Next Article in Journal
An Approach to Industrial Automation Based on Low-Cost Embedded Platforms and Open Software
Previous Article in Journal
Development of Wireless Power Transmission System for Transfer Cart with Shortened Track
 
 
Font Type:
Arial Georgia Verdana
Font Size:
Aa Aa Aa
Line Spacing:
Column Width:
Background:
Article

Elasticity Solutions for In-Plane Free Vibration of FG-GPLRC Circular Arches with Various End Conditions

School of Civil Engineering, Guangzhou University, Guangzhou 510006, China
*
Authors to whom correspondence should be addressed.
Appl. Sci. 2020, 10(14), 4695; https://doi.org/10.3390/app10144695
Submission received: 13 June 2020 / Revised: 29 June 2020 / Accepted: 6 July 2020 / Published: 8 July 2020
(This article belongs to the Section Materials Science and Engineering)

Abstract

In-plane free vibration of functionally graded graphene platelets reinforced nanocomposites (FG-GPLRCs) circular arches is investigated by using the two-dimensional theory of elasticity. The graphene platelets (GPLs) are dispersed along the thickness direction non-uniformly, and the material properties of the nanocomposites are evaluated by the modified Halpin-Tsai multi-scaled model and the rule of mixtures. A state-space method combined with differential quadrature technique is employed to derive the governing equation for in-plane free vibration of FG-GPLRCs circular arch, the semi-analytical solutions are obtained for various end conditions. An exact solution of FG-GPLRCs circular arch with simply-supported ends is also presented as a benchmark to valid the present numerical method. Numerical examples are performed to study the effects of GPL distribution patterns, weight fraction and dimensions, geometric parameters and boundary conditions of the circular arch on the natural frequency in details.

1. Introduction

As a new family of advanced materials, carbon-based nanofiller reinforced composites have been gaining popularity in both academia and industry over the past decades [1]. Graphene, a two-dimensional single layer of carbon atoms, has been predicted to be a potential nanofiller due to the high thermal conductivity, superior mechanical properties and excellent electronic transport properties. These excellent properties, together with the interface chemistry and nanoscale effects, make graphene an opportunity as novel fillers in polymer nanocomposites [2,3]. However, the pristine graphene is not suitable to form homogeneous composites with organic polymers [4]. Recently it has been theoretically and experimentally proven that the addition in very small quantities of graphene platelets (GPLs), a kind of graphene derivative, into a pristine polymer matrix can improve mechanical properties of the resulting nanocomposites significantly [3,5]. Moreover, GPLs have a much larger specific surface area which provides much stronger bonding with the matrix, hence a greatly increased load transfer capability, and they are thus thought to be promising nano-fillers to develop high performance nanocomposites [6,7].
Based on functionally graded materials (FGMs), Yang and his co-workers proposed functionally graded graphene platelet reinforced nanocomposites (FG-GPLRCs), and they found that adding the nanofillers into polymer matrix at a certain gradient can promote the mechanical properties of the nanocomposite dramatically. Feng et al. [8,9] discussed the nonlinear static bending and free vibration of laminated beams reinforced with GPLs distributed non-uniformly by using the Timoshenko beam theory. Wu et al. [10] studied the dynamic instability of FG-GPLRCs beams based on the first-order shear deformation theory (FSDT) considering the thermal effects. Yang et al. [11] used the FSDT to examine the buckling and post-buckling of FG-GPLRC beam on a two-parameter elastic foundation. Yang et al. [12,13] utilized the generalized Mian and Spencer method to investigate the thermoelastic bending behaviors of rectangular, circular and annular plates reinforced with GPLs distributed non-uniformly along the thickness direction. Song et al. [14,15] analyzed the free and forced vibrations, buckling and post-buckling characteristics of functionally graded multilayer graphene nanoplatelets reinforced polymer composite plates. Yang et al. [16] examined the free vibration and static buckling of functionally graded porous nanocomposite plates reinforced with GPLs with the aid of the Chebyshev-Ritz method. Dong et al. [17,18] presented analytical solutions for free vibration and buckling of closed-cell metal foam cylindrical shell reinforced with GPLs. Liu et al. [19] evaluated buckling and free vibration analyses of FG-GPLRC cylindrical shell under initially stresses from the view of three-dimensional elasticity. Dong et al. [20] predicted dynamic response of a spinning functionally graded graphene reinforced cylindrical shell under the low-velocity impact. Following the pioneering work on FG-GPLRCs, Sahmani and Aghdam [21] examined the nonlinear instability of FG-GPLRCs nanoshells by considering the nonlocal effects. Shen et al. carried out the nonlinear vibrattion [22,23], nonlinear bending [24], thermal buckling and post-buckling [25] analyses of various structures, including beams, plates and shells, respectively.
Composite and sandwich arches or curved beams are being used in various automotive, aerospace, bridge, medical and sports applications, to name a few, due to their high ratio of strength to weight. Huang et al. [26] investigated the buckling behaviors of radial loaded FG-GPLRC shallow arches under the constraints of elastic rotations. Yang et al. [27,28] evaluated the in-plane nonlinear equilibrium, buckling and post-buckling of FG-GPLRC arches with fixed and pinned supports under a central point load and thermo-mechanical loading, respectively. Arefiet al. [29] discussed the static bending responses of FG-GPLRC curved beams resting on an elastic foundation. Liu et al. [30] examined the nonlinear static and stability responses of functionally graded porous arches reinforced with GPLs reinforcements by an analytical approach.
It should be pointed that most studies on static and dynamic problems of FG-GPLRCs beams, plates, shells and arches adopted the equivalent single layer models based on various simplified theories, such as the first-order shear deformation theory, the third-order shear deformation theory, and other high-order shear deformation theories. The material properties of the nanocomposites are evaluated through integrals in the thickness direction. By this homogenization method, the corresponding results are not accurate for relatively thick structures. To overcome the shortcomings, a two-dimensional elasticity model, which takes account of the thickness strain as well as the shear strain, is employed to study the in-plane free vibration of FG-GPLRC circular arches in this paper. The GPLs are assumed to be dispersed graded smoothly through the thickness of the arch, and the effective material properties of the nanocomposites will be determined by the modified Halpin-Tsai model and the rule of mixtures. A semi-analytical method based on the state-space method with help of differential quadrature technique is developed to establish the frequency equations of FG-GPLRC circular arches for various end conditions. Numerical results for natural frequencies are discussed through a parametric study, including the effects of distribution patterns, concentration and size of GPLs, as well as the geometric configures and boundary conditions of the circular arches.

2. Multi-Scale Micromechanical Model of Nanocomposites Reinforced by GPLs

The GPL-reinforced nanocomposite circular arch with small width b and total thickness H is shown in Figure 1, where θ0 denotes the subtended angle, R0 is the radius of the mid-surface, and L0 = θ0R0 is the length of the centerline of the arch. The coordinate system r−θ is established with its origin being at the centerline endpoint of the arch, such that R0H/2 ≤ rR0+H/2, and 0 ≤ θθ0.
The GPLs are dispersed with the weight fraction varying functionally graded along the thickness direction as symmetric and non-symmetric types. Typical linear patterns of GPL distributions, namely UD, FG-X, FG-O, and FG-A, as shown in Figure 2, are expressed according to the following relations:
UD : V GPL ( r ) = V GPL * FG - X : V GPL ( r ) = 4 V GPL * | r R 0 | / H FG - O : V GPL ( r ) = 2 V GPL * ( 1 2 | r R 0 | / H ) FG - A : V GPL ( r ) = V GPL * [ 1 2 ( r R 0 ) / H ] .
where V GPL * is the volume fraction of GPLs, given as:
V GPL * = W GPL W GPL + ( ρ GPL / ρ M ) ( 1 W GPL ) .
in which ρGPL and ρM are the mass densities of GPLs and polymer matrix, respectively, and WGPL represents the total weight fraction of GPLs. It can be noted that the content of GPLs decreases monotonically from the bottom surface to the top surface for FG-A, and the pattern FG-X are GPLs rich near the top and bottom surfaces, while FG-O is GPLs rich at mid-plane of the arch. Specially, the GPLs for pattern UD are distributed uniformly through the thickness, which corresponds to a homogeneous arch.
The effective Young’s modulus of nanocomposites with randomly oriented nanofillers can be approximated by the modified Halpin-Tsai model [11], which is:
E = 3 8 1 + ξ l η l V GPL 1 η l V GPL × E M + 5 8 1 + ξ w η w V GPL 1 η w V GPL × E M .
where the parameters ηl and ηw are:
η l = ( E GPL / E M ) 1 ( E GPL / E M ) + ξ l ,   η w = ( E GPL / E M ) 1 ( E GPL / E M ) + ξ w .
in which EGPL and EM denote the Young’s moduli of GPLs and matrix, respectively, and ξl and ξw indicate both the geometry and size parameters of GPLs, and can be determined by:
ξ l = 2 l GPL / h GPL ,   ξ w = 2 w GPL / h GPL .
with lGPL, wGPL and hGPL being the length, width and thickness of the GPL nanofiller, respectively. The effective Young’s modulus of GPL/polymer nanocomposites predicted by the modified Halpin-Tsai model (Equation (3)) is only 2.7% higher than the experimental result [31], which validated the accuracy of the present micromechanical model.
By employing the rule of mixtures, the effective mass density ρ and Poisson’s ratio ν of the GPL-reinforced nanocomposites can be determined as:
ρ = ρ GPL V GPL + ρ M ( 1 V GPL ) ν = ν GPL V GPL + ν M ( 1 V GPL ) .
where νGPL and νM are the Poisson’s ratios of GPLs and matrix, respectively.
It can be found that the material properties of FG-GPLRCs (see Equations (3) and (6)), vary smoothly through the thickness of the arch. Hence, the patterns FG-X, FG-O, and FG-A appear the functionally-graded behaviors in the thickness direction.

3. Governing Equation Based on State-Space Method

For the benefit of direct derivations, a new variable z = rR0 is introduced, such that −H/2 ≤ z ≤ +H/2. According to the theory of two-dimensional elasticity, for an arch, the constitutive equations for the state of plane stress read as follows:
σ θ = c 11 ε θ + c 13 ε r ,   σ r = c 13 ε θ + c 33 ε r ,   τ r θ = c 55 γ r θ
where σθ, σr and τ are stresses, and ξθ, ξr and γ are strains, respectively. For the GPL-reinforced nanocomposites, the material coefficients cij can be expressed as:
c 11 = c 33 = ( 1 v ) E ( 1 + v ) ( 1 2 v ) ,   c 12 = c 13 = ν E ( 1 + v ) ( 1 2 v ) ,   c 44 = c 66 = E 2 ( 1 + v )
where E = E(z) and ν = ν(z) are the z-dependent elastic constants, and can be determined by Equations (3) and (6), respectively. It should be pointed all the formulations in the present can be extend to the case of orthotropic composites easily.
The kinematic conditions give:
ε θ = 1 R 0 + z u θ θ + u r R 0 + z ,   ε r = u r z ,   γ r θ = u θ z u θ R 0 + z + 1 R 0 + z u r θ
where uθ and ur are the displacement components in the θ- and r-directions, respectively. The differential equations of motion of the elastic circular arch can be written as:
1 R 0 + z σ θ θ + τ r θ z + 2 τ r θ R 0 + z = ρ 2 u θ t 2 1 R 0 + z τ r θ θ + σ r z + σ r σ θ R 0 + z = ρ 2 u r t 2
where ρ = ρ(z) is the z-dependent mass density of the nanocomposites, and t is the time.
With the help of the state space method [32,33], the following equations can be derived from Equations (7)–(9):
u θ z = u θ R 0 + z 1 R 0 + z u r θ + 1 c 55 τ r θ σ r z = ρ 2 u r t 2 + k 11 ( R 0 + z ) 2 ( u θ θ + u r ) + 1 R 0 + z ( c 13 c 33 1 ) σ r 1 R 0 + z τ r θ θ u r z = c 13 c 33 1 R 0 + z u θ θ c 13 c 33 1 R 0 + z u r + 1 c 33 σ r τ r θ z = ρ 2 u θ t 2 k 11 ( R 0 + z ) 2 ( 2 u θ θ 2 + u r θ ) c 13 c 33 1 R 0 + z σ r θ 2 R 0 + z τ r θ
where k 11 = c 11 c 13 2 / c 33 , uθ, σr, ur and τ are termed as the state variables, and:
σ θ = k 11 R 0 + z ( u θ θ + u r ) + c 13 c 33 σ r
is obtained as the induced variable.
The end boundary conditions for the FG-GPLRC circular arches can be expressed in terms of the state variables and/or induced variable. Some important practical representations of different end support, including simply supported (S), clamped (C) and free (F) ends are to be confined herein:
ur = 0, σθ = 0 at a simply supported end
ur = 0, uθ = 0 at a clamped end
σr = 0, τ = 0 at a free end
Hereafter, for brevity, S-S, C-C or C-F denotes the arch with simply supported-simply supported, clamped-clamped or clamped-free ends, respectively.
It should be found that, for the special case of the radius of curvature approaches to infinity, i.e., R0 → ∞, the arch becomes a straight beam. Under this terminal condition, the state equation (Equation (10)) is therefore degraded into the corresponding state space equations of a straight laminated beam [34].

4. Solution Methods

4.1. Analytical Solution of a Simply Supported FG-GPLRC Circular Arch

For the S-S FG-GPLRC circular arch, an exact solution can be assumed as:
u θ = H n = 1 U ( ζ ) cos ( n π θ / θ 0 ) e i ω t σ r = c 0 n = 1 Y ( ζ ) sin ( n π θ / θ 0 ) e i ω t u r = H n = 1 W ( ζ ) sin ( n π θ / θ 0 ) e i ω t τ r θ = c 0 n = 1 Γ ( ζ ) cos ( n π θ / θ 0 ) e i ω t
where ζ = z/H, n is the half-wave number along the θ-direction, ω is the circular frequency, i = 1 is the imaginary unit, and c0 denotes the elastic constant of the matrix of the GPL-reinforced nanocomposites.
Substitution of Equation (15) into Equation (10) yields the following nondimensional state ordinary differential equation:
d d ζ δ ( ζ ) = M ( Ω , ζ ) δ ( ζ )
where δ(ζ) = [U Y W Γ]T is called the dimensionless state vector, and M is the coefficient matrix of the state space equation, which is:
M = [ λ η 0 k n η c 0 c 55 k 11 c 0 k n λ η 2 λ η ( c 13 c 33 1 ) k 11 c 0 ( λ η ) 2 ρ ρ 0 Ω 2 k n η c 13 c 33 k n η c 0 c 33 c 13 c 33 λ η 0 k 11 c 0 ( k n η ) 2 ρ ρ 0 Ω 2 c 13 c 33 k n η k 11 c 0 k n λ η 2 2 λ η ]
where λ = H/R0, η = 1 + λζ, kn = nπH/L0, ρ0 denotes the density of the matrix, and Ω = ω H ρ 0 / c 0 is the nondimensional frequency.
However, it is seen that Equation (16) is a variable coefficient differential equation with respective to the state vector δ(ζ), and it is quite difficult to solve analytically. Herein, the approximate laminate model (ALM) is adopted to break this obstacle [35]. The arch is divided into p layers with the identical thickness h = H/p through the thickness direction. For each sufficiently thin layer, the coordinate ζ can be regarded as constant. With these approximations, Equation (16) is then reduced to a differential equation with constant coefficient matrix for an individual layer, say the j-th layer, by setting:
ζ = ζ j m = ( ζ j 0 + ζ j 1 ) / 2 ,   ( j = 1 , 2 , , p )
the ζ-dependent variable η in Equation (16) turns out to be constant, where ζ j 0 = 0.5 + j 1 p ,   ζ j 1 = 0.5 + j p are the positions of the surfaces of the j-th suppositional layer, respectively.
Hence, the state space equation for the j-th suppositional layer turns out to be:
d d ζ δ ( j ) ( ζ ) = M j ( Ω ) δ ( j ) ( ζ )
The general solution of Equation (19) is:
δ ( j ) ( ζ ) = exp [ ( ζ ζ j 0 ) M j ( Ω ) ] δ ( j ) ( ζ j 0 ) ,   ( ζ j 0 ζ ζ j 1 )
The state vector of outer surface of the j-th layer can be obtained by setting ζ = ζ j 1 as:
δ o ( j ) = T j ( Ω ) δ i ( j )
where the variables with subscripts ‘o’ and ‘i’ represent state vectors at outer and inner surfaces, respectively, and Tj(Ω) = exp[Mj(Ω)/p] is the transfer matrix for the individual j-th layer.
The continuity conditions of all suppositional interfaces in the approximate laminate model in alliance with Equation (21) yield the following relation:
δ o = T δ i
where T = j = p 1 T j is named as the global transfer matrix, and δo and δi are the state vectors at the top and bottom surfaces of the circular arch, respectively.
For the free vibration, the tractions-free boundary conditions at the lateral surfaces (ζ = 0 and ζ = 1) are given as:
Y i = Y o = 0 ,   Γ i = Γ o = 0
Substitution of Equation (23) into Equation (22) leads to:
[ T 21 T 23 T 41 T 43 ] { U W } i = 0
in which Tij are elements of the global transfer matrix T. The frequency equation governing the free vibration of the arch can be obtained as:
| T 21 T 23 T 41 T 43 | = 0
which is a transcendental equation about Ω, and can be solved numerically.

4.2. Semi-Analytical Solutions of FG-GPLRC Circular Arches with Various End Conditions

For an arch with other supporting conditions, say clamped or free end conditions, one cannot seek analytical solutions to Equation (10). Chen et al. [34,36] employed the differential quadrature method (DQM) to develop semi-analytical solutions to the partial differential state equations for static and vibration problems of laminated composite structures. In this sub-section, the DQM will be applied in the free vibration analysis of FG-GPLRC circular arch with various end conditions.
According to the DQM, a continuous function f(x,y) and its n-th partial derivatives at a given point xi are approximated as linear weighting sums of function values at all the discrete points by:
n f ( x , y ) x n | x = x i = k = 1 N g i k ( n ) f ( x k , y )
where i = 1, 2, …, N; n = 1, 2, …, N − 1 and g i k ( n ) are the weighted coefficients that can be thoroughly determined by the positions of all discrete points as:
g i k ( 1 ) = j = 1 , j i N ( x i x j ) ( x i x k ) j = 1 , j k N x ( x k x j ) , g i k ( n ) = n [ g i i ( n 1 ) g i k ( 1 ) g i k ( n 1 ) x i x k ] ,   ( n = 2 , 3 , N 1 )
where i, k = 1, 2, …, N, but ik, g i i ( n ) are determined as:
g i i ( n ) = k = 1 , k i N g i k ( n ) ,   ( n = 1 , 2 , , N 1 ;   i = 1 , 2 , , N )
Furthermore, it can be assumed that:
u θ = H U ( θ , ζ ) e i ω t σ r = c 0 Y ( θ , ζ ) e i ω t u r = H W ( θ , ζ ) e i ω t τ r θ = c 0 Γ ( θ , ζ ) e i ω t
Substituting Equation (29) into Equation (10) and using the above-mentioned DQ procedure by discretizing the domain of θ, the following discretized state equations are obtained:
U i ζ = λ η U i λ η k = 1 N g i k ( 1 ) W k + c 0 c 55 Γ i Y i ζ = λ 2 η 2 k 11 c 0 k = 1 N g i k ( 1 ) U k + λ η ( c 13 c 33 1 ) Y i ρ ρ 0 Ω 2 W i + λ 2 η 2 k 11 c 0 W i λ η k = 1 N g i k ( 1 ) Γ k W i ζ = c 13 c 33 λ η k = 1 N g i k ( 1 ) U k + c 0 c 33 Y i c 13 c 33 λ η W i Γ i ζ = ρ ρ 0 Ω 2 U i λ 2 η 2 k 11 c 0 k = 1 N g i k ( 2 ) U k c 13 c 33 λ η k = 1 N g i k ( 1 ) Y k λ 2 η 2 k 11 c 0 k = 1 N g i k ( 1 ) W k 2 λ η Γ i
where Ui = U(θi,ζ), Yi = Y(θi,ζ), Wi = W(θi,ζ), and Γi = Γ(θi,ζ) are functions of the variable ζ at a given sampling point θi.
The discretized boundary conditions (i = 1 and i = N) should be considered in the discrete state equation Equation (30). The S-S, C-F and C-C arches are concerned herein as three representative end conditions. It can be seen in Equation (12) that among these three types of boundary condition, only the normal stress σθ = 0 is not expressed directly in terms of state variables, for which by using Equation (11) yields:
Y i = c 33 c 13 k 11 c 0 λ η ( k = 1 N g i k ( 1 ) U k + W i ) ,   ( i = 1   and   i = N )
Thus the appropriate forms of the discrete state equation that are suitable for solving practical problems are derived. With the incorporation of any type of end conditions in Equations (12)–(14) into Equation (30), all the discrete state equations at all given points can be assembled into a global one, and can be rewritten in the following matrix form:
d δ d ζ = M δ
where δ = [UT YT WT ΓT]T is the discretized state vector at an arbitrary position about ζ, with the superscript T representing the transpose of a matrix and U, Y, W and Γ column vectors composed of all unknown discrete state variables at given sampling points θi, and M is the coefficient matrix given in Appendix A for various end conditions.
As stated above, the effective material properties of GPL-reinforced nanocomposites in the coefficient matrix M vary along the thickness direction in certain ways. Thus, it is difficult to obtain the exact solution to the variable coefficient differential equation. Hereby, the ALM is employed again to transform Equation (32) into the constant coefficient differential equation.
Following the similar procedure outlined from Equations (23) to (25), the relationship between the state vectors at the top and bottom surfaces of the arch is:
{ U ( 1 ) Y ( 1 ) W ( 1 ) Γ ( 1 ) } o = [ T 11 T 12 T 13 T 14 T 21 T 22 T 23 T 24 T 31 T 32 T 33 T 34 T 41 T 42 T 43 T 44 ] { U ( 0 ) Y ( 0 ) W ( 0 ) Γ ( 0 ) } i
where Tij are the corresponding sub-matrices of the global transfer matrix T = j = p 1 T j = j = p 1 exp [ M j ( Ω ) / p ]. Similarly, for free vibration problems, the frequency equation can be derived as:
| T 21 T 23 T 41 T 43 | = 0
From this equation, the in-plane natural frequency of the FG-FGLRC circular arch with various end conditions can easily be calculated.

5. Numerical Illustrations

To examine the in-plane free vibration of FG-GPLRC circular arches, the validation and convergence of the present formulations are firstly performed. Then comprehensive parameter studies, including the GPLs distribution patterns, and weight fraction and dimensions, on the in-plan free vibration characteristics of the GPLs/epoxy circular arches with the different end conditions are conducted. In what follows, the arches are made of GPLs/epoxy matrix with lGPL = 2.5 μm, wGPL = 1.5 μm, hGPL = 1.5 nm and WGPL = 1%. The material properties of the epoxy matrix and the GPLs [31] are Em = 3.0 GPa, ρm = 1200 kg·m−3, νm = 0.34 and EGPL = 31.01 TPa, ρGPL = 1062.5 kg·m−3, νGPL = 0.186.

5.1. Validation and Convergence Studies of the Present Formulations

It should be pointed again that the present formulations can be easily degraded to the straight beam when the radius R0 approaches infinity. Accordingly, it yields λ = 0 and thus η = 1, hence Equations (16) and (31) reduce to the corresponding ones for straight beams with various end boundary conditions [34]. As the first example, FGM straight beams (λ = 0) with various boundary conditions are considered as particular cases for validation of presented method, and the non-dimensional frequency parameter Ω = ω H ρ 0 1 / c 550 1 for different length-to-depth ratios are tabulated in Table 1 and Table 2, in which the material properties of FGMs vary as an exponential relation κ = κ 1 0 exp [ α ( 1 2 + ζ ) ] for S-S straight beams, and a power way κ = κ 1 0 ( 1 2 ζ ) α + κ 2 0 [ 1 ( 1 2 ζ ) α ] for C-C and C-F straight beams along the thickness direction, respectively. Here, α is the gradient index, and κ 1 0 and κ 2 0 denote the material properties of two type materials as follows:
κ 1 0 :   c 11 0 = 139   GPa ,   c 13 0 = 14   GPa ,   c 33 0 = 336.4   GPa ,   c 55 0 = 162.5   GPa ,   ρ 0 = 7.5 × 10 3   kg / m 3 κ 2 0 :   c 11 0 = 209.7   GPa ,   c 13 0 = 105.1   GPa ,   c 33 0 = 210.9   GPa ,   c 55 0 = 42.5   GPa ,   ρ 0 = 5.676 × 10 3   kg / m 3
From the tables, it is seen easily that the present results, including the analytical and semi-analytical ones, agree quite well with those in [34]. In particular, the semi-analytical results based on DQM are completely identical to the analytical results for S-S beam. This illustrates that the approximate laminate model has a very good convergence characteristic. It should be pointed out that more separate layers for approximate laminate model and sampling point number for DQM are needed to yield an accurate result, and p = 20 and sampling point number N = 30 are adopted in the calculations here.
For further verification, the natural frequencies for laminated circular arches are predicted by the present method and compared with those in [37]. The calculations are performed for various values of the modular ratio E1/E2 and the other mechanical properties of each lamina are assumed to be G12/E2 = G13/E2 = G23/E2 = 0.5, and μ12 = μ13 = μ23 = 0.25. The first three natural frequencies of laminated arches with S-S and C-C boundary conditions are listed in Table 3. It is also obvious that the results are in good agreement with the existing ones.
The convergences of the dimensionless fundamental frequencies for FG-GPLRC circular arches with λ = 1/10 and θ0 =π/3 are demonstrated in Table 4, where the results are given against numbers of layers p and discrete points N. It can be seen that the present method shows a fast rate of convergence and numeric stability. The discrete point number N = 20 and p = 50, which yields an excellent convergence, will be adopted hereafter.

5.2. Parametric Studies

After validating the present approach, parametric studies are performed to examine the vibrational characteristics of the FG-GPLRC circular arch. The fundamental frequencies of the FG-GPLRC circular arch are tabulated in Table 5, Table 6 and Table 7. The results involve various GPL distribution patterns, different end conditions and geometric configures. The increase of fundamental frequency (ΩGPL – ΩEpoxy)/ΩEpoxy × 100 is given in the brackets with ΩGPL and ΩEpoxy being the fundamental frequencies of circular arch reinforced with and without GPLs, respectively.
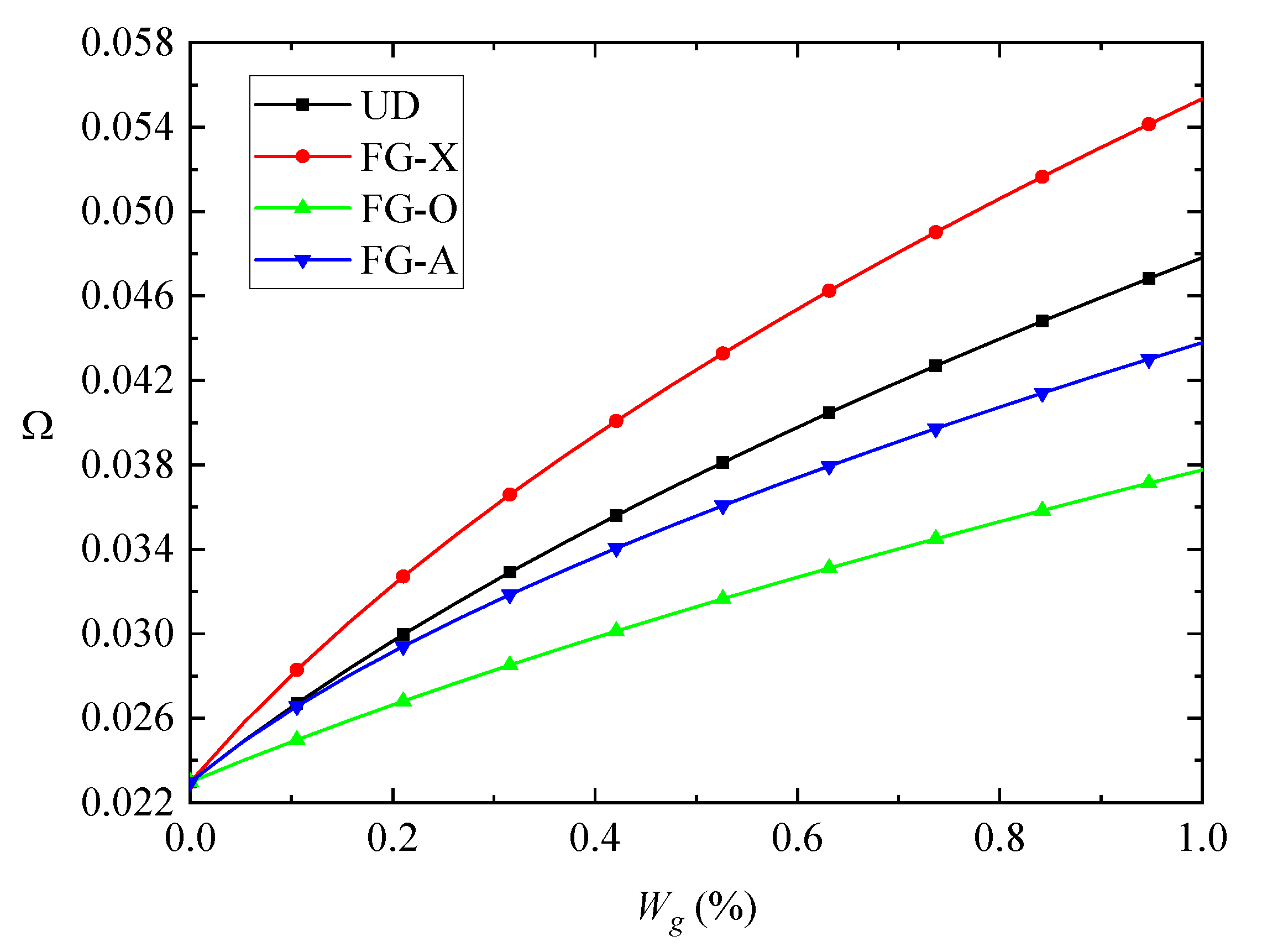
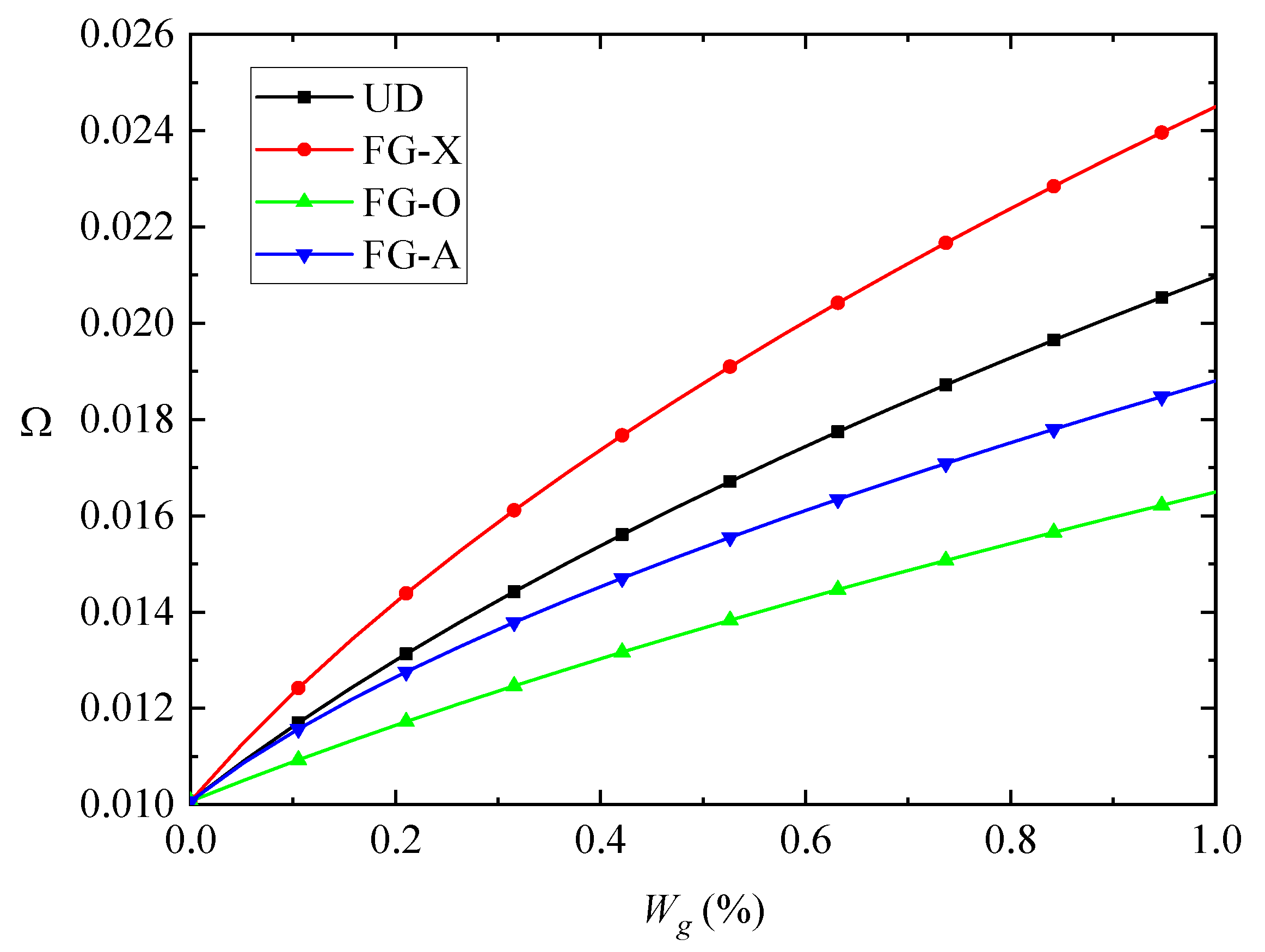
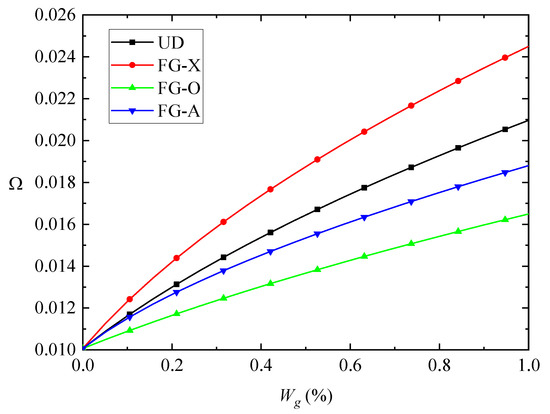
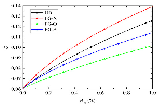
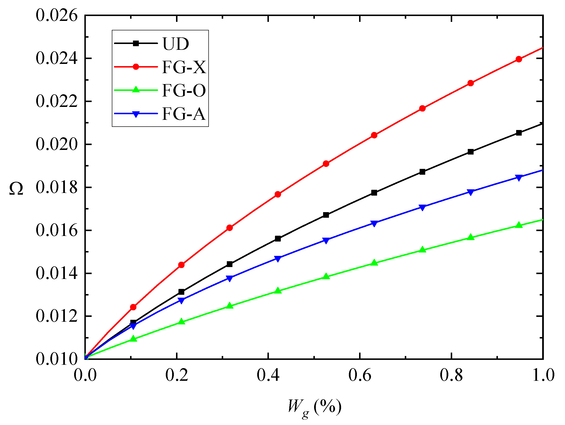
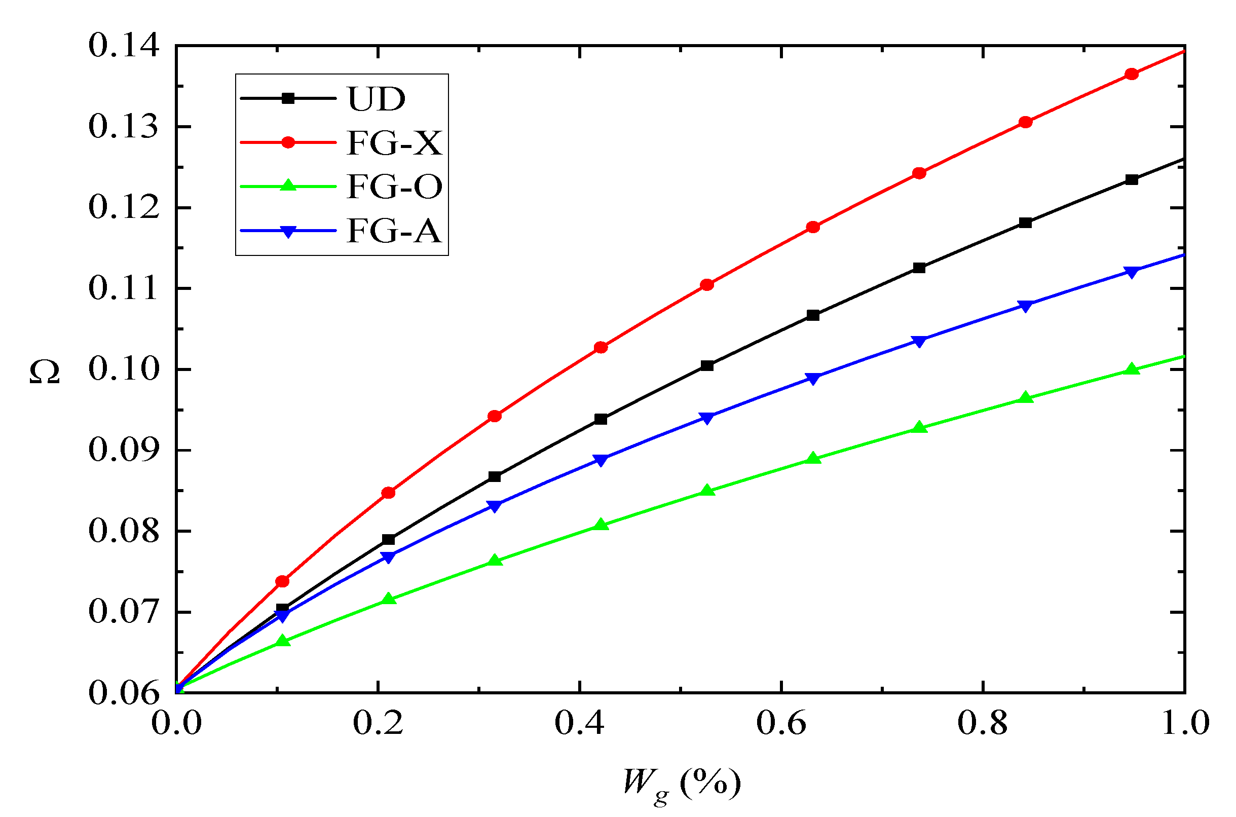
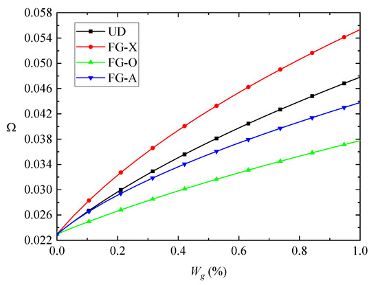
It is seen that a low content of GPLs dispersed into the matrix can increase the fundamental frequency of FG-GPLRC circular arch remarkably. With the same geometric and material parameters, the C-C FG-GPLRC circular arch has the highest fundamental frequency. For all cases, the fundamental frequency decreases by enlarging the subtended angle, and increases with rising the ratio of thickness-to-radius. It can be seen that the pattern FG-X holds the maximum frequency among other GPL distribution patterns, and the fundamental frequency increases almost 150%, which is higher than the other GPL patterns. It can be concluded that adding only a small amount of GPLs can increase the stiffness and hence the frequency of the arch significantly, and FG-X works much more effectively among all GPL distribution patterns. The effects of GPL weight fraction (WGPL) on the fundamental frequency of the FG-GPLRC circular arch with various end conditions are shown in Figure 3, Figure 4 and Figure 5.
The various GPLs distribution patterns are involved. It can be seen obviously that the fundamental frequency promotes impressively by adding more GPLs into the matrix. It can be concluded that the addition of GPL nanofillers improve the stiffness hence the fundamental frequency of the FG-GPLRC circular arch effectively. Again, for the same amount of GPL nanofillers, the pattern FG-X increases the fundamental frequency more powerfully compared with others. This is due to the fact that the normal stress is very high near the bottom and top surfaces of the arch and is small near its mid-plane. Such a dispersion of GPLs can take full advantage of the advanced material properties of GPL nanofillers to improve the arch stiffness.
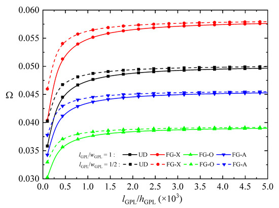
The fundamental frequency of FG-GPLRC circular arch against length-to-thickness ratio lGPL/hGPL together with various GPL patterns are depicted in Figure 6. Here only the S-S end condition is discussed due to the similarity. The length of GPL nanofillers lGPL = 2.5 μm remains unchanged during the comparisons. It is obvious that the fundamental frequency increases radically and then slowly with increasing the ratio lGPL/hGPL. It reveals that thinner GPL nanofillers promote the fundamental frequency more effectively. Moreover, a smaller ratio lGPL/hGPL displays higher frequencies. That is to say, the GPLs with larger contact area between matrix lead to higher structural stiffness, and hence increases the fundamental frequency more powerfully.
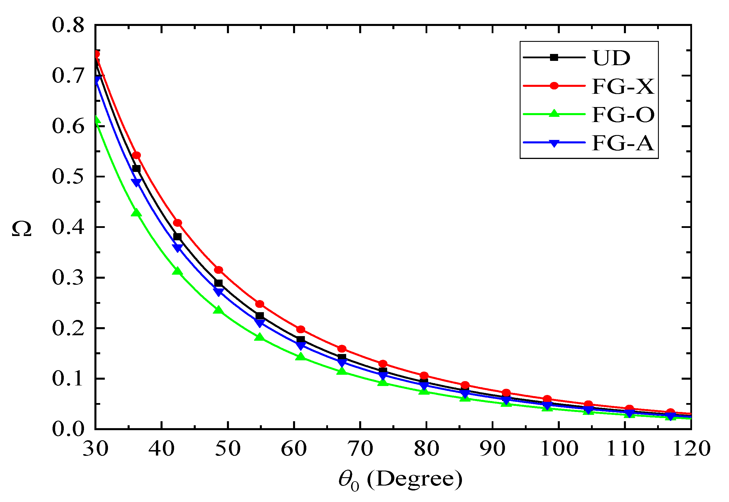
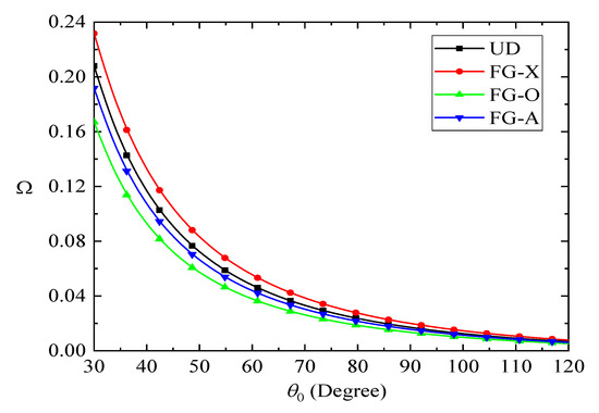
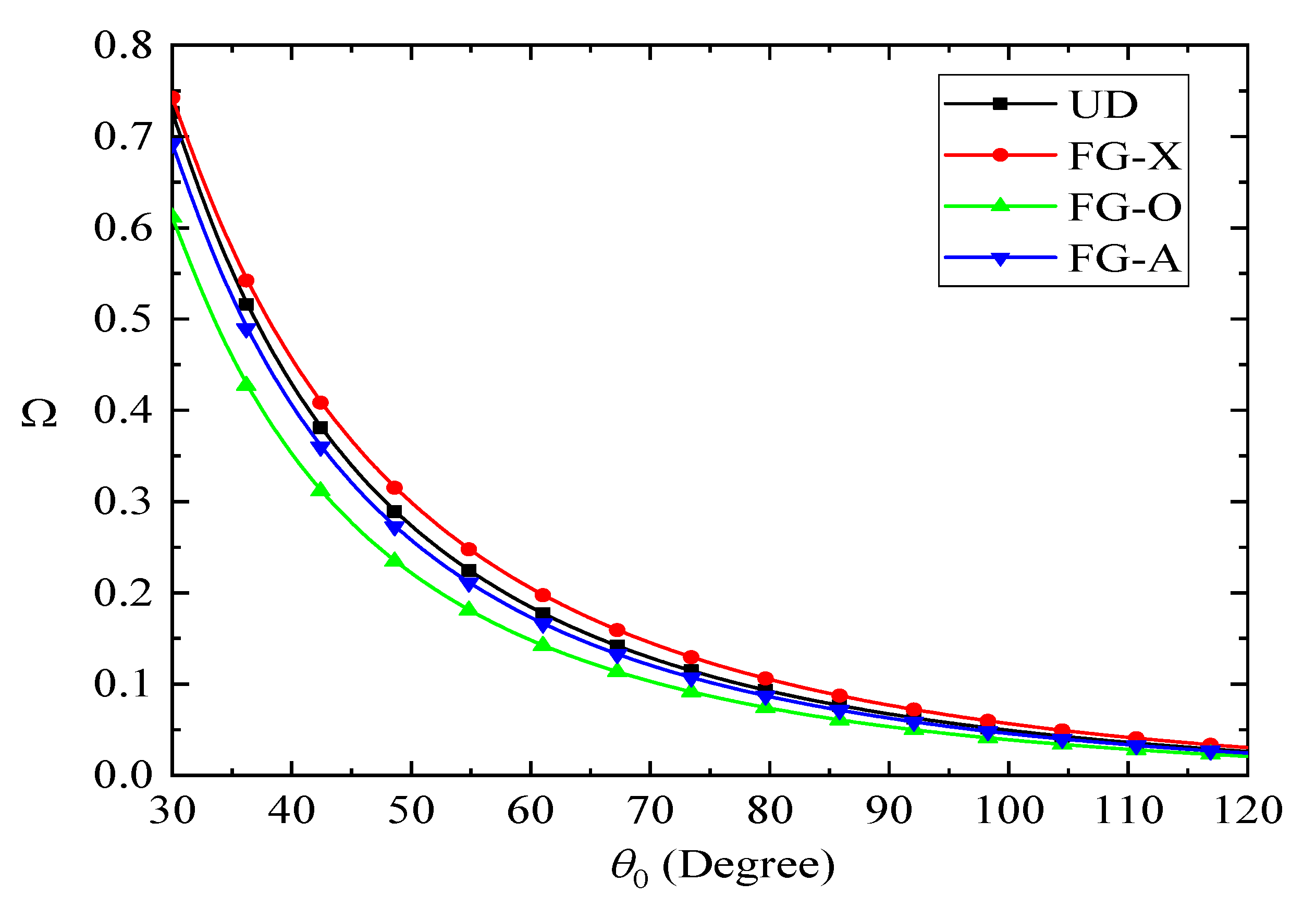
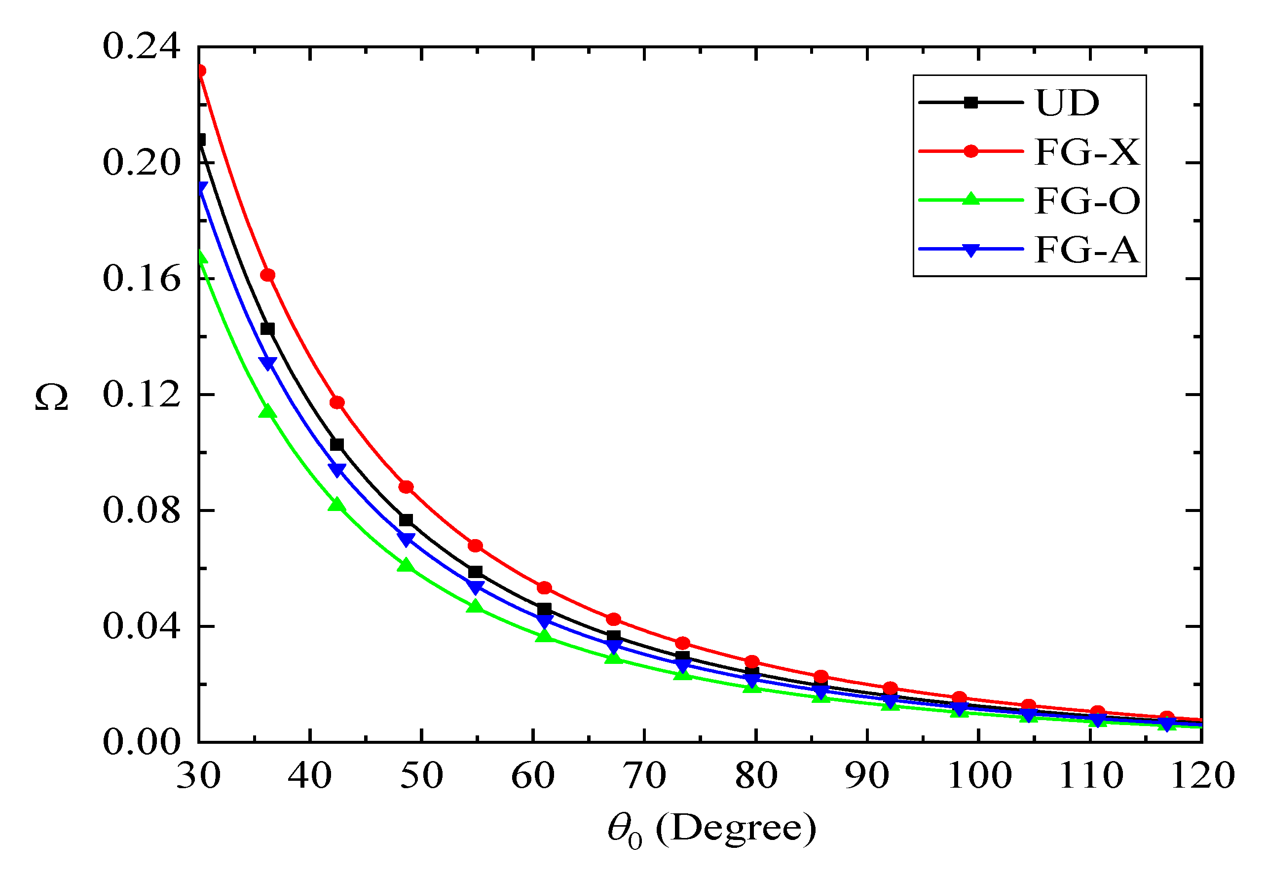
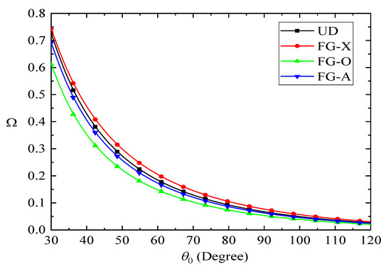
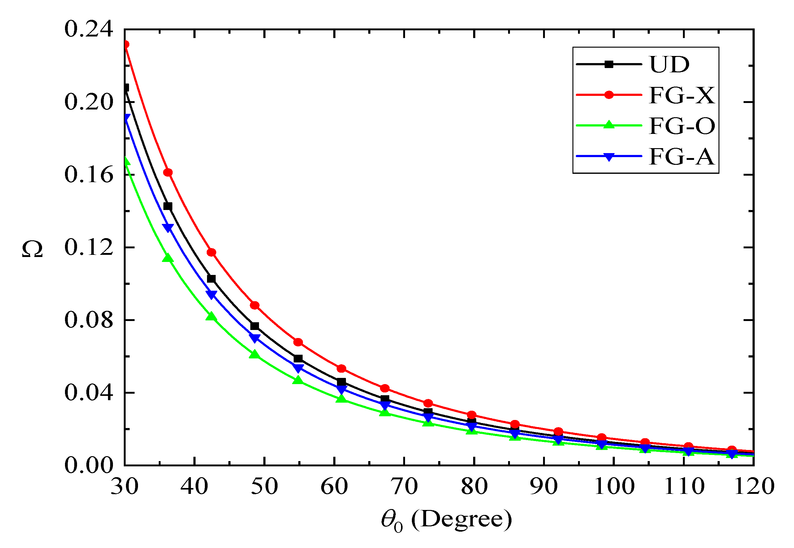
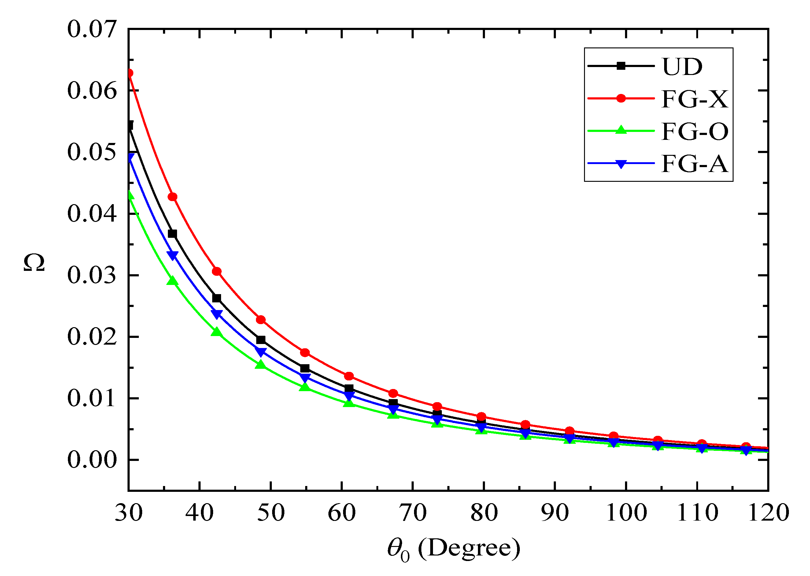
The fundamental frequencies of FG-GPLRC thin, moderately thick and thick circular arches against the subtended angle θ0 are presented in Figure 7, Figure 8 and Figure 9, respectively. As can be observed, for a given value of thickness-to-radius ratio λ, the length L = θ0R0 of the circular arch increases by increasing the subtended angle θ0, and thus the fundamental frequency decreases. Moreover, increasing the thickness or decreasing the mean radius of the FG-GPLRC circular arch will both promote the fundamental frequency. It should pointe again that the present model is based on the two-dimensional elasticity, for which accounts for the thickness strain and shear strain, therefore the results are evaluated more precisely, especially for the thick structures, compared to the simplified structure theories.
Figure 10 illustrates the fundamental frequency of the FG-GPLRC circular arch with respect to thickness-to-radius ratio λ = H/R0 together with various types of GPL distribution pattern. The results reveal the fundamental frequency increases with the increment of thickness-to-radius ratio. This is because as the thickness-to-radius ratio increases, and consequently, its thickness increases, the circular arch stiffness enhances.

6. Conclusions

In the present work, a two-dimensional elasticity model for in-plane free vibration of FG-GPLRC circular arch is developed. GPL nanofillers are dispersed into the matrix uniformly and non-uniformly, and the effective material properties of the GPL-reinforced nanocomposites are evaluated via the modified Halpin-Tsai formula and rule of mixtures. The state-space procedure is employed to derive the governing equation for free vibration, and semi-analytical numerical solutions are obtained with the help of DQM for various end conditions. An exact solution for a simply-supported circular arch is also given as a reference. The employment of approximate laminate model makes it possible to deal with non-uniformly dispersion of GPLs through the thickness of the arch. The validity and efficiency of the current methodology is clarified by considering several numerical examples.
Comprehensive parameter studies are presented in both graphical and tabular forms to examine the fundamental frequency of FG-GPLRC circular arch. The GPL distribution pattern, weight fraction, as well as geometry and size are disussed in detail. This reveals that the natural frequency of the GPL-reinforced nanocomposite arch can significantly increase even by adding a quite small content of GPLs into polymer matrix. The pattern FG-X works much more powerfully in the increase of natural frequency among all GPL distribution patterns. That means more GPL reinforcements dispersed near the top and bottom surfaces of the arch can make the best use of the advanced properties of GPLs to increase the stiffness hence the frequencies of the arch. It is also found that larger and thinner GPLs exhibit better reinforcing effects.
It should be mentioned that the present method has a perfect performance even for thick arch. The arch with arbitrary end conditions can be dealt using the present method, that can provide a benchmark for clarifying various equivalent single layer theories or numerical methods.

Author Contributions

L.L. and J.S. conceived and designed the research. D.L. conducted the theoretical derivation and numerical examples. D.L. and J.S. wrote and/or edited the manuscript. All authors have read and agreed to the published version of the manuscript.

Funding

The present work is fully supported by the National Natural Science Foundation of China (Nos. 11402310 and 11902086).

Acknowledgments

The present work is fully supported by the National Natural Science Foundation of China (Nos. 11402310 and 11902086). The authors are grateful for the supports.

Conflicts of Interest

The authors declare no conflict of interest.

Appendix A. State Space Equations for FG-GPLRC Arch with Different End Conditions

All the end conditions can be expressed explicitly by the state variables or induced variable.

Appendix A1. S-S Arch

The discrete end conditions can be written as:
W 1 = 0 ,   Y 1 = c 33 c 13 k 11 c 0 λ η k = 1 N g 1 k ( 1 ) U k ,      at   θ = 0 W N = 0 ,   Y N = c 33 c 13 k 11 c 0 λ η k = 1 N g N k ( 1 ) U k ,       at   θ = θ 0
The state equations give:
U i ζ = λ η U i λ η k = 2 N 1 g i k ( 1 ) W k + c 0 c 55 Γ i ( i = 1 , 2 , , N ) Y i ζ = λ 2 η 2 k 11 c 0 k = 1 N g i k ( 1 ) U k + λ η ( c 13 c 33 1 ) Y i ρ ρ 0 Ω 2 W i + λ 2 η 2 k 11 c 0 W i λ η k = 1 N g i k ( 1 ) Γ k ( i = 2 , 3 , , N 1 ) W i ζ = c 13 c 33 λ η k = 1 N g i k ( 1 ) U k + c 0 c 33 Y i c 13 c 33 λ η W i ( i = 2 , 3 , , N 1 ) Γ i ζ = ρ ρ 0 Ω 2 U i + λ 2 η 2 k 11 c 0 k = 1 N [ g i 1 ( 1 ) g 1 k ( 1 ) + g i N ( 1 ) g N k ( 1 ) g i k ( 2 ) ] U k c 13 c 33 λ η k = 2 N 1 g i k ( 1 ) Y k λ 2 η 2 k 11 c 0 k = 2 N 1 g i k ( 1 ) W k 2 λ η Γ i ( i = 1 , 2 , , N )

Appendix A2. C-F Arch

The corresponding end conditions are:
U 1 = W 1 = 0 ,      at   θ = 0 Γ N = 0 ,   Y N = c 33 c 13 k 11 c 0 λ η ( k = 2 N g N k ( 1 ) U k + W N ) ,       at   θ = θ 0
The state equations are:
U i ζ = λ η U i λ η k = 2 N g i k ( 1 ) W k + c 0 c 55 Γ i ( i = 2 , 3 , , N ) Y i ζ = λ 2 η 2 k 11 c 0 k = 2 N g i k ( 1 ) U k + λ η ( c 13 c 33 1 ) Y i ρ ρ 0 Ω 2 W i + λ 2 η 2 k 11 c 0 W i λ η k = 1 N 1 g i k ( 1 ) Γ k ( i = 1 , 2 , , N 1 ) W i ζ = c 13 c 33 λ η k = 2 N g i k ( 1 ) U k + c 0 c 33 Y i c 13 c 33 λ η W i ( i = 2 , 3 , , N ) Γ i ζ = ρ ρ 0 Ω 2 U i + λ 2 η 2 k 11 c 0 k = 2 N ( g i N ( 1 ) g N k ( 1 ) g i k ( 2 ) ) U k c 13 c 33 λ η k = 1 N 1 g i k ( 1 ) Y k λ 2 η 2 k 11 c 0 k = 2 N 1 g i k ( 1 ) W k 2 λ η Γ i ( i = 1 , 2 , , N 1 )

Appendix A3. C-C Arch

The end conditions can be given as:
U 1 = W 1 = 0 ,       at   θ = 0 U N = W N = 0 , ,      at   θ = θ 0
The state equations are:
U i ζ = λ η U i λ η k = 2 N 1 g i k ( 1 ) W k + c 0 c 55 Γ i ( i = 2 , 3 , , N 1 ) Y i ζ = λ 2 η 2 k 11 c 0 k = 2 N 1 g i k ( 1 ) U k + λ η ( c 13 c 33 1 ) Y i + ( λ 2 η 2 k 11 c 0 ρ ρ 0 Ω 2 ) W i λ η k = 1 N g i k ( 1 ) Γ k ( i = 1 , 2 , , N ) W i ζ = c 13 c 33 λ η k = 2 N 1 g i k ( 1 ) U k + c 0 c 33 Y i c 13 c 33 λ η W i ( i = 2 , 3 , , N 1 ) Γ i ζ = ρ ρ 0 Ω 2 U i λ 2 η 2 k 11 c 0 k = 2 N 1 g i k ( 2 ) U k c 13 c 33 λ η k = 1 N g i k ( 1 ) Y k λ 2 η 2 k 11 c 0 k = 2 N 1 g i k ( 1 ) W k 2 λ η Γ i ( i = 1 , 2 , , N )

References

  1. Fang, B.; Chang, D.; Xu, Z.; Gao, C. A review on graphene fibers: Expectations, advances, and prospects. Adv. Mater. 2019, 32, 1902664. [Google Scholar] [CrossRef] [PubMed]
  2. Potts, J.R.; Dreyer, D.R.; Bielawski, C.W.; Ruoff, R.S. Graphene-based polymer nanocomposites. Polymer 2011, 52, 5–25. [Google Scholar] [CrossRef]
  3. Rafiee, M.A.; Lu, W.; Thomas, A.V.; Zandiatashbar, A.; Rafiee, J.; Tour, J.M.; Koratkar, N.A. Graphene nanoribbon composites. ACS Nano 2010, 4, 7415–7420. [Google Scholar] [CrossRef] [PubMed]
  4. Kuilla, T.; Bhadra, S.; Yao, D.; Kim, N.H.; Bose, S.; Lee, J.H. Recent advances in graphene based polymer composites. Prog. Polym. Sci. 2010, 35, 1350–1375. [Google Scholar] [CrossRef]
  5. Rafiee, M.A.; Rafiee, J.; Srivastava, I.; Wang, Z.; Song, H.; Yu, Z.-Z.; Koratkar, N. Fracture and fatigue in graphene nanocomposites. Small 2010, 6, 179–183. [Google Scholar] [CrossRef]
  6. Singh, V.; Joung, D.; Zhai, L.; Das, S.; Khondaker, S.I.; Seal, S. Graphene based materials: Past, present and future. Prog. Mater. Sci. 2011, 56, 1178–1271. [Google Scholar] [CrossRef]
  7. Li, C.; Browning, A.R.; Christensen, S.; Strachan, A. Atomistic simulations on multilayer graphene reinforced epoxy composites. Compos. Part A 2012, 43, 1293–1300. [Google Scholar] [CrossRef]
  8. Feng, C.; Kitipornchai, S.; Yang, J. Nonlinear bending of polymer nanocomposite beams reinforced with non-uniformly distributed graphene platelets (GPLs). Compos. Part B 2017, 110, 132–140. [Google Scholar] [CrossRef]
  9. Feng, C.; Kitipornchai, S.; Yang, J. Nonlinear free vibration of functionally graded polymer composite beams reinforced with graphene nanoplatelets (GPLs). Eng. Struct. 2017, 140, 110–119. [Google Scholar] [CrossRef]
  10. Wu, H.; Yang, J.; Kitipornchai, S. Dynamic instability of functionally graded multilayer graphene nanocomposite beams in thermal environment. Compos. Struct. 2017, 162, 244–254. [Google Scholar] [CrossRef]
  11. Yang, J.; Wu, H.; Kitipornchai, S. Buckling and postbuckling of functionally graded multilayer graphene platelet-reinforced composite beams. Compos. Struct. 2017, 161, 111–118. [Google Scholar] [CrossRef]
  12. Yang, B.; Yang, J.; Kitipornchai, S. Thermoelastic analysis of functionally graded graphene reinforced rectangular plates based on 3D elasticity. Meccanica 2016, 10, 1–18. [Google Scholar] [CrossRef]
  13. Yang, B.; Kitipornchai, S.; Yang, Y.F.; Yang, J. 3D thermo-mechanical bending solution of functionally graded graphene reinforced circular and annular plates. Appl. Math. Model. 2017, 49, 69–86. [Google Scholar] [CrossRef]
  14. Song, M.; Kitipornchai, S.; Yang, J. Free and forced vibrations of functionally graded polymer composite plates reinforced with graphene nanoplatelets. Compos. Struct. 2017, 159, 579–588. [Google Scholar] [CrossRef]
  15. Song, M.; Yang, J.; Kitipornchai, S.; Zhu, W. Buckling and postbuckling of biaxially compressed functionally graded multilayer graphene nanoplatelet-reinforced polymer composite plates. Int. J. Mech. Sci. 2017, 131–132, 345–355. [Google Scholar] [CrossRef]
  16. Yang, J.; Chen, D.; Kitipornchai, S. Buckling and free vibration analyses of functionally graded graphene reinforced porous nanocomposite plates based on Chebyshev-Ritz method. Compos. Struct. 2018, 193, 281–294. [Google Scholar] [CrossRef]
  17. Dong, Y.H.; He, L.W.; Wang, L.; Li, Y.H.; Yang, J. Buckling of spinning functionally graded graphene reinforced porous nanocomposite cylindrical shells: An analytical study. Aerosp. Sci. Technol. 2018, 82–83, 466–478. [Google Scholar] [CrossRef]
  18. Dong, Y.H.; Li, Y.H.; Chen, D.; Yang, J. Vibration characteristics of functionally graded graphene reinforced porous nanocomposite cylindrical shells with spinning motion. Compos. Part B 2018, 145, 1–13. [Google Scholar] [CrossRef]
  19. Liu, D.; Kitipornchai, S.; Chen, W.; Yang, J. Three-dimensional buckling and free vibration analyses of initially stressed functionally graded graphene reinforced composite cylindrical shell. Compos. Struct. 2018, 189, 560–569. [Google Scholar] [CrossRef]
  20. Dong, Y.H.; Zhu, B.; Wang, Y.; He, L.W.; Li, Y.H.; Yang, J. Analytical prediction of the impact response of graphene reinforced spinning cylindrical shells under axial and thermal loads. Appl. Math. Model. 2019, 71, 331–348. [Google Scholar] [CrossRef]
  21. Sahmani, S.; Aghdam, M.M. Nonlinear instability of axially loaded functionally graded multilayer graphene platelet-reinforced nanoshells based on nonlocal strain gradient elasticity theory. Int. J. Mech. Sci. 2017, 131–132, 95–106. [Google Scholar] [CrossRef]
  22. Shen, H.S.; Lin, F.; Xiang, Y. Nonlinear vibration of functionally graded graphene-reinforced composite laminated beams resting on elastic foundations in thermal environments. Nonlinear Dynam. 2017, 90, 899–914. [Google Scholar] [CrossRef]
  23. Shen, H.S.; Xiang, Y.; Fan, Y. Nonlinear vibration of functionally graded graphene-reinforced composite laminated cylindrical shells in thermal environments. Compos. Struct. 2017, 182, 447–456. [Google Scholar] [CrossRef]
  24. Shen, H.S.; Xiang, Y.; Lin, F. Nonlinear bending of functionally graded graphene-reinforced composite laminated plates resting on elastic foundations in thermal environments. Compos. Struct. 2017, 170, 80–90. [Google Scholar] [CrossRef]
  25. Shen, H.S.; Xiang, Y.; Lin, F. Thermal buckling and postbuckling of functionally graded graphene-reinforced composite laminated plates resting on elastic foundations. Thin Wall Struct. 2017, 118, 229–237. [Google Scholar] [CrossRef]
  26. Huang, Y.; Yang, Z.; Liu, A.; Fu, J. Nonlinear buckling analysis of functionally graded graphene reinforced composite shallow arches with elastic rotational constraints under uniform radial load. Materials 2018, 11, 910. [Google Scholar] [CrossRef]
  27. Yang, Z.; Yang, J.; Liu, A.; Fu, J. Nonlinear in-plane instability of functionally graded multilayer graphene reinforced composite shallow arches. Compos. Struct. 2018, 204, 301–312. [Google Scholar] [CrossRef]
  28. Yang, Z.; Huang, Y.; Liu, A.; Fu, J.; Wu, D. Nonlinear in-plane buckling of fixed shallow functionally graded graphene reinforced composite arches subjected to mechanical and thermal loading. Appl. Math. Model. 2019, 70, 315–327. [Google Scholar] [CrossRef]
  29. Arefi, M.; Mohammad-Rezaei Bidgoli, E.; Dimitri, R.; Bacciocchi, M.; Tornabene, F. Nonlocal bending analysis of curved nanobeams reinforced by graphene nanoplatelets. Compos. Part B 2019, 166, 1–12. [Google Scholar] [CrossRef]
  30. Liu, Z.; Yang, C.; Gao, W.; Wu, D.; Li, G. Nonlinear behaviour and stability of functionally graded porous arches with graphene platelets reinforcements. Int. J. Eng. Sci. 2019, 137, 37–56. [Google Scholar] [CrossRef]
  31. Rafiee, M.A.; Rafiee, J.; Wang, Z.; Song, H.; Yu, Z.Z.; Koratkar, N. Enhanced mechanical properties of nanocomposites at low graphene content. ACS Nano 2009, 3, 3884–3890. [Google Scholar] [CrossRef] [PubMed]
  32. Lu, C.F.; Chen, W.Q.; Zhong, Z. Two-dimensional thermoelasticity solution for functionally graded thick beams. Sci. China Phys. Mech. 2006, 49, 451–460. [Google Scholar] [CrossRef]
  33. Chen, W.Q.; Lv, C.F.; Bian, Z.G. Free vibration analysis of generally laminated beams via state-space-based differential quadrature. Compos. Struct. 2004, 63, 417–425. [Google Scholar] [CrossRef]
  34. Lu, C.F.; Chen, W.Q. Free vibration of orthotropic functionally graded beams with various end conditions. Struct. Eng. Mech. 2005, 20, 465–476. [Google Scholar] [CrossRef]
  35. Chen, W.Q.; Lv, C.F.; Bian, Z.G. Elasticity solution for free vibration of laminated beams. Compos. Struct. 2003, 62, 75–82. [Google Scholar] [CrossRef]
  36. Chen, W.Q.; Lü, C.F.; Bian, Z.G. A mixed method for bending and free vibration of beams resting on a Pasternak elastic foundation. Appl. Math. Model. 2004, 28, 877–890. [Google Scholar] [CrossRef]
  37. Lim, C.W.; Yang, Q.; Lü, C.F. Two-dimensional elasticity solutions for temperature-dependent in-plane vibration of FGM circular arches. Compos. Struct. 2009, 90, 323–329. [Google Scholar] [CrossRef]
Figure 1. Sketch of the FG-GPLRC circular arch and the polar coordinate system.
Figure 1. Sketch of the FG-GPLRC circular arch and the polar coordinate system.
Applsci 10 04695 g001
Figure 2. GPL distribution patterns along the thickness of the FG-GPLRC circular arch.
Figure 2. GPL distribution patterns along the thickness of the FG-GPLRC circular arch.
Applsci 10 04695 g002
Figure 3. Effects of GPL weight fraction on the fundamental frequency of S-S FG-GPLRC circular arch (θ0= π/3, λ = 1/10).
Figure 3. Effects of GPL weight fraction on the fundamental frequency of S-S FG-GPLRC circular arch (θ0= π/3, λ = 1/10).
Applsci 10 04695 g003
Figure 4. Effects of GPL weight fraction on the fundamental frequency of C-F FG-GPLRC circular arch (θ0= π/3, λ = 1/10).
Figure 4. Effects of GPL weight fraction on the fundamental frequency of C-F FG-GPLRC circular arch (θ0= π/3, λ = 1/10).
Applsci 10 04695 g004
Figure 5. Effects of GPL weight fraction on the fundamental frequency of C-C FG-GPLRC circular arch (θ0= π/3, λ = 1/10).
Figure 5. Effects of GPL weight fraction on the fundamental frequency of C-C FG-GPLRC circular arch (θ0= π/3, λ = 1/10).
Applsci 10 04695 g005
Figure 6. The fundamental frequency of S-S FG-GPLRC circular arch against the GPLs length-to-thickness ratio (θ0 = π/3, λ = 1/10).
Figure 6. The fundamental frequency of S-S FG-GPLRC circular arch against the GPLs length-to-thickness ratio (θ0 = π/3, λ = 1/10).
Applsci 10 04695 g006
Figure 7. The fundamental frequency of S-S FG-GPLRC thin circular arch (λ = 1/20) against the subtended angle θ0.
Figure 7. The fundamental frequency of S-S FG-GPLRC thin circular arch (λ = 1/20) against the subtended angle θ0.
Applsci 10 04695 g007
Figure 8. The fundamental frequency of S-S FG-GPLRC moderately thick circular arch (λ = 1/10) against the subtended angle θ0.
Figure 8. The fundamental frequency of S-S FG-GPLRC moderately thick circular arch (λ = 1/10) against the subtended angle θ0.
Applsci 10 04695 g008
Figure 9. The fundamental frequency of S-S FG-GPLRC thick circular arch (λ = 1/5) against the subtended angle θ0.
Figure 9. The fundamental frequency of S-S FG-GPLRC thick circular arch (λ = 1/5) against the subtended angle θ0.
Applsci 10 04695 g009
Figure 10. The fundamental frequency of S-S FG-GPLRC circular arch against thickness-to-radius ratio λ (θ0 = π/3).
Figure 10. The fundamental frequency of S-S FG-GPLRC circular arch against thickness-to-radius ratio λ (θ0 = π/3).
Applsci 10 04695 g010
Table 1. Non-dimensional frequencies Ω for S-S FGM straight beams (α = 0.5).
Table 1. Non-dimensional frequencies Ω for S-S FGM straight beams (α = 0.5).
Mode H / L = 1 / 15 H / L = 1 / 7
AnalyticalSemi-AnalyticalRef. [34]AnalyticalSemi-AnalyticalRef. [34]
10.0115720.0115720.0115720.0524700.0524700.052470
20.0458010.0458010.0458010.2007270.2007270.200727
30.1013190.1013190.1013190.4142040.4142040.414204
40.1761300.1761300.1761300.4238160.4238160.423816
50.1932970.1932970.1932970.7000220.7000220.700022
60.2679160.2679160.2679160.8283700.8283700.828370
70.3743080.3743080.3743081.0124571.0124571.012457
80.3865910.3865910.3865911.2424561.2424561.242456
90.4930760.4930760.4930761.3494581.3494581.349458
100.5798770.5798770.5798771.6563991.6563991.656399
Table 2. Non-dimensional frequencies Ω for C-C and C-F FGM straight beams (α = 1).
Table 2. Non-dimensional frequencies Ω for C-C and C-F FGM straight beams (α = 1).
B.C.Mode H / L = 1 / 15 H / L = 1 / 7
Semi-AnalyticalRef. [34]Semi-AnalyticalRef. [34]
C-C10.029220.029220.126380.12638
20.078640.078640.318390.31839
30.149510.149510.471910.47191
40.220540.220540.567470.56747
50.238430.238430.851450.85145
C-F10.004670.004670.021320.02132
20.028830.028830.125270.12527
30.078960.078960.235760.23576
40.109900.109900.323360.32336
50.150150.150150.575970.57597
Table 3. Comparisons of natural frequencies for laminated circular arches (θ0 = π/2, L/H = 10).
Table 3. Comparisons of natural frequencies for laminated circular arches (θ0 = π/2, L/H = 10).
B.C.Mode E 1 / E 2 = 15 E 1 / E 2 = 40
Semi-AnalyticalRef. [37]Semi-AnalyticalRef. [37]
S-S12.88052.88082.30322.3034
214.046514.047910.356110.3571
329.356829.359720.266020.2680
C-C118.586618.588512.676412.6777
226.963026.965719.782419.7844
341.807241.811432.353832.3570
Table 4. Convergence study of the fundamental frequencies of FG-GPLRC circular arch.
Table 4. Convergence study of the fundamental frequencies of FG-GPLRC circular arch.
Distribution PatternspSSCFCC
N = 11N = 15N = 20ExactN = 11N = 15N = 20N = 11N = 15N = 20
UD100.04780.04780.04780.04780.02100.02100.02100.12600.12620.1262
200.04780.04780.04780.04780.02100.02100.02100.12600.12620.1262
500.04780.04780.04780.04780.02100.02100.02100.12600.12620.1262
FG-X100.05510.05510.05510.05510.02450.02450.02450.13930.13950.1395
200.05530.05530.05530.05530.02450.02450.02450.13930.13950.1395
500.05530.05530.05530.05530.02450.02450.02450.13930.13950.1395
FG-O100.03820.03820.03820.03820.01650.01650.01650.10170.10180.1018
200.03790.03790.03790.03780.01650.01650.01650.10160.10170.1018
500.03780.03780.03780.03780.01650.01650.01650.10160.10170.1018
FGA100.04390.04390.04390.04390.01880.01880.01880.11420.11430.1143
200.04380.04380.04380.04380.01880.01880.01880.11420.11430.1143
500.04380.04380.04380.04380.01880.01880.01880.11420.11430.1143
Table 5. The fundamental frequency Ω of S-S FG-GPLRC circular arch.
Table 5. The fundamental frequency Ω of S-S FG-GPLRC circular arch.
λ = H/R0θ0EpoxyUDFG-XFG-OFG-A
1/20π/60.02610.0543 (108%)0.0628 (140%)0.0429 (64%)0.0493 (88%)
π/30.00580.0121 (108%)0.0141 (143%)0.0095 (63%)0.0109 (87%)
π/20.00210.0043 (104%)0.0050 (138%)0.0034 (61%)0.0039 (85%)
1/10π/60.09990.2079 (108%)0.2317 (131%)0.1670 (67%)0.1918 (91%)
π/30.02300.0478 (107%)0.0553 (140%)0.0378 (64%)0.0438 (90%)
π/20.00820.0170 (107%)0.0199 (142%)0.0134 (63%)0.0156 (90%)
1/5π/60.34900.7263 (108%)0.7425 (112%)0.6115 (75%)0.6920 (98%)
π/30.08840.1840 (108%)0.2049 (131%)0.1478 (67%)0.1728 (95%)
π/20.03230.0672 (108%)0.0768 (137%)0.0533 (65%)0.0626 (93%)
Table 6. The fundamental frequency Ω of C-F FG-GPLRC circular arch.
Table 6. The fundamental frequency Ω of C-F FG-GPLRC circular arch.
λ = H/R0θ0EpoxyUDFG-XFG-OFG-A
1/20π/60.01150.0235 (104%)0.0277 (141%)0.0184 (60%)0.0228 (98%)
π/30.00250.0052 (108%)0.0061 (144%)0.0043 (72%)0.0049 (96%)
π/20.00090.0019 (111%)0.0022 (144%)0.0015 (67%)0.0018 (95%)
1/10π/60.04390.0909 (107%)0.1079 (146%)0.0727 (66%)0.0853 (94%)
π/30.01010.0210 (108%)0.0245 (135%)0.0165 (61%)0.0188 (99%)
π/20.00360.0073 (103%)0.0086 (139%)0.0058 (61%)0.0069 (92%)
1/5π/60.15330.3169 (107%)0.3643 (138%)0.2437 (59%)0.2970 (94%)
π/30.03880.0802 (107%)0.0889 (129%)0.0634 (63%)0.0763 (97%)
π/20.01420.0286 (101%)0.0324 (128%)0.0234 (65%)0.0276 (94%)
Table 7. The fundamental frequency Ω of C-C FG-GPLRC circular arch.
Table 7. The fundamental frequency Ω of C-C FG-GPLRC circular arch.
λ = H/R0θ0EpoxyUDFG-XFG-OFG-A
1/20π/60.06880.1403 (104%)0.1632 (137%)0.1150 (67%)0.1338 (94%)
π/30.01530.0307 (101%)0.0359 (135%)0.0257 (68%)0.0296 (93%)
π/20.00550.0112 (104%)0.0131 (138%)0.0091 (65%)0.0107 (95%)
1/10π/60.26320.5297 (101%)0.6303 (139%)0.4339 (65%)0.5210 (98%)
π/30.06050.1260 (102%)0.1393 (134%)0.1016 (67%)0.1142 (97%)
π/20.02160.0437 (102%)0.0517 (139%)0.0364 (69%)0.0422 (95%)
1/5π/60.91951.8774 (104%)2.1924 (138%)1.5262 (66%)1.8179 (98%)
π/30.23290.4670 (101%)0.5387 (131%)0.3783 (62%)0.4462 (92%)
π/20.08510.1779 (109%)0.2034 (139%)0.1404 (65%)0.1685 (98%)

Share and Cite

MDPI and ACS Style

Liu, D.; Sun, J.; Lan, L. Elasticity Solutions for In-Plane Free Vibration of FG-GPLRC Circular Arches with Various End Conditions. Appl. Sci. 2020, 10, 4695. https://doi.org/10.3390/app10144695

AMA Style

Liu D, Sun J, Lan L. Elasticity Solutions for In-Plane Free Vibration of FG-GPLRC Circular Arches with Various End Conditions. Applied Sciences. 2020; 10(14):4695. https://doi.org/10.3390/app10144695

Chicago/Turabian Style

Liu, Dongying, Jing Sun, and Linhua Lan. 2020. "Elasticity Solutions for In-Plane Free Vibration of FG-GPLRC Circular Arches with Various End Conditions" Applied Sciences 10, no. 14: 4695. https://doi.org/10.3390/app10144695

APA Style

Liu, D., Sun, J., & Lan, L. (2020). Elasticity Solutions for In-Plane Free Vibration of FG-GPLRC Circular Arches with Various End Conditions. Applied Sciences, 10(14), 4695. https://doi.org/10.3390/app10144695

Note that from the first issue of 2016, this journal uses article numbers instead of page numbers. See further details here.

Article Metrics

Back to TopTop