Response Characteristics of Cross Tunnel Lining under Dynamic Train Load
Abstract
:Featured Application
Abstract
1. Introduction
2. Research Method
2.1. Numerical Model
2.1.1. Simulation Method
2.1.2. Dynamic Train Load
2.1.3. Validation of Numerical Results
2.2. Cumulative Damage Tests
2.2.1. Test System
2.2.2. Sample Preparation and Mechanical Parameters
2.2.3. Test Cases
- (1)
- Cumulative load
- (2)
- Initial static load
3. Results Analysis
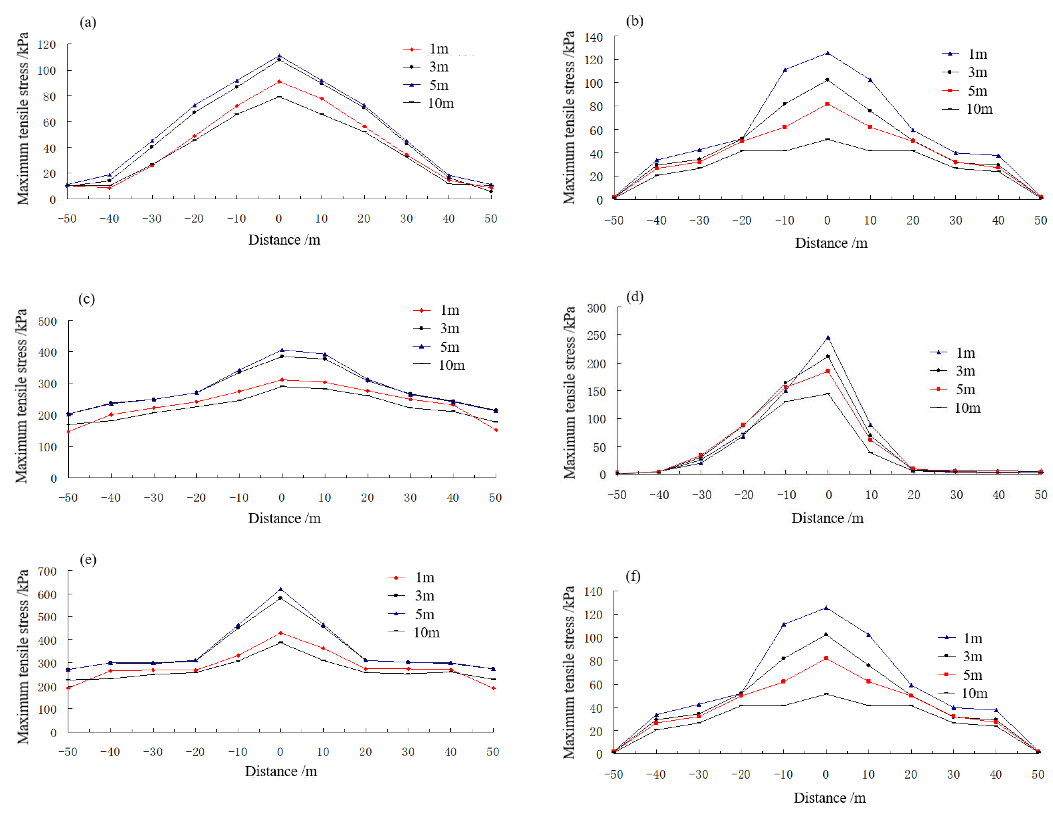
3.1. Dynamic Response of Tunnel Lining
3.2. Cumulative Damage Characteristic Under Dynamic Load
3.3. Cumulative Damage Under Initial Static Load
- (1)
- The change of strain amplitude and strain ratio would be more significant if the static stress level is higher, and the tunnel inverted arch would be easily damaged in less action times of the dynamic load.
- (2)
- When the static load is 25 kN, the corresponding stress level is 0.65 and the change of strain amplitude and strain ratio tends to be stable after growth in the early stage. Once the static load is higher than this value, the strain amplitude and strain ratio are large in the initial stage and failure stage. Therefore, the fatigue life of the tunnel inverted arch would be short if the strain amplitude and strain ratio are significant in the failure stage.
4. Conclusions
- (1)
- The displacement and stress levels of the tunnel lining are very significant at the cross position than at other positions. The stress increment of the tunnel lining due to dynamic train loads is more likely to induce a break in the tunnel lining at this position. To avoid the damage of the tunnel lining at the cross position, some countermeasures should be introduced, like ensuring the height of the rock column between the upper tunnel and the lower one is greater than 3 m, improving the strength of the rock column to make it superior to the surrounding rock of level Ⅳ, and avoiding the condition of two trains passing through the cross position at the same time.
- (2)
- The change of structural strain increment amplitude and strain ratio is obvious when the dynamic load stress level is higher, and the tunnel lining would be more easily damaged in the long-term service period. The tunnel inverted arch will be more likely to be intact when the dynamic stress level is 0.6. If the stress level of the dynamic load is higher than this threshold, the strain amplitude increment and strain ratio of the tunnel inverted arch will suffer from three stages during the dynamic loading process—the gradually increasing stage in the early loading period, the stable stage in the middle period, and finally, the breaking stage in the final period. From the perspective of the long-term service of the tunnel, the dynamic stress levels of the tunnel inverted arch should not be higher than 0.6.
- (3)
- The initial static load has an influence on both the tensile and compressive strain of the tunnel inverted arch, and the tensile strain is the controlling failure factor when the ultimate compressive strain is much small than its ultimate tensile strain. The change of strain amplitude and strain ratio would be more significant if the static stress level is higher, and the tunnel inverted arch would be easily damaged. When the stress level of static load is 0.65, the change of strain amplitude and strain ratio tends to be stable after growth in the early stage. Once the static load is higher than this value, the strain amplitude and strain ratio are significant in the initial stage and the failure stage. In order to ensure that the tunnel has long service capacity, the initial static stress level should be less than 0.65.
Author Contributions
Funding
Conflicts of Interest
References
- Zheng, J.J.; Bao, D.Y.; Gong, Y.F.; Zi, Y. Research on Construction Control Technology for Railway Tunnel Underneath Passing Existing Expressway Tunnel. J. Railw. Eng. Soc. 2006, 8, 80–84. (In Chinese) [Google Scholar]
- Sui, C.Y.; Zhou, X.D.; Wang, L.H. The Comparison of Tunnel Engineering Construction Methods for Renhechang Tunnel Crossing Underneath Existing Tunnel on Lanzhou-Chongqing Railway. Appl. Mech. Mater. 2013, 405–408, 1330–1333. [Google Scholar] [CrossRef]
- Pan, W.; Gao, Z.; Zheng, C.; Gong, Z. Analysis on the influence of cross tunnel construction on the deformation of the existing high-speed railway tunnel. Geotech. Geol. Eng. 2018, 36, 4001–4013. [Google Scholar] [CrossRef]
- Duan, B.; Gong, W.; Ta, G.; Yang, X.; Zhang, X. Influence of small, clear distance cross-tunnel blasting excavation on existing tunnel below. Adv. Civ. Eng. 2019, 2019, 1–16. [Google Scholar] [CrossRef]
- Liao, S.M.; Liu, J.H.; Wang, R.L.; Li, Z.M. Shield tunneling and environment protection in Shanghai soft ground. Tunn. Undergr. Space Technol. 2009, 24, 454–465. [Google Scholar] [CrossRef]
- Kim, S.H.; Burd, H.J.; Milligan, G.W.E. Model testing of closely spaced tunnels in clay. Géotechnique 1998, 48, 375–388. [Google Scholar] [CrossRef]
- Liu, H.Y.; Small, J.C.; Carter, J.P.; Williams, D.J. Effects of tunneling on existing support systems of perpendicularly crossing tunnels. Comput. Geotech. 2009, 36, 880–894. [Google Scholar] [CrossRef]
- Lei, M.F.; Lin, D.Y.; Yang, W.C.; Shi, C.H.; Peng, L.M.; Huang, J. Model test to investigate failure mechanism and loading characteristics of shallow-bias tunnels with small clear distance. J. Cent. South Univ. 2016, 23, 3312–3321. [Google Scholar] [CrossRef]
- Jin, D.L.; Yuan, D.J.; Li, X.G.; Zheng, H.T. An in-tunnel grouting protection method for excavating twin tunnels beneath an existing tunnel. Tunn. Undergr. Space Technol. 2018, 71, 27–35. [Google Scholar] [CrossRef]
- Lai, H.; Zhao, X.; Kang, Z.; Chen, R. A new method for predicting ground settlement caused by twin-tunneling under-crossing an existing tunnel. Environ. Earth Sci. 2017, 76, 726.1–726.12. [Google Scholar] [CrossRef]
- Li, X.; Zhang, C.; Yuan, D. An in-tunnel jacking above tunnel protection methodology for excavating a tunnel under a tunnel in service. Tunn. Undergr. Space Technol. 2013, 34, 22–37. [Google Scholar] [CrossRef]
- Chen, R.P.; Lin, X.T.; Kang, X. Deformation and stress characteristics of existing twin tunnels induced by close-distance EPBS under-crossing. Tunn. Undergr. Space Technol. 2018, 82, 468–481. [Google Scholar] [CrossRef]
- Deng, F.H.; Mo, H.H.; Zeng, Q.J.; Yang, X.J. Analysis of the dynamic response of a shield tunnel in soft soil under a metro-train vibrating load. J. China Univ. Min. Technol. 2006, 16, 509–513. [Google Scholar] [CrossRef]
- Yi, H.Y.; Qi, T.Y.; Qian, W.P.; Lei, B.; Pu, B.R.; Yu, Y.Y.; Liu, Y.X.; Li, Z.Y. Influence of long-term dynamic load induced by high-speed trains on the accumulative deformation of shallow buried tunnel linings. Tunn. Undergr. Space Technol. 2019, 84, 166–176. [Google Scholar] [CrossRef]
- Wu, Z.R.; Qi, T.Y.; Zhong, L. Three-Dimensional Dynamic Response Analysis of Shield Tunnel under Train Loads. Appl. Mech. Mater. 2011, 90–93, 2062–2067. [Google Scholar] [CrossRef]
- Bian, X.C.; Jiang, H.G.; Cheng, C.; Chen, Y.M.; Chen, R.P.; Jiang, J.Q. Full-scale model testing on a ballastless high-speed railway under simulated train moving loads. Soil Dyna. Earthq. Eng. 2014, 66, 368–384. [Google Scholar] [CrossRef]
- Bian, X.C.; Jiang, H.G.; Chang, C.; Hu, J.; Chen, Y.M. Track and ground vibrations generated by high-speed train running on ballastless railway with excitation of vertical track irregularities. Soil Dyna. Earthq. Eng. 2015, 76, 29–43. [Google Scholar] [CrossRef]
- Wang, M.; Zhao, Y.; Li, Z.; Liu, D.; Yu, L. Fatigue damage of a heavy-haul railway tunnel invert under a 33-tonne axle cyclic load. Proc. Inst. Mech. Eng. 2019, 234, 498–510. [Google Scholar] [CrossRef]
- Chiu, Y.C.; Lee, C.H.; Wang, T.T. Lining crack evolution of an operational tunnel influenced by slope instability. Tunn. Undergr. Space Technol. 2017, 65, 167–178. [Google Scholar] [CrossRef]
- Huang, L.; Ma, J.; Lei, M.; Liu, L.; Lin, Y.; Zhang, Z. Soil-water inrush induced shield tunnel lining damage and its stabilization: A case study. Tunn. Undergr. Space Technol. 2020, 97, 103290. [Google Scholar] [CrossRef]
- Cui, Y.P.; Sun, W.Z.; Dong, J.; Dong, F. Dynamic response analysis of lining structure with primary defects for tunnel under moving train loading. Key Eng. Mater. 2012, 525–526, 573–576. [Google Scholar] [CrossRef]
- TB 10077-2019. Code for Rock and Soil Classification of Railway Engineering; China Railway Publishing House Co., Ltd.: Beijing, China, 2019. (In Chinese) [Google Scholar]
- Li, Z. Application of MIDAS/GTS in Geotechnical Engineering; Architecture & Building Press: Beijing, China, 2013. (In Chinese) [Google Scholar]
- Micelli, F.; Cascardi, A. Structural assessment and seismic analysis of a 14th century masonry tower. Eng. Fail. Anal. 2020, 107, 104198. [Google Scholar] [CrossRef]
- Clementi, F.; Gazzani, V.; Poiani, M.; Lenci, S. Assessment of seismic behaviour of heritage masonry buildings using numerical modelling. J. Build. Eng. 2016, 8, 29–47. [Google Scholar] [CrossRef]
- Luo, H.; Sun, C. Simulated study on vibration load of high speed railway. J. China Railw. Soc. 2006, 28, 89–94. (In Chinese) [Google Scholar]
- GB50010-2010. Code for Design of Concrete Structures; China Architecture & Building Press: Beijing, China, 2015. (In Chinese) [Google Scholar]
- Yan, Q.X.; Song, L.Y.; Chen, H.; Chen, W.Y.; Ma, S.Q.; Yang, W.B. Dynamic response of segment lining of overlapped shield tunnels under train-induced vibration loads. Arab. J. Sci. Eng. 2018, 43, 5439–5455. [Google Scholar] [CrossRef]
- TB10003-2005. Code for Design of Railway Tunnels; China Railway Press: Beijing, China, 2005. (In Chinese) [Google Scholar]
- Tina, T.; Lei, Y.; Qi, F.L.; Li, G.Q. Vibration response transmission of lining arch due to train speed-changing vibration load. Eng. Mech. 2018, 35, 143–151. (In Chinese) [Google Scholar]
- Dawn, T.M.; Stanworth, C.G. Ground vibrations from Passing Trains. J. Sound Vib. 1979, 66, 355–362. [Google Scholar] [CrossRef]
- Wang, X.Q.; Yang, L.D.; Zhou, Z.G. Dynamic response analysis of lining structure for tunnel under vibration loads of train. Chin. J. Rock Mech. Eng. 2006, 7, 1337–1342. (In Chinese) [Google Scholar]
- Peng, L.M.; Tan, C.B.; Shi, C.H.; Huang, C.L. Field test study on the disease treatment of foundation base in railway tunnel. China Railw. Sci. 2005, 3, 39–43. (In Chinese) [Google Scholar]
- Huang, J. Vibration response analysis and fatigue life study of high-speed railway tunnels based on damage theory. Ph.D Thesis, Central South University, Changsha, China, 2009. (In Chinese). [Google Scholar]
- Beijing Yiyang Strain and Vibration Testing Technology Co., Ltd. Strain Gauge Bx120-3AA. Available online: https://www.gkzhan.com/st87632/product_3589689.html (accessed on 14 June 2020).
- GB/T50081-2002. Standard for Test Method of Mechanical Properties on Ordinary Concrete; China Architecture and Building Press: Beijing, China, 2003. (In Chinese) [Google Scholar]
- Liu, M. Cyclic Constitutive Modeling of Soft Clays and Long-Term Predictions of Subway Traffic-Load-Induced Settlements; Tongji University: Shanghai, China, 2006. (In Chinese) [Google Scholar]
- Xiao, J.; Li, H.; Yang, Z. Fatigue behavior of recycled aggregate concrete under compression and bending cyclic loadings. Constr. Build. Mater. 2013, 38, 681–688. [Google Scholar] [CrossRef]



















| Condition | Computing Parameter | Notes | |
|---|---|---|---|
| 1 | Rock level is V, rock thickness between two tunnels is 1 m, and cross angle is 90° | Static analysis | |
| 2 | Rock level | Ⅲ | Train passes through the upper tunnel, tunnel cross angle is 90°, and rock thickness between two tunnels is 1 m. |
| 3 | Ⅳ | ||
| 4 | Ⅴ | ||
| 5 | The way of train passes | Upper tunnel | Train speed is 350 km/h, rock level is Ⅴ, tunnel cross angle is 90°, and rock thickness between two tunnels is 1 m. |
| 6 | Lower tunnel | ||
| 7 | Simultaneously | ||
| 8 | Train speed | 250 km/h | Train passes through the upper tunnel, rock level is Ⅴ, tunnel cross angle is 90°, and rock thickness between two tunnels is 1 m. |
| 9 | 300 km/h | ||
| 10 | 350 km/h | ||
| 11 | Tunnel cross angle | 0° | Train passes through the upper tunnel at a speed of 350 km/h, rock level is Ⅴ, and rock thickness between two tunnels is 3 m. |
| 12 | 30° | ||
| 13 | 60° | ||
| 14 | 90° | ||
| 15 | Rock thickness between the two tunnels | 1 m | Train passes through the upper tunnel at a speed of 350 km/h, rock level is Ⅴ, and tunnel cross angle is 90°. |
| 16 | 3 m | ||
| 17 | 5 m | ||
| 18 | 10 m | ||
| Rock Level | Volumetric Weight (kN/m^3) | Elastic Modus (GPa) | Passion Ratio μ | Cohesion (kPa) | Internal Friction Angle (φ°) |
|---|---|---|---|---|---|
| III | 25 | 6 | 0.30 | 700 | 39 |
| IV | 22 | 0.6 | 0.35 | 100 | 30 |
| V | 19.5 | 0.2 | 0.35 | 50 | 25 |
| Reference | Train Speed(km/h) | Displacement (mm) | Tensile Stress (MPa) | ||
|---|---|---|---|---|---|
| Numerical | Location | Numerical | Location | ||
| Rapid rail transit in the UK [31] | 200 | 14 | inverted arch | - | - |
| Zhuting Tunnel in China [32] | 120 | 2.3 | Side wall | - | - |
| Centipede Tunnel in China [33] | 120 | - | - | 0.309 | inverted arch |
| Model test [34] | 200 | 5.8 | inverted arch | 0.141 | inverted arch |
| 250 | 7.6 | inverted arch | 0.169 | inverted arch | |
| 300 | 9.2 | inverted arch | 0.170 | inverted arch | |
| Equipment Name | Sensor/Model | Size (mm) | Accuracy | Collecting Data |
|---|---|---|---|---|
| IMC dynamic strain collecting instrument | Strain gauge/ BX120-80AA [35] | Length × width/ 80 × 3 | 2.08 ± 1% | Dynamic strain |
| PV80A impedance analyzer | Piezoelectric patch /PZT-5A | 10 × 10 × 0.3 | < 1% | Cumulative damage |
| Item | Water Binder Ratio | Cement (kg/m3) | Fine Aggregate (kg/m3) | Coarse Aggregate (kg/m3) | Fly Ash (kg/m3) | Water-reducing Admixture (kg/m3) | Water (kg/m3) |
|---|---|---|---|---|---|---|---|
| parameter | 0.40 | 277 | 747 | 1075 | 108 | 3.85 | 153 |
| Dynamic Mechanical Parameter | Static Mechanical Parameter | ||||||
|---|---|---|---|---|---|---|---|
| Specimen size (mm) | Elastic modulus E (GPa) | Shear modulus G (GPa) | Poisson’s ratio µ | Specimen size (mm) | Elastic modulus E (GPa) | Shear modulus G (GPa) | Poisson’s ratio µ |
| 100 × 100 × 300 | 41.8 | 16.9 | 0.23 | 100 × 100 × 100 | 31.7 | 42.3 | 0.23 |
| Condition | Computing Parameters | The Maximum Tensile Stress of Tunnel Lining (MPa) | |
|---|---|---|---|
| 1 | Rock level | Ⅲ | 0.357 |
| 2 | Ⅳ | 0.404 | |
| 3 | Ⅴ | 0.513 | |
| 4 | The way of train passing through | Upper tunnel | 0.513 |
| 5 | Lower tunnel | 0.386 | |
| 6 | Simultaneously | 0.789 | |
| 7 | Train speed | 250 km/h | 0.221 |
| 8 | 300 km/h | 0.343 | |
| 9 | 350 km/h | 0.513 | |
| 10 | Tunnel cross angle | 0° | 0.378 |
| 11 | 30° | 0.385 | |
| 12 | 60° | 0.398 | |
| 13 | 90° | 0.461 | |
| 14 | Rock thickness between two tunnels | 1 m | 0.513 |
| 15 | 3 m | 0.461 | |
| 16 | 5 m | 0.432 | |
| 17 | 10 m | 0.348 | |
| Stress Level | 0.6 | 0.65 | 0.7 | 0.75 |
|---|---|---|---|---|
| Damage value | 0.27 | 0.32 | 0.33 | 0.37 |
| Strain ratio | 0.30 | 0.35 | 0.37 | 0.40 |
© 2020 by the authors. Licensee MDPI, Basel, Switzerland. This article is an open access article distributed under the terms and conditions of the Creative Commons Attribution (CC BY) license (http://creativecommons.org/licenses/by/4.0/).
Share and Cite
Wang, A.; Shi, C.; Zhao, C.; Deng, E.; Yang, W.; He, H. Response Characteristics of Cross Tunnel Lining under Dynamic Train Load. Appl. Sci. 2020, 10, 4406. https://doi.org/10.3390/app10124406
Wang A, Shi C, Zhao C, Deng E, Yang W, He H. Response Characteristics of Cross Tunnel Lining under Dynamic Train Load. Applied Sciences. 2020; 10(12):4406. https://doi.org/10.3390/app10124406
Chicago/Turabian StyleWang, Ang, Chenghua Shi, Chenyang Zhao, E Deng, Weichao Yang, and Hong He. 2020. "Response Characteristics of Cross Tunnel Lining under Dynamic Train Load" Applied Sciences 10, no. 12: 4406. https://doi.org/10.3390/app10124406
APA StyleWang, A., Shi, C., Zhao, C., Deng, E., Yang, W., & He, H. (2020). Response Characteristics of Cross Tunnel Lining under Dynamic Train Load. Applied Sciences, 10(12), 4406. https://doi.org/10.3390/app10124406

