An Efficient Single-Anchor Localization Method Using Ultra-Wide Bandwidth Systems
Abstract
1. Introduction
- We propose a high-efficiency SAL method which can determine the positions of multiple agents within minimum transmissions of signals.
- We determine the time-stamps and phases of all the received peaks from different agents in the CIR, which enables range and angle estimations of multiple agents.
- We implement the system on a low-cost platform in two indoor environments, in which decimeter-level localization accuracy is achieved.
2. Preliminary
Signal Model
3. Single-Anchor Localization Method
3.1. Localization Protocol
3.2. (Quasi-)simultaneous Response
- The anchor is able to extract the arrival time-stamp and phase of all agents in one CIR waveform, which significantly improves the efficiency of the TOA estimation.
- Within a certain distance difference, the anchor can complete the data association between the response and the agent. (Because the anchor assigns a different to each agent in advance.)
4. Localization Algorithm
4.1. Reliable Response Detection
4.2. Phase Estimation
4.3. ML-Based Localization Algorithm
5. Experiment and Analysis
5.1. Experiment Settings
5.2. Performance Evaluation
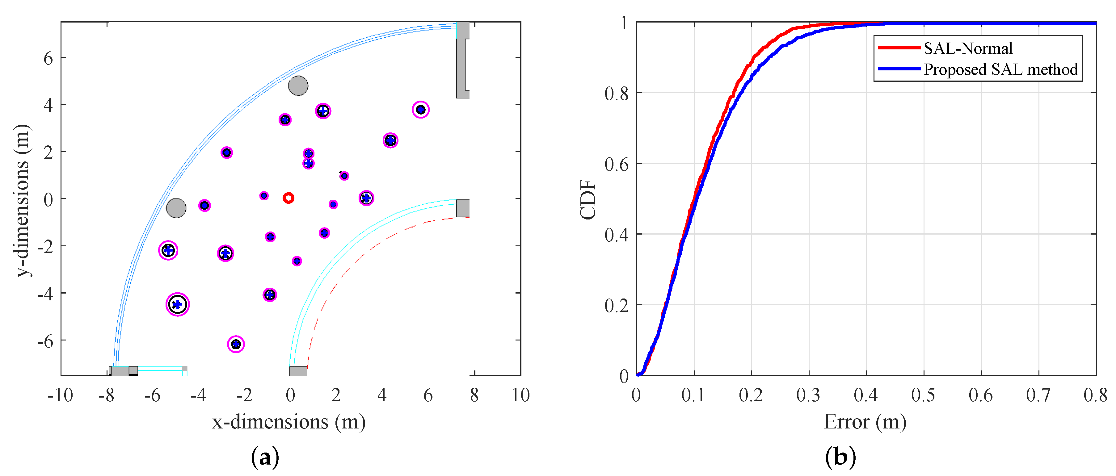
5.2.1. Static test point
5.2.2. Tracking Performance
5.2.3. Time Consumption
6. Conclusions
Author Contributions
Funding
Acknowledgments
Conflicts of Interest
Abbreviations
| SAL | single-anchor localization |
| GNSS | Global Navigation Satellite System |
| MPC | multipath component |
| NLOS | non-line-of-sight |
| RF | radio frequency |
| RFID | radio-frequency identification |
| RSSI | received signal strength indicator |
| LF | location fingerprints |
| AOA | angle-of-arrival |
| UWB | ultra-wideband |
| CIR | channel impulse response |
| ToF | time-of-flight |
| TDOA | time-difference-of-arrival |
| TOA | time-of-arrival |
| PDOA | phase-difference-of-arrival |
| ML | maximum likelihood |
| LOS | line-of-sight |
| RMSE | root mean squared error |
| CDF | cumulative distribution function |
References
- Win, M.Z.; Dai, W.; Shen, Y.; Chrisikos, G.; Poor, H.V. Network operation strategies for efficient localization and navigation. Proc. IEEE 2018, 106, 1224–1254. [Google Scholar] [CrossRef]
- Seçkin, A.Ç.; Coşkun, A. Hierarchical fusion of machine learning algorithms in indoor positioning and localization. Appl. Sci. 2019, 9, 3665. [Google Scholar] [CrossRef]
- Dai, W.; Shen, Y.; Win, M.Z. Energy-efficient network navigation algorithms. IEEE J. Se. Areas Commun. 2015, 33, 1418–1430. [Google Scholar] [CrossRef]
- Yuan, W.; Wu, N.; Etzlinger, B.; Wang, H.; Kuang, J. Cooperative joint localization and clock synchronization based on Gaussian message passing in asynchronous wireless networks. IEEE Trans. Veh. Technol. 2016, 65, 7258–7273. [Google Scholar] [CrossRef]
- Witrisal, K.; Meissner, P.; Leitinger, E.; Shen, Y.; Gustafson, C.; Tufvesson, F.; Haneda, K.; Dardari, D.; Molisch, A.F.; Conti, A.; et al. High-accuracy localization for assisted living: 5G systems will turn multipath channels from foe to friend. IEEE Signal Process. Mag. 2016, 33, 59–70. [Google Scholar] [CrossRef]
- Win, M.Z.; Conti, A.; Mazuelas, S.; Shen, Y.; Gifford, W.M.; Dardari, D.; Chiani, M. Network localization and navigation via cooperation. IEEE Commun. Mag. 2011, 49, 56–62. [Google Scholar] [CrossRef]
- Li, J.; Yue, X.; Chen, J.; Deng, F. A novel robust trilateration method applied to ultra-wide bandwidth location systems. Sensors 2017, 17, 795. [Google Scholar] [CrossRef]
- Liu, Z.; Dai, W.; Win, M.Z. Mercury: An infrastructure-free system for network localization and navigation. IEEE Trans. Mob. Comput. 2017, 17, 1119–1133. [Google Scholar] [CrossRef]
- Xiao, F.; Wang, Z.; Ye, N.; Wang, R.; Li, X. One more tag enables fine-grained RFID localization and tracking. IEEE/ACM Trans. Netw. 2018, 26, 161–174. [Google Scholar] [CrossRef]
- Kolakowski, M. Improving accuracy and reliability of bluetooth low-energy-based localization systems using proximity sensors. Appl. Sci. 2019, 9, 4081. [Google Scholar] [CrossRef]
- Xiong, Y.; Wu, N.; Shen, Y.; Win, M.Z. Cooperative network synchronization: Asymptotic analysis. IEEE Trans. Signal Process. 2017, 66, 757–772. [Google Scholar] [CrossRef]
- Kotaru, M.; Joshi, K.; Bharadia, D.; Katti, S. Spotfi: Decimeter level localization using wifi. ACM SIGCOMM Comput. Commun. Rev. 2015, 45, 269–282. [Google Scholar] [CrossRef]
- Sadowski, S.; Spachos, P. Rssi-based indoor localization with the internet of things. IEEE Access 2018, 6, 30149–30161. [Google Scholar] [CrossRef]
- Monfared, S.; Nguyen, T.H.; Petrillo, L.; De Doncker, P.; Horlin, F. Experimental demonstration of BLE transmitter positioning based on AOA estimation. In Proceedings of the 2018 IEEE 29th Annual International Symposium on Personal, Indoor and Mobile Radio Communications, Bologna, Italy, 9–12 September 2018; pp. 856–859. [Google Scholar]
- Bartoletti, S.; Dai, W.; Conti, A.; Win, M.Z. A mathematical model for wideband ranging. IEEE J. Sel. Top. Signal Process. 2014, 9, 216–228. [Google Scholar] [CrossRef]
- Jiménez, A.R.; Seco, F. Comparing ubisense, bespoon, and decawave uwb location systems: Indoor performance analysis. IEEE Trans. Instrum. Meas. 2017, 66, 2106–2117. [Google Scholar] [CrossRef]
- Conti, A.; Mazuelas, S.; Bartoletti, S.; Lindsey, W.C.; Win, M.Z. Soft information for localization-of-things. Proc. IEEE 2019, 107, 2240–2264. [Google Scholar] [CrossRef]
- Shi, G.; Ming, Y. Survey of indoor positioning systems based on ultra-wideband (UWB) technology. Wirel. Commun. Netw. Appl. 2016, 1269–1278. [Google Scholar]
- Mazuelas, S.; Conti, A.; Allen, J.C.; Win, M.Z. Soft range information for network localization. IEEE Trans. Signal Process. 2018, 66, 3155–3168. [Google Scholar] [CrossRef]
- Dardari, D.; Closas, P.; Djurić, P.M. Indoor tracking: Theory, methods, and technologies. IEEE Trans. Veh. Technol. 2015, 64, 1263–1278. [Google Scholar] [CrossRef]
- Monica, S.; Ferrari, G. UWB-based localization in large indoor scenarios: Optimized placement of anchor nodes. IEEE Trans. Aerosp. Electron. Syst. 2015, 51, 987–999. [Google Scholar] [CrossRef]
- Win, M.Z.; Shen, Y.; Dai, W. A theoretical foundation of network localization and navigation. Proc. IEEE 2018, 106, 1136–1165. [Google Scholar] [CrossRef]
- Yang, M.; Jackson, D.R.; Chen, J.; Xiong, Z.; Williams, J.T. A TDOA localization method for nonline-of-sight scenarios. IEEE Trans. Antennas Propag. 2019, 67, 2666–2676. [Google Scholar] [CrossRef]
- Chen, J.; Dai, W.; Shen, Y.; Lau, V.K.; Win, M.Z. Resource management games for distributed network localization. IEEE J. Sel. Areas Commun. 2017, 35, 317–329. [Google Scholar] [CrossRef]
- Huang, S.; Wu, Z.; Misra, A. A practical, robust and fast method for location localization in range-based systems. Sensors 2017, 17, 2869. [Google Scholar] [CrossRef] [PubMed]
- Dai, W.; Shen, Y.; Win, M.Z. A computational geometry framework for efficient network localization. IEEE Trans. Inf. Theory 2017, 64, 1317–1339. [Google Scholar] [CrossRef]
- Corbalán, P.; Picco, G.P.; Palipana, S. Chorus: UWB concurrent transmissions for GPS-like passive localization of countless targets. In Proceedings of the 18th International Conference on Information Processing in Sensor Networks, Montreal, QC, Canada, 15–18 April 2019; pp. 133–144. [Google Scholar]
- Win, M.Z.; Meyer, F.; Liu, Z.; Dai, W.; Bartoletti, S.; Conti, A. Efficient multisensor localization for the Internet of Things: Exploring a new class of scalable localization algorithms. IEEE Signal Process. Mag. 2018, 35, 153–167. [Google Scholar] [CrossRef]
- Horváth, K.A.; Ill, G.; Milánkovich, Á. Passive extended double-sided two-way ranging with alternative calculation. In Proceedings of the 2017 IEEE 17th International Conference on Ubiquitous Wireless Broadband, Salamanca, Spain, 12–15 September 2017; pp. 1–5. [Google Scholar]
- Gholami, M.R.; Gezici, S.; Ström, E.G. Improved position estimation using hybrid TW-TOA and TDOA in cooperative networks. IEEE Trans. Signal Process. 2012, 60, 3770–3785. [Google Scholar] [CrossRef]
- Neirynck, D.; Luk, E.; McLaughlin, M. An alternative double-sided two-way ranging method. In Proceedings of the 2016 13th Workshop on Positioning, Navigation and Communications, Bremen, Germany, 19–20 October 2016; pp. 1–4. [Google Scholar]
- Tiemann, J.; Elmasry, Y.; Koring, L.; Wietfeld, C. ATLAS FaST: Fast and simple scheduled TDOA for reliable ultra-wideband localization. In Proceedings of the 2019 International Conference on Robotics and Automation, Montreal, QC, Canada, 20–24 May 2019; pp. 2554–2560. [Google Scholar]
- Horváth, K.A.; Ill, G.; Milánkovich, Á. Passive extended double-sided two-way ranging algorithm for UWB positioning. In Proceedings of the 2017 Ninth International Conference on Ubiquitous and Future Networks, Milan, Italy, 4–7 July 2017; pp. 482–487. [Google Scholar]
- Pelka, M.; Hellbrück, H. S-TDoA—Sequential time difference of arrival—A scalable and synchronization free approach for positioning. In Proceedings of the 2016 IEEE Wireless Communications and Networking Conference, Doha, Qatar, 3–6 April 2016; pp. 1–6. [Google Scholar]
- Gro<i>β</i>windhager, B.; Stocker, M.; Rath, M.; Boano, C.A.; Römer, K. SnapLoc: An ultra-fast UWB-based indoor localization system for an unlimited number of tags. In Proceedings of the 2019 18th ACM/IEEE International Conference on Information Processing in Sensor Networks, Montreal, QC, Canada, 15–18 April 2019; pp. 61–72. [Google Scholar]
- Vecchia, D.; Corbalán, P.; Istomin, T.; Picco, G.P. Playing with fire: Exploring concurrent transmissions in ultra-wideband radios. In Proceedings of the 2019 16th Annual IEEE International Conference on Sensing, Communication, and Networking, Boston, MA, USA, 10–13 June 2019; pp. 1–9. [Google Scholar]
- Mendrzik, R.; Meyer, F.; Bauch, G.; Win, M.Z. Enabling Situational Awareness in Millimeter Wave Massive MIMO Systems. IEEE J. Sel. Top. Signal Process. 2019, 13, 1196–1211. [Google Scholar] [CrossRef]
- Han, Y.; Shen, Y.; Zhang, X.P.; Win, M.Z.; Meng, H. Performance limits and geometric properties of array localization. IEEE Trans. Inf. Theory 2015, 62, 1054–1075. [Google Scholar] [CrossRef]
- Dotlic, I.; Connell, A.; Ma, H.; Clancy, J.; McLaughlin, M. Angle of arrival estimation using decawave dw1000 integrated circuits. In Proceedings of the 2017 14th Workshop on Positioning, Navigation and Communications, Bremen, Germany, 25–26 October 2017; pp. 1–6. [Google Scholar]
- Wang, Y.; Wu, Y.; Shen, Y. Joint spatiotemporal multipath mitigation in large-scale array localization. IEEE Trans. Signal Process. 2018, 67, 783–797. [Google Scholar] [CrossRef]
- Rzymowski, M.; Woznica, P.; Kulas, L. Single-anchor indoor localization using ESPAR antenna. IEEE Antenna Wirel. Propag. Lett. 2015, 15, 1183–1186. [Google Scholar] [CrossRef]
- Yao, F.; Wang, Y.; Guan, X. Joint time synchronization and localization for target sensors using a single mobile anchor with position uncertainties. In Proceedings of the IEEE International Conference on Acoustics, Speech and Signal Processing, Calgary, AB, Canada, 15–20 April 2018; pp. 3794–3798. [Google Scholar]
- Wang, T.; Zhao, H.; Shen, Y. High-accuracy localization using single-anchor ultra-wide bandwidth systems. In Proceedings of the 2019 IEEE/CIC International Conference on Communications in China, Changchun, China, 11–13 August 2019; pp. 59–63. [Google Scholar]
- Liu, Y.; Shen, Y.; Win, M.Z. Single-anchor localization and synchronization of full-duplex agents. IEEE Trans. Commun. 2018, 67, 2355–2367. [Google Scholar] [CrossRef]
- IEEE 802 Working Group. IEEE standard for local and metropolitan area networks–Part 15.4: Low-rate wireless personal area networks (lr-wpans). IEEE Std. 2011, 802, 4–2011. [Google Scholar]
- DecaWave Ltd. DW1000 User Manual; Decawave Ltd.: Dublin, Ireland, 2015. [Google Scholar]
- Zhang, Z.; Zhao, H.; Shen, Y. High-efficient ranging algorithms for wireless sensor network. In Proceedings of the 2019 IEEE International Conference on Wireless Communications and Signal Processing, Xi’an, China, 23–25 October 2019; pp. 1–6. [Google Scholar]
- Fan, J.; Gijbels, I. Variable bandwidth and local linear regression smoothers. Ann. Stat. 1992, 20, 2008–2036. [Google Scholar] [CrossRef]








| Errors | Methods | = 1 | = 2 | = 3 |
|---|---|---|---|---|
| 90% error | SAL-Normal | 20.4 cm | 20.8 cm | 20.6 cm |
| Proposed SAL method | 21.3 cm | 23.0 cm | 23.4 cm | |
| Median error | SAL-Normal | 9.3 cm | 9.3 cm | 10.3 cm |
| Proposed SAL method | 10.1 cm | 10.9 cm | 10.5 cm |
| Errors | Methods | = 1 | = 2 | = 3 |
|---|---|---|---|---|
| 90% error | SAL-Normal | 14.0 cm | 13.6 cm | 13.8 cm |
| Proposed SAL method | 13.6 cm | 16.0 cm | 16.8 cm | |
| Median error | SAL-Normal | 6.8 cm | 6.5 cm | 6.7 cm |
| Proposed SAL method | 6.5 cm | 7.3 cm | 7.5 cm |
| Methods | = 1 | = 2 | = 3 |
|---|---|---|---|
| SAL-Normal | 3.4 ms | 6.8 ms | 10.2 ms |
| Proposed SAL method | 3.4 ms | 3.4 ms | 3.4 ms |
© 2019 by the authors. Licensee MDPI, Basel, Switzerland. This article is an open access article distributed under the terms and conditions of the Creative Commons Attribution (CC BY) license (http://creativecommons.org/licenses/by/4.0/).
Share and Cite
Wang, T.; Zhao, H.; Shen, Y. An Efficient Single-Anchor Localization Method Using Ultra-Wide Bandwidth Systems. Appl. Sci. 2020, 10, 57. https://doi.org/10.3390/app10010057
Wang T, Zhao H, Shen Y. An Efficient Single-Anchor Localization Method Using Ultra-Wide Bandwidth Systems. Applied Sciences. 2020; 10(1):57. https://doi.org/10.3390/app10010057
Chicago/Turabian StyleWang, Tianyu, Hanying Zhao, and Yuan Shen. 2020. "An Efficient Single-Anchor Localization Method Using Ultra-Wide Bandwidth Systems" Applied Sciences 10, no. 1: 57. https://doi.org/10.3390/app10010057
APA StyleWang, T., Zhao, H., & Shen, Y. (2020). An Efficient Single-Anchor Localization Method Using Ultra-Wide Bandwidth Systems. Applied Sciences, 10(1), 57. https://doi.org/10.3390/app10010057

