Study on Heat Transfer Performance and Anti-Fouling Mechanism of Ternary Ni-W-P Coating
Abstract
Featured Application
Abstract
1. Introduction
2. Experimental Section
2.1. Materials and Preparation
2.2. Fouling Experiments and Heat Transfer Performance
2.3. Surface Morphology, Microstructure, and Phase Composition
2.4. First Principle on Transformation of Calcite, Aragonite, and Vaterite
3. Results
3.1. Surface Morphology and Microstructure
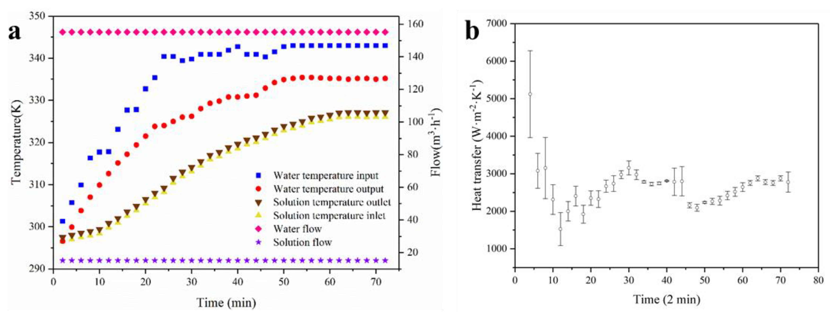
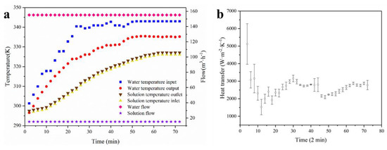
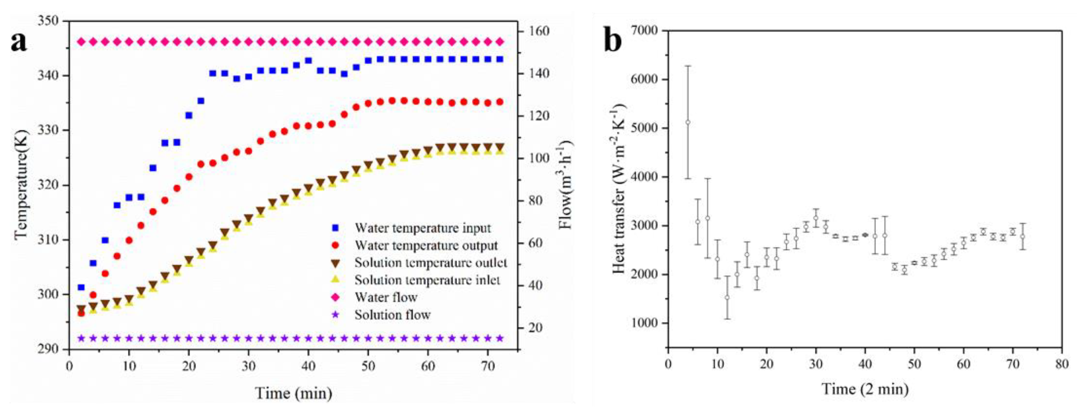
3.2. Heat Transfer Behavior
3.3. Transient States of Calcite, Aragonite, and Vaterite
4. Discussion
5. Conclusions
Author Contributions
Funding
Conflicts of Interest
Abbreviations
| DFT | Density Functional Theory |
| SEM | Scanning Electron Microscope |
| EDS | Energy Dispersive Spectroscopy |
| LMTD | Logarithmic Mean Temperature Difference |
| CCP | Cubic Closest Packing |
| HCP | Hexagonal Closest Packing |
| GGA | Generalized Gradient Approximation |
| PBE | Perdew-Burke-Ernzerhof Function |
| LST | Linear Synchronous Transit |
References
- Kuruneru, S.T.W.; Sauret, E.; Saha, S.; Gu, Y. Numerical investigation of the temporal evolution of particulate fouling in metal foams for air-cooled heat exchangers. Appl. Energy 2016, 184, 531–547. [Google Scholar] [CrossRef]
- Maddahi, M.; Hatamipour, M.S.; Jamialahmadi, M. Experimental study of calcium sulfate fouling in a heat exchanger during liquid-solid fluidized bed with cylindrical particles. Int. J. Therm. Sci. 2018, 125, 11–22. [Google Scholar] [CrossRef]
- Diaz-Bejarano, E.; Behranvand, E.; Coletti, F.; Mozdianfard, M.R.; Macchietto, S. Organic and inorganic fouling in heat exchangers—Industrial case study: Analysis of fouling state. Appl. Energy 2017, 206, 1250–1266. [Google Scholar] [CrossRef]
- Hu, T.; Chen, W.; Yan, N.; Liang, N.; Liu, J. On the morphology and crystallography of the strengthening precipitates in an aged Cu-Ni-P alloy. J. Alloys Compd. 2017, 729, 84–88. [Google Scholar] [CrossRef]
- Ren, L.; Cheng, Y.-H.; Wang, S.; Meng, X.; Qin, Q.; Yang, J. Oxidation behavior of the supercritical water on the ternary Ni-W-P coating. Chem. Eng. J. 2019, 370, 1388–1406. [Google Scholar] [CrossRef]
- Zielinska, K.; Stankiewicz, A.; Szczygieł, I. Electroless deposition of Ni–P–nano-ZrO2 composite coatings in the presence of various types of surfactants. J. Colloid Interface Sci. 2012, 377, 362–367. [Google Scholar] [CrossRef]
- Yanhai, C.; Ren, L.; Xianliang, M.; Jinyong, Y.; Xianhua, T.; Cheng, Y.; Ren, L.; Meng, X.; Yang, J.; Tian, X. The effect of PTFE addition on mechanical and anti-corrosion properties of coating of heat exchangers. Mater. Res. Express 2019, 6, 085207. [Google Scholar] [CrossRef]
- Ren, L.; Cheng, Y.; Han, Z.; Meng, X.; Yang, J. Investigation on the mechanical performance of the electroless Ni–W–P coating based on fractal theory. Surf. Topogr. Metrol. Prop. 2019, 7, 025017. [Google Scholar] [CrossRef]
- Cheng, Y.H.; Chen, S.S.; Jen, T.C.; Zhu, Z.C.; Peng, Y.X. Effect of copper addition on the properties of electroless Ni-Cu-P coating on heat transfer surface. Int. J. Adv. Manuf. Technol. 2014, 76, 2209–2215. [Google Scholar] [CrossRef]
- Cheng, Y.; Cao, S.; Hou, Q.; Han, D.; Han, Z. Effect of Tungsten Addition on the Anti-fouling Property of the Electroless Ni-W-P Deposits. Rare Metal Mater. Eng. 2016, 45, 1931–1937. [Google Scholar]
- Cheng, Y.; Chen, H.; Zhu, Z.; Jen, T.; Peng, Y. Experimental study on the anti-fouling effects of Ni–Cu–P-PTFE deposit surface of heat exchangers. Appl. Therm. Eng. 2014, 68, 20–25. [Google Scholar] [CrossRef]
- Hu, J.; Wang, B.; Xu, Y.; Zhou, L. The Anticorrosive and Antifouling Properties of Ni-W-P-nSiO2 Composite Coating in A Simulated Oilfield Environment. JOM 2018, 70, 2619–2625. [Google Scholar] [CrossRef]
- Ren, L.; Cheng, Y.; Feng, S.; Han, Z. Experimental study on corrosion-fouling relationship of Ni-W-P composite coating surface of heat exchanger. Surf. Topogr. Metrol. Prop. 2019, 7, 015011. [Google Scholar] [CrossRef]
- Zhang, W.; Yang, Z.; Kaufman, Y.; Bernstein, R. Surface and anti-fouling properties of a polyampholyte hydrogel grafted onto a polyethersulfone membrane. J. Colloid Interface Sci. 2018, 517, 155–165. [Google Scholar] [CrossRef] [PubMed]
- Zettler, H.U. Effect of Surface Properties and Flow Distribution on Fouling of Heat Transfer Surfaces; Doctor of Philosophy in Engineering Type, University of Surrey: Guildford, UK, 2002. [Google Scholar]
- Cheng, Y.; Zou, Y.; Cheng, L.; Liu, W. Effect of the microstructure on the anti-fouling property of the electroless Ni–P coating. Mater. Lett. 2008, 62, 4283–4285. [Google Scholar] [CrossRef]
- Ren, L.; Cheng, Y.-H.; Wang, Q.; Yang, J. Simulation of the relationship between calcium carbonate fouling and corrosion of iron surface. Colloids Surf. A Physicochem. Eng. Asp. 2019, 582, 123882. [Google Scholar] [CrossRef]
- Cheng, L.; Cheng, Y.; Xin, G.; Zou, Y. Influence of Ni-P Coating Microstructure on Condensation Heat Transfer. In Proceedings of the 2010 14th International Heat Transfer Conference, Washington, DC, USA, 8–13 August 2010; Volume 1, pp. 107–113. [Google Scholar]
- Lara, J.R.; Holtzapple, M.T. Experimental investigation of dropwise condensation on hydrophobic heat exchangers. Part II: Effect of coatings and surface geometry. Desalination 2011, 280, 363–369. [Google Scholar] [CrossRef]
- Westin, K.-J.; Rasmuson, Å.C. Crystal growth of aragonite and calcite in presence of citric acid, DTPA, EDTA and pyromellitic acid. J. Colloid Interface Sci. 2005, 282, 359–369. [Google Scholar] [CrossRef]
- Hasson, D.; Semiat, R.; Shemer, H. A kinetic approach to desalinated water corrosion control by CaCO3 films. Desalination 2019, 449, 50–54. [Google Scholar] [CrossRef]
- Sancho-Tomás, M.; Fermani, S.; Reggi, M.; García-Ruiz, J.M.; Morales, J.G.; Falini, G. Polypeptide Effect on Mg2+ Hydration Inferred from CaCO3 Formation: A Biomineralization Study by Counter-Diffusion. CrystEngComm 2016, 18, 3265–3272. [Google Scholar] [CrossRef]
- Kadota, K.; Furukawa, R.; Shirakawa, Y.; Shimosaka, A.; Hidaka, J. Effect of surface properties of calcium carbonate on aggregation process investigated by molecular dynamics simulation. J. Mater. Sci. 2013, 49, 1724–1733. [Google Scholar] [CrossRef]
- Jun, K.A.A.M. Molecular dynamics simulation of the phase transition between calcite and CaCO3-II. J. Phys. Condens. Mater. 2009, 21, 275403. [Google Scholar]
- Jun, K.A.A.M. Molecular dynamics simulation of the rotational order–disorder phase transition in calcite. J. Phys. Condens. Mater. 2009, 21, 95406. [Google Scholar]
- Kadota, K.; Furukawa, R.; Tozuka, Y.; Shimosaka, A.; Shirakawa, Y.; Hidaka, J. Formation mechanism of non-spherical calcium carbonate particles in the solution using cluster-moving Monte Carlo simulation. J. Mol. Liq. 2014, 194, 115–120. [Google Scholar] [CrossRef]
- Ren, L.; Cheng, Y.-H.; Wang, Q.; Tian, X.; Yang, J.; Zhang, D. Relationship between corrosion product and fouling growth on mild steel, copper and brass surface. Colloids Surf. A Physicochem. Eng. Asp. 2020, 591, 124502. [Google Scholar] [CrossRef]
- Bogacz, W.; Lemanowicz, M.; Al-Rashed, M.H.; Nakonieczny, D.; Piotrowski, T.; Wójcik, J. Impact of roughness, wettability and hydrodynamic conditions on the incrustation on stainless steel surfaces. Appl. Therm. Eng. 2017, 112, 352–361. [Google Scholar] [CrossRef]
- Al-Janabi, A.; Malayeri, M.R.; Badran, O. Performance of shot peened surfaces subject to crystallization fouling. Int. J. Therm. Sci. 2017, 111, 379–389. [Google Scholar] [CrossRef]
- Goodenough, J.L.; Reuter, H. Performance characteristics of artificial coatings applied to steam surface condensers. Int. J. Therm. Sci. 2014, 85, 123–137. [Google Scholar] [CrossRef]
- Goldstein, R.J.; Ibele, W.E.; Patankar, S.V.; Simon, T.W.; Kuehn, T.H.; Strykowski, P.J.; Tamma, K.K.; Heberlein, J.V.R.; Davidson, J.H.; Bischof, J.; et al. Heat transfer-A review of 2005 literature. Int. J. Heat Mass Transf. 2010, 53, 4397–4447. [Google Scholar] [CrossRef]
- Phillpot, S.R.; McGaughey, A.J. Introduction to thermal transport. Mater. Today 2005, 8, 18–20. [Google Scholar] [CrossRef]
- Politzer, P.; Daiker, K.C. Some potential-energy relationships for isoelectronic atomic series. Int. J. Quantum Chem. 1978, 14, 245–251. [Google Scholar] [CrossRef]
- Ohnishi, S.; Freeman, A.J.; Weinert, M. Surface magnetism of Fe(001). Phys. Rev. B 1983, 28, 6741–6748. [Google Scholar] [CrossRef]
- Blochl, P.E. Projector Augmented-Wave Method. Phys. Rev. B 1994, 50, 17953–17979. [Google Scholar] [CrossRef]
- Vanderbilt, D. Soft self-consistent pseudopotentials in a generalized eigenvalue formalism. Phys. Rev. B 1990, 41, 7892–7895. [Google Scholar] [CrossRef]
- Monkhorst, H.J.; Pack, J.D. Special points for Brillouin-zone integrations. Phys. Rev. B 1976, 13, 5188–5192. [Google Scholar] [CrossRef]
- Yeo, S.C.; Han, S.S.; Lee, H.M. Mechanistic Investigation of the Catalytic Decomposition of Ammonia (NH3) on an Fe(100) Surface: A DFT Study. J. Phys. Chem. C 2014, 118, 5309–5316. [Google Scholar] [CrossRef]
- Ren, L.; Cheng, Y.-H.; Shao, R.; Meng, X.; Yang, J.; Wang, Q. DFT studies of adsorption properties and bond strengths of H2S, HCN and NH3 on Fe(1 0 0). Appl. Surf. Sci. 2020, 500, 144232. [Google Scholar] [CrossRef]
- Lister, V.; Davidson, J.F.; Wilson, D.I. Calculating thermal fouling resistances from dynamic heat transfer measurements. Chem. Eng. Sci. 2012, 84, 772–780. [Google Scholar] [CrossRef]
- Nan, Z.; Chen, X.; Yang, Q.; Wang, X.; Shi, Z.; Hou, W. Structure transition from aragonite to vaterite and calcite by the assistance of SDBS. J. Colloid Interface Sci. 2008, 325, 331–336. [Google Scholar] [CrossRef]
- Ševčík, R.; Sasek, P.; Viani, A. Physical and nanomechanical properties of the synthetic anhydrous crystalline CaCO3 polymorphs: Vaterite, aragonite and calcite. J. Mater. Sci. 2017, 53, 4022–4033. [Google Scholar] [CrossRef]
- Lin, S.-J.; Huang, W.-L. Polycrystalline calcite to aragonite transformation kinetics: Experiments in synthetic systems. Contrib. Miner. Pet. 2004, 147, 604–614. [Google Scholar] [CrossRef]
- Nguyen, H.-D.T.; Pham, H.-T.; Wang, D.-A. A miniature pneumatic energy generator using Kármán vortex street. J. Wind. Eng. Ind. Aerodyn. 2013, 116, 40–48. [Google Scholar] [CrossRef]
- Wang, X.; Shen, S. Effects of temperature and strain on thermal properties of Ni/Al laminated structure. Comput. Mater. Sci. 2014, 84, 13–17. [Google Scholar] [CrossRef]
- Yuan, S.P.; Jiang, P.-X. Thermal Conductivity of Small Nickel Particles. Int. J. Thermophys. 2006, 27, 581–595. [Google Scholar] [CrossRef]
- Ryu, M.; Kim, H.; Lim, M.; You, K.; Ahn, J. Comparison of Dissolution and Surface Reactions between Calcite and Aragonite in L-Glutamic and L-Aspartic Acid Solutions. Molecules 2010, 15, 258–269. [Google Scholar] [CrossRef] [PubMed]
- Mugnaioli, E.; Andrusenko, I.; Schüler, T.; Loges, N.; Dinnebier, R.E.; Panthöfer, M.; Tremel, W.; Kolb, U. Ab Initio Structure Determination of Vaterite by Automated Electron Diffraction. Angew. Chem. Int. Ed. 2012, 51, 7041–7045. [Google Scholar] [CrossRef] [PubMed]
- Liu, C.; Zheng, H.; Wang, D. Raman spectroscopic study of calcite III to aragonite transformation under high pressure and high temperature. High Press. Res. 2017, 37, 545–557. [Google Scholar] [CrossRef]
- Sekkal, W.; Taleb, N.; Shahrour, I.; Zaoui, A. A lattice dynamical study of the aragonite and post-aragonite phases of calcium carbonate rock. Am. Miner. 2008, 93, 1608–1612. [Google Scholar] [CrossRef]
- Parker, J.E.; Thompson, S.P.; Lennie, A.R.; Potter, J.; Tang, C.C. A study of the aragonite-calcite transformation using Raman spectroscopy, synchrotron powder diffraction and scanning electron microscopy. CrystEngComm 2010, 12, 1590. [Google Scholar] [CrossRef]
- Koga, N.; Kasahara, D.; Kimura, T. Aragonite Crystal Growth and Solid-State Aragonite–Calcite Transformation: A Physico–Geometrical Relationship via Thermal Dehydration of Included Water. Cryst. Growth Des. 2013, 13, 2238–2246. [Google Scholar] [CrossRef]
- Gomez-Villalba, L.S.; López-Arce, P.; De Buergo, M.A.; Fort, R. Atomic Defects and Their Relationship to Aragonite–Calcite Transformation in Portlandite Nanocrystal Carbonation. Cryst. Growth Des. 2012, 12, 4844–4852. [Google Scholar] [CrossRef]
- Huraiová, M.; Milovský, R.; Hurai, V.; Luptáková, J.; Konečný, P. High-pressure aragonite phenocrysts in carbonatite and carbonated syenite xenoliths within an alkali basalt. Am. Miner. 2013, 98, 1074–1077. [Google Scholar] [CrossRef]
- Koga, N.; Nishikawa, K. Mutual Relationship between Solid-State Aragonite–Calcite Transformation and Thermal Dehydration of Included Water in Coral Aragonite. Cryst. Growth Des. 2014, 14, 879–887. [Google Scholar] [CrossRef]
- Balaz, M.; Bujňáková, Z.; Bala, P.; Zorkovská, A.; Dankova, Z.; Briancin, J. Adsorption of cadmium(II) on waste biomaterial. J. Colloid Interface Sci. 2015, 454, 121–133. [Google Scholar] [CrossRef]













| Name | Composition (Mass%) | |||||||
|---|---|---|---|---|---|---|---|---|
| C | Mn | Si | S | P | Cr | Ni | Fe | |
| Mild Steel | 0.16 | 0.6 | 0.3 | 0.05 | 0.05 | 0.031 | 0.012 | Bal |
| Reagent | NaOH | Na2CO3 | Na3PO4 | Polyoxyethylene Octylphenol Ether |
|---|---|---|---|---|
| Concentration (g/L) | 20~30 | 20~25 | 35~40 | 4~6 |
| Specimen Number | Nickel Sulfate (g/L) | Ammonium Acetate (g/L) | Sodium Citrate (g/L) | Lactic Acid (g/L) | Sodium Hypophosphite (g/L) | Sodium Tungstate (g/L) |
|---|---|---|---|---|---|---|
| 1 | 18 | 12 | 35 | 20 | 20 | 25 |
| 2 | 18 | 12 | 35 | 20 | 20 | 30 |
| 3 | 18 | 12 | 35 | 20 | 20 | 35 |
| 4 | 18 | 12 | 35 | 20 | 20 | 40 |
| 5 | 18 | 12 | 35 | 20 | 20 | 45 |
| Item | Water Temperature/K | Water and Solution Velocity/m·s−1 | Concentration of CaCO3 Solution/g·L−1 | Recording Interval/s | Experimental Time/h |
|---|---|---|---|---|---|
| Parameter | 343 | 0.15 | 1.0 | 120 | 72 |
| Species | Energy (eV) | Vibrational Frequency (cm−1) |
|---|---|---|
| Ion state | −22.05315 | - |
| Calcite | −23.79033 | - |
| Vaterite | −24.09105 | - |
| Aragonite | −24.34573 | - |
| TS1a | −21.38945 | 1425.5 |
| TS1b | −21.86688 | 1405.0 |
| TS1c | −21.94878 | 1412.9 |
| TS2 | −23.69758 | 1411.9 |
| TS3 | −23.71231 | 1487.0 |
| TS4 | −23.77383 | 1474.2 |
© 2020 by the authors. Licensee MDPI, Basel, Switzerland. This article is an open access article distributed under the terms and conditions of the Creative Commons Attribution (CC BY) license (http://creativecommons.org/licenses/by/4.0/).
Share and Cite
Ren, L.; Cheng, Y.; Yang, J.; Wang, Q. Study on Heat Transfer Performance and Anti-Fouling Mechanism of Ternary Ni-W-P Coating. Appl. Sci. 2020, 10, 3905. https://doi.org/10.3390/app10113905
Ren L, Cheng Y, Yang J, Wang Q. Study on Heat Transfer Performance and Anti-Fouling Mechanism of Ternary Ni-W-P Coating. Applied Sciences. 2020; 10(11):3905. https://doi.org/10.3390/app10113905
Chicago/Turabian StyleRen, Lu, Yanhai Cheng, Jinyong Yang, and Qingguo Wang. 2020. "Study on Heat Transfer Performance and Anti-Fouling Mechanism of Ternary Ni-W-P Coating" Applied Sciences 10, no. 11: 3905. https://doi.org/10.3390/app10113905
APA StyleRen, L., Cheng, Y., Yang, J., & Wang, Q. (2020). Study on Heat Transfer Performance and Anti-Fouling Mechanism of Ternary Ni-W-P Coating. Applied Sciences, 10(11), 3905. https://doi.org/10.3390/app10113905

