Influence of Surface Reflection (Albedo) in Simulating the Sun Drying of Paddy Rice
Abstract
1. Introduction
2. Materials and Methods
2.1. Model Description
2.1.1. External Node
2.1.2. Intermediate Nodes
2.2. Measurement of Albedo
2.3. Drying Experiments
2.4. Statistical Analysis
2.4.1. Sensitivity Analysis
2.4.2. Albedo Model
3. Results
3.1. Measurements of Albedo
3.2. Parameters′ Influence
3.3. Meteorological Conditions during the Drying Experiments
3.4. Estimation of Temperatures
3.5. Estimation of Moisture Content during Drying
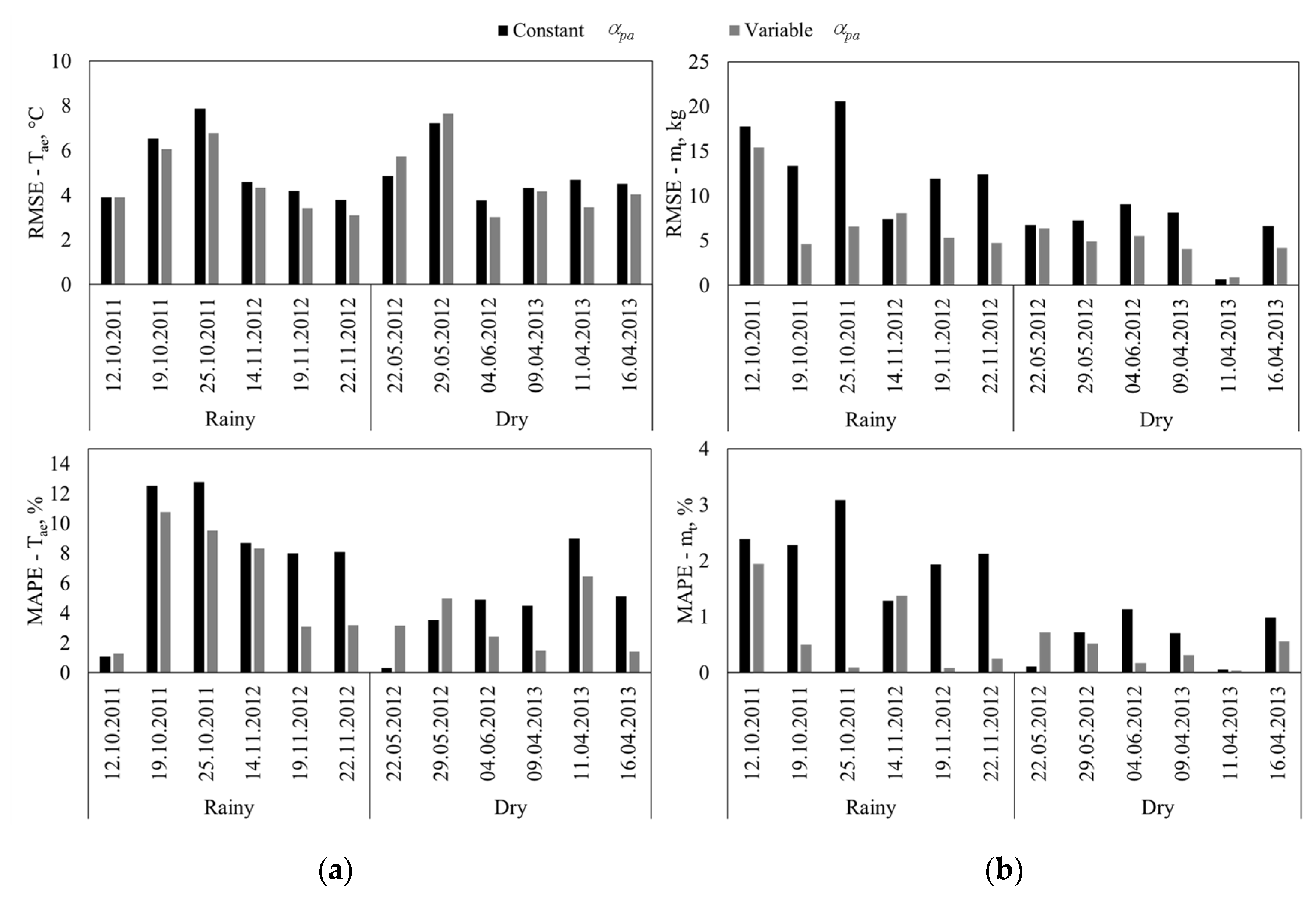
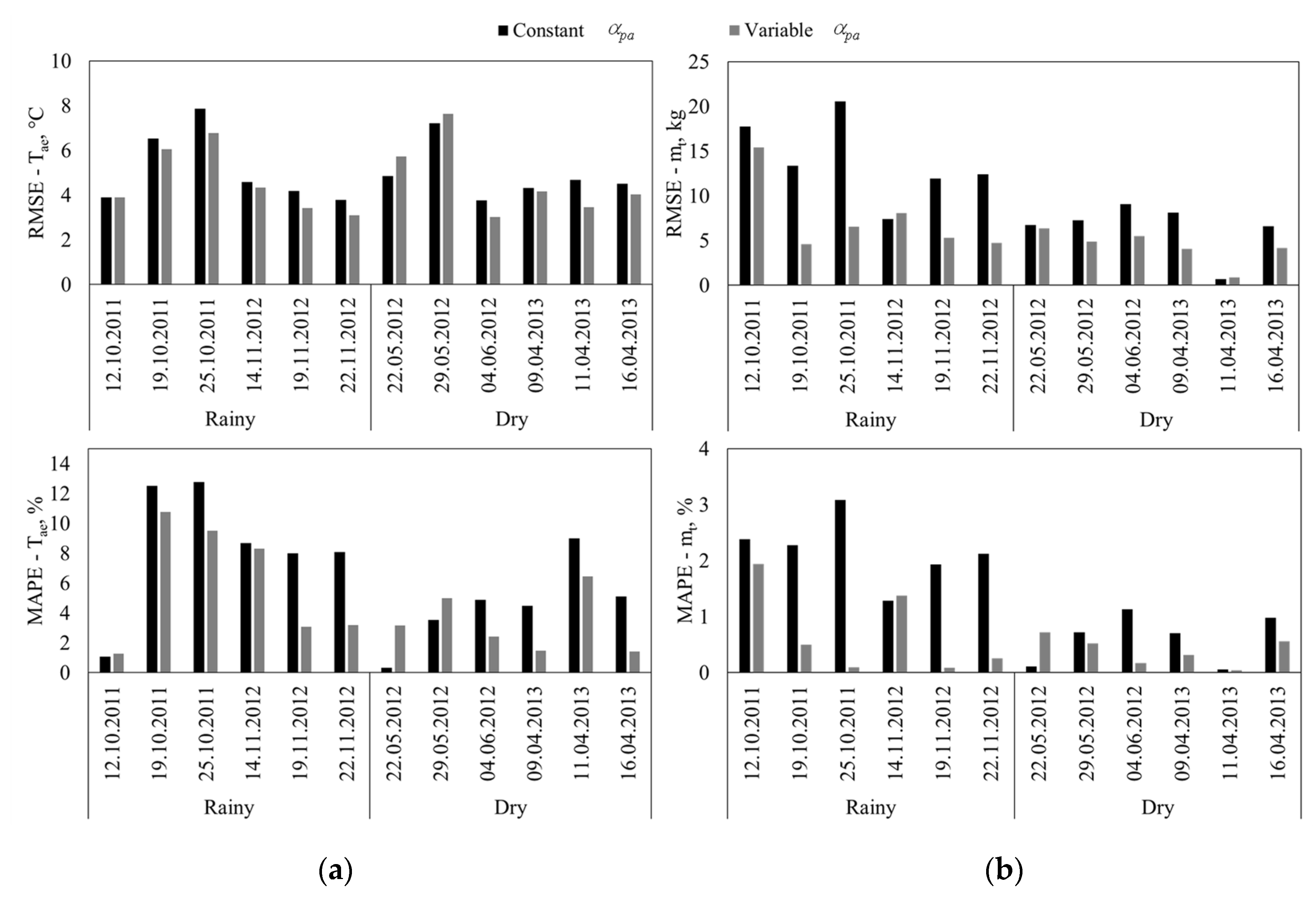
3.6. Accuracy of the Model of Variable vs. Constant Albedo
4. Discussion
5. Conclusions
Author Contributions
Funding
Acknowledgments
Conflicts of Interest
References
- Bhattacharya, K.R. 3-Milling Quality of Rice. In Rice Quality; Bhattacharya, K.R., Ed.; Woodhead Publishing: Cambridge, UK, 2013; pp. 61–99. [Google Scholar] [CrossRef]
- Verma, D.K.; Srivastav, P.P.; Nadaf, A.B. Nutritional Quality Evaluation of Different Rice Cultivars. In Agronomic Rice Practices and Postharvest Processing: Production and Quality Improvement; Apple Academic Press Inc.: Oakville, Canada, 2018; pp. 299–348. [Google Scholar]
- Salvatierra-Rojas, A.; Nagle, M.; Gummert, M.; de Bruin, T.; Müller, J. Development of an inflatable solar dryer for improved postharvest handling of paddy rice in humid climates. Int. J. Agric. Biol. Eng. 2017, 10, 269–282. [Google Scholar] [CrossRef]
- Meas, P.; Paterson, A.H.J.; Cleland, D.J.; Bronlund, J.E.; Mawson, A.J.; Hardacre, A.; Rickman, J.F. A mathematical model of solar drying of rice. Int. J. Food Eng. 2012, 8. [Google Scholar] [CrossRef]
- Jain, D.; Tiwari, G.N. Thermal aspects of open sun drying of various crops. Energy 2003, 28, 37–54. [Google Scholar] [CrossRef]
- Hande, A.R.; Swami, S.B.; Thakor, N.J. Open-Air Sun Drying of Kokum (Garcinia indica) Rind and Its Quality Evaluation. Agric. Res. 2016, 5, 373–383. [Google Scholar] [CrossRef]
- Anwar, S.I.; Tiwari, G.N. Evaluation of convective heat transfer coefficient in crop drying under open sun drying conditions. Energy Convers. Manag. 2001, 42, 627–637. [Google Scholar] [CrossRef]
- Kumar, M.; Khatak, P.; Sahdev, R.K.; Prakash, O. The effect of open sun and indoor forced convection on heat transfer coefficients for the drying of papad. J. Energy S. Afr. 2011, 22, 40–46. [Google Scholar] [CrossRef]
- Togrul, I.T. Determination of convective heat transfer coefficient of various crops under open sun drying conditions. Int. Commun. Heat Mass Transf. 2003, 30, 285–294. [Google Scholar] [CrossRef]
- Tsai, J.L.; Tsuang, B.J.; Lu, P.S.; Yao, M.H.; Shen, Y. Surface energy components and land characteristics of a rice paddy. J. Appl. Meteorol. Climatol. 2007, 46, 1879–1900. [Google Scholar] [CrossRef]
- Chu, S. Albedo. In Solar and Infrared Radiation Measurements, 2nd ed.; CRC Press: Boca Raton, FL, USA, 2012; pp. 193–204. [Google Scholar]
- Chappell, A.; Webb, N.P. Using albedo to reform wind erosion modelling, mapping and monitoring. Aeolian Res. 2016, 23, 63–78. [Google Scholar] [CrossRef]
- Cierniewski, J.; Ceglarek, J.; Kaźmierowski, C. Estimating the diurnal blue-sky albedo of soils with given roughness using their laboratory reflectance spectra. J. Quant. Spectrosc. Radiat. Transf. 2018, 217, 213–223. [Google Scholar] [CrossRef]
- Jacobs, A.F.G.; Van Pul, W.A.J. Seasonal changes in the albedo of a maize crop during two seasons. Agric. For. Meteorol. 1990, 49, 351–360. [Google Scholar] [CrossRef]
- Favero, A.; Sohngen, B.; Huang, Y.; Jin, Y. Global cost estimates of forest climate mitigation with albedo: A new integrative policy approach. Environ. Res. Lett. 2018, 13. [Google Scholar] [CrossRef]
- Nkemdirim, L.C. A Note on the Albedo of Surfaces. J. Appl. Meteorol. 1972, 11, 867–874. [Google Scholar] [CrossRef][Green Version]
- Arya, P.S. Radiation Balance Near the Surface. In Introduction to Micrometeorology, 2nd ed.; Holton, J.R., Ed.; Elsevier Science Publishing Co Inc.: San Diego, CA, USA, 2001; Volume 79, pp. 28–45. [Google Scholar]
- Ineichen, P.; Guisan, O.; Perez, R. Ground-reflected radiation and albedo. Sol. Energy 1990, 44, 207–214. [Google Scholar] [CrossRef]
- Wang, Z.; Barlage, M.; Zeng, X.; Dickinson, R.E.; Schaaf, C.B. The solar zenith angle dependence of desert albedo. Geophys. Res. Lett. 2005, 32, 1–4. [Google Scholar] [CrossRef]
- Yang, F.; Mitchell, K.; Hou, Y.-T.; Dai, Y.; Zeng, X.; Wang, Z.; Liang, X.-Z. Dependence of Land Surface Albedo on Solar Zenith Angle: Observations and Model Parameterization. J. Appl. Meteorol. Climatol. 2008, 47, 2963–2982. [Google Scholar] [CrossRef]
- Arinze, E.A.; Schoenau, G.J.; Bigsby, F.W. Determination of soar energy absoption and thermal radiative properties of some agricultural products. Trans. Am. Soc. Agric. Eng. 1987, 30, 259–265. [Google Scholar] [CrossRef]
- Murata, Y.; Miyasaka, A.; Munakata, K.; Akita, S. On the Solar Energy Balance of Rice Population in Relation to the Growth Stage. Jpn. J. Crop Sci. 1968, 37, 685–691. [Google Scholar] [CrossRef][Green Version]
- Iqbal, M. Ground Albedo. In An Introduction To Solar Radiation; Academic Press: Toronto, Canada, 1983; pp. 281–293. [Google Scholar]
- Higuchi, A.; Kondoh, A.; Kishi, S. Relationship among the surface albedo, spectral reflectance of canopy, and evaporative fraction at grassland and paddy field. Adv. Space Res. 2000, 26, 1043–1046. [Google Scholar] [CrossRef]
- Iwamoto, A.; Urano, S.I.; Aragaki, M. Water Budget and Estimation of Net Water Requirement for Paddy Field in the Zambezi River Flood Plain, Zambia. J. Agric. Meteorol. 1998, 54, 125–131. [Google Scholar] [CrossRef]
- Nakagawa, K.; Ooi, Y. The surface albedo distribution and its seasonal change over the Nagaoka area, Niigata Prefecture, central Japan, estimated with Landsat/MSS data. Geogr. Rev. Jpn. Ser. A 1992, 65, 769–790. [Google Scholar] [CrossRef]
- Susaki, J.; Yasuoka, Y.; Kajiwara, K.; Honda, Y.; Hara, K. Validation of MODIS albedo products of paddy fields in Japan. IEEE Trans. Geosci. Remote Sens. 2007, 45, 206–217. [Google Scholar] [CrossRef]
- Linacre, E. Estimating Climate Data. In Climate Data and Resources: A Reference and Guide; Routledge: London, UK, 1992; pp. 54–91. [Google Scholar]
- Maruyama, A.; Kuwagata, T.; Ohba, K.; Maki, T. Dependence of solar radiation transport in rice canopies on developmental stage. Jpn. Agric. Res. Q. 2007, 41, 39–45. [Google Scholar] [CrossRef]
- Gao, Z.; Bian, L.; Zhou, X. Measurements of turbulent transfer in the near-surface layer over a rice paddy in China. J. Geophys. Res. Atmos. 2003, 108, ACL 6-1–ACL 6-13. [Google Scholar] [CrossRef]
- Belessiotis, V.; Delyannis, E. Solar drying. Solar Energy 2011, 85, 1665–1691. [Google Scholar] [CrossRef]
- Bala, B.K. Fluid Mechanics and Heat Transfer in Solar Drying. In Solar Drying Systems: Simulations and Optimization; Agrotech Publishing Academy: Delhi, India, 1998; pp. 49–86. [Google Scholar]
- Berdahl, P.; Bretz, S.E. Preliminary survey of the solar reflectance of cool roofing materials. Energy Build. 1997, 25, 149–158. [Google Scholar] [CrossRef]
- Cao, C.; Lee, X.; Muhlhausen, J.; Bonneau, L.; Xu, J. Measuring landscape albedo using unmanned aerial vehicles. Remote Sens. 2018, 10, 1812. [Google Scholar] [CrossRef]
- ASTM. E1918-06-Standard Test Method for Measuring Solar Reflectance of Horizontal and Low-Sloped Surfaces in the Field; ASTM International: West Conshohocken, PA, USA, 2006. [Google Scholar]
- Qin, Y.; He, H. A new simplified method for measuring the albedo of limited extent targets. Solar Energy 2017, 157, 1047–1055. [Google Scholar] [CrossRef]
- Sailor, D.J.; Resh, K.; Segura, D. Field measurement of albedo for limited extent test surfaces. Solar Energy 2006, 80, 589–599. [Google Scholar] [CrossRef]
- Das, T.; Bora, G. Greenhouse Solar Thermal Application. In Handbook of Research on Solar Energy Systems and Technologies; Anwar, S., Ed.; IGI Global: Hershey, PA, USA, 2013; pp. 462–479. [Google Scholar]
- Brooker, D.B.; Bakker-Arkema, F.W.; Hall, C.W. Grain structure, composition and properties. In Drying and Storage Of Grains and Oilseeds; Springer Science & Business Media: New York, NY, USA, 1992; pp. 19–26. [Google Scholar]
- MathWorks. PS Lookup Table (1D). Available online: https://de.mathworks.com/help/physmod/simscape/ref/pslookuptable1d.html (accessed on 28 June 2020).
- Duffie, J.A.; Beckman, W.A. Selected Heat Transfer Topics. In Solar Engineering of Thermal Processes, 4th ed.; John Wiley & Sons Inc.: Hoboken, NJ, USA, 2013; pp. 138–172. [Google Scholar]
- Palmer, J. The Measurement of Transmission, Absoption, Emission and Reflection. In Handbook of Optics: Devices, Measurements, and Properties, 2nd ed.; Bass, M., Ed.; McGraw-Hill Inc.: New York, NY, USA, 1995; pp. 25.1–25.25. [Google Scholar]
- ASABE. Psychrometric Data. ASAE D271.2 APR1979, R2014. Available online: http://elibrary.asabe.org/abstract.asp?aid=32006&t=2 (accessed on 3 June 2020).
- Campbell, G.S. Soil Temperature and Heat Flow. In Soil Physics with BASIC: Transport Models for Soil-Plant Systems; Elsevier Science: Amsterdam, The Netherlands, 1985; Volume 14, pp. 26–39. [Google Scholar]
- Takakura, T.; Fang, W. Heat Balance of Bare Ground. In Climate Under Cover, 2nd ed.; Springer Science & Business Media: New York, NY, USA, 2002; pp. 45–64. [Google Scholar]
- Campbell, G.S.; Norman, J. Radiation Fluxes in Natural Environments. In An Introduction to Environmental Biophysics, 2nd ed.; Springer: New York, NY, USA, 2012; pp. 167–184. [Google Scholar]
- Sodha, M.S.; Bansal, P.K.; Dang, A.; Sharma, S.B. Open Sun Drying: An Analytical Study. Dry. Technol. 1985, 3, 517–527. [Google Scholar] [CrossRef]
- Bai, B.C.; Park, D.W.; Vo, H.V.; Dessouky, S.; Im, J.S. Thermal Properties of Asphalt Mixtures Modified with Conductive Fillers. J. Nanomater. 2015, 2015. [Google Scholar] [CrossRef]
- Sreedhar, S.; Biligiri, K.P. Development of pavement temperature predictive models using thermophysical properties to assess urban climates in the built environment. Sustain. Cities Soc. 2016, 22, 78–85. [Google Scholar] [CrossRef]
- Hassn, A.; Chiarelli, A.; Dawson, A.; Garcia, A. Thermal properties of asphalt pavements under dry and wet conditions. Mater. Des. 2016, 91, 432–439. [Google Scholar] [CrossRef]
- Subramanian, M.N. Polymers. In Polymer Blends and Composites: Chemistry and Technology; John Wiley & Sons Inc.: Beverly, MA, USA, 2017; pp. 7–55. [Google Scholar]
- Crawford, R.J. General Properties of Plastics. In Plastics Engineering, 2nd ed.; Pergamon Press: Oxford, UK, 1987; pp. 1–40. [Google Scholar]
- Meas, P. Mathematical Modelling and Improvement of Operating Practices of Sun Drying of Rice: A Thesis Presented in Partial Fulfilment of the Requirements for the Degree of Doctor of Phylosophy [i.e. Philosophy] at Massey University. Ph.D. Thesis, Massey University, Wellington, New Zealand, 2008. [Google Scholar]
- Iguaz, A.; San Martín, M.B.; Arroqui, C.; Fernández, T.; Maté, J.I.; Vírseda, P. Thermophysical properties of medium grain rough rice (LIDO cultivar) at medium and low temperatures. Eur. Food Res. Technol. 2003, 217, 224–229. [Google Scholar] [CrossRef]
- Garratt, J.R. Energy Fluxes at the Land Surface. In The Atmospheric Boundary Layer; Houghton, J., Rycroft, M., Dessler, A., Eds.; Cambridge University Press: Cambridge, UK, 1994; pp. 115–144. [Google Scholar]
- MathWorks. Ordinary Differential Equations. Available online: https://de.mathworks.com/help/matlab/ordinary-differential-equations.html?s_tid=CRUX_lftnav (accessed on 2 March 2020).
- Berrizbeitia, S.E.; Gago, E.J.; Muneer, T. Empirical models for the estimation of solar sky-diffuse radiation. A review and experimental analysis. Energies 2020, 13, 701. [Google Scholar] [CrossRef]
- Zheng, Z.; Wei, Z.; Wen, Z.; Dong, W.; Li, Z.; Wen, X.; Zhu, X.; Ji, D.; Chen, C.; Yan, D. Inclusion of Solar Elevation Angle in Land Surface Albedo Parameterization Over Bare Soil Surface. J. Adv. Model. Earth Syst. 2017, 9, 3069–3081. [Google Scholar] [CrossRef]
- RKB. Measuring rice moisture content. Available online: http://www.knowledgebank.irri.org/training/fact-sheets/postharvest-management/rice-quality-fact-sheet-category/item/measuring-rice-moisture-content-fact-sheet (accessed on 1 February 2020).
- Saltelli, A.; Ratto, M.; Andres, T.; Campolongo, F.; Cariboni, J.; Gatelli, D.; Saisana, M.; Tarantola, S. Global Sensitivity Analysis. The Primer; John Wiley & Sons: Hoboken, NJ, USA, 2008; pp. 1–292. [Google Scholar] [CrossRef]
- MathWorks. Sensitivity Analysis. Available online: https://de.mathworks.com/help/sldo/sensitivity-analysis.html (accessed on 2 March 2020).
- The MathWorks Inc. MATLAB, version 9.6.0 (R2019a); The MathWorks Inc.: Natick, MA, USA, 2019. [Google Scholar]












| Material | Parameter | Definition | Values | ||
|---|---|---|---|---|---|
| Min | Max | Mean | |||
| Soil [4,44,45,46,47] | λso | Thermal conductivity, kJ m−1 K−1 h−1 | 0.5190 | 5.5000 | 2.2598 |
| cpso | Volumetric heat capacity, kJ m−3 K−1 | 2000 | 3835 | 2780 | |
| Asphalt [48,49,50] | λas | Thermal conductivity, kJ m−1 K−1 h−1 | 0.8800 | 1.8660 | 1.3020 |
| cpas | Volumetric heat capacity, kJ m−3 K−1 | 2188 | 2287 | 2247 | |
| PVC tarpaulin [51,52] | λta | Thermal conductivity, kJ m−1 K−1 h−1 | 0.1400 | 0.1500 | 0.1450 |
| cpta | Volumetric heat capacity, kJ m−3 K−1 | 1439 | 1950 | 1694 | |
| Paddy rice [39,53,54] | λpa | Thermal conductivity, kJ m−1 K−1 h−1 | 0.0895 | 0.1250 | 0.1068 |
| cppa | Volumetric heat capacity, kJ m−3 K−1 | 669 | 891 | 754 | |
| ρpa | Bulk density, kg m−3 | 585 | 600 | 592 | |
| [10,17,21,24,30,31,32,55] | αpa | Albedo of paddy rice, - | 0.0900 | 0.5000 | 0.1957 |
| Specifications | Pyranometer Type | |
|---|---|---|
| CMP6 Downward | CMP11 Upward | |
| Field of view | 180° | 180° |
| Response time | 18 s | 5 s |
| Sensitivity | 9.05 × 10−6 V W−1 m2 | 4.96 × 10−6 V W−1 m2 |
| Temperature dependence of sensitivity | <4% | <1% |
| Spectral range | 285–2800 nm | 285–2800 nm |
| Operating temperature | −40 to + 80°C | −40 to + 80°C |
| Season | Date | MCini | Drying Time | Albedo | Tae | mt |
|---|---|---|---|---|---|---|
| -- | h | R2 | R2 | |||
| -- | -- | |||||
| Rainy | 12.10.2011 | 0.3363 | 52.0 | C | 0.6396 | 0.2029 |
| V | 0.6114 | 0.2182 | ||||
| 19.10.2011 | 0.2490 | 52.3 | C | 0.8363 | 0.8952 | |
| V | 0.8161 | 0.9049 | ||||
| 25.10.2011 | 0.2909 | 76.7 | C | 0.6562 | 0.8524 | |
| V | 0.6753 | 0.8682 | ||||
| 14.11.2012 | 0.3810 | 43.0 | C | 0.8199 | 0.8611 | |
| V | 0.8729 | 0.8160 | ||||
| 19.11.2012 | 0.3530 | 54.4 | C | 0.8335 | 0.9021 | |
| V | 0.7427 | 0.9012 | ||||
| 22.11.2012 | 0.2578 | 49.5 | C | 0.8777 | 0.8491 | |
| V | 0.8328 | 0.8352 | ||||
| Dry | 22.05.2012 | 0.2431 | 26.0 | C | 0.8012 | 0.6700 |
| V | 0.7234 | 0.6722 | ||||
| 29.05.2012 | 0.2441 | 30.0 | C | 0.8012 | 0.7000 | |
| V | 0.8135 | 0.7340 | ||||
| 04.06.2012 | 0.2427 | 33.0 | C | 0.8725 | 0.8426 | |
| V | 0.8818 | 0.8490 | ||||
| 09.04.2013 | 0.1897 | 29.5 | C | 0.8062 | 0.9328 | |
| V | 0.7471 | 0.9405 | ||||
| 11.04.2013 | 0.1680 | 3.5 | C | 0.9246 | 0.9847 | |
| V | 0.9304 | 0.9859 | ||||
| 16.04.2013 | 0.2589 | 29.5 | C | 0.7682 | 0.9692 | |
| V | 0.7611 | 0.9571 |
© 2020 by the authors. Licensee MDPI, Basel, Switzerland. This article is an open access article distributed under the terms and conditions of the Creative Commons Attribution (CC BY) license (http://creativecommons.org/licenses/by/4.0/).
Share and Cite
Salvatierra-Rojas, A.; Torres-Toledo, V.; Müller, J. Influence of Surface Reflection (Albedo) in Simulating the Sun Drying of Paddy Rice. Appl. Sci. 2020, 10, 5092. https://doi.org/10.3390/app10155092
Salvatierra-Rojas A, Torres-Toledo V, Müller J. Influence of Surface Reflection (Albedo) in Simulating the Sun Drying of Paddy Rice. Applied Sciences. 2020; 10(15):5092. https://doi.org/10.3390/app10155092
Chicago/Turabian StyleSalvatierra-Rojas, Ana, Victor Torres-Toledo, and Joachim Müller. 2020. "Influence of Surface Reflection (Albedo) in Simulating the Sun Drying of Paddy Rice" Applied Sciences 10, no. 15: 5092. https://doi.org/10.3390/app10155092
APA StyleSalvatierra-Rojas, A., Torres-Toledo, V., & Müller, J. (2020). Influence of Surface Reflection (Albedo) in Simulating the Sun Drying of Paddy Rice. Applied Sciences, 10(15), 5092. https://doi.org/10.3390/app10155092

