Monotonic and Fatigue Properties of Steel Material Manufactured by Wire Arc Additive Manufacturing
Abstract
1. Introduction
- The process needs to be applicable with the classic materials of mechanical engineering, namely steel, and for manufacturing safety-relevant components. For this to be the case, the essential material properties must be known.
- To be economically applicable, the process must be optimized in such a way that short cycle times, and therefore, low unit costs result. At the same time, however, the strengths that can, in principle, be achieved must not be reduced significantly.
- Produced from one exemplary welding filler material normally used for welding base materials of tensile strengths of about 650 MPa,
- For which the interlayer temperature was varied during different manufacturing lots.
2. Specimen Materials and Experiments
2.1. Manufacturing and Preparation of Specimen Material
- Fatigue specimens with a diameter in the test range of 3 mm. The surfaces of the specimens in the test area were polished, Figure 2a;
- Tensile specimens with a diameter in the test range of 8 mm for monotonic tensile tests at elevated temperatures according to [12], Figure 2c.In addition,
- flat tensile specimens with a cross-section of 10 by 2.1 mm for measuring the local deformation behavior with digital image correlation, Figure 2d, were extracted from the raw cuboids. Technical drafts with complete measures can be found throughout the Supplementary Materials at the end of this paper.
2.2. Conducted Measurements and Experiments
3. Results
3.1. Microstructure and Local Distribution of Hardness
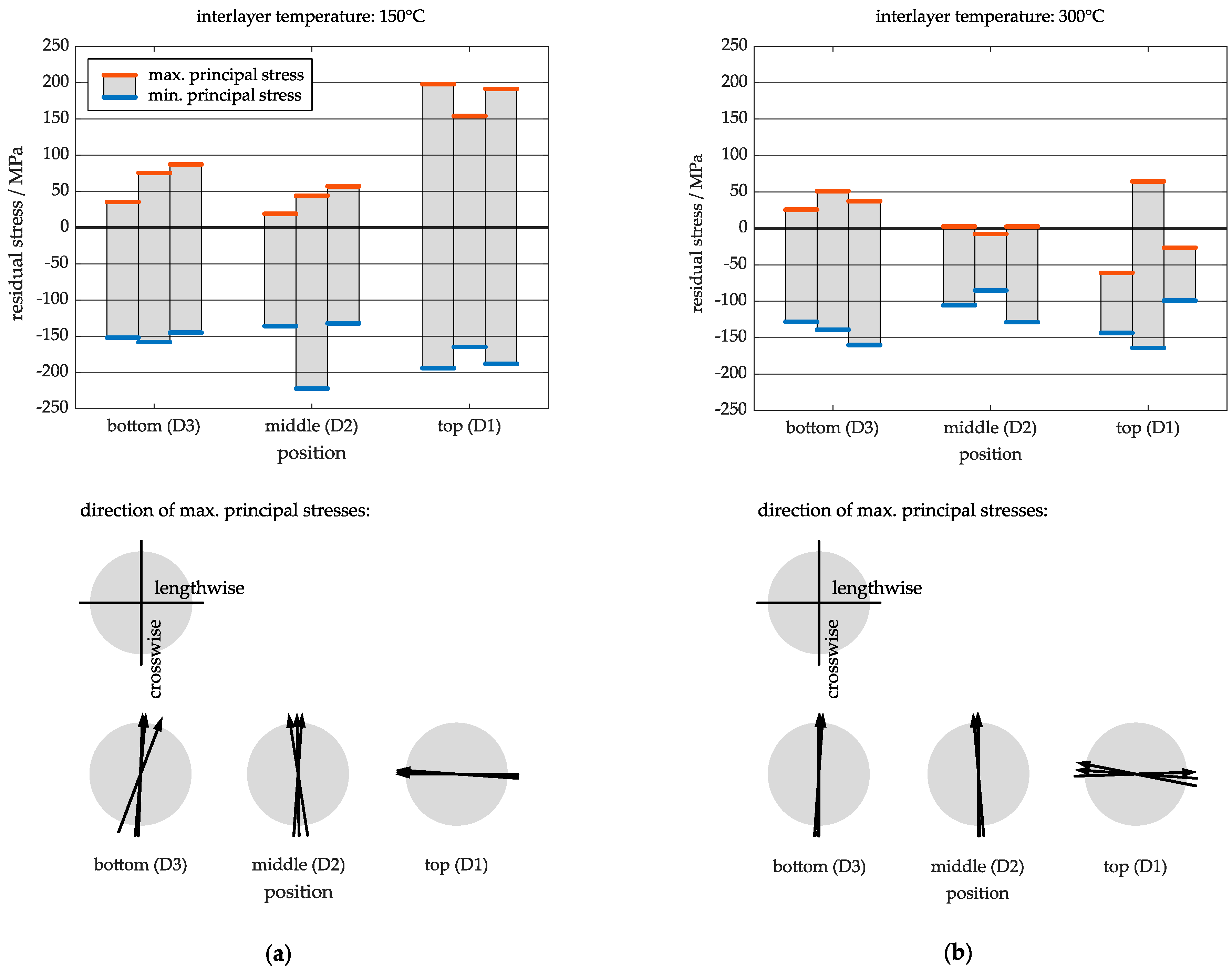
3.2. Residual Stresses
- tension and compression stresses are present within the material for both interlayer temperatures;
- for the normalized layers (measuring points D2 and D3) the residual stress states tend to be more on the compression side if the range between maximum and minimum principle stress is considered;
- the magnitude of the residual stresses and the spread between maximum and minimum principle stresses is, on average, lower for 300 °C than for 150 °C.
3.3. Monotonic and Fatigue Properties
3.3.1. Monotonic Tensile Properties
3.3.2. Fatigue Properties
3.4. Detailed Examination of Local Deformation Behaviour
4. Discussion
4.1. Findings from the Conducted Experiments
4.2. Comparison of the WAAM Material with Conventional Materials
- The yield strength is smaller than the specification by a factor of 1.4 to 1.5;
- The tensile strength is slightly below the specified minimal value;
- The elongation at rupture is larger than the specified minimal value by a factor of about 1.6.
5. Conclusions and Outlook
Supplementary Materials
Author Contributions
Funding
Conflicts of Interest
References
- Jin, W.; Zhang, C.; Jin, S.; Tian, Y.; Wellmann, D.; Liu, W. Wire Arc Additive Manufacturing of Stainless Steels: A Review. Appl. Sci. 2020, 10, 1563. [Google Scholar] [CrossRef]
- Yusuf, S.M.; Cutler, S.; Gao, N. Review: The Impact of Metal Additive Manufacturing on the Aerospace Industry. Metals 2019, 9, 1286. [Google Scholar] [CrossRef]
- Wu, B.; Pan, Z.; Ding, D.; Cuiuri, D.; Li, H.; Xu, J.; Norrish, J. A review of the wire arc additive manufacturing of metals: Properties, defects and quality improvement. J. Manuf. Process. 2018, 35, 127–139. [Google Scholar] [CrossRef]
- Gerhard, P. Manufacturing of turbine blades by shape giving CMT-Welding. In Proceeding of the 67th IIW Annual Assembly & International Conference, Seoul, Korea, 13–18 July 2014. [Google Scholar]
- Conner, B.P.; Manogharan, G.P.; Martof, A.N.; Rodomsky, L.M.; Rodomsky, C.M.; Jordan, D.C.; Limperos, J.W. Making sense of 3-D printing: Creating a map of additive manufacturing products and services. Addit. Manuf. 2014, 1–4, 64–76. [Google Scholar] [CrossRef]
- Gordon, J.; Hochhalter, J.; Haden, C.; Harlow, D.G. Enhancement in fatigue performance of metastable austenitic stainless steel through directed energy deposition additive manufacturing. Mater. Des. 2019, 168, 107630. [Google Scholar] [CrossRef]
- Kannan, A.R.; Kumar, S.M.; Kumar, N.P.; Shanmugam, N.S.; Vishnu, A.S.; Palguna, Y. Process-microstructural features for tailoring fatigue strength of wire arc additive manufactured functionally graded material of SS904L and Hastelloy C-276. Mater. Lett. 2020, 274, 127968. [Google Scholar] [CrossRef]
- Li, C.; Gu, H.; Wang, W.; Wang, S.; Ren, L.; Wang, Z.; Ming, Z.; Zhai, Y. Effect of Heat Input on Formability, Microstructure, and Properties of Al–7Si–0.6Mg Alloys Deposited by CMT-WAAM Process. Appl. Sci. 2020, 10, 70. [Google Scholar] [CrossRef]
- Lee, Y.; Bandari, Y.; Nandwana, P.; Gibson, B.T.; Richardson, B.; Simunovic, S. Effect of Interlayer Cooling Time, Constraint and Tool Path Strategy on Deformation of Large Components Made by Laser Metal Deposition with Wire. Appl. Sci. 2019, 9, 5115. [Google Scholar] [CrossRef]
- ISO 14341. Welding Consumables—Wire Electrodes and Weld Deposits for Gas Shielded Metal arc Welding of Non Alloy and Fine Grain Steels—Classification; International Organization for Standardization (ISO): Geneva, Switzerland, 2010. [Google Scholar]
- DIN 50125. Testing of Metallic Materials—Tensile Test Pieces; Deutsches Institut für Normung e.V. (DIN): Berlin, Germany, 2016. [Google Scholar]
- ISO 6892-2:2018(en). Metallic Materials—Tensile Testing—Part 2: Method of Test at Elevated Temperature; International Organization for Standardization (ISO): Geneva, Switzerland, 2018. [Google Scholar]
- ASTM E837-13a. Standard Test Method for Determining Residual Stresses by the Hole-Drilling Strain-Gage Method; American Society for Testing and Materials (ASTM): West Conshohocken, PA, USA, 2013. [Google Scholar]
- ISO 6507-1:2018(en). Metallic Materials—Vickers Hardness Test—Part 1: Test Method; International Organization for Standardization (ISO): Geneva, Switzerland, 2018. [Google Scholar]
- ISO 6892-1:2019(en). Metallic Materials—Tensile Testing—Part 1: Method of Test at Room Temperature; International Organization for Standardization (ISO): Geneva, Switzerland, 2019. [Google Scholar]
- Coffin, L.F., Jr. A Study of the Effects of Cyclic Thermal Stresses on a Ductile Metal. Trans. ASME 1954, 76, 931–950. [Google Scholar]
- Manson, S.S. Fatigue: A complex subject—Some simple approximations. Exp. Mech. 1965, 5, 193–226. [Google Scholar] [CrossRef]
- Ramberg, W.; Osgood, W.R. Description of Stress-Strain Curves by Three Parameters; National Advisory Committee for Aeronautics Press: Washington, DC, USA, 1943.
- SEP 1240. Testing and Documentation Guideline for the Experimental Determination of Mechanical Properties of Steel Sheets for CAE-Calculations; Stahl-Eisen-Prüfblätter (SEP) VDEh: Düsseldorf, Germany, 2006. [Google Scholar]
- Wächter, M.; Esderts, A. Contribution to the Evaluation of Stress Strain and Strain Life Curves. In Fatigue and Fracture Test Planning, Test Data Acquisitions and Analysis; Wei, Z., Nikbin, K., McKeighan, P., Harlow, D., Eds.; ASTM International: West Conshohocken, PA, USA, 2017; pp. 151–185. [Google Scholar]
- DIN 50100:2016-12. Load Controlled Fatigue Testing—Execution and Evaluation of Cyclic Tests at Constant Load Amplitudes on Metallic Specimens and Components; Deutsches Institut für Normung e.V. (DIN): Berlin, Germany, 2016. [Google Scholar]
- Müller, C.; Wächter, M.; Masendorf, R.; Esderts, A. Accuracy of fatigue limits estimated by the staircase method using different evaluation techniques. Int. J. Fatigue 2017, 100, 296–307. [Google Scholar] [CrossRef]
- Aboulfadl, H.; Deges, J.; Choi, P.; Raabe, D. Dynamic strain aging studied at the atomic scale. Acta Mater. 2015, 86, 34–42. [Google Scholar] [CrossRef]
- Queiroz, R.R.U.; Cunha, F.G.G.; Gonzalez, B.M. Study of dynamic strain aging in dual phase steel. Mater. Sci. Eng. A 2012, 543, 84–87. [Google Scholar] [CrossRef]
- François, D.; Pineau, A.; Zaoui, A. Mechanical Behaviour of Materials, 2nd ed.; Springer Publishing: Dordrecht, Holland, 2012; Volume 1. [Google Scholar]
- Dieter, G.E., Jr. Mechanical Metallurgy; McGraw-Hill Publishing: New York, NY, USA, 1961. [Google Scholar]
- Wächter, M.; Esderts, A. On the estimation of cyclic material properties—Part 2: Introduction of a new estimation method. Mater. Test. 2018, 60, 953–959. [Google Scholar] [CrossRef]















| Welding Parameters. | Value |
|---|---|
| Welding Current | 112 A |
| Voltage | 23.1 V |
| Wire Feed | 4.5 |
| Wire- | 1.2 mm |
| Inert Gas Quantity | 12 |
| Width of Pendulum Movement | 24 mm |
| Frequency of Pendulum Movement | 0.7 Hz |
| Feed | 50 |
| Path Velocity | 2.1 |
| Interlayer Temp./°C | Extraction Direction | Tensile Strength Rm/MPa | Upper Yield Strength ReH/MPa | Elongation at Rupture A | |||
|---|---|---|---|---|---|---|---|
| 150 | lengthwise | 539 | (1.9) | 377 | (2.5) | 29.3% | (3.0%) |
| 150 | crosswise | 539 | (14.7) | 376 | (11.0) | 27.9% | (2.4%) |
| 300 | lengthwise | 536 | (3.3) | 319 | (16.7) | 34.3% | (1.3%) |
| 300 | crosswise | 531 | (1.2) | 325 | (19.2) | 27.6% | (1.9%) |
| Interlayer Temp./°C | Test Temp./°C | Tensile Strength Rm/MPa | Yield Strength ReH/MPa or Rp0.2/MPa | Elongation at Rupture A |
|---|---|---|---|---|
| 150 | 20 | 549 | 385 | 31.3% |
| 150 | 150 | 503 | 364 | 23.6% |
| 150 | 300 | 585 | 358 | 24.1% |
| 300 | 20 | 542 | 343 | 29.2% |
| 300 | 150 | 477 | 319 | 26.7% |
| 300 | 300 | 550 | 318 | 23.9% |
| Interlayer Temp./°C | Extraction Direction | E/GPa | Strain–Life Curve | Cyclic Stress–Strain Curve | ||||
|---|---|---|---|---|---|---|---|---|
| b | c | K′/MPa | n′ | |||||
| 150 | lengthwise | 206 | 728.1 | −0.075 | 0.140 | −0.511 | 972.9 | 0.148 |
| 150 | crosswise | 206 | 707.4 | −0.067 | 0.292 | −0.550 | 821.3 | 0.121 |
| 300 | lengthwise | 206 | 707.7 | −0.081 | 0.199 | −0.542 | 900.6 | 0.149 |
| 300 | crosswise | 206 | 706.1 | −0.077 | 0.174 | −0.540 | 905.1 | 0.142 |
| Interlayer Temp./°C | Extraction Direction | Fatigue Limit σa,E/MPa | Fatigue Limit Converted to Strain εa,E |
|---|---|---|---|
| 150 | lengthwise | 256 | 0.137% |
| 150 | crosswise | 254 | 0.129% |
| 300 | lengthwise | 263 | 0.154% |
| 300 | crosswise | 267 | 0.148% |
| Property | Steel | Cast Steel |
|---|---|---|
| –0.097 | –0.102 | |
| E | 206 GPa | 206 GPa |
| –0.52 | –0.58 | |
| Range of validity | Rm = 121…2296 MPa | Rm = 496…1144 MPa |
© 2020 by the authors. Licensee MDPI, Basel, Switzerland. This article is an open access article distributed under the terms and conditions of the Creative Commons Attribution (CC BY) license (http://creativecommons.org/licenses/by/4.0/).
Share and Cite
Wächter, M.; Leicher, M.; Hupka, M.; Leistner, C.; Masendorf, L.; Treutler, K.; Kamper, S.; Esderts, A.; Wesling, V.; Hartmann, S. Monotonic and Fatigue Properties of Steel Material Manufactured by Wire Arc Additive Manufacturing. Appl. Sci. 2020, 10, 5238. https://doi.org/10.3390/app10155238
Wächter M, Leicher M, Hupka M, Leistner C, Masendorf L, Treutler K, Kamper S, Esderts A, Wesling V, Hartmann S. Monotonic and Fatigue Properties of Steel Material Manufactured by Wire Arc Additive Manufacturing. Applied Sciences. 2020; 10(15):5238. https://doi.org/10.3390/app10155238
Chicago/Turabian StyleWächter, Michael, Marcel Leicher, Moritz Hupka, Chris Leistner, Lukas Masendorf, Kai Treutler, Swenja Kamper, Alfons Esderts, Volker Wesling, and Stefan Hartmann. 2020. "Monotonic and Fatigue Properties of Steel Material Manufactured by Wire Arc Additive Manufacturing" Applied Sciences 10, no. 15: 5238. https://doi.org/10.3390/app10155238
APA StyleWächter, M., Leicher, M., Hupka, M., Leistner, C., Masendorf, L., Treutler, K., Kamper, S., Esderts, A., Wesling, V., & Hartmann, S. (2020). Monotonic and Fatigue Properties of Steel Material Manufactured by Wire Arc Additive Manufacturing. Applied Sciences, 10(15), 5238. https://doi.org/10.3390/app10155238

