Biomass-Based Cellulose Functionalized by Phosphonic Acid with High Selectivity and Capacity for Capturing U(VI) in Aqueous Solution
Abstract
1. Introduction
2. Experimental Part
2.1. Material Preparation
2.2. Characterizations
2.3. Adsorption Tests
2.4. Desorption and Regeneration Study
3. Results and Discussions
3.1. Structural Characterizations
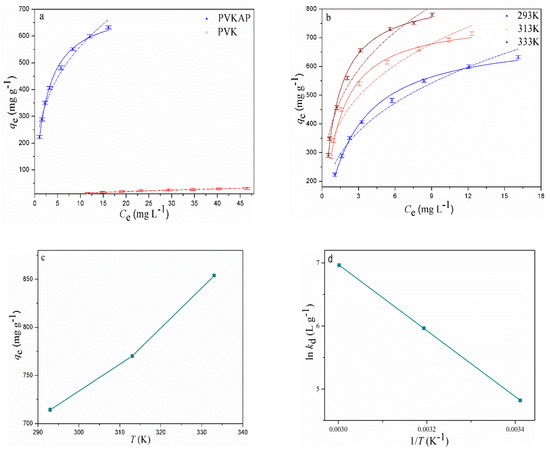
3.2. Adsorption Isotherms
3.3. Adsorption Thermodynamics
3.4. Kinetics Study
3.5. Influence of pH and Ionic Strength
3.6. Adsorption Selectivity and Recycling Performance Study
3.7. Adsorption Mechanism
4. Conclusions
Supplementary Materials
Author Contributions
Funding
Acknowledgments
Conflicts of Interest
References
- Craft, E.S.; Abuqare, A.W.; Flaherty, M.M.; Garofolo, M.C.; Rincavage, H.L.; Aboudonia, M.B. Depleted and natural uranium: Chemistry and toxicological effects. J. Toxicol. Environ. Health B 2004, 7, 297–317. [Google Scholar] [CrossRef]
- O’Loughlin, E.J.; Kelly, S.D.; Cook, R.E.; Csencsits, R.; Kemner, K.M. Reduction of uranium (VI) by mixed iron(II)/iron(III) hydroxide (green rust): Formation of UO2 nanoparticles. Environ. Sci. Technol. 2003, 37, 721–727. [Google Scholar] [CrossRef]
- Camacho, L.M.; Deng, S.; Parra, R.R. Uranium removal from groundwater by natural clinoptilolite zeolite: Effects of pH and initial feed concentration. J. Hazard. Mater. 2010, 189, 286–293. [Google Scholar] [CrossRef]
- Mori, T.; Takao, K.; Sasaki, K.; Suzuki, T.; Arai, T.; Ikeda, Y. Homogeneous liquid–liquid extraction of U(VI) from HNO3 aqueous solution to betainium bis(trifluoromethylsulfonyl)imide ionic liquid and recovery of extracted U(VI). Sep. Purif. Technol. 2015, 155, 133–138. [Google Scholar] [CrossRef]
- Zhang, S.; Zhao, X.; Li, B.; Bai, C.; Li, Y.; Wang, L.; Wen, R.; Zhang, M.; Ma, L.; Li, S. “Stereoscopic” 2D super-microporous phosphazene-based covalent organic framework: Design, synthesis and selective sorption towards uranium at high acidic condition. J. Hazard. Mater. 2016, 314, 95–104. [Google Scholar] [CrossRef] [PubMed]
- Popescu, I.C.; Filip, P.; Humelnicu, D.; Humelnicu, I.; Scott, T.B.; Crane, R.A. Removal of uranium(VI) from aqueous systems by nanoscale zero-valent iron particles suspended in carboxy-methyl cellulose. J. Nucl. Mater. 2013, 443, 250–255. [Google Scholar] [CrossRef]
- Yang, C.T.; Pei, S.Q.; Chen, B.H.; Ye, L.N.; Yu, H.Z.; Hu, S. Density functional theory investigations on the binding modes of amidoximes with uranyl ions. Dalton Trans. 2016, 45, 3120–3129. [Google Scholar] [CrossRef] [PubMed]
- Wang, Y.; Chen, Y.; Liu, C.; Yu, F. Preparation of porous magnesium oxide foam and study on its enrichment of uranium. J. Nucl. Mater. 2018, 504, 166–175. [Google Scholar] [CrossRef]
- Vanengelen, M.R.; Szilagyi, R.K.; Gerlach, R.; Lee, B.D.; Apel, W.A.; Peyton, B.M. Uranium exerts acute toxicity by binding to pyrroloquinoline quinone cofactor. Environ. Sci. Technol. 2011, 45, 937–942. [Google Scholar] [CrossRef]
- Trenfield, M.A.; Ng, J.C.; Noller, B.N.; Markich, S.J.; Dam, R.A.V. Dissolved organic carbon reduces uranium bioavailability and toxicity. 2. Uranium[VI] speciation and toxicity to three tropical freshwater organisms. Environ. Sci. Technol. 2011, 45, 3082–3089. [Google Scholar] [CrossRef]
- Shao, D.; Hou, G.; Li, J.; Tao, W.; Ren, X.; Wang, X. PANI/GO as a super adsorbent for the selective adsorption of uranium(VI). Chem. Eng. J. 2014, 255, 604–612. [Google Scholar] [CrossRef]
- Lv, K.; Han, J.; Yang, C.T.; Cheng, C.M.; Luo, Y.M.; Wang, X.L. A category of hierarchically porous tin (IV) phosphonate backbone with the implication for radioanalytical separation. Chem. Eng. J. 2016, 302, 368–376. [Google Scholar] [CrossRef]
- Jang, J.H.; Dempsey, B.A.; Burgos, W.D. A model-based evaluation of sorptive reactivities of hydrous ferric oxide and hematite for U(VI). Environ. Sci. Technol. 2007, 41, 4305–4310. [Google Scholar] [CrossRef] [PubMed]
- Tolkou, A.K.; Katsoyiannis, I.A.; Zouboulis, A.I. Removal of arsenic, chromium and uranium from water sources by novel nanostructured materials including graphene-based modified adsorbents: A mini review of recent developments. Appl. Sci. 2020, 10, 3241. [Google Scholar] [CrossRef]
- Han, B.; Zhang, E.; Cheng, G. Facile preparation of graphene oxide-MIL-101(Fe) composite for the efficient capture of uranium. Appl. Sci. 2018, 8, 2270. [Google Scholar] [CrossRef]
- Ling, L.W.; Feng, L.; Li, L.D.; Jian, Q.L.; Xiao, L.W.; Shu, J.L.; Ming, B.L. Ultrafast high-performance extraction of uranium from seawater without pretreatment using an acylamide- and carboxyl-functionalized metal–organic framework. J. Mater. Chem. A 2015, 3, 13724–13730. [Google Scholar]
- Yang, W.; Bai, Z.; Shi, W.; Yuan, L.; Tian, T.; Chai, Z.; Wang, H.; Sun, Z. MOF-76: From a luminescent probe to highly efficient U-VI sorption material. Chem. Commun. 2013, 49, 10415–10417. [Google Scholar] [CrossRef]
- Carboni, M.; Abney, C.W.; Liu, S.; Lin, W. Highly porous and stable metal–organic frameworks for uranium extraction. Chem. Sci. 2013, 4, 2396–2402. [Google Scholar] [CrossRef]
- Yuan, G.Y.; Tu, H.; Liu, J.; Zhao, C.S.; Liao, J.L.; Yang, Y.Y.; Yang, J.J.; Liu, N. A novel ion-imprinted polymer induced by the glycylglycine modified metalorganic framework for the selective removal of Co (II) from aqueous solutions. Chem. Eng. J. 2018, 333, 280–288. [Google Scholar] [CrossRef]
- Zhao, D.; Feng, J.; Huo, Q.; Melosh, N.; Fredrickson, G.H.; Chmelka, B.F.; Stucky, G.D. Triblock copolymer syntheses of mesoporous silica with periodic 50 to 300 Angstrom Pores. Science 1998, 279, 548–552. [Google Scholar] [CrossRef]
- Zhang, W.; Ye, G.; Chen, J. Study on the gamma-ray irradiation behavior of mesoporous silica adsorbents functionalized with phosphine oxide and phosphonic acid ligands. J. Radioanal. Nucl. Chem. 2016, 307, 1445–1451. [Google Scholar] [CrossRef]
- Lebed, P.J.; De, S.K.; Bilodeau, F.; Larivière, D.; Kleitz, F. Phosphonate-functionalized large pore 3-D cubic mesoporous (KIT-6) hybrid as highly efficient actinide extracting agent. Chem. Commun. 2011, 47, 11525–11527. [Google Scholar] [CrossRef] [PubMed]
- Li, F.; Yang, J.; Liao, J.; Li, S.; Liao, J.; Prabhu, R.; Williams, L.N.; Yang, Y.; Tang, J.; Ning, L. Direct synthesis of carbon-based microtubes by hydrothermal carbonization of microorganism cells. Chem. Eng. J. 2015, 276, 322–330. [Google Scholar] [CrossRef]
- Fasfous, I.I.; Dawoud, J.N. Uranium (VI) sorption by multiwalled carbon nanotubes from aqueous solution. Appl. Surf. Sci. 2012, 259, 433–440. [Google Scholar] [CrossRef]
- Deb, A.K.S.; Ilaiyaraja, P.; Ponraju, D.; Venkatraman, B. Diglycolamide functionalized multi-walled carbon nanotubes for removal of uranium from aqueous solution by adsorption. J. Radioanal. Nucl. Chem. 2012, 291, 877–883. [Google Scholar] [CrossRef]
- Bing, H.; Zhang, E.; Gong, C.; Zhang, L.; Wang, D.; Wang, X. Hydrothermal carbon superstructures enriched with carboxyl groups for highly efficient uranium removal. Chem. Eng. J. 2018, 338, 734–744. [Google Scholar]
- Hokkanen, S.; Bhatnagar, A.; Sillanpaa, M. A review on modification methods to cellulose-based adsorbents to improve adsorption capacity. Water Res. 2016, 91, 156–173. [Google Scholar]
- Han, X.; Xu, M.; Yang, S.; Qian, J.; Hua, D. Acetylcysteine-functionalized microporous conjugated polymers for potential separation of uranium from radioactive effluents. J. Mater. Chem. A 2017, 5, 5123–5128. [Google Scholar] [CrossRef]
- Yuan, D.; Chen, L.; Xiong, X.; Yuan, L.; Liao, S.; Wang, Y. Removal of uranium (VI) from aqueous solution by amidoxime functionalized superparamagnetic polymer microspheres prepared by a controlled radical polymerization in the presence of DPE. Chem. Eng. J. 2016, 285, 358–367. [Google Scholar] [CrossRef]
- Bhatnagar, A.; Sillanpää, M.; Witekkrowiak, A. Agricultural waste peels as versatile biomass for water purification—A review. Chem. Eng. J. 2015, 270, 244–271. [Google Scholar] [CrossRef]
- Mohammed, N.; Grishkewich, N.; Berry, R.; Tam, K. Cellulose nanocrystal-alginate hydrogel beads as novel adsorbents for organic dyes in aqueous solutions. Cellulose 2015, 22, 3725–3738. [Google Scholar] [CrossRef]
- Wei, H.; Rodriguez, K.; Renneckar, S.; Vikesland, P.J. Environmental science and engineering applications of nanocellulose-based nanocomposites. Environ. Sci. Nano 2014, 1, 302–316. [Google Scholar] [CrossRef]
- Faruk, O.; Bledzki, A.K.; Fink, H.; Sain, M. Biocomposites reinforced with natural fibers: 2000–2010. Prog. Polym. Sci. 2012, 37, 1552–1596. [Google Scholar] [CrossRef]
- Henriksson, M.; Berglund, L. Structure and properties of cellulose nanocomposite films containing melamine formaldehyde. J. Appl. Polym. Sci. 2007, 106, 2817–2824. [Google Scholar] [CrossRef]
- O’Connell, D.W.; Birkinshaw, C.; O’Dwyer, T.F. Heavy metal adsorbents prepared from the modification of cellulose: A review. Bioresour. Technol. 2008, 99, 6709–6724. [Google Scholar] [CrossRef]
- Bayramoglu, G.; Altintas, B.; Arica, M.Y. Synthesis and characterization of magnetic beads containing aminated fibrous surfaces for removal of Reactive Green 19 dye: Kinetics and thermodynamic parameters. J. Chem. Technol. Biotechnol. 2012, 87, 705–713. [Google Scholar] [CrossRef]
- Anirudhan, T.S.; Nima, J.; Divya, P.L. Adsorption of chromium(VI) from aqueous solutions by glycidylmethacrylate-grafted-densified cellulose with quaternary ammonium groups. Appl. Surf. Sci. 2013, 279, 441–449. [Google Scholar] [CrossRef]
- Yang, J.; Kubota, F.; Baba, Y.; Kamiya, N.; Goto, M. Application of cellulose acetate to the selective adsorption and recovery of Au(III). Carbohydr. Polym. 2014, 111, 768–774. [Google Scholar] [CrossRef]
- Cai, Y.; Wu, C.; Liu, Z.; Zhang, L.; Chen, L.; Wang, J.; Wang, X.; Yang, S.; Wang, S. Fabrication of a phosphorylated graphene oxide–chitosan composite for highly effective and selective capture of U(VI)). Environ. Sci. Nano 2017, 4, 1876–1886. [Google Scholar] [CrossRef]
- Yi, J.; Huo, Z.; Tan, X.; Chen, C.; Asiri, A.M.; Alamry, K.A.; Li, J. Plasma-facilitated modification of pumpkin vine-based biochar and its application for efficient elimination of uranyl from aqueous solution. Plasma Sci. Technol. 2019, 21, 095502. [Google Scholar] [CrossRef]
- Yuan, D.; Yun, W.; Yong, Q.; Yan, L.; Gang, F.; Huang, B.; Zhao, X. Highly selective adsorption for uranium in strong HNO3 media achieved on phosphonic acid functionalized nanoporous polymer. J. Mater. Chem. A 2017, 5, 22735–22742. [Google Scholar] [CrossRef]
- Zhao, G.; Li, J.; Ren, X.; Chen, C.; Wang, X. Few-Layered Graphene Oxide Nanosheets As Superior Sorbents for Heavy Metal Ion Pollution Management. Environ. Sci. Technol. 2011, 45, 10454–10462. [Google Scholar] [CrossRef] [PubMed]
- Gentilhomme, A.; Cochez, M.; Ferriol, M.; Oget, N.; Mieloszynski, J.L. Thermal degradation of methyl methacrylate polymers functionalized by phosphorus-containing molecules—II: Initial flame retardance and mechanistic studies. Polym. Degrad. Stab. 2003, 82, 347–355. [Google Scholar] [CrossRef]
- Goods, J.B.; Sydlik, S.A.; Walish, J.J.; Swager, T.M. Phosphate functionalized graphene with tunable mechanical properties. Adv. Mater. 2014, 26, 718–723. [Google Scholar] [CrossRef]
- Chen, C.; Yu, Y.; Wei, L.; Cao, C.; Ping, L.; Dou, Z.; Song, W. Mesoporous Ce1−xZrxO2 solid solution nanofibers as high efficiency catalysts for the catalytic combustion of VOCs. J. Mater. Chem. 2011, 21, 12836–12841. [Google Scholar] [CrossRef]
- Crea, J.; DiGiusto, R.; Lincoln, S.F.; Williams, E.H. A nuclear magnetic resonance study of ligand exchange on dioxopentakis(trimethyl phosphate)uranium(VI) ion and its triethyl phosphate analog. Inorg. Chem. 1977, 16, 2825–2829. [Google Scholar] [CrossRef]
- Lyubchik, S.I.; Lyubchik, A.I.; Galushko, O.L.; Tikhonova, L.P.; Vital, J.; Fonseca, I.M.; Lyubchik, S.B. Kinetics and thermodynamics of the Cr(III) adsorption on the activated carbon from co-mingled wastes. Colloids Surfaces A 2004, 242, 151–158. [Google Scholar] [CrossRef]
- Zhao, G.; Zhang, H.; Fan, Q.; Ren, X.; Li, J.; Chen, Y.; Wang, X. Sorption of copper(II) onto super-adsorbent of bentonite–polyacrylamide composites. J. Hazard. Mater. 2010, 173, 661–668. [Google Scholar] [CrossRef]
- Corbett, J.F. Pseudo first-order kinetics. J. Chem. Educ. 1972, 49, 663. [Google Scholar] [CrossRef]
- Ho, Y.S.; McKay, G. A comparison of chemisorption kinetic models applied to pollutant removal on various sorbents. Process. Saf. Environ. 1998, 76, 332–340. [Google Scholar] [CrossRef]
- Ho, Y.S.; Mckay, G. The kinetics of sorption of divalent metal ions onto sphagnum moss peat. Water Res. 2000, 34, 735–742. [Google Scholar] [CrossRef]
- Song, X.; Gunawan, P.; Jiang, R.; Leong, S.S.; Wang, K.; Xu, R. Surface activated carbon nanospheres for fast adsorption of silver ions from aqueous solutions. J. Hazard. Mater. 2011, 194, 162–168. [Google Scholar] [CrossRef] [PubMed]
- Maneerung, T.; Liew, J.; Dai, Y.J.; Kawi, S.; Chong, C.; Wang, C.H. Activated carbon derived from carbon residue from biomass gasification and its application for dye adsorption: Kinetics, isotherms and thermodynamic studies. Bioresour. Technol. 2015, 200, 350–359. [Google Scholar] [CrossRef]
- Yang, S.; Zong, P.; Hu, J.; Sheng, G.; Qi, W.; Wang, X. Fabrication of β-cyclodextrin conjugated magnetic HNT/iron oxide composite for high-efficient decontamination of U(VI). Chem. Eng. J. 2013, 214, 376–385. [Google Scholar] [CrossRef]
- Tokunaga, T.K.; Kim, Y.; Wan, J.; Yang, L. Aqueous uranium(VI) concentrations controlled by calcium uranyl vanadate precipitates. Environ. Sci. Technol. 2012, 46, 7471–7477. [Google Scholar] [CrossRef] [PubMed]
- Madadrang, C.J.; Kim, H.Y.; Gao, G.; Ning, W.; Zhu, J.; Feng, H.; Gorring, M.; Kasner, M.L.; Hou, S. Adsorption behavior of EDTA-graphene oxide for Pb (II) removal. ACS Appl. Mater. Interfaces 2012, 4, 1186–1193. [Google Scholar] [CrossRef]
- Hayes, F.K.; Leckie, O.J. Modeling ionic strength effects on anion adsorption at hydrous oxide/solution interfaces. J. Colloid Interface Sci. 1987, 115, 564–572. [Google Scholar] [CrossRef]
- Volkov, A.G.; Paula, S.; Deamer, D.W. Two mechanisms of permeation of small neutral molecules and hydrated ions across phospholipid bilayers. Bioelectroch. Bioenerg. 1997, 42, 153–160. [Google Scholar] [CrossRef]
- Jin, Z.; Wang, X.; Sun, Y.; Ai, Y.; Wang, X. Adsorption of 4-n-Nonylphenol and Bisphenol-A on Magnetic Reduced Graphene Oxides: A Combined Experimental and Theoretical Studies. Environ. Sci. Technol. 2015, 49, 9168–9175. [Google Scholar] [CrossRef]
- Li, F.Z.; Li, D.M.; Li, X.L.; Liao, J.L.; Li, S.J.; Yang, J.J.; Yang, Y.Y.; Tang, J.; Liu, N. Microorganism-derived carbon microspheres for uranium removal from aqueous solution. Chem. Eng. J. 2016, 284, 630–639. [Google Scholar] [CrossRef]
- Li, N.; Zhang, L.; Chen, Y.; Fang, M.; Zhang, J.; Wang, H. Highly Efficient, Irreversible and Selective Ion Exchange Property of Layered Titanate Nanostructures. Adv. Funct. Mater. 2012, 22, 835–841. [Google Scholar] [CrossRef]
- De Smet, F.; Ruiz, P.; Delmon, B.; Devillers, M. Rationalization of the Catalytic Behavior of Lanthanide Oxides and Praseodymium Molybdates in Total and Selective Oxidation of Isobutene. J. Phys. Chem. B 2001, 105, 12355–12363. [Google Scholar] [CrossRef]
- Venkatesan, K.A.; Shyamala, K.V.; Antony, M.P.; Srinivasan, T.G.; Rao, P.R.V. Batch and dynamic extraction of uranium(VI) from nitric acid medium by commercial phosphinic acid resin, Tulsion CH-96. J. Radioanal. Nucl. Chem. 2008, 275, 563–570. [Google Scholar] [CrossRef]
- Amaral, I.F.; Granja, P.L.; Barbosa, M.A. Chemical modification of chitosan by phosphorylation: An XPS, FT-IR and SEM study. J. Biomater. Sci. Polym. Ed. 2005, 16, 1575–1593. [Google Scholar] [CrossRef]









| Sample | BET Surface Area (m2 g−1) | Pore Volume (cm3 g−1) | Average Pore Size (nm) |
|---|---|---|---|
| PVK | 5.02 | 4.954 × 10−3 | 4.47 |
| PVKAP | 6.63 | 7.965 × 10−3 | 5.12 |
| Adsorbate | T (K) | qe (mg g−1) | Langmuir KL (L mg−1) | R2 | KF (mg1-n Ln g−1) | Freundlich n | R2 |
|---|---|---|---|---|---|---|---|
| PVK | 293 | 57.2 | 0.03 | 0.991 | 3.2 | 0.60 | 0.971 |
| PVKAP | 293 | 714.3 | 0.42 | 0.995 | 257.5 | 0.34 | 0.971 |
| PVKAP | 313 | 770.2 | 0.82 | 0.994 | 362.3 | 0.29 | 0.950 |
| PVKAP | 333 | 853.7 | 1.03 | 0.994 | 428.8 | 0.29 | 0.952 |
| Temperature (K) | ΔGo (kJ mol−1) | ΔH0 (kJ mol−1) | ΔSo (J mol−1 K−1) |
|---|---|---|---|
| 293 | −11.75 | 43.57 | 188.72 |
| 313 | −15.53 | ||
| 333 | −19.30 |
| Adsorbate | K1 (min−1) | Pseudo-First-Order qe (mg g−1) | R2 | K2 (g mg min−1) | Pseudo-Second-Order qe (mg g−1) | R2 |
|---|---|---|---|---|---|---|
| PVK | 0.07 | 13.6 | 0.985 | 7.92 × 10−3 | 14.6 | 0.996 |
| PVKAP | 0.11 | 587.8 | 0.980 | 2.72 × 10−4 | 632.9 | 0.994 |
© 2020 by the authors. Licensee MDPI, Basel, Switzerland. This article is an open access article distributed under the terms and conditions of the Creative Commons Attribution (CC BY) license (http://creativecommons.org/licenses/by/4.0/).
Share and Cite
Huo, Z.; Zhao, S.; Yi, J.; Zhang, H.; Li, J. Biomass-Based Cellulose Functionalized by Phosphonic Acid with High Selectivity and Capacity for Capturing U(VI) in Aqueous Solution. Appl. Sci. 2020, 10, 5455. https://doi.org/10.3390/app10165455
Huo Z, Zhao S, Yi J, Zhang H, Li J. Biomass-Based Cellulose Functionalized by Phosphonic Acid with High Selectivity and Capacity for Capturing U(VI) in Aqueous Solution. Applied Sciences. 2020; 10(16):5455. https://doi.org/10.3390/app10165455
Chicago/Turabian StyleHuo, Zhipeng, Sheng Zhao, Jinxin Yi, Hong Zhang, and Jiaxing Li. 2020. "Biomass-Based Cellulose Functionalized by Phosphonic Acid with High Selectivity and Capacity for Capturing U(VI) in Aqueous Solution" Applied Sciences 10, no. 16: 5455. https://doi.org/10.3390/app10165455
APA StyleHuo, Z., Zhao, S., Yi, J., Zhang, H., & Li, J. (2020). Biomass-Based Cellulose Functionalized by Phosphonic Acid with High Selectivity and Capacity for Capturing U(VI) in Aqueous Solution. Applied Sciences, 10(16), 5455. https://doi.org/10.3390/app10165455

