Fatigue Crack Growth from Notches: A Numerical Analysis
Abstract
1. Introduction
2. Material Model
3. Numerical Model
4. Results
4.1. Typical CTOD-F Curves
4.2. Unnotched-Cracked Specimen in No Contact Simulations
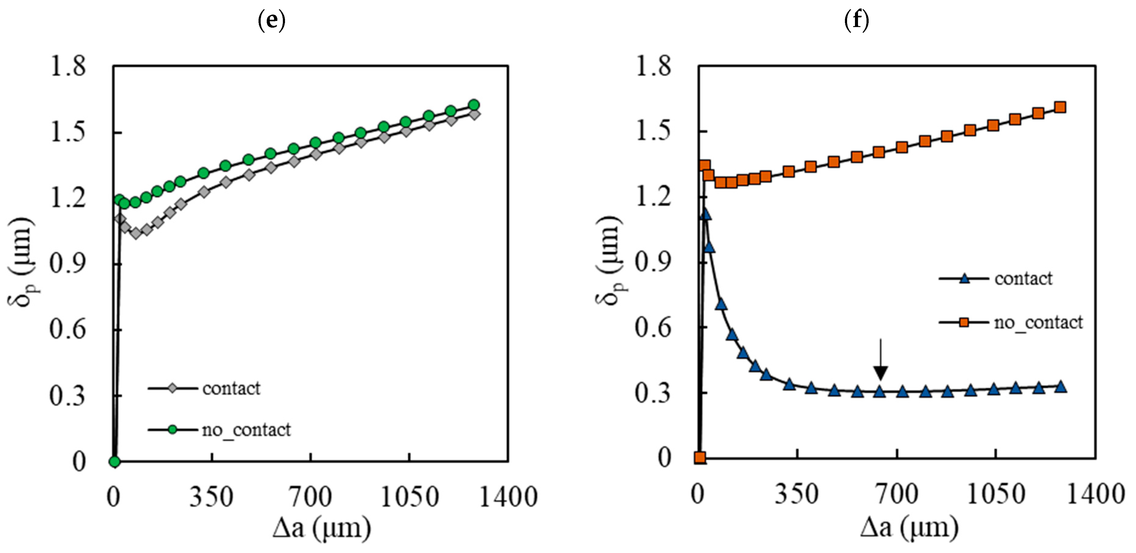
4.3. Insertion of Contact at the Crack Flanks in the Unnotched-Cracked Specimen
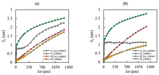
4.4. Insertion of a Notch with Different Radius in No Contact Simulations
4.5. Insertion of Contact at the Crack Flanks in the Notched-Cracked Specimen
4.6. Comparison of Unnotched and Notched Specimens in Simulations with Contact
5. Discussion
- -
- Two transient effects, one associated with the stabilization of cyclic plastic deformation and the other associated with the built of plasticity induced crack closure. The former, which is very evident in unnotched cracked specimens without contact, needs a very short crack propagation to disappear. The stabilization of crack closure level is much longer, depending on material and increasing with the decrease of notch radius;
- -
- The influence of the notch fields. The reduction of notch radius increases δp, and therefore FCG rate, and substantially reduces the extension affected by the notch. Without contact, the limit of notch influence zone has only been reached for the smallest radius studied (r = 1 mm);
- -
- The crack closure phenomenon, which has a dramatic effect under plane stress conditions and a limited effect under plane strain conditions. The formation of residual plastic wake is responsible for a progressive increase of U* towards a stabilized value, after which a slow but steady increase is observed. The long stabilization of the closure values means that in many cases it occupies a significant part of the notch affected zone. The level of crack closure is defined by two opposite mechanisms, which are the elongation of plastic wedges behind crack tip and crack tip blunting. This complexity explains the great influence of material on crack closure level and stabilization distance. The introduction of contact in notched samples has a major effect on plastic CTOD. The decrease of notch radius produces a significant increase of crack closure phenomenon, which apparently attenuates the effect of notch radius and reduces the zone affected by the notch;
- -
- After the notch affected zone there is a linear increase of δp with Δa, linked to the increase of crack tip stress fields. This effect is clearly observed in unnotched cracked specimens without contact of crack flanks. The slope of the linear variation increases linearly with δp.
6. Conclusions
- -
- in unnotched cracked specimens, there is an initial transient regime associated with the stabilization of cyclic plastic deformation, which slows down the FCG rate to a minimum. After this minimum, which defines the end of initial regime, the crack growth increases the strength of crack tip fields, producing a linear increase of δp. The slope increases with the reduction of yield stress, and a linear trend was observed between the slope and the level of δp. The linear increase of da/dN with Δa is expected to occur in notched samples after the notch affected zone;
- -
- the introduction of contact produced a major effect on δp in unnotched cracks under plane stress conditions. There is a progressive decrease of δp to a minimum value associated with the formation of residual plastic wake. The minimum value of δp defines the end of the transient regime, which is much more extensive than the transient regime associated with the stabilization of cyclic plastic deformation. The effect of crack closure is very limited under plane strain conditions;
- -
- the notches were found to increase the plastic deformation level at the crack tip. The reduction of notch radius increases the notch effect and reduces significantly the notch affected zone. The limit of this zone was reached only for r = 1 mm in this numerical study, being about 0.8 mm for the load level studied. The stress state and material do not affect these trends. As the crack propagates ahead of the notch, a linear relation is observed between δp and notch radius;
- -
- the introduction of contact in notched samples attenuates the effect of notch radius and reduces the notch affected zone;
- -
- concerning the stress state, lower values of δp were obtained for plane strain state compared with plane stress state. This could be expected since the stress triaxiality tends to reduce plastic deformation. Additionally, the effect of stress state is greatly linked with crack closure variations.
- -
- Concerning the material, the global trends related to the influence of notch were found to be independent of material parameters. However, there is a significant influence on crack closure phenomenon. Additionally, there is a global trend for the increase of δp with the reduction of yield stress.
Author Contributions
Funding
Conflicts of Interest
References
- Liao, D.; Zhu, S.-P.; Correia, J.A.; De Jesus, A.M.; Berto, F. Recent advances on notch effects in metal fatigue: A review. Fatigue Fract. Eng. Mater. Struct. 2020, 43, 637–659. [Google Scholar] [CrossRef]
- Tanaka, K.; Nakai, Y. Propagation and non-propagation of short fatigue cracks at a sharp notch. Fatigue Fract. Eng. Mater. Struct. 1983, 6, 315–327. [Google Scholar] [CrossRef]
- Shin, C.-S.; Smith, R. Fatigue crack growth at stress concentrations—The role of notch plasticity and crack closure. Eng. Fract. Mech. 1988, 29, 301–315. [Google Scholar] [CrossRef]
- Ranganathan, N.; Aldroe, H.; Lacroix, F.; Chalon, F.; Leroy, R.; Tougui, A. Fatigue crack initiation at a notch. Int. J. Fatigue 2011, 33, 492–499. [Google Scholar] [CrossRef]
- Teh, L.S.; Brennan, F. Stress intensity factors for cracks emanating from two-dimensional semicircular notches using the composition of SIF weight functions. Fatigue Fract. Eng. Mater. Struct. 2005, 28, 423–435. [Google Scholar] [CrossRef]
- Kujawski, D. Estimations of stress intensity factors for small cracks at notches. Fatigue Fract. Eng. Mater. Struct. 1991, 14, 953–965. [Google Scholar] [CrossRef]
- Narasimhachary, S.; Bhachu, K.S.; Shinde, S.R.; Gravett, P.W.; Newman, J.C. A single edge notch specimen for fatigue, creep-fatigue and thermo-mechanical fatigue crack growth testing. Eng. Fract. Mech. 2018, 199, 760–772. [Google Scholar] [CrossRef]
- Dowling, N.E. Notched member fatigue life predictions combining crack initiation and propagation. Fatigue Fract. Eng. Mater. Struct. 1979, 2, 129–138. [Google Scholar] [CrossRef]
- Barnby, J.T.; Holder, R. Fatigue from notches in cast steels. Met. Sci. 1977, 11, 5–10. [Google Scholar] [CrossRef]
- Shin, C.-S.; Smith, R. Fatigue crack growth from sharp notches. Int. J. Fatigue 1985, 7, 87–93. [Google Scholar] [CrossRef]
- Leis, B.; Forte, T. Fatigue Growth of Initially Physically Short Cracks in Notched Aluminum and Steel Plates. In Proceedings of the Fracture Mechanics, Phyladelphia, PA, USA, 16–18 June 1980; ASTM International: West Conshohocken, PA, USA, 2009; p. 100. [Google Scholar]
- Ding, F.; Feng, M.; Jiang, Y. Modeling of fatigue crack growth from a notch. Int. J. Plast. 2007, 23, 1167–1188. [Google Scholar] [CrossRef]
- Sadananda, K.; Vasudevan, A. Short crack growth and internal stresses. Int. J. Fatigue 1997, 19, 99–108. [Google Scholar] [CrossRef]
- Dong, P. Stresses and stress intensities at notches: ?anomalous crack growth? Revisited. Int. J. Fatigue 2003, 25, 811–825. [Google Scholar] [CrossRef]
- Vena, P.; Gastaldi, D.; Contro, R.; Petrini, L. Finite element analysis of the fatigue crack growth rate in transformation toughening ceramics. Int. J. Plast. 2006, 22, 895–920. [Google Scholar] [CrossRef]
- Tokaji, K.; Ogawa, T.; Harada, Y. Evaluation on limitation of linear elastic fracture mechanics for small fatigue crack growth. Fatigue Fract. Eng. Mater. Struct. 1987, 10, 281–289. [Google Scholar] [CrossRef]
- Sehitoglu, H. Fatigue life prediction of notched members based on local strain and elastic-plastic fracture mechanics concepts. Eng. Fract. Mech. 1983, 18, 609–621. [Google Scholar] [CrossRef]
- Merah, N.; Bui-Quoc, T.; Bernard, M. Notch and Temperature Effects on Crack Propagation in SS 304 Under LCF Conditions. J. Press. Vessel. Technol. 1999, 121, 42–48. [Google Scholar] [CrossRef]
- Wang, J.C.; Lu, Y.Z. Cyclic analysis of propagation short cracks at notches and short-crack growth behavior. Engng. Fract. Mech. 1989, 34, 831–840. [Google Scholar] [CrossRef]
- Savaidis, G.; Savaidis, A.; Zerres, P.; Vormwald, M. Mode I fatigue crack growth at notches considering crack closure. Int. J. Fatigue 2010, 32, 1543–1558. [Google Scholar] [CrossRef]
- Hammouda, M.M.; Smith, R.A.; Miller, K.J. Elastic-plastic fracture mechanics for initiation and propagation of notch fatigue cracks. Fatigue Fract. Eng. Mater. Struct. 1979, 2, 139–154. [Google Scholar] [CrossRef]
- Smith, R.; Miller, K. Prediction of fatigue regimes in notched components. Int. J. Mech. Sci. 1978, 20, 201–206. [Google Scholar] [CrossRef]
- Li, W. Short fatigue crack propagation and effect of notch plastic field. Nucl. Engng. Des. 2003, 84, 193–200. [Google Scholar]
- Antunes, F.; Rodrigues, S.; Branco, R.; Camas, D. A numerical analysis of CTOD in constant amplitude fatigue crack growth. Theor. Appl. Fract. Mech. 2016, 85, 45–55. [Google Scholar] [CrossRef]
- Antunes, F.; Branco, R.; Prates, P.A.; Borrego, L.F. Fatigue crack growth modelling based on CTOD for the 7050-T6 alloy. Fatigue Fract. Eng. Mater. Struct. 2017, 40, 1309–1320. [Google Scholar] [CrossRef]
- Antunes, F.; Serrano, S.; Branco, R.; Prates, P.A. Fatigue crack growth in the 2050-T8 aluminium alloy. Int. J. Fatigue 2018, 115, 79–88. [Google Scholar] [CrossRef]
- Antunes, F.V.; Santos, L.; Capela, C.; Ferreira, J.M.; Costa, J.D.; Jesus, J.; Prates, P. Fatigue Crack Growth in Maraging Steel obtained by Selective Laser Melting. Appl. Sci. 2019, 9, 4412. [Google Scholar] [CrossRef]
- Vasco-Olmo, J.M.; Díaz, F.; Antunes, F.; James, M. Characterisation of fatigue crack growth using digital image correlation measurements of plastic CTOD. Theor. Appl. Fract. Mech. 2019, 101, 332–341. [Google Scholar] [CrossRef]
- Antunes, F.; Ferreira, M.; Branco, R.; Prates, P.; Gardin, C.; Sarrazin-Baudoux, C. Fatigue crack growth versus plastic CTOD in the 304L stainless steel. Eng. Fract. Mech. 2019, 214, 487–503. [Google Scholar] [CrossRef]
- Antunes, F.; Prates, P.; Camas, D.; Sarrazin-Baudoux, C.; Gardin, C. Numerical prediction of fatigue threshold of metallic materials in vacuum. Eng. Fract. Mech. 2019, 216, 106491. [Google Scholar] [CrossRef]
- Borges, M.F.; Antunes, F.; Prates, P.A.; Branco, R.; Vojtek, T. Effect of Young’s modulus on fatigue crack growth. Int. J. Fatigue 2020, 132, 105375. [Google Scholar] [CrossRef]
- Muñiz-Calvente, M.; Venta-Viñuela, L.; Álvarez-Vázquez, A.; Fernández, P.F.; Rey, M.J.L.; Fernández-Canteli, A. A Probabilistic Approach to Assessing and Predicting the Failure of Notched Components. Materials 2019, 12, 4053. [Google Scholar] [CrossRef] [PubMed]
- Kolasangiani, K.; Shariati, M.; Farhangdoost, K.; Varvani-Farahani, A. Ratcheting progress at notch root of 1045 steel samples over asymmetric loading cycles: Experiments and analyses. Fatigue Fract. Eng. Mater. Struct. 2018, 41, 1870–1883. [Google Scholar] [CrossRef]
- Borges, M.F.; Antunes, F.; Prates, P.A.; Branco, R.M. A Numerical Study of the Effect of Isotropic Hardening Parameters on Mode I Fatigue Crack Growth. Metals 2020, 10, 177. [Google Scholar] [CrossRef]
- Antunes, F.; Castanheira, F.; Branco, R. A numerical analysis of the mechanisms behind plasticity induced crack closure: Application to variable amplitude loadings. Int. J. Fatigue 2016, 89, 43–52. [Google Scholar] [CrossRef]

















© 2020 by the authors. Licensee MDPI, Basel, Switzerland. This article is an open access article distributed under the terms and conditions of the Creative Commons Attribution (CC BY) license (http://creativecommons.org/licenses/by/4.0/).
Share and Cite
Borges, M.; Caldas, M.; Antunes, F.; Branco, R.; Prates, P. Fatigue Crack Growth from Notches: A Numerical Analysis. Appl. Sci. 2020, 10, 4174. https://doi.org/10.3390/app10124174
Borges M, Caldas M, Antunes F, Branco R, Prates P. Fatigue Crack Growth from Notches: A Numerical Analysis. Applied Sciences. 2020; 10(12):4174. https://doi.org/10.3390/app10124174
Chicago/Turabian StyleBorges, Micael, Manuel Caldas, Fernando Antunes, Ricardo Branco, and Pedro Prates. 2020. "Fatigue Crack Growth from Notches: A Numerical Analysis" Applied Sciences 10, no. 12: 4174. https://doi.org/10.3390/app10124174
APA StyleBorges, M., Caldas, M., Antunes, F., Branco, R., & Prates, P. (2020). Fatigue Crack Growth from Notches: A Numerical Analysis. Applied Sciences, 10(12), 4174. https://doi.org/10.3390/app10124174

