Assessment and Mitigation of Heavy Metals Uptake by Edible Vegetables Grown in a Turin Contaminated Soil Used as Vegetable Garden
Abstract
1. Introduction
2. Materials and Methods
2.1. Soil Sampling and Characterization
2.2. Pot Experiments
2.3. Treatment and Analysis of Vegetable and Soil Samples
2.4. Data Analysis
3. Results and Discussion
3.1. Soil Characterization
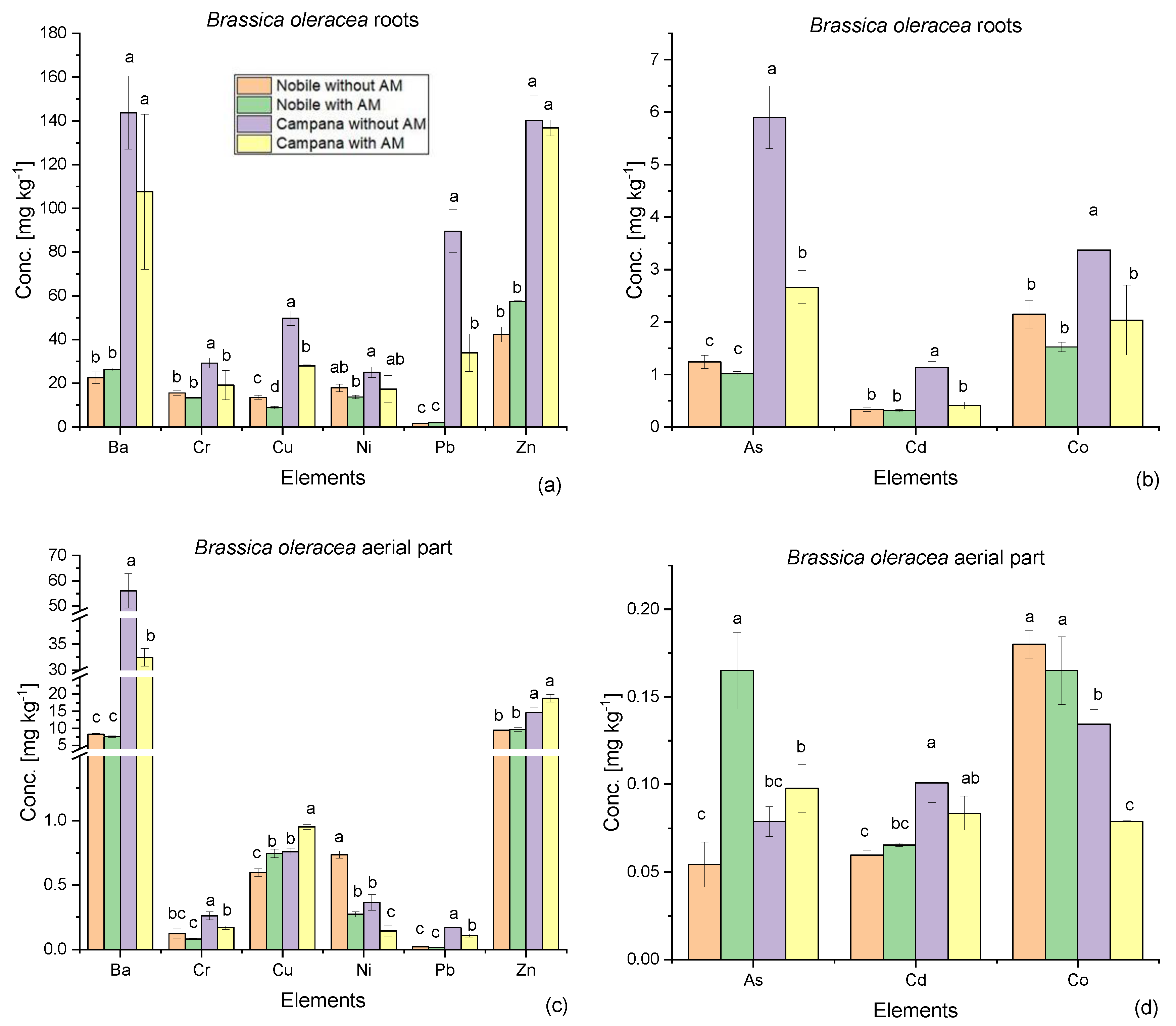
3.2. Pot Experimets
4. Conclusions
Supplementary Materials
Author Contributions
Funding
Acknowledgments
Conflicts of Interest
References
- C.d.T.-. Orti urbani. Available online: www.comune.torino.it (accessed on 9 February 2020).
- DeLind, L.B. Place, work, and civic agriculture: Common fields for cultivation. Agr. Hum. Values 2002, 19, 217–224. [Google Scholar] [CrossRef]
- Orsini, F.; Kahane, R.; Nono-Womdim, R.; Gianquinto, G. Urban agriculture in the developing world: a review. Agron. Sustain. Dev. 2013, 33, 695–720. [Google Scholar] [CrossRef]
- Leake, J.R.; Adam-Bradford, A.; Rigby, J.E. Health benefits of ’grow your own’ food in urban areas: implications for contaminated land risk assessment and risk management? Environ. Health 2009, 8, S6. [Google Scholar] [CrossRef] [PubMed]
- La Greca, P.; La Rosa, D.; Martinico, F.; Privitera, R. Agricultural and green infrastructures: the role of non-urbanised areas for eco-sustainable planning in a metropolitan region. Environ. Pollut. 2011, 159, 2193–2202. [Google Scholar] [CrossRef]
- Muganu, M.; Balestra, G.M.; Senni, S. THE IMPORTANCE OF ORGANIC METHOD IN SOCIAL HORTICULTURE. In ISHS Acta Horticulturae 881: II International Conference on Landscape and Urban Horticulture; ISHS: Leuven, Belgium, 2010; pp. 847–849. [Google Scholar]
- Comune di Torino. Available online: http://www.comune.torino.it/verdepubblico/patrimonioverde/verdeto/numeri.shtml (accessed on 2 February 2020).
- Antisari, L.V.; Orsini, F.; Marchetti, L.; Vianello, G.; Gianquinto, G. Heavy metal accumulation in vegetables grown in urban gardens. Agro. Sustain. Dev. 2015, 35, 1139–1147. [Google Scholar] [CrossRef]
- Alloway, B.J. Contamination of soils in domestic gardens and allotments: a brief overview. Land Contam. Reclam. 2004, 12, 179–187. [Google Scholar] [CrossRef]
- Hough, R.L.; Breward, N.; Young, S.D.; Crout, N.M.; Tye, A.M.; Moir, A.M.; Thornton, I. Assessing potential risk of heavy metal exposure from consumption of home-produced vegetables by urban populations. Environ. Health Perspect. 2004, 112, 215–221. [Google Scholar] [CrossRef] [PubMed]
- McBride, M.B.; Simon, T.; Tam, G.; Wharton, S. Lead and Arsenic Uptake by Leafy Vegetables Grown on Contaminated Soils: Effects of Mineral and Organic Amendments. Water Air Soil Pollut. 2013, 224. [Google Scholar] [CrossRef]
- Kaur, H.; Garg, N. Recent Perspectives on Cross Talk Between Cadmium, Zinc, and Arbuscular Mycorrhizal Fungi in Plants. J. Plant Growth Reg. 2017, 1–14. [Google Scholar] [CrossRef]
- Khan, A.; Khan, S.; Khan, M.; Qamar, Z.; Waqas, M. The uptake and bioaccumulation of heavy metals by food plants, their effects on plants nutrients, and associated health risk: A review. Environ. Sci. Pollut. Res. Int. 2015, 22. [Google Scholar] [CrossRef]
- Clemens, S. Toxic metal accumulation, responses to exposure and mechanisms of tolerance in plants. Biochimie 2006, 88, 1707–1719. [Google Scholar] [CrossRef] [PubMed]
- Gaggero, E.; Malandrino, M.; Fabbri, D.; Bordiglia, G.; Fusconi, A.; Mucciarelli, M.; Inaudi, P.; Calza, P. Uptake of Potentially Toxic Elements by Four Plant Species Suitable for Phytoremediation of Turin Urban Soils. Appl. Sci. 2020, 10, 3948. [Google Scholar] [CrossRef]
- ImageJ. Available online: https://imagej.net/ImageJ (accessed on 6 April 2020).
- Metodi Ufficiali di Analisi Chimica del Suolo; Decreto Ministeriale, Ministero Delle Politiche Agricole e Forestali: Rome, Italy, 13 September 1999.
- Schulte, E.; Hoskins, B. Recommended Soil Testing Procedures for the Northeastern United States. Recomm. Soil Org. Matter Tests 1995, 493, 52–60. [Google Scholar]
- Thompson, M.; Ramsey, M.H.; Coles, B.J. Communication. Interactive matrix matching: a new method of correcting interference effects in inductively coupled plasma spectrometry. Analyst 1982, 107, 1286–1288. [Google Scholar] [CrossRef]
- Yoon, J.; Cao, X.; Zhou, Q.; Ma, L.Q. Accumulation of Pb, Cu, and Zn in native plants growing on a contaminated Florida site. Sci. Total Environ. 2006, 368, 456–464. [Google Scholar] [CrossRef]
- Fitz, W.J.; Wenzel, W.W. Arsenic transformations in the soil rhizosphere plant system fundamentals and potential application to phytoremediation. J. Biotechnol. 2002, 99, 259–278. [Google Scholar] [CrossRef]
- Einax, W.; Zwanziger, H.W.; Gei, S. Chemometrics in Environmental Analysis; Wiley-VHC: Weinhem, Germany, 1997. [Google Scholar]
- Massart, D.L.; Vandenginste, B.G.M.; Buydens, L.M.C.; De Jono, S.; Leqi, P.J.; Smeyers-Verbeke, J. Handbook of Chemometrics and Quantimetrics, Parts A and B; Elsevier: Amsterdam, The Netherlands, 1997. [Google Scholar]
- Lorenz, K.; Lal, R. The Depth Distribution of Soil Organic Carbon in Relation to Land Use and Management and the Potential of Carbon Sequestration in Subsoil Horizons. Adv. Agron. 2005, 88, 35–66. [Google Scholar]
- ARPAV. Available online: https://www.arpa.veneto.it/arpavinforma/indicatori-ambientali/indicatori_ambientali/geosfera/qualita-dei-suoli/contenuto-di-carbonio-organico-nello-strato-superficiale-di-suolo/view (accessed on 14 February 2020).
- Dube, A.; Zbytniewski, R.; Kowalkowski, T.; Cukrowska, E.; Buszewski, B. Adsorption and migration of heavy metals. Pol. J. Environ. Stud. 2001, 10, 1–10. [Google Scholar]
- McCauley, A.; Jones, C.; Jacobsen, J. Soil pH and organic matter. Nutr. Manag. 2009, 8, 1–12. [Google Scholar]
- Yin, Y.; Impellitteri, C.A.; You, S.-J.; Allen, H.E. The importance of organic matter distribution and extract soil:solution ratio on the desorption of heavy metals from soils. Sci. Total Environ. 2002, 287, 107–119. [Google Scholar] [CrossRef]
- Lair, G.J.; Gerzabek, M.H.; Haberhauer, G. Sorption of heavy metals on organic and inorganic soil constituents. Environ. Chem. Lett. 2007, 5, 23–27. [Google Scholar] [CrossRef]
- Norme in Materia Ambientale. Decreto Legislativo, Italy, 3 April 2006; n. 152. Available online: https://www.ambientediritto.it/Legislazione/VARIE/2006/dlgs_2006_n.152.htm (accessed on 24 June 2020).
- Syers, J.; Johnston, A.; Curtin, D. Efficiency of soil and fertilizer phosphorus use. FAO Fertil. Plant Nutr. Bull. 2008, 18. [Google Scholar]
- McBride, M.B.; Shayler, H.A.; Spliethoff, H.M.; Mitchell, R.G.; Marquez-Bravo, L.G.; Ferenz, G.S.; Russell-Anelli, J.M.; Casey, L.; Bachman, S. Concentrations of lead, cadmium and barium in urban garden-grown vegetables: The impact of soil variables. Environ. Pollut. 2014, 194, 254–261. [Google Scholar] [CrossRef] [PubMed]
- Ross, S.M. Toxic Metals in Soil-plant Systems; Wiley: Hoboken, NJ, USA, 1994; p. 484. [Google Scholar]
- Tong, S.; von Schrinding, Y.E.; Prapamontol, T. Environmental lead exposure: a public health problem of global dimension. Bull. World Health Organ. 2000, 78, 1068–1077. [Google Scholar] [PubMed]
- Kushwaha, A.; Hans, N.; Kumar, S.; Rani, R. A critical review on speciation, mobilization and toxicity of lead in soil-microbe-plant system and bioremediation strategies. Ecotoxicol. Environ. Saf. 2018, 147, 1035–1045. [Google Scholar] [CrossRef]
- Wuana, R.A.; Okieimen, F.E. Heavy Metals in Contaminated Soils: A Review of Sources, Chemistry, Risks and Best Available Strategies for Remediation. ISRN Ecol. 2011, 2011, 1–20. [Google Scholar] [CrossRef]
- Su, C. A review on heavy metal contamination in the soil worldwide: Situation, impact and remediation techniques. Environ. Skept. Crit. 2014, 3, 24. [Google Scholar]
- Tchounwou, P.B.; Yedjou, C.G.; Patlolla, A.K.; Sutton, D.J. Heavy metal toxicity and the environment. Exp. Suppl. 2012, 101, 133–164. [Google Scholar]
- Biasioli, M.; Barberis, R.; Ajmone-Marsan, F. The influence of a large city on some soil properties and metals content. Sci. Total Environ. 2006, 356, 154–164. [Google Scholar] [CrossRef]
- Bonifacio, E.; Falsone, G.; Piazza, S. Linking Ni and Cr concentrations to soil mineralogy: Does it help to assess metal contamination when the natural background is high? Soils Sediments 2010, 10. [Google Scholar] [CrossRef]
- Commission Regulation (EC) No. 1881/2006 of 19 December 2006 setting maximum levels for certain contaminants in foodstuffs. Off. J. Eur. Union 2006, 364, 324–365.





| Technique | Model | Features |
|---|---|---|
| ICP-OES | Perkin Elmer Optima 7000 DV | Mira Mist nebulizer, cyclonic spray chamber, dual echelle monochromator, dual CCD detector |
| HR-ICP-MS | Thermo Finnigan Element 2 | Conical nebulizer, cyclonic spray chamber, magnetic and electric sector, SEM detector |
| GF-AAS | Perkin Elmer Aanalyst 600 | Transversely Heated Graphite Atomizer (THGA) furnace assembly, longitudinal Zeeman-effect background correction, enhanced STPF technology, True Temperature Control (TTC), solid-state detector |
| CA (Surface Layer) | CA (Deep Layer) | NOB | |
|---|---|---|---|
| Organic carbon (% w/w) | 1.66 ± 0.01 | 0.47 ± 0.02 | 2.05 ± 0.05 |
| Organic matter (% w/w) | 2.86 ± 0.01 | 0.80 ± 0.03 | 3.54 ± 0.08 |
| pH | 7.1 | 7.0 | 7.3 |
| Sup A | Sup B | Sup C | Sup D | Prof A | Prof B | Surficial Samples Mean Value | Deep Samples Mean Value | Limit A | Limit B | |||||||||||||||||
|---|---|---|---|---|---|---|---|---|---|---|---|---|---|---|---|---|---|---|---|---|---|---|---|---|---|---|
| Al | 44,372 | ± | 1767 | 45,331 | ± | 1100 | 41,785 | ± | 3305 | 42,421 | ± | 2212 | 52,790 | ± | 1958 | 51,645 | ± | 1625 | 43,477 | ± | 1655 | 52,218 | ± | 810 | ||
| As | 10.9 | ± | 0.3 | 14 | ± | 1 | 13 | ± | 2 | 16 | ± | 4 | 9.6 | ± | 0.2 | 10.0 | ± | 0.4 | 13 | ± | 2 | 9.8 | ± | 0.3 | 20 | 50 |
| Ba | 396 | ± | 56 | 472 | ± | 31 | 467 | ± | 92 | 461 | ± | 93 | 229 | ± | 4 | 232 | ± | 6 | 449 | ± | 35 | 231 | ± | 2 | ||
| Ca | 18,167 | ± | 903 | 20,269 | ± | 601 | 21,274 | ± | 3424 | 20,803 | ± | 1995 | 33,281 | ± | 2152 | 30,341 | ± | 2129 | 20,128 | ± | 1370 | 31811 | ± | 2079 | ||
| Cd | 0.25 | ± | 0.03 | 0.28 | ± | 0.04 | 0.18 | ± | 0.02 | 0.17 | ± | 0.03 | <LOD | <LOD | 0.22 | ± | 0.05 | <LOD | 2 | 15 | ||||||
| Ce | 40 | ± | 3 | 45 | ± | 5 | 42 | ± | 7 | 41 | ± | 6 | 52 | ± | 5 | 49 | ± | 6 | 42 | ± | 2 | 50 | ± | 3 | ||
| Co | 25 | ± | 3 | 25 | ± | 5 | 26 | ± | 6 | 19 | ± | 6 | 22 | ± | 5 | 23 | ± | 1 | 24 | ± | 3 | 22.3 | ± | 0.3 | 20 | 250 |
| Cr | 191 | ± | 2 | 252 | ± | 66 | 211 | ± | 52 | 254 | ± | 76 | 233 | ± | 23 | 210 | ± | 21 | 227 | ± | 31 | 222 | ± | 17 | 150 | 800 |
| Cu | 89 | ± | 17 | 89 | ± | 3 | 79 | ± | 3 | 91 | ± | 22 | 58 | ± | 1 | 59 | ± | 2 | 87 | ± | 6 | 59 | ± | 1 | 120 | 600 |
| Fe | 37,379 | ± | 9710 | 36,442 | ± | 961 | 34,696 | ± | 417 | 37,475 | ± | 1649 | 35,779 | ± | 535 | 36,379 | ± | 220 | 36,498 | ± | 1289 | 36,079 | ± | 424 | ||
| K | 11,804 | ± | 500 | 12,316 | ± | 363 | 11,343 | ± | 699 | 11,858 | ± | 233 | 12,865 | ± | 409 | 12,932 | ± | 375 | 11,830 | ± | 398 | 12,899 | ± | 47 | ||
| La | 15 | ± | 2 | 17 | ± | 2 | 16 | ± | 3 | 16 | ± | 2 | 20 | ± | 2 | 19 | ± | 2 | 16 | ± | 1 | 19.4 | ± | 0.7 | ||
| Mg | 12,313 | ± | 639 | 13,357 | ± | 738 | 12,535 | ± | 1915 | 13,688 | ± | 439 | 15,404 | ± | 1334 | 14,811 | ± | 1872 | 12,973 | ± | 655 | 15,108 | ± | 419 | ||
| Mn | 866 | ± | 61 | 941 | ± | 10 | 936 | ± | 7 | 928 | ± | 34 | 980 | ± | 12 | 1036 | ± | 33 | 918 | ± | 35 | 1008 | ± | 40 | ||
| Na | 7034 | ± | 342 | 7762 | ± | 110 | 8254 | ± | 819 | 7566 | ± | 537 | 8011 | ± | 97 | 8518 | ± | 19 | 7654 | ± | 505 | 8265 | ± | 359 | ||
| Ni | 142 | ± | 12 | 167 | ± | 26 | 157 | ± | 26 | 159 | ± | 7 | 139 | ± | 4 | 148 | ± | 10 | 156 | ± | 10 | 143 | ± | 6 | 120 | 500 |
| P | 999 | ± | 141 | 1407 | ± | 258 | 1196 | ± | 91 | 1013 | ± | 19 | 383 | ± | 11 | 403 | ± | 15 | 1154 | ± | 191 | 393 | ± | 15 | ||
| Pb | 267 | ± | 68 | 302 | ± | 17 | 249 | ± | 21 | 322 | ± | 137 | 57.0 | ± | 1.4 | 56.3 | ± | 1.4 | 285 | ± | 33 | 56.7 | ± | 0.5 | 100 | 1000 |
| Sr | 92 | ± | 3 | 104 | ± | 12 | 94 | ± | 14 | 93 | ± | 4 | 115 | ± | 6 | 117 | ± | 7 | 96 | ± | 5 | 116 | ± | 1 | ||
| Ti | 2730 | ± | 419 | 2797 | ± | 149 | 2731 | ± | 67 | 2633 | ± | 200 | 2974 | ± | 176 | 3235 | ± | 152 | 2723 | ± | 68 | 3105 | ± | 185 | ||
| V | 77 | ± | 1 | 84 | ± | 2 | 82 | ± | 4 | 79 | ± | 4 | 79.5 | ± | 0.6 | 85 | ± | 2 | 81 | ± | 3 | 82 | ± | 4 | 90 | 250 |
| Zn | 220 | ± | 12 | 257 | ± | 11 | 225 | ± | 8 | 218 | ± | 8 | 95 | ± | 3 | 98 | ± | 2 | 230 | ± | 18 | 97 | ± | 2 | 150 | 1500 |
| Vegetable Species | Soil | Amendment (AM) | Aerial Part Fresh Weight [g] | Root Fresh Weight [g] | Root Fresh Weight/Aerial Part Fresh Weight [g] | Aerial Part Dry Weight/Aerial Part Fresh Weight [g] |
|---|---|---|---|---|---|---|
| B. oleracea | NOB | No | 6.6 ± 0.7 | 1.5 ± 0.4 | 0.22 ± 0.03 | 0.36 ± 0.06 |
| Yes | 60.9 ± 7 | 5 ± 1 | 0.09 ± 0.01 | 0.25 ± 0.04 | ||
| CA | No | 5.0 ± 0.5 | 1.4 ± 0.4 | 0.3 ± 0.1 | 0.23 ± 0.03 | |
| Yes | 28 ± 2 | 4 ± 1 | 0.14 ± 0.04 | 0.19 ± 0.03 | ||
| L. sativa | NOB | No | 15 ± 2 | 4 ± 1 | 0.24 ± 0.07 | 0.11 ± 0.01 |
| Yes | 113 ± 11 | 10 ± 3 | 0.09 ± 0.02 | 0.06 ± 0.01 | ||
| CA | No | 5.32 ± 0.06 | 1.5 ± 0.5 | 0.28 ± 0.07 | 0.14 ± 0.03 | |
| Yes | 37 ± 5 | 8 ± 3 | 0.20 ± 0.05 | 0.07 ± 0.01 |
| Vegetable Species | Soil | Amendment (AM) | Stem Diameter [mm] | Leaves Number | Leaf Area [cm2] |
|---|---|---|---|---|---|
| B. oleracea | NOB | No | 2.2 ± 0.1 | 8 ± 1 | 24 ± 4 |
| Yes | 6.3 ± 0.6 | 12 ± 1 | 112 ± 9 | ||
| CA | No | 1.8 ± 0.2 | 6 ± 1 | 8 ± 1 | |
| Yes | 5 ± 1 | 12 ± 2 | 50 ± 10 | ||
| L. sativa | NOB | No | 7.21 ± 0.9 | 16 ± 2 | 24 ± 1 |
| Yes | 14 ± 3 | 33 ± 2 | 86 ± 3 | ||
| CA | No | 6.8 ± 0.5 | 14 ± 1 | 14.1 ± 0.3 | |
| Yes | 10.9 ± 0.1 | 31 ± 2 | 57 ± 3 |
© 2020 by the authors. Licensee MDPI, Basel, Switzerland. This article is an open access article distributed under the terms and conditions of the Creative Commons Attribution (CC BY) license (http://creativecommons.org/licenses/by/4.0/).
Share and Cite
Gaggero, E.; Calza, P.; Fabbri, D.; Fusconi, A.; Mucciarelli, M.; Bordiglia, G.; Abollino, O.; Malandrino, M. Assessment and Mitigation of Heavy Metals Uptake by Edible Vegetables Grown in a Turin Contaminated Soil Used as Vegetable Garden. Appl. Sci. 2020, 10, 4483. https://doi.org/10.3390/app10134483
Gaggero E, Calza P, Fabbri D, Fusconi A, Mucciarelli M, Bordiglia G, Abollino O, Malandrino M. Assessment and Mitigation of Heavy Metals Uptake by Edible Vegetables Grown in a Turin Contaminated Soil Used as Vegetable Garden. Applied Sciences. 2020; 10(13):4483. https://doi.org/10.3390/app10134483
Chicago/Turabian StyleGaggero, Elisa, Paola Calza, Debora Fabbri, Anna Fusconi, Marco Mucciarelli, Giorgio Bordiglia, Ornella Abollino, and Mery Malandrino. 2020. "Assessment and Mitigation of Heavy Metals Uptake by Edible Vegetables Grown in a Turin Contaminated Soil Used as Vegetable Garden" Applied Sciences 10, no. 13: 4483. https://doi.org/10.3390/app10134483
APA StyleGaggero, E., Calza, P., Fabbri, D., Fusconi, A., Mucciarelli, M., Bordiglia, G., Abollino, O., & Malandrino, M. (2020). Assessment and Mitigation of Heavy Metals Uptake by Edible Vegetables Grown in a Turin Contaminated Soil Used as Vegetable Garden. Applied Sciences, 10(13), 4483. https://doi.org/10.3390/app10134483

