Influence of the Improvement in Thermal Expectation Levels with Adaptive Setpoint Temperatures on Energy Consumption
Abstract
1. Introduction
2. Methodology
2.1. Thermal Comfort Model: Adaptive Setpoint Temperatures and Tolerances
2.2. Cities Analyzed
2.3. Case Study
3. Results and Discussion
3.1. Effect of the Increase in Tolerance in the Current Scenario
3.2. Regional Comparison of the Energy Saving Achieved by Using Adaptive Setpoint Temperatures
3.3. Effect of the Climate Change Scenarios for 2050 and 2100
4. Conclusions
- -
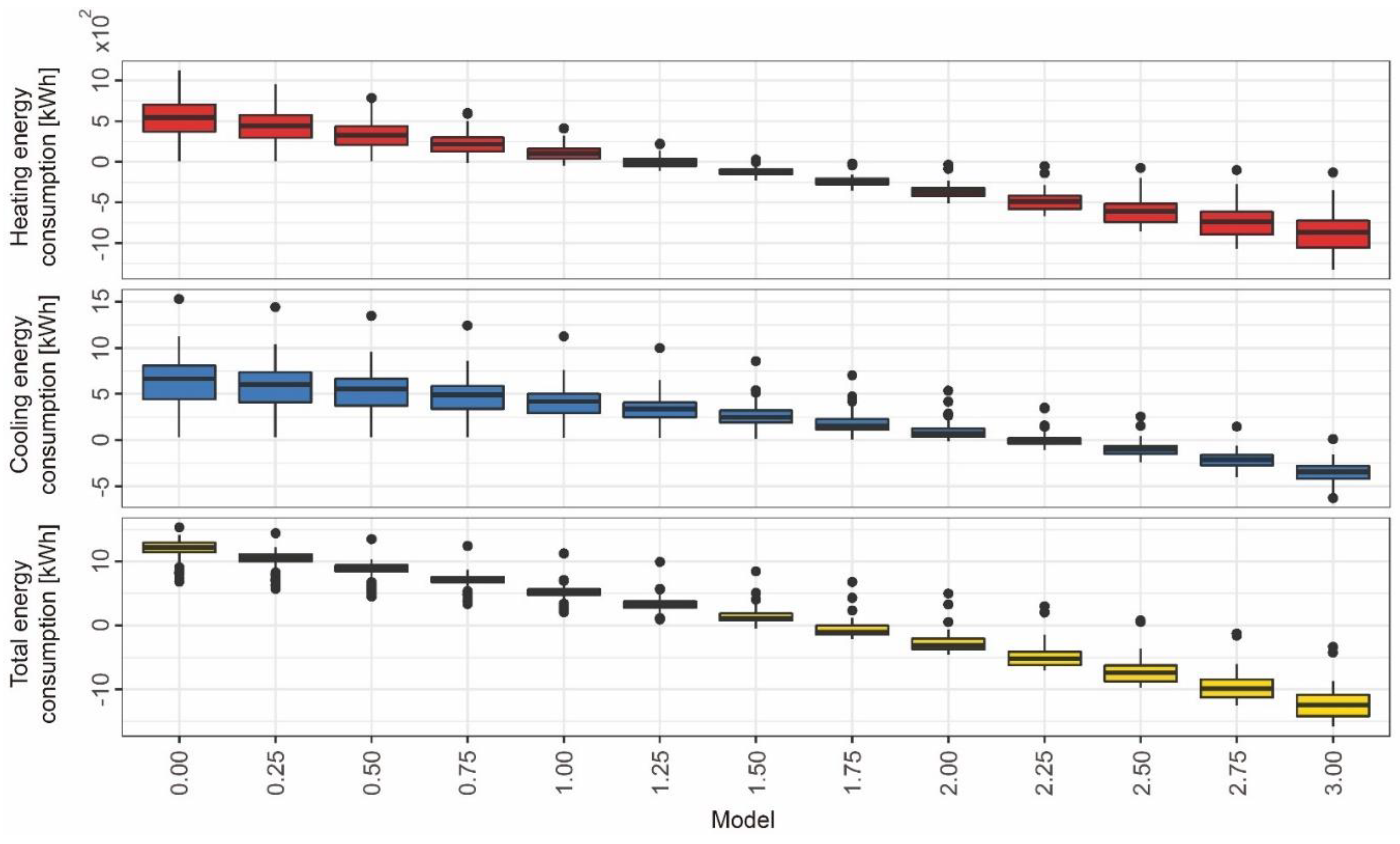
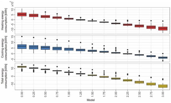
- The use of adaptive thermal comfort models with a tolerance of 0.00 °C led to significant energy consumption savings with respect to a highly effective static model. The improvement in users’ expectation level implied that, from the narrowing of the comfort zone in 3 °C (i.e., applying the model with a tolerance of 1.50 °C), there were no savings in the energy consumption with respect to the static model. However, this tendency was different according to the type of consumption analyzed, demonstrating that the cooling energy consumption had a greater possibility of tolerance. This aspect would imply that, in certain moments, users do not need to set the internal spaces with the linear correlations from EN 16798-1:2019 when the running mean outdoor temperature is near or greater than 30 °C.
- -
- The application of strategies of adaptive setpoint temperatures for new buildings obtained energy savings greater than 1000 kWh/year in most cities analyzed. Furthermore, there were similar energy-saving tendencies among the countries which were near each other. In this regard, the energy saving was similar between Greece and Italy, and between Spain and Portugal. Spain was the country which was characterized by presenting the greatest and the lowest energy-saving values due to the huge variety of existing climate typologies in the countries, some of which were characterized by a minimum energy demand with the static model.
- -
- The progressive improvement in users’ thermal expectations in 0.25 °C implied a rise with respect to the energy consumption obtained in the previous tolerance level between 6.57 and 9.31% in all the scenarios analyzed.
- -
- In future climate change scenarios, the rise in external temperatures meant that the saving in cooling degrees with respect to the static model increased, thus implying that the maximum tolerance, from which an energy saving was obtained with respect to the static model, increased from 1.50 °C of the current scenario to 1.75 °C of future scenarios. This aspect is useful to corroborate the possibilities of using a less demanding upper limit when average external temperatures are near or higher than 30 °C.
Author Contributions
Funding
Conflicts of Interest
Nomenclature
| A2 | climate change scenario |
| ASHRAE | American Society of Heating Refrigerating and Air-Conditioning Engineers |
| COP | Coefficient of Performance |
| EER | Energy Efficiency Ratio |
| EPW | EnergyPlus Weather |
| HVAC | Heating, Ventilation, and Air Conditioning |
| SHGC | Solar Heat Gain Coefficient |
| daily mean external temperature [°C] | |
| running mean outdoor temperature [°C] | |
| VRF | Variable Refrigerant Flow |
References
- European Commission. A Roadmap for Moving to a Competitive Low Carbon Economy in 2050; European Commission: Brussels, Belgium, 2011; pp. 1–15. [Google Scholar]
- Intergovernmental Panel on Climate Change (Ed.) Climate Change 2014: Synthesis Report. Contribution of Working Groups I, II and III to the Fifth Assessment Report of the Intergovernmental Panel on Climate Change; Cambridge University Press: Cambridge, UK, 2014.
- Bienvenido-Huertas, D.; Pérez-Fargallo, A.; Alvarado-Amador, R.; Rubio-Bellido, C. Influence of climate on the creation of multilayer perceptrons to analyse the risk of fuel poverty. Energy Build. 2019, 198, 38–60. [Google Scholar] [CrossRef]
- Pérez-Fargallo, A.; Rubio-Bellido, C.; Pulido-Arcas, J.A.; Trebilcock, M. Development policy in social housing allocation: Fuel poverty potential risk index. Indoor Built Environ. 2017, 26, 980–998. [Google Scholar] [CrossRef]
- Castaño-Rosa, R.; Solís-Guzmán, J.; Marrero, M. A novel Index of Vulnerable Homes: Findings from application in Spain. Indoor Built Environ. 2020, 29, 311–330. [Google Scholar] [CrossRef]
- Liddell, C.; Morris, C.; Thomson, H.; Guiney, C. Excess winter deaths in 30 European countries 1980–2013: A critical review of methods. J. Public Health 2016, 38, 806–814. [Google Scholar] [CrossRef]
- Teller-Elsberg, J.; Sovacool, B.; Smith, T.; Laine, E. Fuel poverty, excess winter deaths, and energy costs in Vermont: Burdensome for whom? Energy Policy 2016, 90, 81–91. [Google Scholar] [CrossRef]
- Kurekci, N.A. Determination of optimum insulation thickness for building walls by using heating and cooling degree-day values of all Turkey’s provincial centers. Energy Build. 2016, 118, 197–213. [Google Scholar] [CrossRef]
- Vine, E.L.; Kazakevicius, E. Residential energy use in Lithuania: The prospects for energy efficiency. Energy 1999, 24, 591–603. [Google Scholar] [CrossRef]
- Au-Yong, C.P.; Ali, A.S.; Ahmad, F. Improving occupants’ satisfaction with effective maintenance management of HVAC system in office buildings. Autom. Constr. 2014, 43, 31–37. [Google Scholar] [CrossRef][Green Version]
- Cho, J.; Kim, Y.; Koo, J.; Park, W. Energy-cost analysis of HVAC system for office buildings: Development of a multiple prediction methodology for HVAC system cost estimation. Energy Build. 2018, 173, 562–576. [Google Scholar] [CrossRef]
- Echarri, V. Thermal ceramic panels and passive systems in mediterranean housing: Energy savings and environmental impacts. Sustainability 2017, 9, 1613. [Google Scholar] [CrossRef]
- Aksoy, U.T.; Inalli, M. Impacts of some building passive design parameters on heating demand for a cold region. Build. Environ. 2006, 41, 1742–1754. [Google Scholar] [CrossRef]
- Invidiata, A.; Lavagna, M.; Ghisi, E. Selecting design strategies using multi-criteria decision making to improve the sustainability of buildings. Build. Environ. 2018, 139, 58–68. [Google Scholar] [CrossRef]
- Stern, P.C.; Janda, K.B.; Brown, M.A.; Steg, L.; Vine, E.L.; Lutzenhiser, L. Opportunities and insights for reducing fossil fuel consumption by households and organizations. Nat. Energy 2016, 1, 16043. [Google Scholar] [CrossRef]
- Echarri-Iribarren, V.; Rizo-Maestre, C.; Sanjuan-Palermo, J.L. Underfloor heating using ceramic thermal panels and solar thermal panels in public buildings in the Mediterranean: Energy savings and healthy indoor environment. Appl. Sci. 2019, 9, 2089. [Google Scholar] [CrossRef]
- Ruth, C.E.; Byrne, R.; Hewitt, N.J.; MacArtain, P. Electricity autoproduction, storage and billing: A case study at Dundalk Institute of Technology, Ireland. Sustain. Energy Technol. Assess. 2019, 35, 257–264. [Google Scholar] [CrossRef]
- Allouhi, A.; El Fouih, Y.; Kousksou, T.; Jamil, A.; Zeraouli, Y.; Mourad, Y. Energy consumption and efficiency in buildings: Current status and future trends. J. Clean. Prod. 2015, 109, 118–130. [Google Scholar] [CrossRef]
- Ueno, T.; Sano, F.; Saeki, O.; Tsuji, K. Effectiveness of an energy-consumption information system on energy savings in residential houses based on monitored data. Appl. Energy 2006, 83, 166–183. [Google Scholar] [CrossRef]
- Papadopoulos, S.; Kontokosta, C.E.; Vlachokostas, A.; Azar, E. Rethinking HVAC temperature setpoints in commercial buildings: The potential for zero-cost energy savings and comfort improvement in different climates. Build. Environ. 2019, 155, 350–359. [Google Scholar] [CrossRef]
- Parkinson, T.; de Dear, R.; Brager, G. Nudging the adaptive thermal comfort model. Energy Build. 2020, 206, 109559. [Google Scholar] [CrossRef]
- Ren, Z.; Chen, D. Modelling study of the impact of thermal comfort criteria on housing energy use in Australia. Appl. Energy 2018, 210, 152–166. [Google Scholar] [CrossRef]
- Lakeridou, M.; Ucci, M.; Marmot, A.; Ridley, I. The potential of increasing cooling set-points in air-conditioned offices in the UK. Appl. Energy 2012, 94, 338–348. [Google Scholar] [CrossRef]
- Hoyt, T.; Arens, E.; Zhang, H. Extending air temperature setpoints: Simulated energy savings and design considerations for new and retrofit buildings. Build. Environ. 2014, 88, 89–96. [Google Scholar] [CrossRef]
- Spyropoulos, G.N.; Balaras, C.A. Energy consumption and the potential of energy savings in Hellenic office buildings used as bank branches—A case study. Energy Build. 2011, 43, 770–778. [Google Scholar] [CrossRef]
- Fernandez, N.; Katipamula, S.; Wang, W.; Huang, Y.; Liu, G. Energy savings modelling of re-tuning energy conservation measures in large office buildings. J. Build. Perform. Simul. 2015, 8, 391–407. [Google Scholar] [CrossRef]
- Parry, M.L.; Canziani, O.F.; Palutikof, J.P.; van der Linden, P.J.; Hanson, C.E. Contribution of Working Group II to the Fourth Assessment Report of the Intergovernmental Panel on Climate Change; Cambridge University Press: Cambridge, UK, 2007. [Google Scholar]
- Saidur, R. Energy consumption, energy savings, and emission analysis in Malaysian office buildings. Energy Policy 2009, 37, 4104–4113. [Google Scholar] [CrossRef]
- Yamtraipat, N.; Khedari, J.; Hirunlabh, J.; Kunchornrat, J. Assessment of Thailand indoor set-point impact on energy consumption and environment. Energy Policy 2006, 34, 765–770. [Google Scholar] [CrossRef]
- Moon, J.W.; Han, S.H. Thermostat strategies impact on energy consumption in residential buildings. Energy Build. 2011, 43, 338–346. [Google Scholar] [CrossRef]
- Mishra, A.K.; Ramgopal, M. Field studies on human thermal comfort—An overview. Build. Environ. 2013, 64, 94–106. [Google Scholar] [CrossRef]
- Van Hoof, J. Forty years of Fanger’s model of thermal comfort: Comfort for all? Indoor Air 2008, 18, 182–201. [Google Scholar] [CrossRef]
- Rupp, R.F.; Vásquez, N.G.; Lamberts, R. A review of human thermal comfort in the built environment. Energy Build. 2015, 105, 178–205. [Google Scholar] [CrossRef]
- Nicol, J.F.; Humphreys, M.A. Adaptive thermal comfort and sustainable thermal standards for buildings. Energy Build. 2002, 34, 563–572. [Google Scholar] [CrossRef]
- Wong, N.H.; Feriadi, H.; Lim, P.Y.; Tham, K.W.; Sekhar, C.; Cheong, K.W. Thermal comfort evaluation of naturally ventilated public housing in Singapore. Build. Environ. 2002, 37, 1267–1277. [Google Scholar] [CrossRef]
- Ye, X.J.; Zhou, Z.P.; Lian, Z.W.; Liu, H.M.; Li, C.Z.; Liu, Y.M. Field study of a thermal environment and adaptive model in Shanghai. Indoor Air 2006, 16, 320–326. [Google Scholar] [CrossRef]
- van der Linden, A.C.; Boerstra, A.C.; Raue, A.K.; Kurvers, S.R.; De Dear, R.J. Adaptive temperature limits: A new guideline in the Netherlands: A new approach for the assessment of building performance with respect to thermal indoor climate. Energy Build. 2006, 38, 8–17. [Google Scholar] [CrossRef]
- Boerstra, A.C.; van Hoof, J.; van Weele, A.M. A new hybrid thermal comfort guideline for the Netherlands: Background and development. Archit. Sci. Rev. 2015, 58, 24–34. [Google Scholar] [CrossRef]
- Yun, G.Y.; Lee, J.H.; Steemers, K. Extending the applicability of the adaptive comfort model to the control of air-conditioning systems. Build. Environ. 2016, 105, 13–23. [Google Scholar] [CrossRef]
- Sánchez-Guevara Sánchez, C.; Mavrogianni, A.; Neila González, F.J. On the minimal thermal habitability conditions in low income dwellings in Spain for a new definition of fuel poverty. Build. Environ. 2017, 114, 344–356. [Google Scholar] [CrossRef]
- American Society of Heating Refrigerating and Air Conditioning Engineers. ASHRAE Standard 55-2017 Thermal Environmental Conditions for Human Occupancy; American Society of Heating Refrigerating and Air Conditioning Engineers: Atlanta, GA, USA, 2017. [Google Scholar]
- Sánchez-García, D.; Bienvenido-Huertas, D.; Tristancho-Carvajal, M.; Rubio-Bellido, C. Adaptive Comfort Control Implemented Model (ACCIM) for Energy Consumption Predictions in Dwellings under Current and Future Climate Conditions: A Case Study Located in Spain. Energies 2019, 12, 1498. [Google Scholar] [CrossRef]
- Wang, C.; Pattawi, K.; Lee, H. Energy saving impact of occupancy-driven thermostat for residential buildings. Energy Build. 2020, 211, 109791. [Google Scholar] [CrossRef]
- Bienvenido-Huertas, D.; Sánchez-García, D.; Pérez-Fargallo, A.; Rubio-Bellido, C. Optimization of energy saving with adaptive setpoint temperatures by calculating the prevailing mean outdoor air temperature. Build. Environ. 2020, 170, 106612. [Google Scholar] [CrossRef]
- Luo, M.; Wang, Z.; Brager, G.; Cao, B.; Zhu, Y. Indoor climate experience, migration, and thermal comfort expectation in buildings. Build. Environ. 2018, 141, 262–272. [Google Scholar] [CrossRef]
- European Committee for Standardization. EN 15251:2007 Indoor Environmental Input Parameters for Design and Assessment of Energy Performance of Buildings Addressing Indoor Quality, Thermal Environment, Lighting and Acoustics; European Committee for Standardization: Brussels, Belgium, 2007. [Google Scholar]
- European Committee for Standardization. EN 16798-1:2019 Energy Performance of Buildings—Ventilation for Buildings—Part 1: Indoor Environmental Input Parameters for Design and Assessment of Energy Performance of Buildings Addressing Indoor Air Quality, Thermal Environment, Lighting and Acous; European Committee for Standardization: Brussels, Belgium, 2019. [Google Scholar]
- Sánchez-García, D.; Rubio-Bellido, C.; Tristancho, M.; Marrero, M. A comparative study on energy demand through the adaptive thermal comfort approach considering climate change in office buildings of Spain. Build. Simul. 2020, 13, 51–63. [Google Scholar] [CrossRef]
- Bienvenido-Huertas, D.; Rubio-Bellido, C.; Pérez-Fargallo, A.; Pulido-Arcas, J.A. Energy saving potential in current and future world built environments based on the adaptive comfort approach. J. Clean. Prod. 2020, 249, 119306. [Google Scholar] [CrossRef]
- Mi, Z.; Guan, D.; Liu, Z.; Liu, J.; Viguié, V.; Fromer, N.; Wang, Y. Cities: The core of climate change mitigation. J. Clean. Prod. 2019, 207, 582–589. [Google Scholar] [CrossRef]
- Marvuglia, A.; Havinga, L.; Heidrich, O.; Fonseca, J.; Gaitani, N.; Reckien, D. Advances and challenges in assessing urban sustainability: An advanced bibliometric review. Renew. Sustain. Energy Rev. 2020, 124, 109788. [Google Scholar] [CrossRef]
- Hellenic Parliament. Ν. 3852/2010, New Architecture of Local Government and Decentralized Administration-Kallikratis Program; Hellenic Parliament: Athens, Greece, 2010. [Google Scholar]
- METEONORM. Handbook Part II: Theory (Version 7.3.1); METEONORM: Bern, Switzerland, 2019. [Google Scholar]
- Nakićenović, N.; Swart, R. Special Report on Emissions Scenarios. A Special Report of Working Group III of the Intergovernmental Panel on Climate Change; Cambridge University Press: Cambridge, UK, 2000; ISBN 0 521 80081 1. [Google Scholar]
- Nematchoua, M.K.; Orosa, J.A.; Reiter, S. Climate change: Variabilities, vulnerabilities and adaptation analysis—A case of seven cities located in seven countries of Central Africa. Urban Clim. 2019, 29, 100486. [Google Scholar] [CrossRef]
- Verichev, K.; Zamorano, M.; Carpio, M. Effects of climate change on variations in climatic zones and heating energy consumption of residential buildings in the southern Chile. Energy Build. 2020, 215, 109874. [Google Scholar] [CrossRef]
- Ciancio, V.; Salata, F.; Falasca, S.; Curci, G.; Golasi, I.; de Wilde, P. Energy demands of buildings in the framework of climate change: An investigation across Europe. Sustain. Cities Soc. 2020, 154244. [Google Scholar] [CrossRef]
- Roetzel, A.; Tsangrassoulis, A.; Dietrich, U. Impact of building design and occupancy on office comfort and energy performance in different climates. Build. Environ. 2014, 71, 165–175. [Google Scholar] [CrossRef]
- Mourshed, M. The impact of the projected changes in temperature on heating and cooling requirements in buildings in Dhaka, Bangladesh. Appl. Energy 2011, 88, 3737–3746. [Google Scholar] [CrossRef]
- Invidiata, A.; Ghisi, E. Impact of climate change on heating and cooling energy demand in houses in Brazil. Energy Build. 2016, 130, 20–32. [Google Scholar] [CrossRef]
- Triana, M.A.; Lamberts, R.; Sassi, P. Should we consider climate change for Brazilian social housing? Assessment of energy efficiency adaptation measures. Energy Build. 2018, 158, 1379–1392. [Google Scholar] [CrossRef]
- Shen, P.; Lior, N. Vulnerability to climate change impacts of present renewable energy systems designed for achieving net-zero energy buildings. Energy 2016, 114, 1288–1305. [Google Scholar] [CrossRef]
- Shen, P. Impacts of climate change on U.S. building energy use by using downscaled hourly future weather data. Energy Build. 2017, 134, 61–70. [Google Scholar] [CrossRef]
- Robert, A.; Kummert, M. Designing net-zero energy buildings for the future climate, not for the past. Build. Environ. 2012, 55, 150–158. [Google Scholar] [CrossRef]
- Bienvenido-Huertas, D.; Oliveira, M.; Rubio-Bellido, C.; Marín, D. A Comparative Analysis of the International Regulation of Thermal Properties in Building Envelope. Sustainability 2019, 11, 5574. [Google Scholar] [CrossRef]
- Grazieschi, G.; Gori, P.; Lombardi, L.; Asdrubali, F. Life cycle energy minimization of autonomous buildings. J. Build. Eng. 2020, 30, 101229. [Google Scholar] [CrossRef]
- Rossi, M.; Rocco, V.M. External walls design: The role of periodic thermal transmittance and internal areal heat capacity. Energy Build. 2014, 68, 732–740. [Google Scholar] [CrossRef]
- Rodrigues, E.; Fernandes, M.S.; Gaspar, A.R.; Gomes, Á.; Costa, J.J. Thermal transmittance effect on energy consumption of Mediterranean buildings with different thermal mass. Appl. Energy 2019, 252, 113437. [Google Scholar] [CrossRef]
- Fernandes, M.S.; Rodrigues, E.; Gaspar, A.R.; Costa, J.J.; Gomes, Á. The impact of thermal transmittance variation on building design in the Mediterranean region. Appl. Energy 2019, 239, 581–597. [Google Scholar] [CrossRef]
- Jiru, T.E. Combining HVAC energy conservation measures to achieve energy savings over standard requirements. Energy Build. 2014, 73, 171–175. [Google Scholar] [CrossRef]
- Abediniangerabi, B.; Shahandashti, S.M.; Bell, B.; Chao, S.H.; Makhmalbaf, A. Building energy performance analysis of ultra-high-performance fiber-reinforced concrete (UHP-FRC) façade systems. Energy Build. 2018, 174, 262–275. [Google Scholar] [CrossRef]
- Kim, D.; Cox, S.J.; Cho, H.; Im, P. Evaluation of energy savings potential of variable refrigerant flow (VRF) from variable air volume (VAV) in the U.S. climate locations. Energy Rep. 2017, 3, 85–93. [Google Scholar] [CrossRef]
- O’Neill, Z.; Niu, F. Uncertainty and sensitivity analysis of spatio-temporal occupant behaviors on residential building energy usage utilizing Karhunen-Loève expansion. Build. Environ. 2017, 115, 157–172. [Google Scholar] [CrossRef]
- Shishegar, N.; Boubekri, M. Quantifying electrical energy savings in offices through installing daylight responsive control systems in hot climates. Energy Build. 2017, 153, 87–98. [Google Scholar] [CrossRef]
- Sardoueinasab, Z.; Yin, P.; O’Neal, D. Energy modeling and analysis of inherent air leakage from parallel fan-powered terminal units using EMS in EnergyPlus. Energy Build. 2018, 176, 109–119. [Google Scholar] [CrossRef]













| Model | Tolerance | Setpoint Temperature (°C) | |||||
|---|---|---|---|---|---|---|---|
| Lower Limit | Upper Limit | Lower Limit | Upper Limit | Lower Limit | Upper Limit | ||
| Adaptive | 0.00 | 18.1 | 25.1 | 24.7 | 31.7 | ||
| 0.25 | 18.35 | 24.85 | 24.95 | 31.45 | |||
| 0.50 | 18.6 | 24.6 | 25.2 | 31.2 | |||
| 0.75 | 18.85 | 24.35 | 25.45 | 30.95 | |||
| 1.00 | 19.1 | 24.1 | 25.7 | 30.7 | |||
| 1.25 | 19.35 | 23.85 | 25.95 | 30.45 | |||
| 1.50 | 19.6 | 23.6 | 26.2 | 30.2 | |||
| 1.75 | 19.85 | 23.35 | 26.45 | 29.95 | |||
| 2.00 | 20.1 | 23.1 | 26.7 | 29.7 | |||
| 2.25 | 20.35 | 22.85 | 26.95 | 29.45 | |||
| 2.50 | 20.6 | 22.6 | 27.2 | 29.2 | |||
| 2.75 | 20.85 | 22.35 | 27.45 | 28.95 | |||
| 3.00 | 21.1 | 22.1 | 27.7 | 28.7 | |||
| Static | - | 20 a | 25 a | 20 a | 25 a | 20 a | 25 a |
| 23 b | 26 b | 23 b | 26 b | 23 b | 26 b | ||
| Country | Capital City |
|---|---|
| Greece | Athens, Ermoupoli, Ioannina, Irakleio, Kerkyra, Komotini, Kozani, Lamia, Larisa, Mytilini, Patra, Thessaloniki, and Tripoli |
| Italy | Ancona, Aosta, Bari, Bologna, Cagliari, Campobasso, Catanzaro, Florence, Genoa, L’Aquila, Milan, Naples, Palermo, Perugia, Potenza, Rome, Trento, Trieste, Turin, and Venice |
| Portugal | Aveiro, Beja, Braga, Bragança, Castelo Branco, Coimbra, Evora, Faro, Guarda, Leiria, Lisboa, Portalegre, Porto, Santarem, Setubal, Viana Castelo, Vila Real, and Viseu |
| Spain | Albacete, Alicante, Almeria, Avila, Badajoz, Barcelona, Bilbao, Burgos, Caceres, Cadiz, Castellon, Ciudad Real, Cordoba, Cuenca, Gerona, Granada, Guadalajara, Huelva, Huesca, Jaen, La Coruña, Leon, Lerida, Logroño, Lugo, Madrid, Malaga, Murcia, Orense, Oviedo, Palencia, Pamplona, Pontevedra, Salamanca, San Sebastian, Santander, Segovia, Seville, Soria, Tarragona, Teruel, Toledo, Valencia, Valladolid, Vitoria, Zamora, and Zaragoza |
| Element | Layer | Thickness (m) | Thermal Conductivity (W/(mK)) | Thermal Capacity (J/(kgK)) | Density (kg/m3) |
|---|---|---|---|---|---|
| External wall | 1. Perforated brick | 0.115 | 0.350 | 1000 | 780 |
| 2. Cement mortar | 0.015 | 1.000 | 1000 | 1700 | |
| 3. EPS insulation | 0.020 | 0.032 | 1450 | 50 | |
| 4. Hollow brick | 0.070 | 0.320 | 1000 | 770 | |
| 5. Gypsum plaster | 0.015 | 0.570 | 1000 | 1000 | |
| Internal wall | 1. Plasterboard | 0.025 | 0.250 | 1000 | 900 |
| 2. Air gap | 0.100 | - | - | - | |
| 3. Plasterboard | 0.025 | 0.250 | 1000 | 900 |
| Tolerance | Percentage Deviation (%) | ||
|---|---|---|---|
| Current | |||
| Cooling | Heating | Total | |
| 0.00 | 68.90 | 26.48 | 38.74 |
| 0.25 | 64.32 | 21.34 | 33.67 |
| 0.50 | 58.73 | 16.01 | 28.77 |
| 0.75 | 52.68 | 10.42 | 23.34 |
| 1.00 | 45.89 | 4.58 | 17.65 |
| 1.25 | 38.34 | −1.47 | 11.70 |
| 1.50 | 29.93 | −7.79 | 5.47 |
| 1.75 | 20.57 | −14.34 | −1.03 |
| 2.00 | 10.09 | −21.09 | −7.82 |
| 2.25 | −1.72 | −28.06 | −14.93 |
| 2.50 | −15.23 | −35.20 | −22.40 |
| 2.75 | −31.14 | −42.59 | −30.42 |
| 3.00 | −51.01 | −50.46 | −39.34 |
| City | Energy Consumption Saving (kWh/Year) | ||
|---|---|---|---|
| Cooling | Heating | Total | |
| Athens | 851.17 | 344.00 | 1195.17 |
| Ermoupoli | 983.15 | 237.32 | 1220.46 |
| Ioannina | 669.71 | 632.07 | 1301.78 |
| Irakleio | 946.53 | 244.83 | 1191.36 |
| Kerkyra | 777.68 | 364.83 | 1142.51 |
| Komotini | 712.83 | 576.73 | 1289.57 |
| Kozani | 649.37 | 675.07 | 1324.44 |
| Lamia | 835.83 | 444.83 | 1280.67 |
| Larisa | 728.11 | 567.49 | 1295.60 |
| Mytilini | 841.91 | 346.70 | 1188.61 |
| Patra | 830.61 | 326.41 | 1157.02 |
| Thessaloniki | 770.62 | 539.50 | 1310.12 |
| Tripoli | 624.27 | 650.38 | 1274.65 |
| City | Energy Consumption Saving (kWh/Year) | ||
|---|---|---|---|
| Cooling | Heating | Total | |
| Ancona | 637.02 | 576.22 | 1213.23 |
| Aosta | 204.24 | 1084.31 | 1288.56 |
| Bari | 700.56 | 509.13 | 1209.69 |
| Bologna | 672.49 | 625.28 | 1297.77 |
| Cagliari | 848.81 | 350.98 | 1199.79 |
| Campobasso | 451.21 | 732.20 | 1183.41 |
| Catanzaro | 797.75 | 397.85 | 1195.59 |
| Florence | 636.49 | 519.75 | 1156.24 |
| Genoa | 767.03 | 445.21 | 1212.24 |
| LAquila | 776.30 | 540.22 | 1316.51 |
| Milan | 595.17 | 707.58 | 1302.75 |
| Naples | 724.73 | 426.26 | 1150.99 |
| Palermo | 980.20 | 223.24 | 1203.44 |
| Perugia | 666.04 | 578.03 | 1244.08 |
| Potenza | 353.65 | 940.69 | 1294.35 |
| Rome | 756.70 | 446.12 | 1202.81 |
| Trento | 617.32 | 720.22 | 1337.54 |
| Trieste | 670.65 | 560.01 | 1230.66 |
| Turin | 532.89 | 797.58 | 1330.47 |
| Venice | 623.05 | 634.71 | 1257.76 |
| City | Energy Consumption Saving (kWh/Year) | ||
|---|---|---|---|
| Cooling | Heating | Total | |
| Aveiro | 345.90 | 483.52 | 829.42 |
| Beja | 708.61 | 466.41 | 1175.01 |
| Braga | 256.75 | 579.06 | 835.81 |
| Bragança | 442.92 | 775.50 | 1218.43 |
| Castelo Branco | 621.81 | 578.06 | 1199.87 |
| Coimbra | 433.53 | 506.42 | 939.95 |
| Evora | 678.97 | 503.43 | 1182.41 |
| Faro | 892.65 | 241.81 | 1134.46 |
| Guarda | 126.63 | 1123.06 | 1249.69 |
| Leiria | 413.69 | 429.77 | 843.46 |
| Lisboa | 781.05 | 306.81 | 1087.86 |
| Portalegre | 310.35 | 493.64 | 803.99 |
| Porto | 640.37 | 624.21 | 1264.57 |
| Santarem | 634.48 | 363.84 | 998.32 |
| Setubal | 737.15 | 324.72 | 1061.87 |
| Viana Castelo | 353.28 | 463.47 | 816.75 |
| Vila Real | 415.88 | 701.77 | 1117.65 |
| Viseu | 328.34 | 767.78 | 1096.12 |
| City | Energy Consumption Saving (kWh/Year) | City | Energy Consumption Saving (kWh/Year) | ||||
|---|---|---|---|---|---|---|---|
| Cooling | Heating | Total | Cooling | Heating | Total | ||
| Albacete | 637.69 | 689.18 | 1326.86 | Lugo | 30.01 | 835.70 | 865.70 |
| Alicante | 890.60 | 297.97 | 1188.57 | Madrid | 729.53 | 632.14 | 1361.66 |
| Almeria | 896.35 | 236.09 | 1132.44 | Malaga | 886.73 | 274.51 | 1161.24 |
| Avila | 372.48 | 991.63 | 1364.11 | Murcia | 975.28 | 295.63 | 1270.91 |
| Badajoz | 902.49 | 411.35 | 1313.84 | Orense | 284.66 | 595.20 | 879.87 |
| Barcelona | 714.91 | 464.76 | 1179.68 | Oviedo | 64.36 | 755.43 | 819.79 |
| Bilbao | 395.31 | 535.87 | 931.18 | Palencia | 500.99 | 820.17 | 1321.16 |
| Burgos | 415.61 | 860.75 | 1276.36 | Pamplona | 440.43 | 748.66 | 1189.09 |
| Caceres | 776.91 | 516.03 | 1292.94 | Pontevedra | 445.74 | 482.17 | 927.91 |
| Cadiz | 811.27 | 319.81 | 1131.08 | Salamanca | 390.13 | 892.13 | 1282.26 |
| Castellon | 899.36 | 364.17 | 1263.54 | San Sebastian | 472.22 | 527.05 | 999.27 |
| Ciudad Real | 719.16 | 554.49 | 1273.65 | Santander | 135.51 | 607.87 | 743.38 |
| Cordoba | 994.97 | 336.18 | 1331.16 | Segovia | 416.58 | 856.25 | 1272.83 |
| Cuenca | 590.98 | 827.62 | 1418.59 | Seville | 1093.08 | 236.42 | 1329.51 |
| Gerona | 691.66 | 545.82 | 1237.49 | Soria | 414.30 | 916.18 | 1330.48 |
| Granada | 735.27 | 582.02 | 1317.28 | Tarragona | 862.89 | 395.20 | 1258.09 |
| Guadalajara | 628.25 | 714.26 | 1342.52 | Teruel | 603.17 | 781.63 | 1384.81 |
| Huelva | 925.19 | 261.64 | 1186.82 | Toledo | 742.89 | 631.15 | 1374.04 |
| Huesca | 643.73 | 665.88 | 1309.61 | Valencia | 860.86 | 368.80 | 1229.66 |
| Jaen | 730.13 | 563.67 | 1293.80 | Valladolid | 455.27 | 787.40 | 1242.67 |
| La Coruña | 129.65 | 554.39 | 684.04 | Vitoria | 210.59 | 868.95 | 1079.54 |
| Leon | 439.44 | 827.52 | 1266.97 | Zamora | 464.27 | 815.54 | 1279.81 |
| Lerida | 813.96 | 420.82 | 1234.78 | Zaragoza | 661.18 | 571.23 | 1232.41 |
| Logroño | 501.03 | 661.31 | 1162.34 | ||||
| Tolerance | Percentage Deviation (%) | ||||||||
|---|---|---|---|---|---|---|---|---|---|
| Current | 2050 | 2100 | |||||||
| Cooling | Heating | Total | Cooling | Heating | Total | Cooling | Heating | Total | |
| 0.00 | 68.90 | 26.48 | 38.74 | 62.37 | 26.91 | 41.93 | 53.60 | 26.80 | 43.59 |
| 0.25 | 64.32 | 21.34 | 33.67 | 57.68 | 21.00 | 36.92 | 49.43 | 19.46 | 38.90 |
| 0.50 | 58.73 | 16.01 | 28.77 | 52.68 | 14.90 | 31.76 | 45.14 | 11.63 | 34.08 |
| 0.75 | 52.68 | 10.42 | 23.34 | 47.14 | 8.52 | 26.24 | 40.41 | 3.28 | 28.89 |
| 1.00 | 45.89 | 4.58 | 17.65 | 41.14 | 1.93 | 20.45 | 35.37 | −5.58 | 23.44 |
| 1.25 | 38.34 | −1.47 | 11.70 | 34.65 | −4.87 | 14.40 | 30.02 | −14.92 | 17.74 |
| 1.50 | 29.93 | −7.79 | 5.47 | 27.64 | −11.84 | 8.07 | 24.33 | −24.73 | 11.76 |
| 1.75 | 20.57 | −14.34 | −1.03 | 20.06 | −18.97 | 1.47 | 18.27 | −34.93 | 5.50 |
| 2.00 | 10.09 | −21.09 | −7.82 | 11.87 | −26.23 | −5.41 | 11.80 | −45.49 | −1.05 |
| 2.25 | −1.72 | −28.06 | −14.93 | 2.97 | −33.66 | −12.64 | 4.87 | −56.37 | −7.95 |
| 2.50 | −15.23 | −35.20 | −22.40 | −6.78 | −41.29 | −20.26 | −2.61 | −67.59 | −15.22 |
| 2.75 | −31.14 | −42.59 | −30.42 | −17.68 | −49.10 | −28.42 | −10.77 | −79.34 | −23.00 |
| 3.00 | −51.01 | −50.46 | −39.34 | −30.39 | −57.42 | −37.45 | −19.98 | −92.22 | −31.57 |
© 2020 by the authors. Licensee MDPI, Basel, Switzerland. This article is an open access article distributed under the terms and conditions of the Creative Commons Attribution (CC BY) license (http://creativecommons.org/licenses/by/4.0/).
Share and Cite
Bienvenido-Huertas, D.; Sánchez-García, D.; Rubio-Bellido, C.; Pulido-Arcas, J.A. Influence of the Improvement in Thermal Expectation Levels with Adaptive Setpoint Temperatures on Energy Consumption. Appl. Sci. 2020, 10, 5282. https://doi.org/10.3390/app10155282
Bienvenido-Huertas D, Sánchez-García D, Rubio-Bellido C, Pulido-Arcas JA. Influence of the Improvement in Thermal Expectation Levels with Adaptive Setpoint Temperatures on Energy Consumption. Applied Sciences. 2020; 10(15):5282. https://doi.org/10.3390/app10155282
Chicago/Turabian StyleBienvenido-Huertas, David, Daniel Sánchez-García, Carlos Rubio-Bellido, and Jesús A. Pulido-Arcas. 2020. "Influence of the Improvement in Thermal Expectation Levels with Adaptive Setpoint Temperatures on Energy Consumption" Applied Sciences 10, no. 15: 5282. https://doi.org/10.3390/app10155282
APA StyleBienvenido-Huertas, D., Sánchez-García, D., Rubio-Bellido, C., & Pulido-Arcas, J. A. (2020). Influence of the Improvement in Thermal Expectation Levels with Adaptive Setpoint Temperatures on Energy Consumption. Applied Sciences, 10(15), 5282. https://doi.org/10.3390/app10155282

