Control of Automotive Semi-Active MR Suspensions for In-Wheel Electric Vehicles
Abstract
1. Introduction
2. Methods
2.1. A Semi-Phenomenological (SP) Model of a Magnetorheological Damper
2.2. F-Class Vehicle Model
2.3. QoV’s Description
2.4. Controllers Definition
2.4.1. Sky-Hook (SH)
2.4.2. Ground-Hook (GH)
2.4.3. Mix-1-Sensor (M1S)
2.4.4. Frequency Estimation Based (FEB)
2.5. Controllers Tuning for Benchmark
2.6. Input Signals Definition
2.6.1. Time Domain
- Sinusoidal road with resonance frequency. As a way to visualize the comfort and road holding conditions, whose are normally in 1–2 Hz and 10–15 Hz, a comparative work in the body and road holding resonance is performed employing sinusoidal roads. Two sinusoidal signals are considered with mm and mm, respectively, Figure 9. Considering the resonance frequency of the masses for each QoV setup.
- Step road. A step road disturbance of magnitude 3 cm is implemented at the time of 2 s. The test duration is 4 s, Figure 9.
2.6.2. Frequency Domain
2.7. Full Vehicle Tests Definition
- Bounce Sine Sweep Test (BSST). The BSST is used in the test of vertical body displacement (heave) and vertical (body) acceleration over a range of frequencies (typically 0–20 Hz), Figure 11a. This helps to ensure that an appropriate suspension tuning is done by exploring suspension performance in a bandwidth, which is expected to be faced in suspension’s useful life [38].
- Double Lane Change (DLC). DLC tests can provide use full information about vehicle’s handling in a highly transient situation. These are avoidance maneuvers commonly seen in real life [39] Figure 11b. This test consists on steering the vehicle through the entrance lane, and suddenly, turns left to avoid the single cone in the second lane, turning right for returning to the original lane, and then straightening the vehicle for leaving the course via the exit lane cones [40].
- Fishhook (FSH). Fishhook maneuver is detailed in the Toyota Engineering Standard TS-A1544. This propose of this procedure is to produce two-wheel lifts by imparting a rapid steering reversal to the vehicle while it is at a maximum lateral acceleration in one direction due to the initial steer. With this test, the vertical acceleration changes to the maximum value in the other direction, as shown in Figure 11c,d. By applying this rapid change in the lateral acceleration a large roll angular momentum to the chassis is applied due to the vehicles leaning at a relatively large angle to one side and then being forced to leaning in the opposite direction [40].
2.8. Controllers Performance Indexes for the QoV
2.8.1. Time Domain
- Sprung mass vertical acceleration. It is employed for passenger comfort analysis.
- Relative displacement and/or between the two masses. It is employed the suspension deflection analysis.
- Contact force between the road profile and the wheel. It is employed for the road holding analysis.
2.8.2. Frequency Domain
- Excite the system employing a sinusoidal signal as an input at the frequency for M periods.
- Measure the output signal (signal of interest).
- Compute the discrete Fourier transform of the input and output signal.
- Compute the magnitudes and .
- Compute the expression:where is the gain to the transfer function for the given frequency .
- The sequence must be repeated M times, each time considering a specific frequency until the desired PSB is achieved.
- BW1: [0–2] Hz range. The main goal is comfort. The resonance frequency of the sprung mass is included.
- BW2: [2–9] Hz range. The main goal is also the comfort. High gains of vertical accelerations in this bandwidth generate overall discomfort by shaking [44].
- BW3: [9–16] Hz range. The main goal is road holding. This bandwidth is known as tirehop BW because it contains the unsprung mass frequency resonance.
- BW4: [16–20] Hz range. This will be named the head injury BW. The main goal is road holding. The dangerous vibration can generate internal damage to the body.
2.9. Controllers Performance Indexes for the Full Vehicle
- Human comfort is defined as the human response to vibration. Vertical acceleration of the heave in a vehicle gives the only reliable subjective-objective correlation and must be considered as the interest value when analyzing human comfort [46].
- Ride comfort requires perfect isolation of the vehicle body from the road disturbances. To reach the ride comfort the magnitude of the heave and pitch of the car body with respect to typical road profiles should be minimized [43].
- Road holding performance is the ability of a car to remain stable when moving and keep contact between the road and tire, especially at high speeds. It is related to the lateral acceleration. High acceleration means poor road holding [47].
2.10. Simulations and Data Processing Procedure
3. Results and Discussion
3.1. QoV
3.1.1. Open Loop
3.1.2. Closed Loop
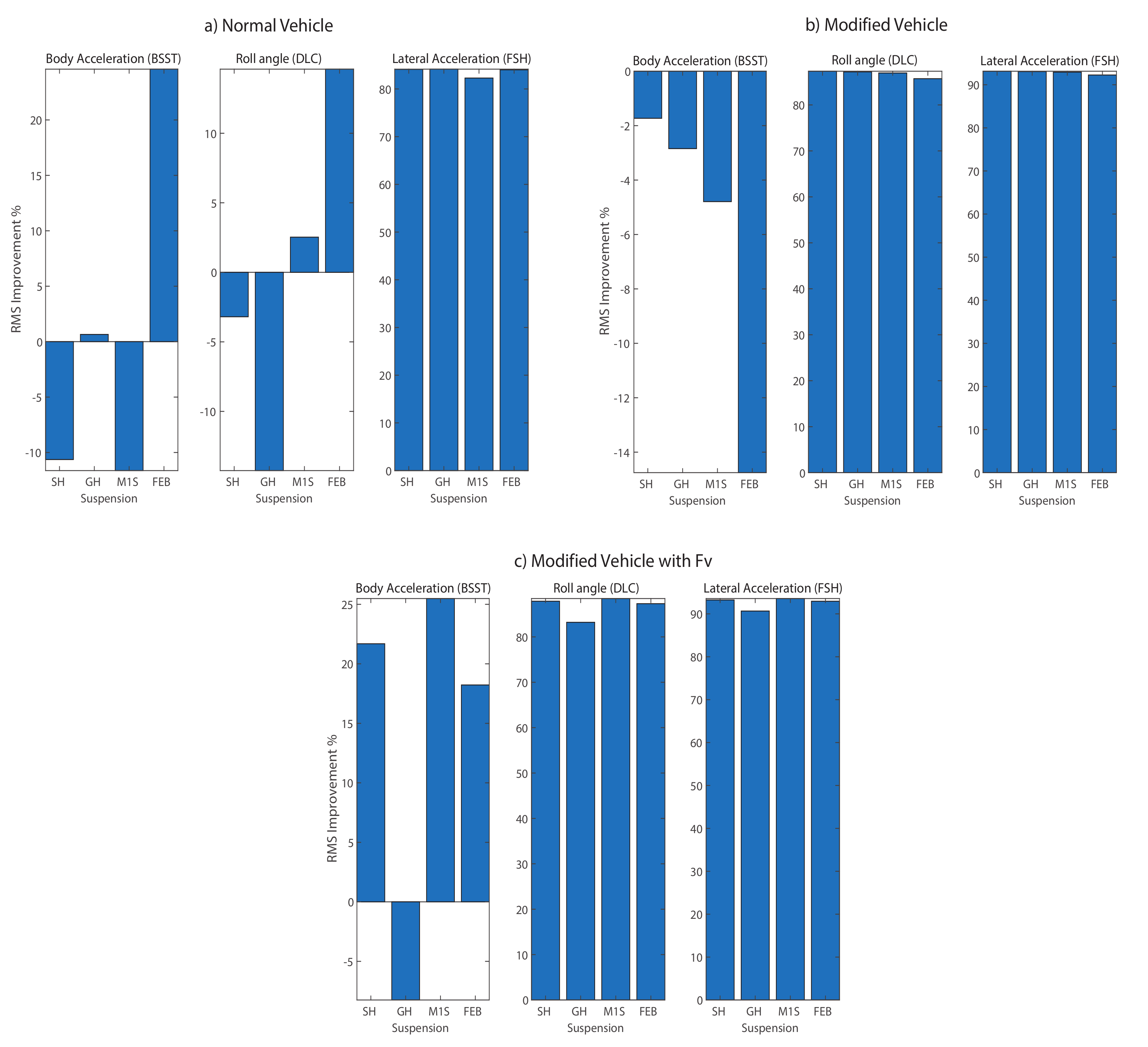
3.2. Full Vehicle
4. Conclusions
Author Contributions
Funding
Acknowledgments
Conflicts of Interest
References
- Zhu, Y.; Zhao, C.; Zhang, J.; Gong, Z. Vibration Control for Electric Vehicles With In-Wheel Switched Reluctance Motor Drive System. IEEE Access 2020, 8, 7205–7216. [Google Scholar] [CrossRef]
- Nagaya, G.; Wakao, Y.; Abe, A. Development of an In-Wheel Drive With Advanced Dynamic-Damper Mechanism. JSAE Rev. 2003, 24, 477–481. [Google Scholar] [CrossRef]
- Ma, Y.; Deng, Z.; Xie, D. Control of the Active Suspension for In-Wheel Motor. J. Adv. Mech. Des. Syst. Manuf. 2013, 7, 535–543. [Google Scholar] [CrossRef]
- Wang, Y.; Li, Y.; Sun, W.; Yang, C.; Xu, G. FxLMS Method for Suppressing In-Wheel Switched Reluctance Motor Vertical Force Based on Vehicle Active Suspension System. J. Control Sci. Eng. 2014, 2014, 486140. [Google Scholar] [CrossRef]
- Shao, X. Active Suspension Control of Electric Vehicle with In-Wheel Motors. Ph.D. Thesis, School of Electrical, Computer and Telecommunications Engineering, University of Wollongong, Wollongong, Australia, 2018. [Google Scholar]
- Shao, X.; Naghdy, F.; Du, H. Reliable fuzzy H∞ control for active suspension of in-wheel motor driven electric vehicles with dynamic damping. Mech. Syst. Signal Process. 2017, 87, 365–383. [Google Scholar] [CrossRef]
- Liu, M.; Zhang, Y.; Huang, J.; Zhang, C. Optimization Control for Dynamic Vibration Absorbers and Active Suspensions of In-Wheel-Motor-driven Electric Vehicles. Proc. Inst. Mech. Eng. Part D J. Autom. Eng. 2020, 0954407020908667. [Google Scholar]
- Li, Z.; Zheng, L.; Ren, Y.; Li, Y.; Xiong, Z. Multi-objective Optimization of Active Suspension System in Electric Vehicle With In-Wheel-Motor Against The Negative Electromechanical Coupling Effects. Mech. Syst. Signal Process. 2019, 116, 545–565. [Google Scholar] [CrossRef]
- Dong, X.M.; Yu, M.; Liao, C.R.; Chen, W.M. Comparative Research on Semi-Active Control Strategies for Magneto-Rheological Suspension. Nonlinear Dyn. 2010, 59, 433–453. [Google Scholar] [CrossRef]
- Qin, Y.; Dong, M.; Langari, R.; Gu, L.; Guan, J. Adaptive Hybrid Control of Vehicle Semiactive Suspension Based on Road Profile Estimation. Shock Vib. 2015, 2015, 636739. [Google Scholar] [CrossRef]
- Song, C.; Zhou, Z.; Xie, S.; Hu, Y.; Zhang, J.; Wu, H. Fuzzy Control of a Semi-Active Multiple Degree-of-Freedom Vibration Isolation System. J. Vib. Control 2015, 21, 1608–1621. [Google Scholar] [CrossRef]
- Zhang, J.; Gao, R.; Zhao, Z.; Han, W. Fuzzy Logic Controller Based Genetic Algorithm for Semi-Active Suspension. J. Sci. Ind. Res. 2012, 71, 521–527. [Google Scholar]
- Félix-Herrán, L.C.; Mehdi, D.; Rodríguez-Ortiz, J.d.J.; Soto, R.; Ramírez-Mendoza, R. Hinfinite Control of a Suspension with a Magnetorheological Damper. Int. J. Control 2012, 85, 1026–1038. [Google Scholar] [CrossRef]
- Do, A.L.; Sename, O.; Dugard, L.; Savaresi, S.; Spelta, C.; Delvecchio, D. An Extension of Mixed Sky-hook and ADD to Magneto-Rheological Dampers. In Proceedings of the 4th IFAC Symposium on System, Structure and Control, Ancona, Italy, 15–17 September 2010. [Google Scholar]
- Hong, K.S.; Sohn, H.C.; Hedrick, J.K. Modified Skyhook Control of Semi-Active Suspensions: A New Model, Gain Scheduling, and Hardware-in-the-Loop Tuning. J. Dyn. Sys. Meas. Control 2002, 124, 158–167. [Google Scholar] [CrossRef]
- Liu, Y.; Zuo, L. Mixed Skyhook and Power-Driven-Damper: A New Low-Jerk Semi-Active Suspension Control Based on Power Flow Analysis. J. Dyn. Syst. Meas. Control 2016, 138, 081009. [Google Scholar] [CrossRef]
- Yerge, R.M.; Shendge, P.; Paighan, V.; Phadke, S. Design and Implementation of a Two Objective Active Suspension Using Hybrid Skyhook and Groundhook Strategy. In Proceedings of the 2017 2nd IEEE International Conference on Recent Trends in Electronics, Information & Communication Technology (RTEICT), Bangalore, India, 19–20 May 2017; pp. 968–972. [Google Scholar]
- Valášek, M.; Novak, M.; Šika, Z.; Vaculin, O. Extended Ground-Hook-New Concept of Semi-Active Control of Truck’s Suspension. Veh. Syst. Dyn. 1997, 27, 289–303. [Google Scholar] [CrossRef]
- Lozoya-Santos, J.D.J.; Morales-Menendez, R.; Ramírez Mendoza, R.A. Control of an Automotive Semi-Active Suspension. Math. Probl. Eng. 2012, 2012. [Google Scholar] [CrossRef]
- Jorge de J, L.S.; Morales-Menendez, R.; Ramirez-Mendoza, R.A.; Vivas-Lopez, C.A. Influence of MR damper Modeling on Vehicle Dynamics. Smart Mater. Struct. 2013, 22, 125031. [Google Scholar]
- Lozoya-Santos, J.d.J.; Cervantes-Muñoz, D.; Tudón-Martínez, J.C.; Ramirez-Mendoza, R.A. Off-road Motorbike Performance Analysis Using a Rear Semiactive EH Suspension. Shock Vib. 2015, 2015, 291089. [Google Scholar] [CrossRef]
- Poussot-Vassal, C. Commande Robuste LPV Multivariable de Chassis. Ph.D. Thesis, INP Grenoble, Grenoble, France, 2008. [Google Scholar]
- Lee, H.S.; Choi, S.B. Control and Response Characteristics of a Magneto-Rheological Fluid Damper for Passenger Vehicles. J. Intell. Mater. Syst. Struct. 2000, 11, 80–87. [Google Scholar] [CrossRef]
- Sohn, H.C.; Hong, K.S.; Hedrick, J.K. Semi-Active Control of the Macpherson Suspension System: Hardware-in-the-Loop Simulations. In Proceedings of the IEEE International Conference on Control Applications, Anchorage, AK, USA, 25–27 September 2000; pp. 982–987. [Google Scholar]
- Lozoya-Santos, J.D.J.; Morales-Menendez, R.; Ramirez-Mendoza, R.A. Evaluation of on–off Semi-Active Vehicle Suspension Systems by Using the Hardware-in-the-Loop Approach and the Software-in-the-Loop Approach. Proc. Inst. Mech. Eng. Part D J. Autom. Eng. 2015, 229, 52–69. [Google Scholar] [CrossRef]
- Rosli, R.; Mailah, M.; Priyandoko, G. Hardware-in-the-Loop Simulation for Active Force Control with Iterative Learning Applied to an Active Vehicle Suspension System. In Applied Mechanics and Materials; Trans. Tech. Publ.: Stafa-Zurich, Switzerland, 2014; Volume 465, pp. 801–805. [Google Scholar]
- Vos, R.; Besselink, I.; Nijmeijer, H. Influence of In-Wheel Motors on The Ride Comfort of Electric Vehicles. In Proceedings of the 10th International Symposium on Advanced Vehicle Control (AVEC10), Loughborough, UK, 22–26 August 2010; pp. 835–840. [Google Scholar]
- Lowe, M.; Tokuoka, S.; Trigg, T.; Gereffi, G. Lithium-Ion Batteries for Electric Vehicles; Duke University: Durham, NC, USA, 2010. [Google Scholar]
- Fraser, A. In-Wheel Electric Motors The Packaging and Integration Challenges. In Proceedings of the 10th International CTI Symposium, Novi, MI, USA, 15–18 May 2011; pp. 12–23. [Google Scholar]
- De Jesus Lozoya-Santos, J.; Sename, O.; Dugard, L.; Morales-Menéndez, R.; Ramirez-Mendoza, R. A LPV Quarter of Car with Semi-Active Suspension Model Including Dynamic Input Saturation. IFAC Proc. Vol. 2010, 43, 68–75. [Google Scholar] [CrossRef]
- Emura, J.; Kakizaki, S.; Yamaoka, F.; Nakamura, M. Development of the Semi-Active Suspension System Based on the Sky-Hook Damper Theory. SAE Trans. 1994, 103, 1110–1119. [Google Scholar]
- Savaresi, S.M.; Spelta, C. A Single-Sensor Control Strategy for Semi-Active Suspensions. IEEE Trans. Control Syst. Technol. 2009, 17, 143–152. [Google Scholar] [CrossRef]
- Sammier, D.; Sename, O.; Dugard, L. Skyhook and H∞ Control of Active Vehicle Suspensions: Some Practical Aspects. Veh. Syst. Dyn. 2003, 39, 279–308. [Google Scholar] [CrossRef]
- Boggs, C.; Borg, L.; Ostanek, J.; Ahmadian, M. Efficient Test Procedures For Characterizing MR Dampers. In Proceedings of the ASME 2006 International Mechanical Engineering Congress and Exposition, Chicago, IL, USA, 5–10 November 2006; pp. 173–178. [Google Scholar]
- Boggs, C.; Ahmadian, M.; Southward, S. Efficient Empirical Modelling of a High-Performance Shock Absorber For Vehicle Dynamics Studies. Veh. Syst. Dyn. 2010, 48, 481–505. [Google Scholar] [CrossRef]
- Fukushima, N.; Hidaka, K.; Iwata, K. Optimum Characteristics of Automotive Shock Absorbers Under Various Driving Conditions and Road Surfaces. Int. J. Veh. Des. 1983, 4, 463–472. [Google Scholar]
- Tudón-Martínez, J.C.; Lozoya-Santos, J.D.J.; Vivas, C.A.; Morales-Menendez, R.; Ramirez-Mendoza, R.A. Model-Free Controller for a Pick-up Semi-Active Suspension System. In Proceedings of the ASME 2012 International Mechanical Engineering Congress and Exposition, Houston, TX, USA, 9–15 November 2012; pp. 67–76. [Google Scholar]
- Jayahari, L.G.P. Correlation of Sinusoidal Sweep Test to Field Random Vibration. Master’s Thesis, Blekinge Institute of Technology, Karlskrona, Sweden, 2005. [Google Scholar]
- Forkenbrock, G.J.; Elsasser, D.; O’Harra, B. Nhtsa’s Light Vehicle Handling and Esc Effectiveness Research Program. In Proceedings of the International Technical Conference on the Enhanced Safety of Vehicles, Washington, DC, USA, 6–9 June 2005. [Google Scholar]
- Garrott, W.; Howe, J.; Forkenbrock, G. Experimental Examination of Selected Maneuvers That May Induce on-road Untripped, Light Vehicle Rollover. Accid. Reconstr. J. 2001, 12, 21–39. [Google Scholar]
- Nassirharand, A.; Taylor, J. Frequency-domain modeling of nonlinear multivariable systems. In Computer Aided Design in Control Systems 1988; Elsevier: Amsterdam, The Netherlands, 1989; pp. 301–305. [Google Scholar]
- Bastow, D.; Howard, G.; Whitehead, J.P. Car Suspension and Handling; SAE: Warrendale, PA, USA, 2004. [Google Scholar]
- Lu, J. A Frequency-Adaptive Multi-Objective Suspension Control Strategy. J. Dyn. Syst. Meas. Control 2004, 126, 700–707. [Google Scholar] [CrossRef]
- Delphi. Technical Report; Delphi. 2008. Available online: www.delphi.com (accessed on 20 June 2020).
- Gillespie, T.D. Fundamentals of Vehicle Dynamics; Society of Automotive Engineers: Warrendale, PA, USA, 1992; Volume 400. [Google Scholar]
- Els, P.S.; Theron, N.J.; Uys, P.E.; Thoresson, M.J. The Ride Comfort vs. Handling Compromise For Off-Road Vehicles. J. Terramech. 2007, 44, 303–317. [Google Scholar] [CrossRef]
- Ohsaku, S. Kinetic State Quantity Estimating Device and Method for Motor Vehicle. U.S. Patent 6,298,293, 31 May 2001. [Google Scholar]
- Uys, P.E.; Els, P.S.; Thoresson, M. Suspension Settings for Optimal Ride Comfort of Off-road Vehicles Travelling on Roads with Different Roughness and Speeds. J. Terramech. 2007, 44, 163–175. [Google Scholar] [CrossRef]
- Miller, L.R. Tuning Passive, Semi-Active, and Fully Active Suspension Systems. In Proceedings of the 27th IEEE Conference on Decision and Control, Austin, TX, USA, 7–9 December 1988; pp. 2047–2053. [Google Scholar]
- Ryu, J.; Moshchuk, N.K.; Chen, S.K. Vehicle State Estimation for Roll Control System. In Proceedings of the 2007 American Control Conference, New York, NY, USA, 9–13 July 2007; pp. 1618–1623. [Google Scholar]




















| Positive Velocity, | Negative Velocity, | ||
|---|---|---|---|
| 530 | |||
| Variable | Description | Value | Unit |
|---|---|---|---|
| Sprung mass or body | 1823 | kg | |
| QoV unsprung mass | 50 | kg | |
| Front spring stiffness | 83 | N/mm | |
| Rear spring stiffness | 44 | N/mm | |
| Suspension front stroke (jounce/rebound) | +80/−60 | mm | |
| Suspension rear stroke (jounce/rebound) | +70/−50 | mm | |
| Tire stiffness | 230 | N/mm | |
| Wheel base | 3165 | mm | |
| Center of gravity (horizontal) | 1265 | mm | |
| Motion ratio | 0.614 | - |
| Components of Quarter of Vehicle | Value | Units |
|---|---|---|
| Sprung mass () | 546.5 | Kg |
| Unsprung mass () | 50 | Kg |
| Spring stiffness () | 83 | kN/m |
| Tire stiffness () | 230 | kN/m |
| resonance frequency () | 1.2 | Hz |
| resonance frequency () | 11.5 | Hz |
| Variable | Description | Value | Unit |
|---|---|---|---|
| Sprung mass or body | 2156 | kg | |
| QoV unsprung mass | 85 | kg | |
| Front spring stiffness | 83 | N/mm | |
| Rear spring stiffness | 44 | N/mm | |
| Suspension front stroke (jounce/rebound) | +80/−60 | mm | |
| Suspension rear stroke (jounce/rebound) | +70/−50 | mm | |
| All tire stiffness | 230 | N/mm | |
| Wheel base | 3165 | mm | |
| Center of gravity (horizontal) | 1265 | mm | |
| Motion ratio | 0.614 | - |
| Component of the Modified Quarter of Vehicle | Value | Units |
|---|---|---|
| Sprung mass () | 539 | Kg |
| Unsprung mass () | 85 | Kg |
| Spring stiffness () | 83 | kN/m |
| Tire stiffness () | 230 | kN/m |
| resonance frequency () | 1.13 | Hz |
| resonance frequency () | 8.76 | Hz |
| Damping | m | k | [] (QoV) | [] (Modified QoV) | |
|---|---|---|---|---|---|
| 4826 | 4624 | ||||
| 4826 | 4624 | ||||
| 1207 | 1155 | ||||
| 604 | 550 | ||||
| 1 | 7225 | 7706 | |||
| 1206 | 1377 |
| Road Frequency [Hz] | BW1 | BW2 | BW3 | BW4 |
|---|---|---|---|---|
| 0–1.6 | 1.6–8.6 | 8.6–14 | 14–20 | |
| I[A] | 2.5 | 0 | 2.5 | 0 |
| Road Frequency [Hz] | BW1 | BW2 | BW3 | BW4 |
|---|---|---|---|---|
| 0–1.7 | 1.7–6.6 | 6.6–11 | 11–20 | |
| I[A] | 2.5 | 0 | 2.5 | 0 |
| Current | m | k | |
|---|---|---|---|
| Frequency [Hz] | 0.1 | 1 | 2 | 3 | 4 | 5 | 8 | 10 | 20 | 30 |
|---|---|---|---|---|---|---|---|---|---|---|
| Amplitude relative | 1 | 1 | 0.8 | 0.7 | 0.5 | 0.3 | 0.2 | 0.1 | 0.05 | 0.01 |
| Performance | Interest Variables |
|---|---|
| Human comfort | Body vertical acceleration |
| Ride comfort | Body vertical displacement and pitch angle |
| Road holding | Lateral acceleration |
| Handling | Roll, yaw rate, lateral acceleration, vehicle sideslip angle |
| Roll | Roll and roll rate |
| Comfort | Road Holding | Useful Lifetime | |||||||
|---|---|---|---|---|---|---|---|---|---|
| NQoV | MQoV | MQoV FV | NQoV | MQoV | MQoV FV | NQoV | MQoV | MQoV FV | |
| Step test | baseline | baseline | 2.5A (25%) | 2.5A (15%) | 2.5A (15%) | 2.5A (42%) | 2.5A (20%) | 2.5A (25%) | 2.5A (10%) |
| Sprung mass test | 2.5A (10%) | 2.5A (10%) | 2.5A (25%) | 2.5A (15%) | 2.5A (12%) | 2.5A (42%) | 2.5A (10%) | 2.5A (22%) | 2.5A (20%) |
| Unsprung mass test | 0A (40%) | 0A (45%) | 0A (15%) | 2.5A (10%) | 2.5A (10%) | 2.5A (35%) | 2.5A (10%) | 2.5A (10%) | 2.5A (15%) |
| IPSD | 0A (20%) | 0A (7%) | 0A (20%) | 2.5A (30%) | 2.5A (15%) | 2.5A (10%) | 2.5A (42%) | 2.5A (25%) | 2.5A (5%) |
| PSB | 0A | 0A | 0A | 2.5A | 2.5A | 2.5A | 2.5A | 2.5A | 2.5A |
| Decision | 0A | 0A | 2.5A | 2.5A | 2.5A | 2.5A | 2.5A | 2.5A | 2.5A |
| Comfort | Road Holding | Useful Lifetime | |||||||
|---|---|---|---|---|---|---|---|---|---|
| NQoV | MQoV | MQoV FV | NQoV | MQoV | MQoV FV | NQoV | MQoV | MQoV FV | |
| Step test | M1S (10%) | M1S (10%) | SH (5%) | FEB (20%) | FEB (18%) | SH (10%) | FEB (20%) | FEB (15%) | baseline |
| Sprung mass test | FEB (15%) | FEB (15%) | FEB (15%) | FEB (15%) | FEB (13%) | FEB (5%) | FEB (45%) | FEB (42%) | FEB (10%) |
| Unsprung mass test | M1S (2%) | M1S (12%) | M1S (8%) | FEB (8%) | FEB (12%) | FEB (25%) | FEB (9%) | FEB (35%) | FEB (25%) |
| IPSD | SH (10%) | SH (12%) | GH (15%) | FEB (35%) | FEB (15%) | FEB (10%) | FEB (40%) | FEB (22%) | FEB (7%) |
| PSB | SH | SH | SH | FEB | FEB | FEB | FEB | FEB | FEB |
| Decision | SH | SH | SH | FEB | FEB | FEB | FEB | FEB | FEB |
© 2020 by the authors. Licensee MDPI, Basel, Switzerland. This article is an open access article distributed under the terms and conditions of the Creative Commons Attribution (CC BY) license (http://creativecommons.org/licenses/by/4.0/).
Share and Cite
Anaya-Martinez, M.; Lozoya-Santos, J.-d.-J.; Félix-Herrán, L.C.; Tudon-Martinez, J.-C.; Ramirez-Mendoza, R.-A.; Morales-Menendez, R. Control of Automotive Semi-Active MR Suspensions for In-Wheel Electric Vehicles. Appl. Sci. 2020, 10, 4522. https://doi.org/10.3390/app10134522
Anaya-Martinez M, Lozoya-Santos J-d-J, Félix-Herrán LC, Tudon-Martinez J-C, Ramirez-Mendoza R-A, Morales-Menendez R. Control of Automotive Semi-Active MR Suspensions for In-Wheel Electric Vehicles. Applied Sciences. 2020; 10(13):4522. https://doi.org/10.3390/app10134522
Chicago/Turabian StyleAnaya-Martinez, Mauricio, Jorge-de-J. Lozoya-Santos, L.C. Félix-Herrán, Juan-C. Tudon-Martinez, Ricardo-A. Ramirez-Mendoza, and Ruben Morales-Menendez. 2020. "Control of Automotive Semi-Active MR Suspensions for In-Wheel Electric Vehicles" Applied Sciences 10, no. 13: 4522. https://doi.org/10.3390/app10134522
APA StyleAnaya-Martinez, M., Lozoya-Santos, J.-d.-J., Félix-Herrán, L. C., Tudon-Martinez, J.-C., Ramirez-Mendoza, R.-A., & Morales-Menendez, R. (2020). Control of Automotive Semi-Active MR Suspensions for In-Wheel Electric Vehicles. Applied Sciences, 10(13), 4522. https://doi.org/10.3390/app10134522

