A Deep Learning Method for Short-Term Dynamic Positioning Load Forecasting in Maritime Microgrids
Abstract
Featured Application
Abstract
1. Introduction
2. Review of Artificial Neural Networks
2.1. The Architecture of Multilayer Perceptron
2.2. Back Propagation Algorithm
2.3. The Back-Propagation Training Algorithm of MLP
2.4. Recurrent Dynamic Neural Network
3. The Proposed Method
4. Test Results and Discussions
4.1. Scenario 1: Operation at Sea State
4.2. Scenario 2: Weekly Load Forecast in Various Sea Conditions
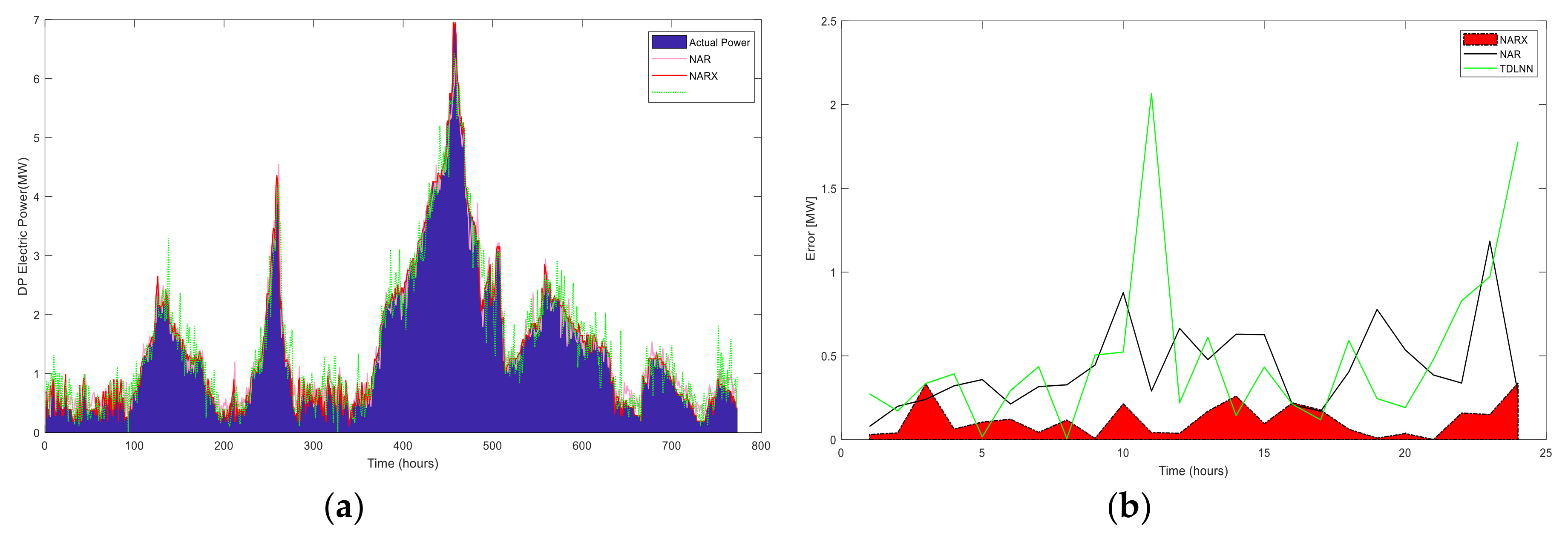
4.3. Scenario 3: Hourly Load Forecasting
5. Conclusions
Author Contributions
Funding
Conflicts of Interest
Appendix A
| Activation Functions | Formula a = f(u) | Derivatives | Comments |
|---|---|---|---|
| Sigmoid | Commonly used; derivative can be computed from f (u) | ||
| Hyperbolic tangent | T = temperature parameter | ||
| Inverse tangent | Less frequently used | ||
| Linear | a | Most commonly used |
| Hours | NARX | NAR | TDL-NN | |||
|---|---|---|---|---|---|---|
| (MW) | Mp (%) | (MW) | Mp (%) | (MW) | Mp (%) | |
| 1 | 0.0302 | 0.0400 | 0.0788 | 0.1196 | 0.2737 | 0.4153 |
| 2 | 0.1712 | 0.2500 | 0.1987 | 0.3015 | 0.0400 | 0.0606 |
| 3 | 0.3328 | 0.5049 | 0.2407 | 0.3652 | 0.3357 | 0.5094 |
| 4 | 0.3925 | 0.5956 | 0.3211 | 0.4872 | 0.0630 | 0.0956 |
| 5 | 0.1046 | 0.1587 | 0.3585 | 0.5440 | 0.0163 | 0.0248 |
| 6 | 0.1217 | 0.1847 | 0.2125 | 0.3225 | 0.2928 | 0.4443 |
| 7 | 0.0433 | 0.0657 | 0.3164 | 0.4802 | 0.4359 | 0.6614 |
| 8 | 0.1172 | 0.1778 | 0.3272 | 0.4965 | 0.0056 | 0.0086 |
| 9 | 0.0070 | 0.0106 | 0.4455 | 0.6761 | 0.5047 | 0.7659 |
| 10 | 0.6426 | 0.9752 | 0.8781 | 1.3324 | 0.5230 | 0.7936 |
| 11 | 0.2902 | 0.4404 | 0.0424 | 0.0644 | 2.0665 | 3.1358 |
| 12 | 1.8061 | 2.7407 | 0.6637 | 1.0071 | 0.2195 | 0.3330 |
| 13 | 0.4779 | 0.7251 | 0.1697 | 0.2575 | 0.6114 | 0.9278 |
| 14 | 0.2603 | 0.3950 | 0.6292 | 0.9547 | 0.1439 | 0.2184 |
| 15 | 0.0953 | 0.1445 | 0.6268 | 0.9511 | 0.4331 | 0.6572 |
| 16 | 0.2194 | 0.3329 | 0.2076 | 0.3150 | 0.2107 | 0.3198 |
| 17 | 0.1765 | 0.2679 | 0.1692 | 0.2567 | 0.1182 | 0.1794 |
| 18 | 0.0618 | 0.0938 | 0.4043 | 0.6136 | 0.5913 | 0.8973 |
| 19 | 0.2448 | 0.3715 | 0.7774 | 1.1797 | 0.0090 | 0.0136 |
| 20 | 0.0363 | 0.0551 | 0.5358 | 0.8131 | 0.1915 | 0.2905 |
| 21 | 0.0003 | 0.0004 | 0.3856 | 0.5851 | 0.4777 | 0.7249 |
| 22 | 0.1585 | 0.2406 | 0.3378 | 0.5126 | 0.8286 | 1.2574 |
| 23 | 0.1496 | 0.2271 | 1.1846 | 1.7976 | 0.9727 | 1.4760 |
| 24 | 0.3385 | 0.5136 | 0.2744 | 0.4164 | 1.7787 | 2.6991 |
| Average | 0.2616 | 0.3963 | 0.4077 | 0.6187 | 0.4643 | 0.7046 |
References
- Fossen, T.I. Guidance and Control of Ocean Vehicles. Ph.D. Thesis, University of Trondheim, Trondheim, Norway, 1999. [Google Scholar]
- Fossen, T.I. A survey on nonlinear ship control: From theory to practice. IFAC Proc. Vol. 2000, 33, 1–16. [Google Scholar] [CrossRef]
- Grimble, M.; Patton, R.; Wise, D. The design of dynamic ship positioning control systems using extended Lalman filtering techniques. In Proceedings of the OCEANS’ 79, San Diego, CA, USA, 17–19 September 1979; pp. 488–497. [Google Scholar]
- Balchen, J.; Jenssen, N.; Mathisen, E.; Saelid, S. Dynamic positioning of floating vessels based on Kalman filtering and optimal control. In Proceedings of the 1980 19th IEEE Conference on Decision and Control including the Symposium on Adaptive Processes, Albuquerque, NM, USA, 10–12 December 1980; pp. 852–864. [Google Scholar]
- Grimble, M.; Patton, R.; Wise, D. Use of Kalman filtering techniques in dynamic ship-positioning systems. IEE Proc. D Control. Theory Appl. 1980, 127, 93. [Google Scholar] [CrossRef]
- Saelid, S.; Jenssen, N.; Balchen, J. Design and analysis of a dynamic positioning system based on Kalman filtering and optimal control. IEEE Trans. Automat. Contr. 1983, 28, 331–339. [Google Scholar] [CrossRef]
- Fossen, T.I.; Pérez, T. Kalman filtering for positioning and heading control of ships and offshore rigs. IEEE Control. Syst. 2009, 29, 32–46. [Google Scholar] [CrossRef]
- Fossen, T.I.; Grovlen, A. Nonlinear output feedback control of dynamically positioned ships using vectorial observer backstepping. IEEE Trans. Control Syst. Technol. 1998, 6, 121–128. [Google Scholar] [CrossRef]
- Fossen, T.I.; Strand, J.P. Passive nonlinear observer design for ships using lyapunov methods: Full-scale experiments with a supply vessel. Automatica 1999, 35, 3–16. [Google Scholar] [CrossRef]
- Loria, A.; Fossen, T.I.; Panteley, E. A separation principle for dynamic positioning of ships: Theoretical and experimental results. IEEE Trans. Control Syst. Technol. 2000, 8, 332–343. [Google Scholar] [CrossRef]
- Sørensen, A.J.; Sagatun, S.I.; Fossen, T.I. Design of a dynamic positioning system using model-based control. Control Eng. Pract. 1996, 4, 359–368. [Google Scholar] [CrossRef]
- Fossen, T.I.; Paulsen, M.J. Adaptive feedback linearization applied to steering of ships. In Proceedings of the IEEE Conference on Control Applications, Dayton, OH, USA, 13–16 September 1992; pp. 1088–1093. [Google Scholar]
- Candeloro, M.; Sørensen, A.J.; Longhi, S.; Dukan, F. Observers for dynamic positioning of ROVs with experimental results. IFAC Proc. Vol. 2012, 45, 85–90. [Google Scholar] [CrossRef]
- Yamamoto, F.M.; Morooka, C. Dynamic positioning system of the semi-submersible platform using fuzzy control. J. Braz. Soc. Mech. Sci. Eng. 2005, 27, 449–455. [Google Scholar] [CrossRef]
- Hu, X.; Du, J.; Shi, J. Adaptive fuzzy controller design for dynamic positioning system of vessels. Appl. Ocean Res. 2015, 53, 46–53. [Google Scholar] [CrossRef]
- Tao, W.; Shaocheng, T. Adaptive fuzzy robust control for nonlinear system with dynamic uncertainties based on backstepping. In Proceedings of the International Conference on Innovative Computing Information and Control, Liaoning, China, 18–20 June 2008. [Google Scholar]
- Chin, C.S.; Lio, C.S. Sliding-mode control of STENA DRILLMAX drillship with environmental disturbances for dynamic positioning. In Proceedings of the 11th International Conference on Modelling, Identification and Control, Tianjin, China, 13–15 July 2019; pp. 99–111. [Google Scholar]
- Stephens, R.J.; Burnham, K.J.; Reeve, P.J. A practical approach to the design of fuzzy controllers with application to dynamic ship positioning. IFAC Proc. Vol. 1995, 28, 370–377. [Google Scholar] [CrossRef]
- He, H.; Xu, S.; Wang, L. Mitigating surge–pitch coupled motion by a novel adaptive fuzzy damping controller for a semisubmersible platform. J. Mar. Sci. Technol. 2020, 25, 234–248. [Google Scholar] [CrossRef]
- Wang, Y.; Zhang, X.; Fu, Y.; Ding, F.; Fu, M.; Wang, C. Adaptive fuzzy sliding mode controller for dynamic positioning of FPSO vessels. In Proceedings of the OCEANS, Marseille, France, 17–20 June 2019. [Google Scholar]
- Fang, M.C.; Lee, Z.Y. Application of neuro-fuzzy algorithm to a portable dynamic positioning control system for ships. Int. J. Nav. Archit. Ocean Eng. 2016, 8, 38–52. [Google Scholar] [CrossRef]
- Du, J.; Yang, Y.; Wang, D.; Guo, C. A robust adaptive neural networks controller for maritime dynamic positioning system. Neurocomputing 2013, 110, 128–136. [Google Scholar] [CrossRef]
- Jang, J.S.R.; Sun, C. Neuro-fuzzy modeling and control. Proc. IEEE 1995, 83, 378–406. [Google Scholar] [CrossRef]
- Sørensen, A.J. A survey of dynamic positioning control systems. Annu. Rev. Control 2011, 35, 123–136. [Google Scholar] [CrossRef]
- Nguyen, T.D.; Sørensen, A.J.; Quek, S.T. Design of hybrid controller for dynamic positioning from calm to extreme sea conditions. Automatica 2007, 43, 768–785. [Google Scholar] [CrossRef]
- Fossen, T.I. Handbook of Marine Craft Hydrodynamics and Motion Control. IEEE Control Syst. 2016, 36, 78–79. [Google Scholar]
- Ambrosovskaya, M.E. Design and control session approach for advanced testing of DP control system. In Proceedings of the MTS DP Conference, Houston, TX, USA, 14–15 October 2014. [Google Scholar]
- Donnarumma, S.; Figari, M.; Martelli, M.; Vignolo, S.; Viviani, M. Design and validation of dynamic positioning for marine systems: A case study. IEEE J. Ocean. Eng. 2018, 43, 677–688. [Google Scholar] [CrossRef]
- Dynamic Positioning System, Dual Redundant-K-Pos DP-21/22-Kongsberg Maritime. Available online: https://www.km.kongsberg.com/ks/web/nokbg0240.nsf/AllWeb/A18DA50D246AC221C1256A46002D6505?OpenDocument. (accessed on 25 December 2018).
- Sotnikova, M.V.; Veremey, E.I. Dynamic positioning based on nonlinear MPC. IFAC Proc. Vol. 2013, 46, 37–42. [Google Scholar] [CrossRef]
- Veksler, A.; Johansen, T.A.; Borrelli, F.; Realfsen, B. Dynamic positioning with model predictive control. IEEE Trans. Control Syst. Technol. 2016, 24, 1340–1353. [Google Scholar] [CrossRef]
- Zhang, H.; Rudy, N.R.; Lodewijks, G. Trajectory tracking of autonomous vessels using model predictive control. IFAC Proc. Vol. 2014, 47, 8812–8818. [Google Scholar] [CrossRef]
- Yan, Z.; Wang, J. Model predictive control for tracking of underactuated vessels based on recurrent neural networks. IEEE J. Ocean. Eng. 2012, 37, 717–726. [Google Scholar] [CrossRef]
- Chen, H.; Wan, L.; Wang, F.; Zhang, G. Model predictive controller design for the dynamic positioning system of a semi-submersible platform. J. Mar. Sci. Appl. 2012, 11, 361–367. [Google Scholar] [CrossRef]
- Zheng, H.; Wu, J.; Wu, W.; Zhang, Y. Robust dynamic positioning of autonomous surface vessels with tube-based model predictive control. Ocean. Eng. 2020, 199, 106820. [Google Scholar] [CrossRef]
- Cheng, X.; Li, G.; Ellefsen, A.L.; Chen, S.; Hildre, H.P.; Zhang, H. A Novel Densely Connected Convolutional Neural Network for Sea State Estimation Using Ship Motion Data. IEEE Trans. Instrum. Meas. 2020, 1. [Google Scholar] [CrossRef]
- Zhao, F.; Yang, W.; Tan, W.W.; Yu, W.; Yang, J.; Chou, S.K. Power management of vessel propulsion system for thrust efficiency and emissions mitigation. Appl. Energy 2016, 161, 124–132. [Google Scholar] [CrossRef]
- Veksler, A.; Johansen, T.A.; Skjetne, R. Thrust allocation with power management functionality on dynamically positioned vessels. In Proceedings of the American Control Conference, Montreal, QC, Canada, 27–29 June 2012; pp. 1468–1475. [Google Scholar]
- Shen, Q.; Ramachandran, B.; Srivastava, S.K.; Andrus, M.; Cartes, D.A. Power and energy management in integrated power system. In Proceedings of the 2011 IEEE Electric Ship Technologies Symposium, Alexandria, VA, USA, 10–13 April 2011; pp. 414–419. [Google Scholar]
- Veksler, A.; Johansen, T.A.; Skjetne, R.; Mathiesen, E. Thrust allocation with dynamic power consumption modulation for diesel-electric ships. IEEE Trans. Control Syst. Technol. 2016, 24, 578–593. [Google Scholar] [CrossRef][Green Version]
- Mehrzadi, M.; Su, C.-L.; Terriche, Y.; Vasquez, J.C.; Guerrero, J.M. Operation Planning of Standalone Maritime Power Systems Using Particle Swarm Optimization. In Proceedings of the 2019 1st International Conference on Electrical, Control and Instrumentation Engineering (ICECIE), Kuala Lumpur, Malaysia, 25 November 2019; pp. 1–6. [Google Scholar]
- Anvari-Moghaddam, A.; Dragicevic, T.; Meng, L.; Sun, B.; Guerrero, J.M. Optimal planning and operation management of a ship electrical power system with energy storage system. In Proceedings of the 42nd Annual Conference of the IEEE Industrial Electronics Society, Florence, Italy, 23–26 October 2016; pp. 2095–2099. [Google Scholar]
- Skjong, E.; Johansen, T.A.; Molinas, M.; Sorensen, A.J. Approaches to Economic Energy Management in Diesel-Electric Marine Vessels. IEEE Trans. Transp. Electrif. 2017, 3, 22–35. [Google Scholar] [CrossRef]
- Ganguly, A.; Goswami, K.; Mukherjee, A.; Sil, A.K. Short-term load forecasting for peak load reduction using artificial neural network technique. In Advances in Computer, Communication and Control. Lecture Notes in Networks and Systems Proceedings of the Advances in Computer, Communication and Control; Biswas, U., Banerjee, A., Pal, S., Biswas, A., Sarkar, D., Haldar, S., Eds.; Springer: Singapore, February 2019; Volume 41, pp. 551–559. [Google Scholar]
- Azad, H.B.; Mekhilef, S.; Gounder, V. Long-term wind speed forecasting and general pattern recognition using neural network. IEEE Trans. Sustain. Energy 2014, 5, 546–553. [Google Scholar] [CrossRef]
- Taylor, J.W. Short-term electricity demand forecasting using double seasonal exponential smoothing. J. Oper. Res. Soc. 2003, 54, 799–807. [Google Scholar] [CrossRef]
- Quan, H.; Srinivasan, D.; Khosravi, A. Short-term load and wind power forecasting using neural network-based prediction intervals. IEEE Trans. Neural Netw. Learn. Syst. 2014, 25, 303–315. [Google Scholar] [CrossRef]
- Li, D.; Jayaweera, S.K. Uncertainty modeling and prediction for customer load demand in smart grid. In Proceedings of the 2013 IEEE Energytech, Cleveland, OH, USA, 21–23 May 2013; pp. 1–6. [Google Scholar]
- Cheng, L.; Bao, Y. Short-term power load forecasting based on empirical mode decomposition and deep neural network. In Proceedings of the Purple Mountain Forum International Forum on Smart Grid Protection and Control, Nanjing, China, 17–18 August 2019; pp. 757–768. [Google Scholar]
- Singhal, R.; Choudhary, N.K.; Singh, N. Short-Term Load Forecasting Using Hybrid ARIMA and Artificial Neural Network Model. Lect. Notes Electr. Eng. 2019, 935–947. [Google Scholar] [CrossRef]
- Ahmed, K.M.U.; Ampatzis, M.; Nguyen, P.H.; Kling, W.L. Application of time series and artificial neural network models in short term load forecasting for scheduling of storage devices. In Proceedings of the 49th International Universities Power Engineering Conference (UPEC), Cluj-Napoca, Romania, 2–5 September 2014. [Google Scholar]
- Garulli, A.; Paoletti, S.; Vicino, A. Models and techniques for electric load forecasting in the presence of demand response. IEEE Trans. Control Syst. Technol. 2015, 23, 1087–1097. [Google Scholar] [CrossRef]
- Ebberley, A.W.; Gao, D.W. Study of artificial neural network-based short term load forecasting. In Proceedings of the 2013 IEEE Power & Energy Society General Meeting, Vancouver, BC, Canada, 21–25 July 2013; pp. 1–4. [Google Scholar]
- Ricalde, L.J.; Cruz, B.; Catzin, G.; Alanis, A.Y.; Sanchez, E.N. Forecasting for smart grid applications with higher-order neural networks. In Proceedings of the World Automation Congress 2012, Puerto Vallarta, Mexico, 24–28 June 2012; pp. 1–6. [Google Scholar]
- Feilat, E.A.; Bouzguenda, M. Medium-term load forecasting using neural network approach. In Proceedings of the 2011 IEEE PES Conference on Innovative Smart Grid Technologies-Middle East, Jeddah, Saudi Arabia, 17–20 December 2011; pp. 1–5. [Google Scholar]
- Wai, R.J.; Huang, Y.C.; Chen, Y.C. Intelligent daily load forecasting with fuzzy neural network and particle swarm optimization. In Proceedings of the 2012 IEEE International Conference on Fuzzy Systems, Brisbane, CA, USA, 10–15 June 2012; pp. 1–6. [Google Scholar]
- Coelho, V.N.; Guimarães, F.G.; Reis, A.J.R.; Coelho, I.M.; Coelho, B.N.; Souza, M.J.F. A heuristic fuzzy algorithm bio-inspired by evolution strategies for energy forecasting problems. In Proceedings of the 2014 IEEE International Conference on Fuzzy Systems (FUZZ-IEEE), Beijing, China, 6–11 July 2014; pp. 338–345. [Google Scholar]
- Marinescu, A.; Harris, C.; Dusparic, I.; Cahill, V.; Clarke, S. A hybrid approach to very small scale electrical demand forecasting. In Proceedings of the 2014 IEEE PES Innovative Smart Grid Technologies, Washington, DC, USA, 19–22 February 2014; pp. 1–5. [Google Scholar]
- Sahay, K.B.; Tripathi, M.M. Day ahead hourly load forecast of PJM electricity market and ISO New England market by using artificial neural network. In Proceedings of the IEEE Innovative Smart Grid Technologies -Asia, Washington, DC, USA, 10–13 November 2013. [Google Scholar]
- Soman, S.S.; Zareipour, H.; Malik, O.; Mandal, P. A review of wind power and wind speed forecasting methods with different time horizons. In Proceedings of the North American Power Symp. (NAPS), Arlington, TX, USA, 26–28 September 2010; pp. 1–8. [Google Scholar]
- Mehrzadi, M.; Terriche, Y.; Su, C.-L.; Othman, M.B.; Vasquez, J.C.; Guerrero, J.M. Review of Dynamic Positioning Control in Maritime Microgrid Systems. Energies 2020, 13, 3188. [Google Scholar] [CrossRef]
- Hunt, K.J.; Sbarbaro, D.; Zbikowski, R.; Gawthrop, P.J. Neural networks for control systems—A survey. Automatica 1992, 28, 1083–1112. [Google Scholar] [CrossRef]
- Willis, M.J.; Montague, G.A.; di Massimo, C.; Tham, M.T.; Morris, A.J. Artificial neural networks in process estimation and control. Automatica 1992, 28, 1181–1187. [Google Scholar] [CrossRef]
- Le, V.M.; Pham, B.T.; Le, T.T.; Ly, H.B.; Le, L.M. Daily rainfall prediction using nonlinear autoregressive neural network. In Micro-Electronics and Telecommunication Engineering Lecture Notes in Networks and Systems; Sharma, D., Balas, V., Son, L., Sharma, R., Cengiz, K., Eds.; Springer: Singapore, 2020; Volume 106. [Google Scholar]
- Lipu, M.S.H.; Hannan, M.A.; Hussain, A.; Saad, M.H.M.; Ayob, A.; Blaabjerg, F. State of charge estimation for lithium-ion battery using recurrent narx neural network model based lighting search algorithm. IEEE Access 2018, 6, 28150–28161. [Google Scholar] [CrossRef]
- Raza, M.Q.; Mithulananthan, N.; Li, J.; Lee, K.Y.; Gooi, H.B. An ensemble framework for day-ahead forecast of pv output power in smart grids. IEEE Trans. Ind. Inf. 2019, 15, 4624–4634. [Google Scholar] [CrossRef]
- Siegelmann, H.T.; Horne, B.G.; Giles, C.L. Computational capabilities of recurrent NARX neural networks. IEEE Trans. Syst. Man Cybern. 1997, 27, 208–215. [Google Scholar] [CrossRef]
- Raza, M.Q.; Baharudin, Z.; Nallagownden, P. comparative analysis of PSO and LM based NN short term load forecast with exogenous variables for smart power generation. In Proceedings of the 5th International Conference on Intelligent and Advanced Systems (ICIAS), Kuala Lumpur, Malaysia, 3–5 June 2014; pp. 1–6. [Google Scholar]
- Iran Fajr Marine, Drilling and Engineering Services Co. Available online: http://www.iranfajr.com (accessed on 20 April 2020).
- Neural Network Toolbox, Create Create, Train, and Simulate Shallow and Deep Learning Neural Networks. Available online: https://www.mathworks.com/products/neural-network.html (accessed on 27 July 2018).












| Parameter | Description | Range | |
|---|---|---|---|
| DP power (MW) | 0–7 | ||
| wave height (m) | 0–8 | ||
| wave deg (Ө) | 0–360 | ||
| wind Speed (m/s) | 0–20 | ||
| wind deg (Ө) | 0–360 | ||
| Displacement deg (Ө) | 0–360 | ||
| heading deg (Ө) | 0–360 | ||
| Weather Conditions | Actual Power (MW) | ||
|---|---|---|---|
| Description | Wind (m/s) | Wave (m) | |
| Calm-Slight | [0–5] | [0–1.25] | [0–1] |
| Moderate | [5–10] | [1.5–3] | [1–3] |
| Rough | [10–15] | [3.25–5.5] | [3–5] |
| High | [15–20] | [5.5–9.5] | [5–7] |
| Weather Conditions | NARX | NAR | TDL-NN | |||
|---|---|---|---|---|---|---|
(MW) | MAPE (%) | (MW) | MAPE (%) | (MW) | MAPE (%) | |
| Calm | 0.0673 | 0.1933 | 0.0963 | 0.2994 | 0.0999 | 0.3067 |
| Moderate | 0.1001 | 0.0632 | 0.1071 | 0.0702 | 0.1813 | 0.0806 |
| Rough | 0.2095 | 0.0499 | 0.3277 | 0.0699 | 0.3514 | 0.0827 |
| High | 0.1238 | 0.0183 | 0.1492 | 0.0210 | 0.1533 | 0.0223 |
| Average | 0.1252 | 0.0812 | 0.1701 | 0.1151 | 0.1965 | 0.1231 |
| Weeks | NARX | NAR | TDL-NN | |||
|---|---|---|---|---|---|---|
(MW) | MAPE (%) | (MW) | MAPE (%) | (MW) | MAPE (%) | |
| 1 | 0.0615 | 0.2119 | 0.0859 | 0.2976 | 0.0830 | 0.2867 |
| 2 | 0.1028 | 0.1529 | 0.1254 | 0.2491 | 0.1717 | 0.2749 |
| 3 | 0.1227 | 0.0692 | 0.1679 | 0.0798 | 0.2000 | 0.0897 |
| 4 | 0.1822 | 0.0462 | 0.2585 | 0.0664 | 0.3122 | 0.0798 |
| Average | 0.1173 | 0.1200 | 0.1594 | 0.1732 | 0.1917 | 0.1827 |
| Training Runtime (s) | NARX | NAR | TDL-NN | |
|---|---|---|---|---|
| Scenario No. | ||||
| Scenario 1 | 1.069 | 1.556 | 3.154 | |
| Scenario 2 | 1.760 | 1.839 | 38.902 | |
| Scenario 3 | 5.223 | 6.652 | 208.526 | |
© 2020 by the authors. Licensee MDPI, Basel, Switzerland. This article is an open access article distributed under the terms and conditions of the Creative Commons Attribution (CC BY) license (http://creativecommons.org/licenses/by/4.0/).
Share and Cite
Mehrzadi, M.; Terriche, Y.; Su, C.-L.; Xie, P.; Bazmohammadi, N.; Costa, M.N.; Liao, C.-H.; Vasquez, J.C.; Guerrero, J.M. A Deep Learning Method for Short-Term Dynamic Positioning Load Forecasting in Maritime Microgrids. Appl. Sci. 2020, 10, 4889. https://doi.org/10.3390/app10144889
Mehrzadi M, Terriche Y, Su C-L, Xie P, Bazmohammadi N, Costa MN, Liao C-H, Vasquez JC, Guerrero JM. A Deep Learning Method for Short-Term Dynamic Positioning Load Forecasting in Maritime Microgrids. Applied Sciences. 2020; 10(14):4889. https://doi.org/10.3390/app10144889
Chicago/Turabian StyleMehrzadi, Mojtaba, Yacine Terriche, Chun-Lien Su, Peilin Xie, Najmeh Bazmohammadi, Matheus N. Costa, Chi-Hsiang Liao, Juan C. Vasquez, and Josep M. Guerrero. 2020. "A Deep Learning Method for Short-Term Dynamic Positioning Load Forecasting in Maritime Microgrids" Applied Sciences 10, no. 14: 4889. https://doi.org/10.3390/app10144889
APA StyleMehrzadi, M., Terriche, Y., Su, C.-L., Xie, P., Bazmohammadi, N., Costa, M. N., Liao, C.-H., Vasquez, J. C., & Guerrero, J. M. (2020). A Deep Learning Method for Short-Term Dynamic Positioning Load Forecasting in Maritime Microgrids. Applied Sciences, 10(14), 4889. https://doi.org/10.3390/app10144889

