar] [CrossRef] [PubMed]
- Pljonkin, A.P.; Gupta, B.B.; Rumyantsev, K.E.; Korovin, I.; Schaefer, G. Features of detection of a single-photon pulse at synchronisation in quantum key distribution systems. In Proceedings of the 2017 6th International Conference on Informatics, Electronics and Vision & 2017 7th International Symposium in Computational Medical and Health Technology (ICIEV-ISCMHT), Himeji, Japan, 1–3 September 2017; pp. 1–5. [Google Scholar]
- Pljonkin, A. Vulnerability of the synchronization process in the quantum key distribution system. Int. J. Cloud Appl. Comput. 2019, 9, 50–58. [Google Scholar] [CrossRef]
- Hill, A.D.; Christensen, B.; Kwiat, P.G. Advanced techniques for free-space optical quantum cryptography over water. In Proceedings of the Free-Space Laser Communication and Atmospheric Propagation XXVIII, San Francisco, CA, USA, 15–16 February 2016; Volume 9739, p. 973911. [Google Scholar]
- Ji, L.; Gao, J.; Yang, A.L.; Feng, Z.; Lin, X.F.; Li, Z.G.; Jin, X.M. Towards quantum communications in free-space seawater. Opt. Express 2017, 25, 19795–19806. [Google Scholar] [CrossRef]
- Tarantino, S.; Da Lio, B.; Cozzolino, D.; Bacco, D. Feasibility of Quantum Communications in Aquatic Scenarios. Optik 2020, 216, 164639. [Google Scholar] [CrossRef]
- Qi, B.; Huang, L.L.; Qian, L.; Lo, H.K. Experimental study on the Gaussian-modulated coherent-state quantum key distribution over standard telecommunication fibers. Phys. Rev. A 2007, 76, 052323. [Google Scholar] [CrossRef]
- Bennett, C.H.; Brassard, G. Quantum cryptography: Public key distribution and coin tossing. Theor. Comput. Sci. 2014, 560, 7–11. [Google Scholar] [CrossRef]
- Xu, F.; Curty, M.; Qi, B.; Qian, L.; Lo, H.K. Discrete and continuous variables for measurement-device-independent quantum cryptography. Nat. Photonics 2015, 9, 772–773. [Google Scholar] [CrossRef]
- Grosshans, F.; Grangier, P. Continuous variable quantum cryptography using coherent states. Phys. Rev. Lett. 2002, 88, 057902. [Google Scholar] [CrossRef]
- Lance, A.M.; Symul, T.; Sharma, V.; Weedbrook, C.; Ralph, T.C.; Lam, P.K. No-switching quantum key distribution using broadband modulated coherent light. Phys. Rev. Lett. 2005, 95, 180503. [Google Scholar] [CrossRef] [PubMed]
- Gong, L.H.; Song, H.C.; He, C.S.; Liu, Y.; Zhou, N.R. A continuous variable quantum deterministic key distribution based on two-mode squeezed states. Phys. Scr. 2014, 89, 035101. [Google Scholar] [CrossRef]
- Guo, Y.; Liao, Q.; Wang, Y.; Huang, D.; Huang, P.; Zeng, G. Performance improvement of continuous-variable quantum key distribution with an entangled source in the middle via photon subtraction. Phys. Rev. A 2017, 95, 032304. [Google Scholar] [CrossRef]
- Chi, Y.M.; Qi, B.; Zhu, W.; Qian, L.; Lo, H.K.; Youn, S.H.; Lvovsky, A.; Tian, L. A balanced homodyne detector for high-rate Gaussian-modulated coherent-state quantum key distribution. New J. Phys. 2011, 13, 013003. [Google Scholar] [CrossRef]
- Wang, C.; Huang, P.; Huang, D.; Lin, D.; Zeng, G. Practical security of continuous-variable quantum key distribution with finite sampling bandwidth effects. Phys. Rev. A 2016, 93, 022315. [Google Scholar] [CrossRef]
- Liao, Q.; Guo, Y.; Huang, D.; Huang, P.; Zeng, G. Long-distance continuous-variable quantum key distribution using non-Gaussian state-discrimination detection. New J. Phys. 2018, 20, 023015. [Google Scholar] [CrossRef]
- Guo, Y.; Xie, C.; Huang, P.; Li, J.; Zhang, L.; Huang, D.; Zeng, G. Channel-parameter estimation for satellite-to-submarine continuous-variable quantum key distribution. Phys. Rev. A 2018, 97, 052326. [Google Scholar] [CrossRef]
- Ruan, X.; Zhang, H.; Zhao, W.; Wang, X.; Li, X.; Guo, Y. Security Analysis of Discrete-Modulated Continuous-Variable Quantum Key Distribution over Seawater Channel. Appl. Sci. 2019, 9, 4956. [Google Scholar] [CrossRef]
- Peng, Q.; Chen, G.; Li, X.; Liao, Q.; Guo, Y. Performance Improvement of Underwater Continuous-Variable Quantum Key Distribution via Photon Subtraction. Entropy 2019, 21, 1011. [Google Scholar] [CrossRef]
- Kraemer, R.M.; Pessoa, L.M.; Salgado, H.M. Monte Carlo Radiative Transfer Modeling of Underwater Channel. In Wireless Mesh Networks-Security, Architectures and Protocols; IntechOpen: London, UK, 2019. [Google Scholar]
- Garcia-Patron, R.; Cerf, N.J. Unconditional optimality of Gaussian attacks against continuous-variable quantum key distribution. Phys. Rev. Lett. 2006, 97, 190503. [Google Scholar] [CrossRef]
- Leverrier, A.; Grangier, P. Simple proof that Gaussian attacks are optimal among collective attacks against continuous-variable quantum key distribution with a Gaussian modulation. Phys. Rev. A 2010, 81, 062314. [Google Scholar] [CrossRef]
- Furrer, F.; Franz, T.; Berta, M.; Leverrier, A.; Scholz, V.B.; Tomamichel, M.; Werner, R.F. Continuous variable quantum key distribution: Finite-key analysis of composable security against coherent attacks. Phys. Rev. Lett. 2012, 109, 100502. [Google Scholar] [CrossRef] [PubMed]
- Gabriel, C.; Khalighi, M.A.; Bourennane, S.; Léon, P.; Rigaud, V. Monte-Carlo-based channel characterization for underwater optical communication systems. J. Opt. Commun. Netw. 2013, 5, 1–12. [Google Scholar] [CrossRef]
- Haltrin, V.I. Chlorophyll-based model of seawater optical properties. Appl. Opt. 1999, 38, 6826–6832. [Google Scholar] [CrossRef]
- Mobley, C.D. Light and Water: Radiative Transfer in Natural Waters; Academic Press: Cambridge, MA, USA, 1994. [Google Scholar]
- Rani, A.; Kumar, A. Study on Scattering Models for UWOC Channel Using Monte Carlo Simulation. In Proceedings of the 2018 3rd International Conference on Contemporary Computing and Informatics (IC3I), Gurgaon, India, 10–12 October 2018; pp. 198–205. [Google Scholar]
- Sahu, S.K.; Shanmugam, P. A theoretical study on the impact of particle scattering on the channel characteristics of underwater optical communication system. Opt. Commun. 2018, 408, 3–14. [Google Scholar] [CrossRef]
- Shi, P.; Zhao, S.C.; Gu, Y.J.; Li, W.D. Channel analysis for single photon underwater free space quantum key distribution. JOSA A 2015, 32, 349–356. [Google Scholar] [CrossRef]
- Xu, J.; Song, Y.; Yu, X.; Lin, A.; Kong, M.; Han, J.; Deng, N. Underwater wireless transmission of high-speed QAM-OFDM signals using a compact red-light laser. Opt. Express 2016, 24, 8097–8109. [Google Scholar] [CrossRef]
- Hanson, F.; Radic, S. High bandwidth underwater optical communication. Appl. Opt. 2008, 47, 277–283. [Google Scholar] [CrossRef]
- Cox, W.; Muth, J. Simulating channel losses in an underwater optical communication system. J. Opt. Soc. Am. A 2014, 31, 920–934. [Google Scholar] [CrossRef]
- Cochenour, B.M.; Mullen, L.J.; Laux, A.E. Characterization of the beam-spread function for underwater wireless optical communications links. IEEE J. Ocean. Eng. 2008, 33, 513–521. [Google Scholar] [CrossRef]
- Berrocal, E. Multiple Scattering of Light in Optical Diagnostics of Dense Sprays and Other Complex Turbid Media. Ph.D. Thesis, Cranfield University, Bedford, UK, 2006. [Google Scholar]
- Tang, S.; Dong, Y.; Zhang, X. Impulse Response Modeling for Underwater Wireless Optical Communication Links. IEEE Trans. Commun. 2014, 62, 226–234. [Google Scholar] [CrossRef]
- Hanson, F.; Lasher, M. Effects of underwater turbulence on laser beam propagation and coupling into single-mode optical fiber. Appl. Opt. 2010, 49, 3224–3230. [Google Scholar] [CrossRef] [PubMed]
- Gilbert, G.; Stoner, T.; Jernigan, J. Underwater experiments on the polarization, coherence, and scattering properties of a pulsed blue-green laser. Underw. Photo Opt. Int. Soc. Opt. Photonics 1966, 7, 8–14. [Google Scholar]
- Li, J.; Ma, Y.; Zhou, Q.; Zhou, B.; Wang, H. Monte Carlo study on pulse response of underwater optical channel. Opt. Eng. 2012, 51, 066001-1–066001-5. [Google Scholar] [CrossRef]
- Lodewyck, J.; Bloch, M.; García-Patrón, R.; Fossier, S.; Karpov, E.; Diamanti, E.; Debuisschert, T.; Cerf, N.J.; Tualle-Brouri, R.; McLaughlin, S.W.; et al. Quantum key distribution over 25 km with an all-fiber continuous-variable system. Phys. Rev. A 2007, 76, 042305. [Google Scholar] [CrossRef]
- Fossier, S.; Diamanti, E.; Debuisschert, T.; Tualle-Brouri, R.; Grangier, P. Improvement of continuous-variable quantum key distribution systems by using optical preamplifiers. J. Phys. B At. Mol. Opt. Phys. 2009, 42, 114014. [Google Scholar] [CrossRef]
- Fossier, S.; Diamanti, E.; Debuisschert, T.; Villing, A.; Tualle-Brouri, R.; Grangier, P. Field test of a continuous-variable quantum key distribution prototype. New J. Phys. 2009, 11, 045023. [Google Scholar] [CrossRef]
- Cox, W.C. Simulation, Modeling, and Design of Underwater Optical Communication Systems. Ph.D. Thesis, North Carolina State University, Raleigh, NC, USA, 2012. [Google Scholar]






| Water Types | |||
|---|---|---|---|
| Pure sea water | 0.0405 | 0.0025 | 0.043 |
| Clear ocean water | 0.114 | 0.037 | 0.151 |
| Coastal ocean water | 0.179 | 0.219 | 0.398 |
| Turbid harbor water | 0.366 | 1.824 | 2.190 |
© 2020 by the authors. Licensee MDPI, Basel, Switzerland. This article is an open access article distributed under the terms and conditions of the Creative Commons Attribution (CC BY) license (http://creativecommons.org/licenses/by/4.0/).
Share and Cite
Mao, Y.; Wu, X.; Huang, W.; Liao, Q.; Deng, H.; Wang, Y.; Guo, Y. Monte Carlo-Based Performance Analysis for Underwater Continuous-Variable Quantum Key Distribution. Appl. Sci. 2020, 10, 5744. https://doi.org/10.3390/app10175744
Mao Y, Wu X, Huang W, Liao Q, Deng H, Wang Y, Guo Y. Monte Carlo-Based Performance Analysis for Underwater Continuous-Variable Quantum Key Distribution. Applied Sciences. 2020; 10(17):5744. https://doi.org/10.3390/app10175744
Chicago/Turabian StyleMao, Yiyu, Xuelin Wu, Wenti Huang, Qin Liao, Han Deng, Yijun Wang, and Ying Guo. 2020. "Monte Carlo-Based Performance Analysis for Underwater Continuous-Variable Quantum Key Distribution" Applied Sciences 10, no. 17: 5744. https://doi.org/10.3390/app10175744
APA StyleMao, Y., Wu, X., Huang, W., Liao, Q., Deng, H., Wang, Y., & Guo, Y. (2020). Monte Carlo-Based Performance Analysis for Underwater Continuous-Variable Quantum Key Distribution. Applied Sciences, 10(17), 5744. https://doi.org/10.3390/app10175744

