A Fine Fast Acquisition Scheme for a Communication and Navigation Fusion System
Abstract
1. Introduction
2. System Model and Acquisition Method
2.1. System Model
2.2. Acquisition Method
2.2.1. CAF Evaluation
2.2.2. Signal Detection
3. Fast Acquisition Method
3.1. Search Space Reduction Method
3.2. DD-MAX/TC-CACFAR Detection Method
4. Derivation of Acquisition Time
5. Simulation Results and Analysis
5.1. Experimental Platform and Parameters Setting
5.2. Performanc Analysis
5.2.1. Detection Performance
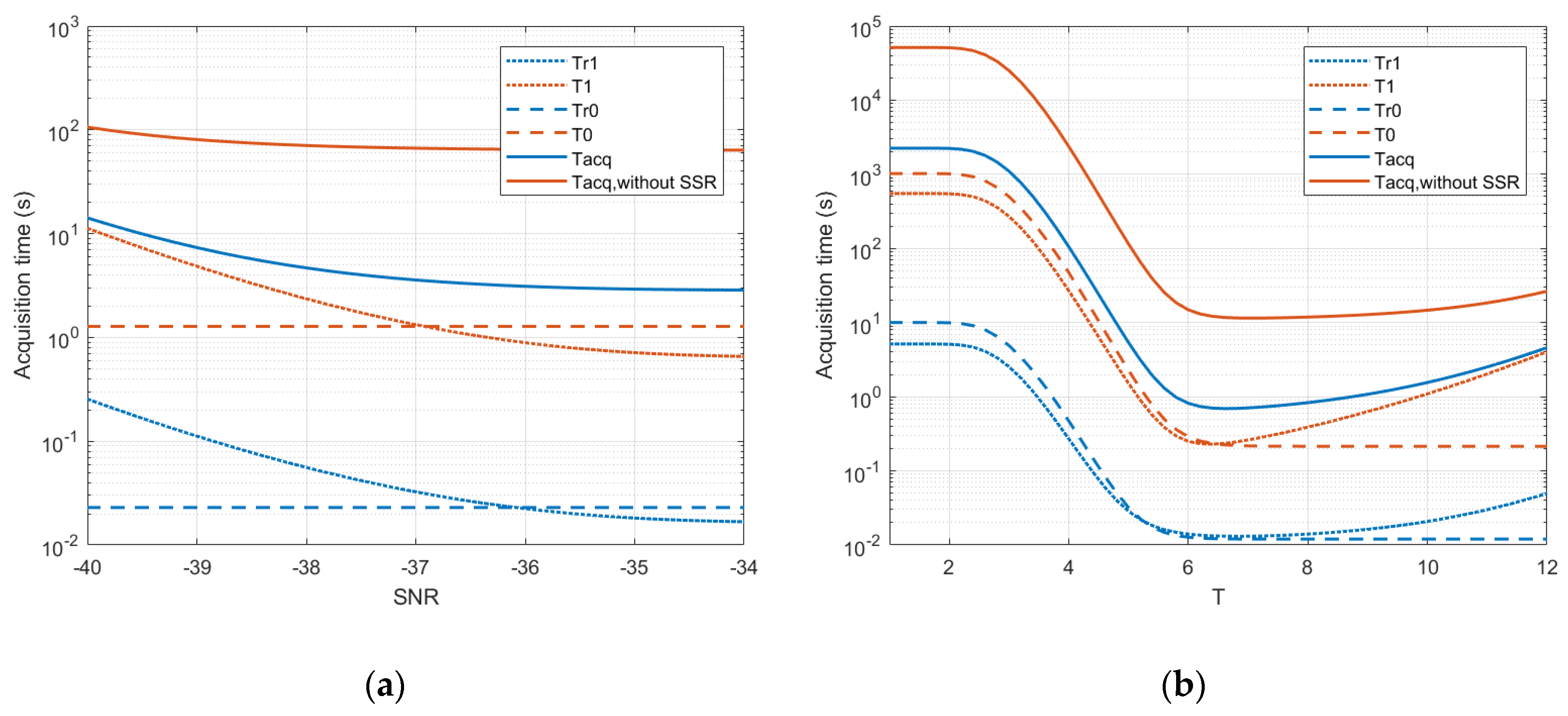
5.2.2. Acquisition Time Analysis
6. Conclusions
Author Contributions
Funding
Conflicts of Interest
References
- Costa, E. Simulation of the Effects of Different Urban Environments on GPS Performance Using Digital Elevation Models and Building Databases. IEEE Trans. Intell. Transp. Syst. 2011, 12, 819–829. [Google Scholar] [CrossRef]
- Lin, T.; Ma, M.; Broumandan, A.; Lachapelle, G. Demonstration of a high sensitivity GNSS software receiver for indoor positioning. Adv. Space Res. 2013, 51, 1035–1045. [Google Scholar] [CrossRef]
- Laoudias, C.; Moreira, A.; Kim, S.; Lee, S.; Wirola, L.; Fischione, C. A Survey of Enabling Technologies for Network Localization, Tracking, and Navigation. IEEE Commun. Surv. Tutor. 2018, 20, 3607–3644. [Google Scholar] [CrossRef]
- Del Peral-Rosado, J.A.; Raulefs, R.; López-Salcedo, J.A.; Seco-Granados, G. Survey of Cellular Mobile Radio Localization Methods: From 1G to 5G. IEEE Commun. Surv. Tutor. 2018, 20, 1124–1148. [Google Scholar] [CrossRef]
- FCC. FCC Wireless 911 Requirements. Available online: https://transition.fcc.gov/pshs/services/911-services/enhanced911/archives/factsheet_requirements_012001.pdf (accessed on 20 May 2019).
- Chen, C.Y.; Wu, W.R. Three-Dimensional Positioning for LTE Systems. IEEE Trans. Veh. Technol. 2017, 66, 3220–3234. [Google Scholar] [CrossRef]
- Cherian, S.S.; Rudrapatna, A.N. LTE Location Technologies and Delivery Solutions. Bell Labs Tech. J. 2013, 18, 175–194. [Google Scholar] [CrossRef]
- Liu, Y.; Shi, X.F.; He, S.B.; Shi, Z.G. Prospective Positioning Architecture and Technologies in 5G Networks. IEEE Netw. 2017, 31, 115–121. [Google Scholar] [CrossRef]
- Mo, J.; Deng, Z.L.; Jia, B.Y.; Jiang, H.J.; Bian, X.M. A Novel FLL-Assisted PLL with Fuzzy Control for TC-OFDM Carrier Signal Tracking. IEEE Access 2018, 6, 52447–52459. [Google Scholar] [CrossRef]
- Deng, Z.L.; Yu, Y.P.; Yuan, X.; Wan, N.; Yang, L. Situation and Development Tendency of Indoor Positioning. China Commun. 2013, 10, 42–55. [Google Scholar] [CrossRef]
- Deng, Z.; Jia, B.; Tang, S.; Fu, X.; Mo, J. Fine Frequency Acquisition Scheme in Weak Signal Environment for a Communication and Navigation Fusion System. Electronics 2019, 8, 829. [Google Scholar] [CrossRef]
- Yuan, X. Research on the Key Technologies of TC-OFDM Indoor Positioning Receiver Baseband Signal Processing. Ph.D. Thesis, BUPT, Beijing, China, 2013. [Google Scholar]
- Oh, H.S.; Han, D.S. An adaptive double-dwell PN code acquisition system in DS-CDMA communications. Signal Process. 2005, 85, 2327–2337. [Google Scholar] [CrossRef]
- Corazza, G.E. On the MAX/TC criterion for code acquisition and its application to DS-SSMA systems. IEEE Trans. Commun. 1996, 44, 1173–1182. [Google Scholar] [CrossRef]
- Wang, K.; Jiang, R.; Li, Y.; Zhang, N. A new algorithm for fine acquisition of GPS carrier frequency. GPS Solut. 2014, 18, 581–592. [Google Scholar] [CrossRef]
- Li, H.; Cui, X.W.; Lu, M.Q.; Feng, Z.M. Dual-Folding Based Rapid Search Method for Long PN-Code Acquisition. IEEE Trans. Wirel. Commun. 2008, 7, 5286–5296. [Google Scholar] [CrossRef]
- Tahir, M.; Lo Presti, L.; Fantino, M. A Novel Acquisition Strategy for Weak GNSS Signals Based on MAP Criterion. IEEE Trans. Aerosp. Electron. Syst. 2014, 50, 1913–1928. [Google Scholar] [CrossRef]
- Benachenhou, K.; Hamadouche, M.; Taleb-Ahmed, A. New formulation of GNSS acquisition with CFAR detection. Int. J. Satell. Commun. Netw. 2017, 35, 215–230. [Google Scholar] [CrossRef]
- Guo, Y.; Huan, H.; Tao, R.; Wang, Y. Weak DSSS signal acquisition with fine Doppler frequency estimation. Electron. Lett. 2017, 54, 79–81. [Google Scholar] [CrossRef]
- Cheng, U.; Hurd, W.J.; Statman, J.I. Spread-spectrum code acquisition in the presence of Doppler shift and data modulation. IEEE Trans. Commun. 1990, 38, 241–250. [Google Scholar] [CrossRef]
- Polydoros, A.; Weber, C. A Unified Approach to Serial Search Spread-Spectrum Code Acquisition—Part I: General Theory. IEEE Trans. Commun. 1984, 32, 542–549. [Google Scholar] [CrossRef]
- Akopian, D. Fast FFT based GPS satellite acquisition methods. IEE Proc.-Radar Sonar Navig. 2005, 152, 277–286. [Google Scholar] [CrossRef]
- Grant, P.M.; Spangenberg, S.M.; Scott, I.; McLaughlin, S.; Povey, G.J.R.; Cruickshank, D.G.M. Doppler estimation for fast acquisition in spread spectrum communication systems. In Proceedings of the 1998 IEEE 5th International Symposium on Spread Spectrum Techniques and Applications—Proceedings. Spread Technology to Africa (Cat. No.98TH8333), Sun City, South Africa, 4 September 1998; Volume 101, pp. 106–110. [Google Scholar]
- Van Diggelen, F. Global Locate Indoor GPS Chipset & Services. In Proceedings of the 14th International Technical Meeting of the Satellite Division of The Institute of Navigation, Salt Lake City, UT, USA, 11–14 September 2001; pp. 1515–1521. [Google Scholar]
- Kong, S.H. A Deterministic Compressed GNSS Acquisition Technique. IEEE Trans. Veh. Technol. 2013, 62, 511–521. [Google Scholar] [CrossRef]
- Kong, S.H.; Kim, B. Two-Dimensional Compressed Correlator for Fast PN Code Acquisition. IEEE Trans. Wirel. Commun. 2013, 12, 5859–5867. [Google Scholar] [CrossRef]
- Kim, B.; Kong, S.H. Determination of Detection Parameters on TDCC Performance. IEEE Trans. Wirel. Commun. 2014, 13, 2422–2431. [Google Scholar] [CrossRef]
- Wang, Z.; Zhuang, Y.; Yang, J.; Zhang, H.F.; Dong, W.; Wang, M.; Hua, L.C.; Liu, B.; Shi, L.X. A Double Dwell High Sensitivity GPS Acquisition Scheme Using Binarized Convolution Neural Network. Sensors 2018, 18, 1482. [Google Scholar] [CrossRef] [PubMed]
- Yeom, S.; Jung, Y.; Lee, S. An Adaptive Threshold Technique for Fast PN Code Acquisition in DS-SS Systems. IEEE Trans. Veh. Technol. 2011, 60, 2870–2875. [Google Scholar] [CrossRef]
- Lu, W.J.; Zhang, Y.B.; Lei, D.Y.; Yu, D.S. Efficient Weak Signals Acquisition Strategy for GNSS Receivers. IEICE Trans. Commun. 2016, 99, 288–295. [Google Scholar] [CrossRef]
- Wang, C.; Deng, Z.; Hu, A.; Zhang, Y.; Zhao, W.; Dong, S. A weak signal acquisition method for indoor passive location on mobile communications. In Proceedings of the 7th China Satellite Navigation Conference, CSNC 2016, Changsha, China, 18–20 May 2016; pp. 397–407. [Google Scholar]
- Mo, J.; Deng, Z.; Jiao, J.; Jiang, S.; Yu, S.; Xu, F. Weak signal acquisition algorithm for indoor positioning receiver. In Proceedings of the 7th China Satellite Navigation Conference, CSNC 2016, Changsha, China, 18–20 May 2016; pp. 549–556. [Google Scholar]
- Borio, D. A Statistical Theory for GNSS Signal Acquisition. Ph.D. Thesis, Polytecnico di Torino, Torino, Italy, 2008. [Google Scholar]


















| Parameters | Value |
|---|---|
| PRN code length | 10,230 |
| Available PRN code number | 64 |
| Code rate | 10.23 MHz |
| Navigation message data rate | 100 bps |
| Code phase search step | 0.5 chip |
| Frequency search space | −3 kHz to 3 kHz |
| Frequency search step in first dwell | 1000 Hz/ |
| Frequency search step in second dwell | 100 Hz/ |
| Block size | 70 |
| Block number | 2046 |
| CIT | 5 ms |
| NCT number | 2 |
| False alarm penalty time | 500 ms |
| Number of Signals Received | Number of Adjacent FSBSs Obtained |
|---|---|
| 4 | 10 |
| 5 | 11 |
| 6 | 12 |
| 7 | 10 |
| Parameters | Value |
|---|---|
| PRN code number | 12 |
| Cell number in one block | 70 |
| Block number | 21 |
© 2020 by the authors. Licensee MDPI, Basel, Switzerland. This article is an open access article distributed under the terms and conditions of the Creative Commons Attribution (CC BY) license (http://creativecommons.org/licenses/by/4.0/).
Share and Cite
Deng, Z.; Jia, B.; Tang, S.; Fu, X. A Fine Fast Acquisition Scheme for a Communication and Navigation Fusion System. Appl. Sci. 2020, 10, 3434. https://doi.org/10.3390/app10103434
Deng Z, Jia B, Tang S, Fu X. A Fine Fast Acquisition Scheme for a Communication and Navigation Fusion System. Applied Sciences. 2020; 10(10):3434. https://doi.org/10.3390/app10103434
Chicago/Turabian StyleDeng, Zhongliang, Buyun Jia, Shihao Tang, and Xiao Fu. 2020. "A Fine Fast Acquisition Scheme for a Communication and Navigation Fusion System" Applied Sciences 10, no. 10: 3434. https://doi.org/10.3390/app10103434
APA StyleDeng, Z., Jia, B., Tang, S., & Fu, X. (2020). A Fine Fast Acquisition Scheme for a Communication and Navigation Fusion System. Applied Sciences, 10(10), 3434. https://doi.org/10.3390/app10103434

