Next Article in Journal
Advanced Automatic Welding System for Offshore Pipeline System with Seam Tracking Function
Previous Article in Journal
Augmented and Virtual Reality Evolution and Future Tendency
 
 
Font Type:
Arial Georgia Verdana
Font Size:
Aa Aa Aa
Line Spacing:
Column Width:
Background:
Article

Thermodynamic and Exergoeconomic Analysis of a Supercritical CO2 Cycle Integrated with a LiBr-H2O Absorption Heat Pump for Combined Heat and Power Generation

School of Energy and Power Engineering, Xi’an Jiaotong University, Xi’an 710049, China
*
Author to whom correspondence should be addressed.
Appl. Sci. 2020, 10(1), 323; https://doi.org/10.3390/app10010323
Submission received: 5 November 2019 / Revised: 24 December 2019 / Accepted: 30 December 2019 / Published: 1 January 2020
(This article belongs to the Section Energy Science and Technology)

Abstract

In this paper, a novel combined heat and power (CHP) system is proposed in which the waste heat from a supercritical CO2 recompression Brayton cycle (sCO2) is recovered by a LiBr-H2O absorption heat pump (AHP). Thermodynamic and exergoeconomic models are established on the basis of the mass, energy, and cost balance equations. The proposed sCO2/LiBr-H2O AHP system is examined and compared with a stand-alone sCO2 system, a sCO2/DH system (sCO2/direct heating system), and a sCO2/ammonia-water AHP system from the viewpoints of energy, exergy, and exergoeconomics. Parametric studies are performed to reveal the influences of decision variables on the performances of these systems, and the particle swarm optimization (PSO) algorithm is utilized to optimize the system performances. Results show that the sCO2/LiBr-H2O AHP system can obtain an improvement of 13.39% in exergy efficiency and a reduction of 8.66% in total product unit cost compared with the stand-alone sCO2 system. In addition, the sCO2/LiBr-H2O AHP system performs better than sCO2/DH system and sCO2/ammonia-water AHP system do, indicating that the LiBr-H2O AHP is a preferable bottoming cycle for heat production. The detailed parametric analysis, optimization, and comparison results may provide some references in the design and operation of sCO2/AHP system to save energy consumption and provide considerable economic benefits.

1. Introduction

In the past few decades, energy crisis and environment problems became serious because of the increasing energy demand and the rapid economic development all over the world. Many efforts have been devoted into developing advanced energy conversion technologies to relieve the current challenging energy situation. For the existing energy sources (such as fossil fuels, solar, biomass, geothermal energy, and nuclear energy) and industrial waste heat sources, various novel energy conversion systems were proposed in place of the conventional ones to improve energy utilization [1]. Among these proposed systems, the supercritical CO2 power cycle (sCO2) is considered to be a promising technology with great potential and competiveness owing to its advantages of a compact structure, environmental friendliness and high efficiency [2,3,4]. The sCO2 power cycle operates above the critical point of CO2 (31.3 °C, 7.39 MPa). Due to the dramatic changes of thermodynamic properties near the critical point, the inlet state of its compressor is always designed just above the critical point so that the compressor work can be reduced significantly. Hence, cooling the CO2 before compression process can be beneficial to the efficiency improvement [5,6,7]. However, a huge amount of heat is inevitably rejected by the cooler during the cooling process. So, it is worthwhile to reuse this low-grade heat energy through waste heat recovery systems to improve the performance of the sCO2 cycle [8,9].
Various waste heat power generation systems were adopted to recover the waste heat of the sCO2 cycle. Chacartegui et al. [10] applied an Organic Rankine Cycle (ORC) to reuse this waste heat for producing electric power, and compared the combined sCO2/ORC system with two stand-alone closed CO2 cycles. They conclu ded that the addition of ORC could improve the thermal efficiency by 7–12%. Akbari and Mahmoudi [11] conducted a thermoeconomic analysis for a combined recompression sCO2/ORC system. Compared to the stand-alone sCO2 cycle, the exergy efficiency increased by up to 11.7% and the total product unit cost decreased by up to 5.7% for the combined sCO2/ORC system. Wang and Dai [12] compared a transcritical CO2 cycle (tCO2) with an ORC as the bottoming cycle for a recompression sCO2 cycle. The sCO2/tCO2 system showed a better performance than the sCO2/ORC system at a lower pressure ratio, while the latter had a slightly lower total product unit cost than the former. Besarati and Goswami [13] chose ORC as the bottoming cycle for a simple sCO2 cycle, a recompression sCO2 cycle, and a partial cooling sCO2 cycle. It was concluded that the recompression sCO2/ORC system presented the maximum combined cycle efficiency. Some researchers also integrated a Kalina cycle with the sCO2 cycle to enhance the overall system performances. Li et al. [14] proposed a combined recompression sCO2/Kalina cycle, and found out that the total product unit cost and exergy efficiency of the combined cycle were 5.5% lower and 8.02% higher than those of the sCO2 cycle. Mahmoudi et al. [15] studied the thermodynamic and economic performances for a stand-alone sCO2 cycle and a combined sCO2/Kalina cycle. Results showed that combining the Kalina cycle with the sCO2 cycle could reduce the exergy destruction significantly.
In addition to the combined power generation systems above, establishing combined power and heat/cooling systems can also enhance the overall performance for the sCO2 cycle. In the combined power and heat/cooling systems, the low-grade waste heat of the topping cycle is transformed into cooling energy or to produce heat in bottoming cycle, which can obtain better gains than transforming high-grade electric energy into low-grade heat/cooling energy because of the lower energy conversion efficiency in the electric power generation process [16]. The absorption refrigeration cycle (ARC) is widely integrated with the sCO2 cycle to provide electric power and cooling energy simultaneously. Wu et al. [17] investigated an combined sCO2 cycle/ammonia-water based ARC. The thermal efficiency, exergy efficiency, and total product unit cost of the combined cycle were 26.12% and 2.73% higher, and 2.03% lower than those of the stand-alone sCO2 cycle, respectively. Li et al. [18] coupled the lithium bromide-water ARC with a recompression sCO2 cycle, and compared it with the recompression sCO2 cycle/ammonia-water ARC. The single-objective optimization results showed that the sCO2/LiBr-H2O ARC system had a better performance than the sCO2/ammonia-water ARC system. Recently, Balafkandeh et al. [19] developed a tri-generation system by using biomass energy based on a sCO2 cycle and a LiBr-H2O ARC. Compared to the sCO2 cycle, the proposed combined cycle presented a large performance improvement in terms of efficiency and environmental impacts.
A number of studies proposed combined heat and power (CHP) systems based on sCO2 cycle to achieve heat and electric power cogeneration. Zhang et al. [20] investigated a solar energy powered sCO2 Rankine cycle, in which the thermal energy of recuperators was recovered by the heating water to provide heat for users directly. Moroz et al. [21] studied several types of sCO2 cycles in a CHP plant, and compared these sCO2 cycles with steam CHP systems. They concluded that the sCO2 cycle should be considered as a base for future CHP plants due to its excellent performances. However, in previous sCO2-based CHP systems, the waste heat of the sCO2 cycle was directly supplied to heat users. The temperature of waste heat is much higher than the heating temperature of heat users, which is inconsistent with the principle of energy cascade utilization. Thus, direct heating is not a high-efficiency method to sufficiently utilize the waste heat of the sCO2 cycle. Compared with the conventional direct heating (DH) systems, the advantage of heat amplification makes absorption heat pump (AHP) a preferable choice that can produce more heat to satisfy the user demand [22], especially when the waste heat of the sCO2 cycle is limited or insufficient for users. However, very limited efforts were devoted to comprehensively analyzing the feasibility of AHP to recover the waste heat of the sCO2 cycle based on the principle of energy cascade utilization. Consequently, the purpose of this study is to propose a combined sCO2/AHP system for high-efficiency heat and power cogeneration, and to compare it with existing systems to present its advantages quantitatively.
On the other side, the most frequently used working fluids for AHP are an ammonia-water solution and a LiBr-H2O solution. Both of them were frequently considered for comparison and discussion [23,24]. The LiBr-H2O AHP has a smaller operational pressure and can be easier to achieve than the ammonia-water AHP. Besides, if the working fluid leaks, the water vapor in LiBr-H2O AHP is much safer than the ammonia vapor in ammonia-water AHP. Therefore, the LiBr-H2O AHP will be the main focus of this study while the ammonia-water AHP will be adopted as a comparison. To the best of the authors’ knowledge, the LiBr-H2O AHP has never been applied as a bottoming cycle to recover the waste heat of the sCO2 cycle. Thus, a combined sCO2/LiBr-H2O AHP system is first proposed in this study as a novel high-efficiency CHP system.
In this study, a preliminary design and analysis of a CHP system is carried out, in which the topping cycle is a sCO2 cycle driven by a nuclear reactor to generate electric power and the bottoming cycle is a LiBr-H2O AHP to recover the waste heat of topping cycle for producing heat. Firstly, the sCO2/LiBr-H2O AHP system is proposed and investigated in terms of energy, exergy, and exergoeconomics. A single sCO2 cycle, a sCO2/DH system, and a sCO2/ammonia-water AHP system are compared with the sCO2/LiBr-H2O AHP system in order to show its advantages. Then, parametric analysis is performed to reveal the influences of several key system parameters, namely the turbine inlet temperature, compressor pressure ratio, generator temperature and evaporator temperature, on the power generation, heating, and overall performances for these systems. Finally, performances of these systems are optimized and then compared by utilizing the particle swarm optimization (PSO) algorithm.

2. System Description and Assumptions

Figure 1a,b depict the schematic diagrams of the proposed sCO2/LiBr-H2O AHP system (supercritical CO2 recompression Brayton cycle/LiBr-H2O absorption heat pump system) and a sCO2/DH system (supercritical CO2 recompression Brayton cycle/direct heating system), respectively. In the sCO2/DH system, a conventional direct heating system is applied to recover the waste heat in the cooler of the sCO2 cycle. The waste heat is supplied to heat users through a direct heat exchanger (DHE). Thus, the sCO2/DH system consists of a turbine, a main compressor (MC), a recompression compressor (RC), a high-temperature recuperator (HTR), a low-temperature recuperator (LTR), a cooler, and a DHE, as shown in Figure 1b.
The following Figure 1 shows the schematic diagrams of combined heat and power systems: (a) the sCO2/AHP system; (b) the sCO2/DH system.
Differently in the sCO2/LiBr-H2O AHP system, a part of the waste heat in the cooler is transferred to a LiBr-H2O based AHP, so that the heat amount can be amplified to produce more heat for users, especially when the waste heat of the sCO2 cycle is insufficient to satisfy the demand. The AHP includes a generator, an absorber, an evaporator, a condenser, a pump, and a solution heat exchanger (SHE), as shown in Figure 1a.
As both LiBr-H2O solution and ammonia-water solution are frequently utilized as working fluids, a sCO2/ammonia-water AHP system is established in which an ammonia-water AHP is coupled with the sCO2 cycle, so as to conduct a comparative study with the proposed sCO2/LiBr-H2O AHP system. As the structure and main components are the same for both combined systems, Figure 1a also describes the sCO2/ammonia-water AHP system.
Figure 1. Schematic diagrams of combined heat and power systems: (a) sCO2/AHP system; (b) sCO2/DH system.
Figure 1. Schematic diagrams of combined heat and power systems: (a) sCO2/AHP system; (b) sCO2/DH system.
Applsci 10 00323 g001aApplsci 10 00323 g001b

2.1. Working Process of the sCO2/AHP System

As can be seen in Figure 1a, the sCO2/AHP system consists of four parts. The working process for each part is introduced below,
  • sCO2 topping cycle
    (a)
    The CO2 working fluid (stream 4) absorbs heat from the reactor (stream 5) and expands in a turbine to drive an electric generator;
    (b)
    After expansion, the vapor exhaust (stream 6) flows into the HTR to heat stream 3, and then the outlet working fluid (stream 7) flows into the LTR to heat stream 2;
    (c)
    The working fluid after releasing heat (stream 8) is split into 8a and 8b;
    (d)
    The stream 8a releases a part of heat to drive the AHP bottoming cycle, and then (stream 9) flows into the DHE (stream 10) and the cooler before compression (stream 1) in the main compressor and afterwards (stream 2) flows into the LTR to be heated (stream 3a);
    (e)
    The stream 8b is compressed directly to stream 3b;
    (f)
    The compressed stream 3a and stream 3b are mixed to stream 3 and then heated to stream 4 before moving into the reactor.
  • AHP bottoming cycle
    (a)
    The diluted solution A3 (or ammonia-rich solution) absorbs heat in the SHE to state A4, and then is heated by stream 8a in the generator and separated into a strong solution A7 (or ammonia-poor solution) and a vapor stream A8;
    (b)
    The stream A8 is cooled to the saturated liquid (stream A9) in the condenser, throttled by the valve 1, and then heated to saturated vapor (stream A1) in the evaporator. It is noted that the heat release in the condenser is applied to reheat the heating water;
    (c)
    The strong solution A7 (or ammonia-poor solution) releases heat in the SHE and decompresses through the valve 2 to a low-pressure solution A5;
    (d)
    The strong solution A5 (or ammonia-poor solution) absorbs the vapor A1 in the absorber. The merged diluted solution (or ammonia-rich solution) is cooled by the heating water, and pressured by the pump to the high-pressure solution A3.
  • Heating water cycle
    (a)
    The low-temperature heating water from heat users is divided into stream H1 and stream H4;
    (b)
    The stream H1 obtains heat from the absorber and the condenser of AHP to state H3;
    (c)
    The stream H4 is heated by the CO2 working fluid (stream 9) to state H5, then mixed with stream H3 to the high-temperature heating water H6, and finally supplied to heat users.
  • Cooling water cycle
The cooling water (stream 11) absorbs heat in the cooler (stream 12), and then a part of it (stream 13) flows into the evaporator to heat the working fluid of AHP and finally back to the cooling tower, while another part of cooling water flows back directly to the cooling tower.

2.2. Working Process of the sCO2/DH System

The working process of the sCO2 cycle in the sCO2/DH system is same as that in Section 2.1. The only difference is that the stream 8a in Figure 1b releases heat only in the DHE, and all the heat release before the cooler is supplied to the heat users directly through the DHE.

2.3. Assumptions

The main assumptions for this study are listed as below,
(a)
The systems are assumed to operate at a steady state, and the off-design performance or dynamic performance is not considered in this study;
(b)
The variation of kinetic and potential energy is neglected;
(c)
The pressure losses and heat losses of pipes and heat exchangers are neglected [25];
(d)
Isentropic efficiencies are assumed for the turbine, pump and compressors [26];
(e)
The liquid working fluid exiting the condenser (stream A9) and the generator (stream A7) is saturated liquid, while a subcooled degree of 3K is assumed at the outlet of absorber (stream A2) [27];
(f)
Vapor exiting the generator is assumed to be pure ammonia for the sCO2/ammonia-water AHP system [27,28];
(g)
A temperature difference or an effectiveness is assumed in each heat exchanger [26].

3. System Modelings

3.1. Thermodynamic Model

The thermodynamic model for the combined cycle is developed according to the mass and energy balance equations of each component.
Thermodynamic relations and the effectiveness for HTR and LTR are expressed as Equations (1)–(4),
h 6 h 7 = h 4 h 3
( h 3 h 2 ) ( 1 x ) = h 7 h 8
ε H T R = T 6 T 7 T 6 T 3
ε L T R = T 7 T 8 T 7 T 2
where x is the mass separation ratio of stream 3b to stream 3, and εHTR and εLTR are the effectiveness of HTR and LTR, respectively.
For turbine, main compressor and recompression compressor, the isentropic efficiencies are calculated with Equation (5)–(7),
η tur = h 5 h 6 h 5 h 6 s
η mcom = h 2 s h 1 h 2 h 1
η rcom = h 3 s h 8 h 3 h 8
where ηtur, ηmcom, and ηrcom are the isentropic efficiencies for the turbine, main compressor, and recompression compressor, respectively.
The thermodynamic relation for the cooler is calculated using Equation (8),
( 1 x ) m CO 2 ( h 10 h 1 ) = m c w 1 ( h 12 h 11 )
where mCO2 and mcw1 are the mass flow rates of CO2 and the cooling water of the cooler, respectively.
The power output of the turbine and the consumptions of two compressors can be derived as Equations (9)–(11),
W tur = m CO 2 ( h 5 h 6 )
W mcom = ( 1 x ) m CO 2 ( h 2 h 1 )
W rcom = x m CO 2 ( h 3 h 8 ) .
For the sCO2/AHP system, the energy conservation equation of DHE is Equation (12),
Q DHE = ( 1 x ) m CO 2 ( h 9 h 10 ) = m h w 1 ( h H 5 h H 4 )
while that for the sCO2/DH system is Equation (13),
Q DHE = ( 1 x ) m CO 2 ( h 8 h 10 ) = m h w 1 ( h H 6 h H 4 )
where m h w 1 is the mass flow rate of the heating water flowing through the DHE. QDHE is the heat absorption of DHE from the topping cycle.
In the sCO2/AHP system, the conservation equations for the AHP are expressed as follows. The thermodynamic relation for the generator is Equation (14),
Q Gen = ( 1 x ) m CO 2 ( h 8 h 9 ) = m A 7 h A 7 + m A 8 h A 8 m A 4 h A 4
where QGen is the heat absorption amount of generator from the topping cycle.
Assuming y as the concentration of LiBr or ammonia in the water, the concentration balance equation is obtained as Equation (15),
m A 4 y A 4 = m A 7 y A 7 + m A 8 y A 8 .
The conservation equations for the condenser, evaporator, and absorber are obtained as Equations (16)–(18),
Q Cond = m A 8 h A 8 m A 9 h A 9 = m h w 2 ( h H 3 h H 2 )
Q Eva = m A 1 h A 1 m A 10 h A 10 = m c w 2 ( h 13 h 14 )
Q Abs = m A 1 h A 1 + m A 5 h A 5 m A 2 h A 2 = m h w 2 ( h H 2 h H 1 )
where mhw2 is the mass flow rate of the heating water flowing through the AHP.
The conservation equation for SHE is obtained as Equation (19),
m A 4 h A 4 m A 3 h A 3 = m A 7 h A 7 m A 6 h A 6 .
For the pump, the isentropic efficiency and power consumption are defined according Equations (20) and (21),
η pump = h A 3 s h A 2 h A 3 h A 2
W pump = m A 3 h A 3 m A 2 h A 2 .
The net output power of the combined cycle can be calculated as Equation (22),
W net = W tur W rcom W mcom W pump .
The heat amount supplied to the heat users, Qh,users, and the heat absorption from the topping cycle for the purpose of heating, Qh,absorb were then defined for both combined systems. For the sCO2/DH system, they are expressed as Equations (23) and (24),
Q h , u s e r s = m h w 1 ( h H 6 h H 4 )
Q h , a b s o r b = ( 1 x ) m CO 2 ( h 8 h 10 ) .
For the sCO2/AHP system, they are expressed as Equations (25) and (26),
Q h , u s e r s = ( m h w 1 + m h w 2 ) ( h H 6 h H 1 )
Q h , a b s o r b = Q Gen + ( 1 x ) m CO 2 ( h 9 h 10 ) .
Ignoring the variations in kinetic and potential exergies, the exergy of a stream consists of two parts, namely the chemical and physical exergy, as Equation (27),
E = E ph + E ch .
The physical exergy can be calculated with Equation (28),
E ph = m [ ( h h 0 ) T 0 ( s s 0 ) ] .
For the ammonia water in AHP, the chemical exergy can be determined with Equation (29) [29,30],
E ph = m [ ( y M NH 3 ) e ch , NH 3 0 + ( 1 y M H 2 O ) e ch , H 2 O 0 ]
where e ch , NH 3 0 and e ch , H 2 O 0 are the standard chemical exergies of ammonia and water, respectively. For the LiBr-H2O solution, the chemical exergy can be calculated according to reference [31].
Then, the exergy balance equation for each component in the combined systems can be obtained, as shown in Table 1. On this basis, the total exergy destruction of the combined system is expressed as Equation (30),
I total = I components .
The following Table 1 shows the exergy balance equations for sCO2/AHP system and sCO2/DH system.
Table 1. Exergy balance equations for the sCO2/AHP system and sCO2/DH system.
Table 1. Exergy balance equations for the sCO2/AHP system and sCO2/DH system.
System ComponentssCO2/AHP SystemsCO2/DH System
reactor E core + E 4 = E 5 +   I core E core + E 4 = E 5 +   I core
sCO2 turbine E 5 = E 6 + W tur +   I tur E 5 = E 6 + W tur +   I tur
HTR E 3 + E 6 = E 4 + E 7 +   I HTR E 3 + E 6 = E 4 + E 7 +   I HTR
LTR E 2 + E 7 = E 3 a +   E 8 +   I LTR E 2 + E 7 = E 3 a +   E 8 +   I LTR
main compressor E 1 + W mcom = E 2 +   I mcom E 1 + W mcom = E 2 +   I mcom
recompression compressor E 8 b + W rcom = E 3 b +   I rcom E 8 b + W rcom = E 3 b +   I rcom
cooler E 10 = E 1 +   I cooler E 10 = E 1 +   I cooler
DHE E 9 + E H 4 = E 10 + E H 5   +   I DHE E 8 a + E H 4 = E 10 + E H 6   +   I DHE
generator E 8 a + E A 4 = E 9 + E A 7 +   E A 8   +   I Gen /
absorber E A 1 + E A 5 + E H 1 = E A 2 + E H 2 +   I Abs /
SHE E A 3 + E A 7 = E A 4 + E A 6 + I SHE /
condenser E A 8 + E H 2 = E A 9 + E H 3 +   I Cond /
Evaporator E A 10 + E 13 = E A 1 + E 14 +   I Eva /
Pump E A 2 + W pump = E A 3 +   I pump /
Valve1 E A 9 = E A 10 +   I Valve 1 /
Valve2 E A 6 = E A 5 +   I Valve 2 /

3.2. Exergoeconomic Model

On the basis of the mass, energy and exergy balances above, the exergoeconomic analysis can be conducted to obtain the cost per unit exergy of product streams and to assess the combined systems. Firstly, all energy and exergy values should be determined, which has been achieved in the above section. Then, the fuel-production definition for the energy conversion system should be determined. For the sCO2/AHP system and sCO2/DH system in this study, the definitions are shown in Table 2. Finally, the cost balance equations can be constructed for all components. For the kth system component, the cost balance can be expressed with Equations (31)–(34) [32,33],
C ˙ o u t , k + C ˙ w , k = C ˙ i n , k + C ˙ q , k + Z ˙ k
in which,
C ˙ = c E
C ˙ q , k = c q , k E q , k
C ˙ w , k = c w , k W
where C ˙ is the cost rate of the stream, while C ˙ q and C ˙ w are the cost rate of the heat transfer and power, respectively. Z ˙ k represents the total cost rate of capital investment, operation and maintenance, which can be obtained as Equation (35),
Z ˙ k = Z ˙ k CI + Z ˙ k OM .
where Z ˙ k CI denotes the annual levelized capital investment and Z ˙ k OM denotes the annual levelized operation and maintenance cost. They can be obtained with Equations (36) and (37) [32],
Z ˙ k OM = γ k Z k / τ
Z ˙ k CI = ( C R F τ ) Z k
where CRF, τ and γ represent the capital recovery factor, operating hours, and the maintenance factor, respectively. CRF is relative to the bank interest rate, which can be expressed as Equation (38),
C R F = i r ( 1 + i r ) n ( 1 + i r ) n 1
where ir is the interest rate, and n is the number of operation years. The values of ir, n, τ, γ, and the expression of cost function Zk for each component in this study are listed in Table 3.
The following Table 2 shows the fuel-product definitions for the combined systems.
Table 2. Fuel-product definitions for the combined systems.
Table 2. Fuel-product definitions for the combined systems.
ComponentssCO2/AHP SystemsCO2/DH System
Fuel ExergyProduct ExergyFuel ExergyProduct Exergy
Reactor E 4 + E in E 5 E 4 + E in E 5
sCO2 turbine E 5 E 6 W tur E 5 E 6 W tur
HTR E 6 E 7 E 4 E 3 E 6 E 7 E 4 E 3
LTR E 7 E 8 E 3 a E 2 E 7 E 8 E 3 a E 2
Main compressor W mcom E 2 E 1 W mcom E 2 E 1
Recompression compressor W rcom E 3 b E 8 b W rcom E 3 b E 8 b
Cooler E 10 E 1 E 12 E 11 E 10 E 1 E 12 E 11
DHE E 9 E 10 E H 5 E H 4 E 8 a E 10 E H 6 E H 4
Generator E 8 a E 9 E A 7 + E A 8 E A 4 //
Absorber E A 1 + E A 5 E A 2 E H 2 E H 1 //
Condenser E A 8 E A 9 E H 3 E H 2 //
Evaporator E 13 E 14 E A 1 E A 10 //
SHX E A 7 E A 6 E A 4 E A 3 //
Pump W pump E A 3 E A 2 //
Valve1 E A 9 E A 10 //
Valve2 E A 6 E A 5 //
Table 3 shows the cost functions of the system components.
Table 3. Cost functions of the system components [11,32,34].
Table 3. Cost functions of the system components [11,32,34].
ComponentEconomic Parameters
Number of operation year (n)20
Annual operation hours (τ)8000
Interest rate (ir)0.12
Maintenance factor (γ)0.06
Reactor Z core = C 1 * Q core ,   C 1 = 283 $ / kW th
sCO2 turbine Z tur = 479.34 × m in ( 1 0.93 η tur ) × ln ( P R c ) × ( 1 + e ( 0.036 T in 54.4 ) )
Compressor Z mcom & rcom = 71.1 × m in ( 1 0.92 η mcom & rcom ) × P R c × ln ( P R c )
HTR, LTR, Cooler, DHE Z k = 30 × M ass k
Generator, Absorber, SHE, Condenser, Evaporator Z k = Z ref ( A k A ref ) 0.6
Pump Z pump = 1120 × W pump 0.8
The mass and areas of heat exchangers in Table 3 are determined based on the heat exchanger design according to the mathematical models of different heat exchanger types. Compared to the conventional shell-and-tube heat exchanger, the Print Circuit Heat Exchanger (PCHE) shows higher heat transfer performances with a larger operation range (up to 980 °C and 96.5 MPa), which has been widely suggested and evaluated in previous studies [35,36,37]. Thus, PCHE is chosen as the heat exchangers (HTR, LTR, DHE, and cooler) in the SCO2 topping cycle. Corresponding mathematical models for PCHE are established according some typical investigations [38,39], as listed in Table 4. Unlike in the SCO2 topping cycle, the pressure and temperature in the AHP bottoming cycle are much lower, so that traditional high-efficiency heat exchangers are adopted in AHP for the generator, absorber, condenser, evaporator, and SHE. Table 4 describes the heat exchanger types and corresponding mathematical models for AHP cycles with both LiBr-H2O solution and ammonia water. With these mathematical models, the heat exchange areas for all heat exchangers are calculated by using the enhanced logarithmic mean temperature difference method [40].
The following Table 4 shows the mathematical models for heat exchangers.
Table 4. Mathematical models for heat exchangers.
Table 4. Mathematical models for heat exchangers.
ComponentsTypesFluidsMathematical Models
HTR, LTR, DHE, coolerPCHECO2Gnielinski expression a
GeneratorNucleate pool boiling heat exchangerCO2Gnielinski expression a
LiBr-H2OJakob and Hawkin expression b
Ammonia waterTáboas’s correlation c
EvaporatorHorizontal falling film heat exchangerCooling waterPetukhov-Popov expression d
Water (H2O)Wilke’s correlation e
AmmoniaLee expression f
CondenserHorizontal tubes heat exchangerHeating waterPetukhov-Popov expression d
VaporNusselt expression g
AbsorberHorizontal falling film heat exchangerLiBr-H2OWilke’s correlation e
Ammonia waterLee expression f
Heating waterPetukhov-Popov expression d
SHEAnnular heat exchangerAmmonia water or LiBr-H2OGnielinski expression a
a Gnielinski expression [38]; b Jakob and Hawkin expression [41]; c Táboas’s correlation [42]; d Petukhov-Popov expression [43]; e Wilke’s correlation [44]; f Lee expression [45]; g Nusselt expression [46].
Finally, Table 5 lists the cost balance equations for sCO2/AHP system and sCO2/DH system with auxiliary equations. The cost rate of cooling water is assumed to be zero as it is generally regarded as a free resource. The electric power consumed by the pump in the AHP is assumed to come from the power production of the turbine. In addition, the capital investment cost at the present year is obtained according to the cost indices, namely the Chemical Engineering Plant Cost Index (CEPCI). The cost at present year can be obtained with Equation (39) [32],
Cos t   at   present   year = Original   cos t   ×   Cos t   index   for   present   year Cos t   index   for   original   year .
The Gauss-Seidel method is utilized to solve the linear system of equations in the Table 5 for two combined systems. After the solution, the cost rates for all exergy streams can be obtained.
Table 5 shows the cost balance equations and auxiliary equations for the combined systems.
Table 5. Cost balance equations and auxiliary equations for the combined systems.
Table 5. Cost balance equations and auxiliary equations for the combined systems.
ComponentssCO2/DH SystemsCO2/AHP System
Reactor C ˙ 5 = C ˙ 4 + Z ˙ reactor + C ˙ fuel C ˙ 5 = C ˙ 4 + Z ˙ reactor + C ˙ fuel
sCO2 turbine C ˙ 6 + C ˙ W tur = C ˙ 5 + Z ˙ tur C ˙ 6 + C ˙ W tur = C ˙ 5 + Z ˙ tur
C ˙ 5 E 5 = C ˙ 6 E 6 C ˙ 5 E 5 = C ˙ 6 E 6
HTR C ˙ 4 + C ˙ 7 = C ˙ 3 + C ˙ 6 + Z ˙ HTR C ˙ 4 + C ˙ 7 = C ˙ 3 + C ˙ 6 + Z ˙ HTR
C ˙ 6 E 6 = C ˙ 7 E 7 , C ˙ 3 = C ˙ 3 a + C ˙ 3 b C ˙ 6 E 6 = C ˙ 7 E 7 , C ˙ 3 = C ˙ 3 a + C ˙ 3 b
LTR C ˙ 8 + C ˙ 3 a = C ˙ 2 + C ˙ 7 + Z ˙ LTR C ˙ 8 + C ˙ 3 a = C ˙ 2 + C ˙ 7 + Z ˙ LTR
C ˙ 7 E 7 = C ˙ 8 E 8 , C ˙ 8 a = C ˙ 8 ( 1 x ) C ˙ 7 E 7 = C ˙ 8 E 8 , C ˙ 8 a = C ˙ 8 ( 1 x )
Main compressor C ˙ 2 = C ˙ 1 + C ˙ W mcom + Z ˙ mcom C ˙ 2 = C ˙ 1 + C ˙ W mcom + Z ˙ mcom
C ˙ W mcom W mcom = C ˙ W tur W tur C ˙ W mcom W mcom = C ˙ W tur W tur
Recompression compressor C ˙ 3 b = C ˙ 8 b + C ˙ W rcom + Z ˙ rcom C ˙ 3 b = C ˙ 8 b + C ˙ W rcom + Z ˙ rcom
C ˙ W rcom W rcom = C ˙ W tur W tur , C ˙ 8 b = x C ˙ 8 C ˙ W rcom W rcom = C ˙ W tur W tur , C ˙ 8 b = x C ˙ 8
DHE C ˙ 10 + C ˙ H 6 = C ˙ 8 a + C ˙ H 4 + Z ˙ DHE C ˙ 10 + C ˙ H 5 = C ˙ 9 + C ˙ H 4 + Z ˙ DHE
C ˙ 8 a E 8 a = C ˙ 10 E 10 C ˙ 9 E 9 = C ˙ 10 E 10 , C ˙ H 6 = C ˙ H 5 + C ˙ H 3
Cooler C ˙ 1 + C ˙ 12 = C ˙ 10 + C ˙ 11 + Z ˙ cooler C ˙ 1 + C ˙ 12 = C ˙ 10 + C ˙ 11 + Z ˙ cooler
C ˙ 11 = 0 , C ˙ 12 = 0 C ˙ 11 = 0 , C ˙ 12 = 0
Generator/ C ˙ A 7 + C ˙ A 8 + C ˙ 9 = C ˙ A 4 + C ˙ 8 a + Z ˙ Gen
C ˙ 8 a E 8 a = C ˙ 9 E 9 , C ˙ A 7 C ˙ A 4 E A 7 E A 4 = C ˙ A 8 C ˙ A 4 E A 8 E A 4
Condenser/ C ˙ A 9 + C ˙ H 3 = C ˙ A 8 + C ˙ H 2 + Z ˙ Cond
C ˙ A 8 E A 8 = C ˙ A 9 E A 9
Evaporator/ C ˙ A 1 + C ˙ 14 = C ˙ A 10 + C ˙ 13 + Z ˙ Eva
C ˙ 13 = 0 , C ˙ 14 = 0
Absorber/ C ˙ A 2 + C ˙ H 2 = C ˙ A 1 + C ˙ A 5 + C ˙ H 1 + Z ˙ Abs
C ˙ A 1 + C ˙ A 5 E A 1 + E A 5 = C ˙ A 2 E A 2 , C ˙ H 1 E H 1 = C ˙ H 4 E H 4
SHE/ C ˙ A 4 + C ˙ A 6 = C ˙ A 3 + C ˙ A 7 + Z ˙ SHE
C ˙ A 6 E A 6 = C ˙ A 7 E A 7
Pump/ C ˙ A 3 = C ˙ A 2 + C ˙ W pump + Z ˙ pump
C ˙ W pump W pump = C ˙ W tur W tur

3.3. Performance Evaluation

In order to evaluate the performances of the proposed sCO2/AHP system and the sCO2/DH system, several criterions are considered in this study, including the coefficient of power performance (COPP), coefficient of heat performance (COHP), overall system exergy efficiency (ηex) and total product unit cost (ctotal). The COPP and COHP represent the electric power generation and heat production capacity, respectively, which are defined according to Equations (40) and (41) [18,47],
C O P P = W n e t Q c o r e
C O H P = Q h , u s e r s Q h , a b s o r b
where Qh,users is the heat amount supplied to the heat users, while Qh,absorb is the heat absorption from the topping cycle for the purpose of heating. The definitions of Qh,users and Qh,absorb can be found in Equations (23)–(26).
The exergy efficiency ηex can be defined by Equations (42)–(44) [32,47],
η e x = W n e t + E h , u s e r s E c o r e .
Eh,users is the exergy that heat users obtain from the DHE and AHP. For the sCO2/DH system,
E h , u s e r s = E H 6 E H 4
while for the sCO2/AHP system,
E h , u s e r s = E H 6 E H 4 E H 1 .
The total product unit cost ctotal presents the system performance in terms of economics, which is determined by Equation (45) [32],
c t o t a l = i = 1 n k Z ˙ k + i = 1 n f c f i E f i i = 1 n p E p i
where Efi and Epi are the exergy flow rate of the fuel and the product, respectively. nk, nf, and np represent the number of components, fuel components, and product components.

4. Model Verifications

In this section, model verifications are conducted to ensure the reliability and accuracy of the thermodynamic models for the following performance evaluation and analysis. The results of present model are compared to the reported data in published studies under the same conditions. As the overall system proposed in this study contains two parts: a recompression sCO2 topping cycle and an AHP bottoming cycle, both of them should be validated. In addition, the verification of the AHP bottoming cycle is carried out for both LiBr-H2O solution and ammonia water.
By using the software Matlab, the thermodynamic and exergoeconomic simulation platform is constructed according to the mass, energy, and cost balance equations in Section 3 to simulate the system performances under different conditions. Besides, the software REFPROP NIST is combined with Matlab to evaluate the physical and thermodynamic properties of CO2, water, ammonia, and ammonia-water solution, but those of the LiBr-H2O solution are not included. Therefore, according to Pátek and Klomfar [48], a set of empirical formulas are utilized to calculate the pressure, enthalpy, entropy, density, and isobaric heat capacity of LiBr-H2O solution in the temperature range of 273–500 K and the concentration range of 0–75 wt%. As the crystallization of LiBr-H2O solution should be avoided during the system operation, the solubility curve of pure LiBr in water by Boryta [49] is utilized to examine whether the crystallization occurs for all LiBr-H2O streams. These formulas and methods cover the application range of LiBr-H2O solution in this study and provide a solid foundation for the following analysis.

4.1. Verification of Recompression sCO2 Cycle Model

The first verification is conducted by comparing the results of the recompression sCO2 cycle with the reported data by Sarkar and Bhattacharyya [6] under the same conditions to validate the sCO2 topping cycle model, as shown in Table 6. Clearly, the simulated results of the present model show an excellent agreement with the published results. Thus, the developed thermodynamic model for the sCO2 cycle is accurate and reliable enough to be applied for the following investigation and analysis.
Table 6 shows the comparison between the simulated results and the published data for the sCO2 cycle.
Table 6. Comparison between the simulated results and the published data for the sCO2 cycle.
Table 6. Comparison between the simulated results and the published data for the sCO2 cycle.
Parametersxηth
Tmin (°C)Tmax (°C)Pmax (MPa)PRcPresentPublishedPresentPublished
32550202.640.33320.33441.1841.18
32550303.860.35460.35543.3243.32
32750202.650.22120.22346.0746.07
32750303.940.28090.28149.8449.83
50550202.400.18420.18436.7136.71
50550302.800.25330.25438.9438.93
50750202.880.09620.10943.5043.50
50750303.080.17450.17545.2845.28

4.2. Verification of LiBr-H2O AHP Model

Then the AHP model using LiBr-H2O solution is examined. Cheng and Shih [47] conducted a detailed thermodynamic analysis for a LiBr-H2O AHP and reported the main thermodynamic state points, as listed in Table 7. By setting the same thermodynamic conditions with those in Reference [47], the simulated results are obtained based on the present AHP model, and also listed in Table 7 for comparison. In addition, the calculated COHP is 1.695 here while the reported COHP is 1.69. Obviously, the results of present model match reasonably with the published data, which proves the accuracy of the LiBr-H2O AHP model in this study.
The following Table 7 shows the comparison between the simulated results and the published data for LiBr-H2O AHP.
Table 7. Comparison between the simulated results and the published data for LiBr-H2O AHP.
Table 7. Comparison between the simulated results and the published data for LiBr-H2O AHP.
State PointsT (°C)h (kJ/kg)
PresentPublishedPresentPublished
A7164.85162.75369.49365.80
A4142.63140.76313.86310.30
A291.9992.94216.03217.87
A6106.75106.90280.22265.63
A8160.52162.752798.072797.36
A151.8551.852594.552595.19
A996.8596.85405.88404.90

4.3. Verification of Ammonia-Water AHP Model

Finally, the ammonia-water AHP model is validated by using the reported results in Wang and Ferreira’s work [50]. The same assumptions and conditions are adopted in the simulation platform: (1) The temperatures of generator, condenser, absorber and evaporator are set to be 120 °C, 45 °C, 45 °C, and 10 °C; (2) The minimum temperature approach of SHE is set to be 5 K; (3) The solution leaving the absorber is assumed to have a subcooling of 3 K. Then, the comparison is shown in Table 8, which indicates a high agreement between two groups of results.
Table 8 shows the comparison between the simulated results and the published data for ammonia-water based AHP.
Table 8. Comparison between the simulated results and the published data for ammonia-water based AHP.
Table 8. Comparison between the simulated results and the published data for ammonia-water based AHP.
ParametersPresent ResultsPublished Results
yA20.4810.481
yA70.3350.335
qA40.0230.024
circulation ratio4.5544.555
COHP1.6151.612

5. Results and Discussions

In this section, the energy, exergy, and economic performances of the proposed sCO2/LiBr-H2O AHP system are analyzed. Performance comparisons are conducted between the sCO2/LiBr-H2O AHP system with a single sCO2 system, a sCO2/DH system, and a sCO2/ammonia-water AHP system. Parametric studies are carried out to find out the influences of some key parameters on the system performance indicators, including COPP, COHP, ηex, and ctotal, as defined in Section 3.3. Then, the particle swarm optimization (PSO) algorithm is adopted to obtain the system optimal operation conditions.
The main input parameters and assumptions are listed in Table 9. By using these input conditions, the parameters of system state points are calculated and summarized in Table 10, Table 11 and Table 12 for the sCO2/LiBr-H2O AHP system, sCO2/ammonia-water AHP system and sCO2/DH system, respectively.
The following Table 9 shows the main input conditions for the simulation.
Table 9. The main input conditions for the simulation.
Table 9. The main input conditions for the simulation.
ItemsValues
T0 (°C)25
P0 (MPa)0.101325
Qcore (MW)600 a
Tcore (°C)800 a
T1 (°C)35 a
P1 (MPa)7.4 a
ηmcom & ηrcom0.85 b
ηtur0.86 c
ηpump0.75 d
εHTR & εLTR0.86 b
ΔTDHE,end (°C)5 d
ΔTSHE,end (°C)5 d
TH6 (°C)60 e
TH1 (°C)45 e
Puser (MPa)1.0 e
Fuel cost ($/MWh)7.4 a
a Reference [11]; b reference [51]; c reference [52]; d reference [50]; e reference [53].
Table 10 shows the thermodynamic properties and costs of exergy streams for the sCO2/LiBr-H2O AHP system.
Table 10. Thermodynamic properties and costs of exergy streams for the sCO2/LiBr-H2O AHP system.
Table 10. Thermodynamic properties and costs of exergy streams for the sCO2/LiBr-H2O AHP system.
State PointsTPhsmephech C ˙ c
(°C)(MPa)(kJ/kg)(kJ/(kg·K))(kg/s)(kJ/kg)(kJ/kg)($/h)($/GJ)
135.007.40402.401.6632309.66216.60/26,077.6514.480
2110.0620.72444.871.6802309.66254.09/33,328.1115.775
3245.4320.72656.602.1593099.68322.95/57,628.0415.991
4393.0220.72841.062.4733099.68413.97/73,239.2315.855
5550.0020.721034.632.7343099.68529.77/84,301.1714.260
6433.117.40906.742.7633099.68392.97/62,533.5214.260
7271.717.40722.282.4673099.68296.85/47,237.3914.260
8132.697.40564.632.1333099.68238.91/38,017.7914.260
9106.607.40532.822.0522309.66231.26/27,421.4714.260
1050.007.40447.381.8062309.66218.94/25,959.8214.260
1125.000.1013104.920.3672485.380.00/0.000.000
1235.000.1013146.720.5052485.380.69/0.000.000
1335.000.1013146.720.5052287.100.69/0.000.000
1429.000.1013121.640.4232287.100.11/0.000.000
A126.000.00342548.328.53524.748.06478.83477.8211.017
A255.000.0034119.310.353157.072.92490.903252.4211.648
A355.000.0158119.310.353157.072.92490.903252.7111.649
A491.600.0158197.370.578157.0713.76509.193462.5311.710
A560.000.0034190.790.387132.323.41628.813535.4211.739
A660.000.0158190.790.386132.323.42628.813535.4211.739
A7110.000.0158283.450.646132.3218.84649.173735.4911.739
A8110.000.01582705.908.28824.74239.39478.83653.8610.221
A955.000.0158230.260.76824.745.83478.83441.2310.221
A1026.000.0034230.260.78724.740.31478.83441.2310.338
H145.001.00189.300.6383329.793.58/0.000.000
H250.001.00210.190.7033329.795.05/803.8013.280
H354.401.00228.590.7603329.796.59/1030.0513.045
H445.001.00189.300.6381903.603.58/0.000.000
H569.791.00292.970.9521903.6013.70/1726.1818.385
H660.001.00252.000.8315233.398.87/2756.2316.495
Table 11 shows the thermodynamic properties and costs of exergy streams for the sCO2/ammonia-water AHP system.
Table 11. Thermodynamic properties and costs of exergy streams for the sCO2/ammonia-water AHP system.
Table 11. Thermodynamic properties and costs of exergy streams for the sCO2/ammonia-water AHP system.
State PointsTPhsmephech C ˙ c
(°C)(MPa)(kJ/kg)(kJ/(kg·K))(kg/s)(kJ/kg)(kJ/kg)($/h)($/GJ)
135.007.40402.401.6632309.66216.60/26,077.6514.480
2110.0620.72444.871.6802309.66254.09/33,328.1115.775
3245.4320.72656.602.1593099.68322.95/57,628.0415.991
4393.0220.72841.062.4733099.68413.97/73,239.2315.855
5550.0020.721034.632.7343099.68529.77/84,301.1714.260
6433.117.40906.742.7633099.68392.97/62,533.5214.260
7271.717.40722.282.4673099.68296.85/47,237.3914.260
8132.697.40564.632.1333099.68238.91/38,017.7914.260
9108.267.40534.912.0572309.66231.72/27,475.0314.260
1050.007.40447.381.8062309.66218.94/25,959.8214.260
1125.000.1013104.920.3672485.380.00/0.000.000
1235.000.1013146.720.5052485.380.69/0.000.000
1335.000.1013146.720.5051801.090.69/0.000.000
1429.000.1013121.640.4231801.090.11/0.000.000
A126.001.03451627.185.77944.37323.2419,805.2971,903.4322.363
A255.001.0345190.821.400255.3646.2610,889.39225,020.1322.383
A355.272.3111193.011.402255.3647.9510,889.39225,116.9422.390
A493.262.3111390.831.970255.3676.4510,889.39225,820.5822.401
A560.471.0345178.121.331210.9922.819014.33153,708.1822.393
A660.272.3111178.121.327210.9924.219014.33153,708.1822.389
A7110.002.3111417.551.996210.9964.209014.33154,388.2122.389
A8110.002.31111810.745.97044.37449.8519,805.2972,304.8322.347
A955.002.3111609.262.34744.37328.5219,805.2971,871.7222.347
A1026.001.0345609.262.37644.37319.8319,805.2971,871.7222.357
H145.001.00189.300.6383144.323.58/0.000.000
H249.651.00208.720.6993144.324.94/615.2811.012
H353.701.00225.670.7513144.326.33/1060.6814.807
H445.001.00189.300.6381903.603.58/0.000.000
H570.391.00295.500.9591903.6014.03/1778.2218.491
H660.001.00252.000.8315047.928.87/2838.9017.614
Table 12 shows the thermodynamic properties and costs of exergy streams for the sCO2/DH system.
Table 12. Thermodynamic properties and costs of exergy streams for the sCO2/DH system.
Table 12. Thermodynamic properties and costs of exergy streams for the sCO2/DH system.
State PointsTPhsephm C ˙ c
(°C)(MPa)(kJ/kg)(kJ/(kg·K))(kJ/kg)(kg/s)($/h)($/GJ)
135.007.40402.401.663216.602309.6626,014.5314.445
2110.0620.72444.871.680254.092309.6633,257.1015.741
3245.4320.72656.602.159322.953099.6857,527.0415.963
4393.0220.72841.062.473413.973099.6873,115.8415.828
5550.0020.721034.632.734529.773099.6884,177.7714.240
6433.117.40906.742.763392.973099.6862,441.9814.240
7271.717.40722.282.467296.853099.6847,168.2514.240
8132.697.40564.522.132238.883099.6837,957.4114.240
1050.007.40447.381.806218.942309.6625,921.8214.240
1125.000.1013104.920.3670.008957.550.000.000
1235.000.1013146.720.5050.008957.550.000.000
H445.001.0189.300.6383.584314.51775.331.890
H660.001.0252.000.8318.874314.54393.231.890

5.1. Parametric Analysis

The influences of several key parameters on the thermodynamic and exergoeconomic performances of the overall system are revealed through parametric analysis. The parameters studied include the turbine inlet temperature (T5), the compressor pressure ratio (PRc), the generator outlet temperature (TA8), and the evaporator outlet temperature (TA1). As the turbine outlet pressure is set as 7.4 MPa to keep the sCO2 topping cycle operating in the supercritical state, the PRc also represents the turbine inlet pressure. Both turbine inlet temperature and pressure are the vital parameters of sCO2 topping cycle that can influence the electric power generation significantly, while other two parameters are important to the AHP bottoming cycle that can greatly affect the heat production. The parametric analysis is carried out by changing only one parameter at a time with all other parameters fixed.

5.1.1. Effects of the Compressor Pressure Ratio (PRc)

Figure 2 depicts the influences of PRc on the system performance indicators, namely COPP, COHP, exergy efficiency ηex and total product unit cost ctotal, for a single sCO2 system, sCO2/DH system, sCO2/ammonia-water AHP system, and sCO2/LiBr-H2O AHP system, respectively. Obviously in Figure 2a, the thermodynamic and exergoeconomic performances for these four systems can be ranked according to ηex and ctotal as: sCO2/LiBr-H2O AHP > sCO2/ammonia-water AHP > sCO2/DH > sCO2 (A > B means A is better than B). Thus, the combined cycles show better performances than the single sCO2. This indicates that the performance of recompression sCO2 cycle can be enhanced by assembling a waste heat recovery system based on the energy cascade utilization principle. Besides, by comparing three combined cycles, it can be concluded that AHP is a better choice than DH, and that the LiBr-H2O solution is a better working fluid than the ammonia-water solution for AHP. Thus, the proposed sCO2/LiBr-H2O AHP system is a desirable waste heat recovery system for the sCO2 cycle, with which the combined cycle could achieve a high exergy efficiency with a low cost.
Figure 2 shows the variation trends of system performance indicators with PRc for different thermal systems: (a) ηex and ctotal; (b) COPP and COHP.
Figure 2. Variation trends of system performance indicators with PRc for different thermal systems: (a) ηex and ctotal; (b) COPP and COHP.
Figure 2. Variation trends of system performance indicators with PRc for different thermal systems: (a) ηex and ctotal; (b) COPP and COHP.
Applsci 10 00323 g002aApplsci 10 00323 g002b
In Figure 2a, ctotal increases with PRc due to the significant increments of capital investment, operation, and maintenance costs for the turbine, compressors and pressure vessels. Differently, ηex increases firstly but then decreases with PRc in the research range, indicating the existence of an optimal PRc to maximize the exergy efficiency. As ηex reflects the overall system performance considering both power generation and heat production, the above phenomenon can be analyzed and explained using these two aspects. Figure 2b depicts the variations of COPP and COHP with PRc. COPP represents the power generation capacity while COHP reflects the heat production capacity. Clearly, COHP increases with PRc, but COPP increases firstly and then decreases. Figure 3 presents the turbine output power Wtur, compressor power consumption Wcom and net output power Wnet varying with PRc for the sCO2/LiBr-H2O AHP system. The increase of PRc (turbine inlet pressure) strengthens the power generation capacity of the unit mass working fluid, and leads to the increase of Wtur. At the same time, the increase of the turbine inlet pressure requires more power to drive the compressors and leads to the increase of Wcom. So, with the increase of PRc, Wnet increases firstly when the increment of Wtur is larger than that of Wcom, and then decreases for the opposite situation. It explains why COPP and ηex increase firstly but then decrease with PRc in Figure 2a,b.
Figure 3 shows the variation trends of Wtur, Wcom, and Wnet with PRc for the sCO2/LiBr-H2O AHP system.
Figure 3. Variation trends of Wtur, Wcom, and Wnet with PRc for the sCO2/LiBr-H2O AHP system.
Figure 3. Variation trends of Wtur, Wcom, and Wnet with PRc for the sCO2/LiBr-H2O AHP system.
Applsci 10 00323 g003

5.1.2. Effects of the Turbine Inlet Temperature (T5)

The effects of T5 on ηex, ctotal, COPP, and COHP are displayed in Figure 4 for four thermal systems. Clearly, ηex increases with T5 while ctotal shows an opposite variation trend. It indicates that increasing T5 could be beneficial to the improvement of system performances for these thermal systems. Figure 5 depicts the net output power Wnet, the temperature of stream 8 (T8) and the mass flow rate of 8a (m8a) varying with T5 for the sCO2/LiBr-H2O AHP system. When T5 ascends, the working capacity of unit mass working fluid is strengthened, and Wnet increases correspondingly. As a result, COPP in Figure 4b also increases with T5. On the other side, the increase of T5 enlarges the heat absorption amount of the unit mass flow rate CO2 from the reactor, so that the mass flow rate of CO2 decreases. Correspondingly, m8a decreases with the increase of T5, as shown in Figure 5. It means that the mass flow rate of CO2 flowing into AHP and DHE decreases, which in turn decreases the heat absorption amount of AHP and DHE from the topping cycle. At the same time, T8 increases with T5, so that the generator temperature ascends and the heat absorption amount of AHP and DHE from the topping cycle will increase. The opposite effects between T8 and m8a makes the COHP of sCO2/AHP systems change slightly, as shown in Figure 4b. Thus, the increase of ηex with T5 is dominated by the increase of COPP, i.e., the power generation capacity of sCO2 topping cycle, while the increase of T5 exerts slight influences on the performances of the bottoming cycle. As the increase of T5 results in the decrement of mass flow rate of working fluid, the capital investment costs for the turbine, compressors, and pressure vessels decrease correspondingly and lead to the decline of ctotal, as shown in Figure 4a.
The following Figure 4 shows the variation trends of system performance indicators with T5 for different thermal systems: (a) ηex and ctotal; (b) COPP and COHP.
Figure 4. Variation trends of system performance indicators with T5 for different thermal systems: (a) ηex and ctotal; (b) COPP and COHP.
Figure 4. Variation trends of system performance indicators with T5 for different thermal systems: (a) ηex and ctotal; (b) COPP and COHP.
Applsci 10 00323 g004aApplsci 10 00323 g004b
The following Figure 5 shows the variation trends of T8, m8a, and Wnet with T5 for the sCO2/LiBr-H2O AHP system.
Figure 5. Variation trends of T8, m8a, and Wnet with T5 for the sCO2/LiBr-H2O AHP system.
Figure 5. Variation trends of T8, m8a, and Wnet with T5 for the sCO2/LiBr-H2O AHP system.
Applsci 10 00323 g005

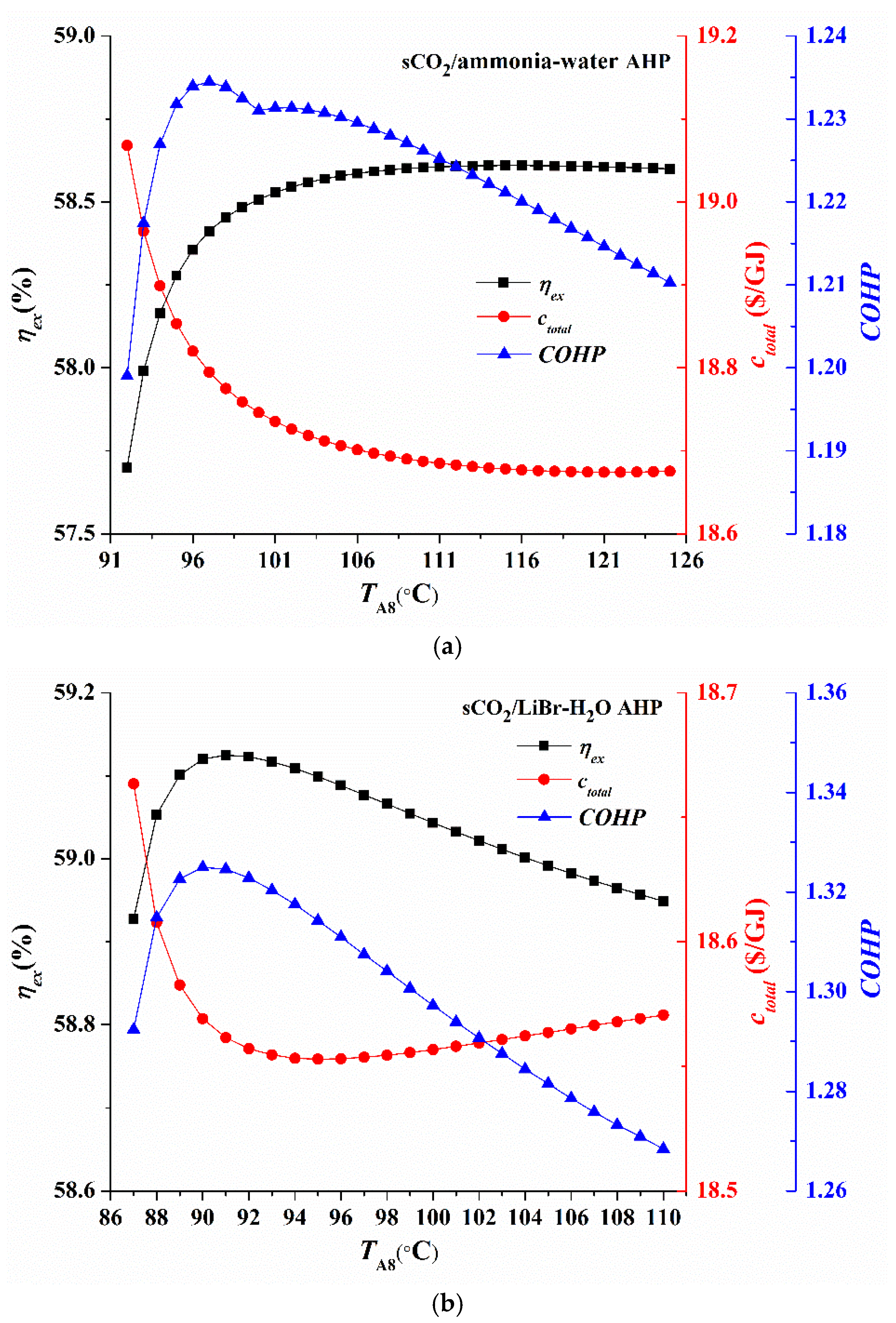
5.1.3. Effects of the Generator Outlet Temperature (TA8)

Then, the influences of key parameters of AHP bottoming cycle on the overall system performances are investigated. As the single sCO2 cycle and the sCO2/DH system have no AHP bottoming cycle, only the sCO2/ammonia-water AHP system and the sCO2/LiBr-H2O AHP system are analyzed here. Figure 6 shows the variation of ηex and ctotal with the generator outlet temperature TA8 for these two combined systems. As TA8 increases, ηex increases to a peak and next goes down slightly, while ctotal shows an opposite trend in Figure 6a, which indicates that there exists a TA8 to optimize the overall system performances for the sCO2/ammonia-water AHP system. The COHP also ascends firstly and then descends with TA8. In order to explain this phenomenon, Figure 7a presents the mass flow rate of stream A8 (mA8), the total mass flow rate of ammonia water (mA4), the pump power consumption (Wpump), and the exergy that heat users obtain (Eh,users) varying with TA8. Clearly, as TA8 increases, the heat absorption amount per unit mass flow rate from the topping cycle increases, so that the total mass flow rate mA4 descends and then leads to the decline of Wpump. mA8 increases firstly with TA8 as more working fluid is evaporated from the generator solution. More ammonia vapor flows into the condenser and releases the considerable latent heat to the heating water, so that Eh,users increases correspondingly. Then, as the effect of decreasing mA4 dominates when TA8 is larger, both mA8 and Eh,users decrease with TA8. Therefore, COHP and ηex increase and then decrease with TA8 according to Equations (41) and (42).
Figure 6 shows the variation trends of ηex, ctotal, and COHP with TA8: (a) a sCO2/ammonia-water AHP system; (b) a sCO2/LiBr-H2O AHP system.
Figure 6. Variation trends of ηex, ctotal and COHP with TA8: (a) sCO2/ammonia-water AHP system; (b) sCO2/LiBr-H2O AHP system.
Figure 6. Variation trends of ηex, ctotal and COHP with TA8: (a) sCO2/ammonia-water AHP system; (b) sCO2/LiBr-H2O AHP system.
Applsci 10 00323 g006
The following Figure 7 shows the variation trends of mA8, mA4, Wpump, and Eh,users with TA8: (a) a sCO2/ammonia-water AHP system; (b) a sCO2/LiBr-H2O AHP system.
Figure 7. Variation trends of mA8, mA4, Wpump, and Eh,users with TA8: (a) a sCO2/ammonia-water AHP system; (b) a sCO2/LiBr-H2O AHP system.
Figure 7. Variation trends of mA8, mA4, Wpump, and Eh,users with TA8: (a) a sCO2/ammonia-water AHP system; (b) a sCO2/LiBr-H2O AHP system.
Applsci 10 00323 g007
For the sCO2/LiBr-H2O AHP system, the same trends can be observed for the COHP, mA4, mA8, Wpump, and Eh,users in Figure 6b and Figure 7b, which will not be explained again here. It should be noted that the operational pressure of LiBr-H2O AHP is much lower than that of ammonia-water AHP, so the pump power consumption Wpump in LiBr-H2O AHP is also lower than that in ammonia-water AHP, as shown in Figure 7.

5.1.4. Effects of the Evaporator Temperature (TA1)

Figure 8 describes the variations of ηex, ctotal and COHP with TA1. When TA1 increases, more heat is transferred to the heating water in the absorber. The heat absorption amount of heating water ascends correspondingly, and results in the increase of COHP. As the pump work is very limited compared to the turbine output power, the variation of pump power consumption with TA1 has ignorable effects on the net output power. Thus, the power generation capacity is hardly affected by the change of TA1. This means that the overall system performances are mainly affected by the variation of heat production capacity when TA1 changes. Therefore, the exergy efficiency ηex has the same variation trend of COHP and the total product unit cost ctotal decreases with TA1, indicating that the thermodynamic and economic performances of the sCO2/AHP systems can be improved by increasing the evaporator temperature.
The following Figure 8 shows the variation trends of system performance indicators with TA1 for different thermal systems: (a) ηex and ctotal; (b) COHP.
Figure 8. Variation trends of system performance indicators with TA1 for different thermal systems: (a) ηex and ctotal; (b) COHP.
Figure 8. Variation trends of system performance indicators with TA1 for different thermal systems: (a) ηex and ctotal; (b) COHP.
Applsci 10 00323 g008

5.2. System Performance Optimization and Comparison

Finally, parameter optimizations are carried out in this section to provide references for the practical design and operation. The overall performances of a single sCO2 system, sCO2/DH system, sCO2/ammonia-water AHP system and sCO2/LiBr-H2O AHP system are optimized by using the particle swarm optimization (PSO) algorithm, which was proposed by Kennedy and Eberhart [54]. The PSO algorithm shows higher accuracy and converges faster compared to other optimization algorithms, and has been successfully applied to optimize performances for thermal systems [55,56]. A swarm of particles is included in the PSO algorithm to represent the candidate solutions. Each candidate solution has a velocity vector v and a position vector u . In addition, a best global position g ( t ) and a best personal position p ( t ) are stored for each particle. For each time step t, the particles move to a better position in the space so that the velocity vector v and the position vector u update correspondingly, as shown in Equations (46) and (47):
u ( t + 1 ) = u ( t ) + v ( t + 1 )
v ( t + 1 ) = ϖ v ( t ) + U ( 0 , φ 1 ) ( p ( t ) u ( t ) ) + U ( 0 , φ 2 ) ( g ( t ) u ( t ) )
where ϕ1 and ϕ2 denote the importance of p ( t ) and g ( t ) , respectively. ϖ is the inertia weight that controls the velocity v ( t ) .
In this study, the key parameters studied include the compressor pressure ratio PRc, the turbine inlet temperature T5, the generator outlet temperature TA8, and the evaporator temperature TA1. The constraints of key parameters for the PSO algorithm are displayed in Table 13. The exergy efficiency ηex and the total product unit cost ctotal are chosen as the objective functions. The optimization is achieved by maximizing ηex or minimizing ctotal. So two optimal design cases are considered, namely, the exergy efficiency optimal design (EOD) case and the cost optimal design (COD) case. The inertia weight ϖ and the swarm size for the PSO algorithm are chosen as 0.6 and 25, respectively. Both ϕ1 and ϕ2 are chosen as 1.8. In addition, a maximal velocity vmax of 15% is adopted to constrain the velocity at each time step [57].
The following Table 13 shows the boundary conditions of decision variables for the PSO algorithm.
Table 13. Boundary conditions of decision variables for the PSO algorithm.
Table 13. Boundary conditions of decision variables for the PSO algorithm.
ItemssCO2sCO2/DHsCO2/Ammonia-Water AHPsCO2/LiBr-H2O AHP
PRc2.2–3.32.2–3.32.2–3.32.2–3.3
T5 (°C)500–600500–600500–600500–600
TA8 (°C)//92–12587–110
TA1 (°C)//23–2823–28
Table 14 and Table 15 show the optimized results of these four thermal systems for the EOD case and the COD case, respectively. Obviously, due to the different optimization targets, the exergy efficiencies ηex for the EOD case are much higher than those for the COD case, while the total product unit costs ctotal for the COD case are lower than those for the EOD case. The optimum PRc for the COD case is smaller than that for the EOD case, meaning that the capital investment, operation, and maintenance costs for the turbine, compressors and pressure vessels are lower, which leads to a lower ctotal in the COD case. The total product unit costs ctotal of a sCO2 system, sCO2/DH system, sCO2/ammonia-water AHP system, and sCO2/LiBr-H2O AHP system for the COD case are about 4.00%, 4.39%, 4.39%, and 3.87% lower than those for the EOD case. As for the expense, the exergy efficiencies ηex of sCO2 system, sCO2/DH system, sCO2/ammonia-water AHP system, and sCO2/LiBr-H2O AHP system for the COD case dropped by about 3.14%, 3.35%, 4.09%, and 4.13%, respectively. In both the COD case and the EOD case, the sCO2/LiBr-H2O AHP system has the highest ηex with a lowest cost ctotal, indicating that the overall system performances are greatly improved by combining the LiBr-H2O AHP with sCO2 cycle. In the the EOD case, ηex of sCO2/LiBr-H2O AHP system is 13.39%, 3.53% and 1.13% higher than those of the sCO2 system, sCO2/DH system, and sCO2/ammonia-water AHP system, respectively. In the the COD case, ctotal of sCO2/LiBr-H2O AHP system is 8.66%, 1.27%, and 0.42% lower than those of sCO2 system, sCO2/DH system and sCO2/ammonia-water AHP system, respectively. In addition, the COHP of the sCO2/LiBr-H2O AHP system is much larger than those of the sCO2/DH system and the sCO2/ammonia-water AHP system. It indicates that the LiBr-H2O AHP can maximize the recovery of waste heat from sCO2 cycle to provide heat for users.
Table 14 shows the optimized results for the exergy efficiency optimal design case.
Table 14. Optimized results for the exergy efficiency optimal design case.
Table 14. Optimized results for the exergy efficiency optimal design case.
ItemssCO2sCO2/DHsCO2/Ammonia-Water AHPsCO2/LiBr-H2O AHP
PRc3.16413.25993.29603.2803
T5 (°C)600600600599.31
TA8 (°C)//115.8690.30
TA1 (°C)//2827.92
COPP0.39800.39790.39780.3975
COHP/11.2821.410
ηex (%)55.1160.3661.7962.49
ctotal ($/GJ)19.60318.21018.05417.881
Table 15 shows the optimized results for the cost optimal design case.
Table 15. Optimized results for the cost optimal design case.
Table 15. Optimized results for the cost optimal design case.
ItemssCO2sCO2/DHsCO2/Ammonia-Water AHPsCO2/LiBr-H2O AHP
PRc2.36932.36922.34492.3992
T5 (°C)600600600600
TA8 (°C)//114.3196.98
TA1 (°C)//2828
COPP0.38550.38550.38450.3866
COHP/11.1311.235
ηex (%)53.3858.3459.2659.91
ctotal ($/GJ)18.81917.41017.26217.189

6. Conclusions

In this study, a novel combined sCO2/LiBr-H2O AHP system is first proposed and analyzed for heat and power cogeneration according to the principle of energy cascade utilization. Detailed thermodynamic and exergoeconomic analysis, parametric studies, optimizations, and comparisons are carried out among a stand-alone sCO2 system, a sCO2/DH system, a sCO2/ammonia-water AHP system, and the proposed sCO2/LiBr-H2O AHP system. The main conclusions and contributions of this work can be summarized as follows:
  • Using the LiBr-H2O AHP to recover the waste heat from sCO2 cycle can significantly improve the thermodynamic and economic performances for the overall system. Based on the optimization results, the sCO2/LiBr-H2O AHP system can gain an improvement of 13.39% in the exergy efficiency and a reduction of 8.66% in the total product unit cost compared to the stand-alone sCO2 cycle;
  • The exergy efficiency of sCO2/LiBr-H2O AHP system is 3.53% and 1.13% higher than those of sCO2/DH system and sCO2/ammonia-water AHP system, respectively, in the EOD case, and the total product unit cost of the sCO2/LiBr-H2O AHP system is 1.27% and 0.42% lower than those of the sCO2/DH system and sCO2/ammonia-water AHP system, respectively in the the COD case. In addition, COHP of sCO2/LiBr-H2O AHP system is much larger than those of sCO2/DH system and sCO2/ammonia-water AHP system, indicating that the LiBr-H2O AHP can maximize the recovery of waste heat from sCO2 cycle to provide heat for users. Therefore, the LiBr-H2O AHP is a desirable waste heat recovery system for the sCO2 cycle, with which the combined system could achieve a higher exergy efficiency and a lower cost. Besides, the proposed sCO2/LiBr-H2O AHP system is presented to be a high-efficiency CHP system. It provides a meaningful direction for the design and improvement of sCO2-based CHP systems to reduce energy consumption and to bring considerable economic benefits;
  • The parametric study presents the influences of decision variables on the system performances, and the PSO optimization finds optimal design conditions for different cases. The results of parametric study, optimization, and comparison analysis could provide useful references for designers and researchers attempting to obtain desirable system designs and operation conditions for sCO2-based CHP systems.

Author Contributions

Conceptualization, methodology, data curation, writing—original draft preparation, visualization, Y.Y.; software, validation, investigation, Z.W., Q.M. and Y.L.; investigation, writing—review and editing, J.W. and P.Z.; supervision, Y.D. All authors have read and agreed to the published version of the manuscript.

Funding

This research is support by the State Key Special Research Project of the Ministry of Science and Technology of China (Grant No. 2017YFB0603504 and No. 2016YFB0600104), and the National Natural Science Foundation of China (Grant No. 51976145 and No. 51976147).

Acknowledgments

The authors would like to sincerely thank all the reviewers for the valuable comments that greatly helped to improve the manuscript. Yi Yang wants to acknowledge the technical support from Hang Li from Zhengzhou University.

Conflicts of Interest

The authors declare no conflict of interest.

Nomenclature

Aheat transfer area (m2)
C ˙ cost rate ($/h)
ccost per unit exergy ($/GJ)
ctotaltotal product unit cost ($/GJ)
especific exergy (kJ/kg)
Eexergy rate (kW)
henthalpy (kJ/kg)
irinterest rate
Iexergy destruction (kW)
mmass flow rate (kg/s)
nnumber of operation year
Ppressure (MPa)
PRccompressor pressure ratio
Qheat transfer rate (kW)
sentropy (kJ/(kg·K))
Ttemperature (°C)
Wpower (kW)
xrecompressed mass flow ratio
yconcentration of LiBr or ammonia in the solution
Zcapital cost of a component ($)
Z ˙ capital cost rate ($/h)
Greek letters
ηefficiency (%)
εeffectiveness
γmaintenance factor
τannual operation hours (h)
Subscripts and abbreviations
0ambient state
1, 2, et al.state points
Astate points of absorption heat pump
AHPabsorption heat pump
Absabsorber
chchemical exergy
CIcapital investment
CODcost optimal design
comcompressor
Condcondenser
COHPcoefficient of heat performance
COPPcoefficient of power performance
corereactor core
CRFcapital recovery factor
DHdirect heating
DHEdirect heating exchanger
EODexergy efficiency optimal design
exexergy
Evaevaporator
Gengenerator
Hstate points of heating water
HTRhigh temperature recuperator
LTRlow temperature recuperator
LMTDlogic mean temperature difference
MCmain compressor
mcommain compressor
OMoperation and maintenance
phphysical exergy
pumppump
RCrecompression compressor
rcomrecompression compressor
SHEsolution heat exchanger
turturbine

References

  1. Liao, G.; Liu, L.; Jiaqiang, E.; Zhang, F.; Chen, J.; Deng, Y.; Zhu, H. Effects of technical progress on performance and application of supercritical carbon dioxide power cycle: A review. Energy Convers. Manag. 2019, 199, 111986. [Google Scholar] [CrossRef]
  2. Li, M.; Zhu, H.; Guo, J.; Wang, K.; Tao, W. The development technology and applications of supercritical co2 power cycle in nuclear energy, solar energy and other energy industries. Appl. Therm. Eng. 2017, 126, 255–275. [Google Scholar] [CrossRef]
  3. Crespi, F.; Gavagnin, G.; Sánchez, D.; Martínez, G.S. Supercritical carbon dioxide cycles for power generation: A review. Appl. Energy 2017, 195, 152–183. [Google Scholar] [CrossRef]
  4. Ahn, Y.; Bae, S.J.; Kim, M.; Cho, S.K.; Baik, S.; Lee, J.I.; Cha, J.E. Review of supercritical co2 power cycle technology and current status of research and development. Nucl. Eng. Technol. 2015, 47, 647–661. [Google Scholar] [CrossRef]
  5. Sarkar, J. Second law analysis of supercritical co2 recompression brayton cycle. Energy 2009, 34, 1172–1178. [Google Scholar] [CrossRef]
  6. Sarkar, J.; Bhattacharyya, S. Optimization of recompression S-CO2 power cycle with reheating. Energy Convers. Manag. 2009, 50, 1939–1945. [Google Scholar] [CrossRef]
  7. Wang, X.; Yang, Y.; Zheng, Y.; Dai, Y. Exergy and exergoeconomic analyses of a supercritical co2 cycle for a cogeneration application. Energy 2017, 119, 971–982. [Google Scholar] [CrossRef]
  8. Yari, M.; Sirousazar, M. A novel recompression s-co2 brayton cycle with pre-cooler exergy utilization. Proc. Inst. Mech. Eng. Part A J. Power Energy 2010, 224, 931–946. [Google Scholar] [CrossRef]
  9. Pérez-Pichel, G.D.; Linares, J.; Herranz, L.; Moratilla, B. Thermal analysis of supercritical co2 power cycles: Assessment of their suitability to the forthcoming sodium fast reactors. Nucl. Eng. Des. 2012, 250, 23–34. [Google Scholar] [CrossRef]
  10. Chacartegui, R.; De Escalona, J.M.; Sánchez, D.; Monje, B.; Sánchez, T. Alternative cycles based on carbon dioxide for central receiver solar power plants. Appl. Therm. Eng. 2011, 31, 872–879. [Google Scholar] [CrossRef]
  11. Akbari, A.D.; Mahmoudi, S.M. Thermoeconomic analysis & optimization of the combined supercritical co2 (carbon dioxide) recompression brayton/organic rankine cycle. Energy 2014, 78, 501–512. [Google Scholar]
  12. Wang, X.; Dai, Y. Exergoeconomic analysis of utilizing the transcritical CO2 cycle and the orc for a recompression supercritical CO2 cycle waste heat recovery: A comparative study. Appl. Energy 2016, 170, 193–207. [Google Scholar] [CrossRef]
  13. Besarati, S.M.; Goswami, D.Y. Analysis of advanced supercritical carbon dioxide power cycles with a bottoming cycle for concentrating solar power applications. J. Sol. Energy Eng. 2014, 136, 010904. [Google Scholar] [CrossRef]
  14. Li, H.; Wang, M.; Wang, J.; Dai, Y. Exergoeconomic analysis and optimization of a supercritical CO2 cycle coupled with a kalina cycle. J. Energy Eng. 2016, 143, 04016055. [Google Scholar] [CrossRef]
  15. S Mahmoudi, S.; D Akbari, A.; Rosen, M. Thermoeconomic analysis and optimization of a new combined supercritical carbon dioxide recompression brayton/kalina cycle. Sustainability 2016, 8, 1079. [Google Scholar] [CrossRef]
  16. Hu, B.; Li, Y.; Wang, R.; Cao, F.; Xing, Z. Real-time minimization of power consumption for air-source transcritical co2 heat pump water heater system. Int. J. Refrig. 2018, 85, 395–408. [Google Scholar] [CrossRef]
  17. Wu, C.; Wang, S.-S.; Feng, X.-J.; Li, J. Energy, exergy and exergoeconomic analyses of a combined supercritical co2 recompression brayton/absorption refrigeration cycle. Energy Convers. Manag. 2017, 148, 360–377. [Google Scholar] [CrossRef]
  18. Li, H.; Su, W.; Cao, L.; Chang, F.; Xia, W.; Dai, Y. Preliminary conceptual design and thermodynamic comparative study on vapor absorption refrigeration cycles integrated with a supercritical co2 power cycle. Energy Convers. Manag. 2018, 161, 162–171. [Google Scholar] [CrossRef]
  19. Balafkandeh, S.; Zare, V.; Gholamian, E. Multi-objective optimization of a tri-generation system based on biomass gasification/digestion combined with S-CO2 cycle and absorption chiller. Energy Convers. Manag. 2019, 200, 112057. [Google Scholar] [CrossRef]
  20. Zhang, X.; Yamaguchi, H.; Fujima, K.; Enomoto, M.; Sawada, N. Theoretical analysis of a thermodynamic cycle for power and heat production using supercritical carbon dioxide. Energy 2007, 32, 591–599. [Google Scholar] [CrossRef]
  21. Moroz, L.; Burlaka, M.; Rudenko, O. Study of a supercritical CO2 power cycle application in a cogeneration power plant. In Proceedings of the 5th Supercritical CO2 Power Cycles Symposium, San Antonio, TX, USA, 28–31 March 2016. [Google Scholar]
  22. Xu, Z.; Wang, R. Absorption heat pump for waste heat reuse: Current states and future development. Front. Energy 2017, 11, 414–436. [Google Scholar] [CrossRef]
  23. Hassan, H.; Mohamad, A. A review on solar cold production through absorption technology. Renew. Sustain. Energy Rev. 2012, 16, 5331–5348. [Google Scholar] [CrossRef]
  24. Horuz, I. A comparison between ammonia-water and water-lithium bromide solutions in vapor absorption refrigeration systems. Int. Commun. Heat Mass Transf. 1998, 25, 711–721. [Google Scholar] [CrossRef]
  25. Jia, T.; Dai, Y. Development of a novel unbalanced ammonia-water absorption-resorption heat pump cycle for space heating. Energy 2018, 161, 251–265. [Google Scholar] [CrossRef]
  26. Moran, M.J.; Shapiro, H.N.; Boettner, D.D.; Bailey, M.B. Fundamentals of Engineering Thermodynamics; John Wiley & Sons: Hoboken, NJ, USA, 2010. [Google Scholar]
  27. Herold, K.E.; Radermacher, R.; Klein, S.A. Absorption Chillers and Heat Pump; CRC press: Lancaster, PA, USA, 2016. [Google Scholar]
  28. Sun, D.-W. Comparison of the performances of nh3-h2o, nh3-lino3 and nh3-nascn absorption refrigeration systems. Energy Convers. Manag. 1998, 39, 357–368. [Google Scholar] [CrossRef]
  29. Zare, V.; Mahmoudi, S.; Yari, M. On the exergoeconomic assessment of employing kalina cycle for gt-mhr waste heat utilization. Energy Convers. Manag. 2015, 90, 364–374. [Google Scholar] [CrossRef]
  30. Misra, R.; Sahoo, P.; Gupta, A. Thermoeconomic evaluation and optimization of an aqua-ammonia vapour-absorption refrigeration system. Int. J. Refrig. 2006, 29, 47–59. [Google Scholar] [CrossRef]
  31. Palacios-Bereche, R.; Gonzales, R.; Nebra, S.A. Exergy calculation of lithium bromide-water solution and its application in the exergetic evaluation of absorption refrigeration systems libr-h2o. Int. J. Energy Res. 2012, 36, 166–181. [Google Scholar] [CrossRef]
  32. Bejan, A.; Tsatsaronis, G.; Moran, M. Thermal Design and Optimization; John Wiley & Sons: Hoboken, NJ, USA, 1995. [Google Scholar]
  33. Ghaebi, H.; Amidpour, M.; Karimkashi, S.; Rezayan, O. Energy, exergy and thermoeconomic analysis of a combined cooling, heating and power (cchp) system with gas turbine prime mover. Int. J. Energy Res. 2011, 35, 697–709. [Google Scholar] [CrossRef]
  34. Farshi, L.G.; Mahmoudi, S.S.; Rosen, M.; Yari, M.; Amidpour, M. Exergoeconomic analysis of double effect absorption refrigeration systems. Energy Convers. Manag. 2013, 65, 13–25. [Google Scholar] [CrossRef]
  35. Carstens, N.; Hejzlar, P.; Driscoll, M.J. Control System Strategies and Dynamic Response for Supercritical CO2 Power Conversion Cycles; Report No. MIT-GFR-038; Center for Advanced Nuclear Energy Systems, MIT Nuclear Engineering Department: Cambridge, MA, USA, 2006. [Google Scholar]
  36. Nikitin, K.; Kato, Y.; Ngo, L. Printed circuit heat exchanger thermal–hydraulic performance in supercritical co2 experimental loop. Int. J. Refrig. 2006, 29, 807–814. [Google Scholar] [CrossRef]
  37. Meshram, A.; Jaiswal, A.K.; Khivsara, S.D.; Ortega, J.D.; Ho, C.; Bapat, R.; Dutta, P. Modeling and analysis of a printed circuit heat exchanger for supercritical co2 power cycle applications. Appl. Therm. Eng. 2016, 109, 861–870. [Google Scholar] [CrossRef]
  38. Serrano, I.; Cantizano, A.; Linares, J.; Moratilla, B. Modeling and sizing of the heat exchangers of a new supercritical co2 brayton power cycle for energy conversion for fusion reactors. Fusion Eng. Des. 2014, 89, 1905–1908. [Google Scholar] [CrossRef]
  39. Li, H.; Yang, Y.; Cheng, Z.; Sang, Y.; Dai, Y. Study on off-design performance of transcritical CO2 power cycle for the utilization of geothermal energy. Geothermics 2018, 71, 369–379. [Google Scholar] [CrossRef]
  40. Cayer, E.; Galanis, N.; Desilets, M.; Nesreddine, H.; Roy, P. Analysis of a carbon dioxide transcritical power cycle using a low temperature source. Appl. Energy 2009, 86, 1055–1063. [Google Scholar] [CrossRef]
  41. Yin, H. An Absorption Chiller in a Micro Bchp Application: Model Based Design and Performance Analysis. Ph.D. Thesis, Carnegie Mellon University, Pittsburgh, PA, USA, 2006. [Google Scholar]
  42. Táboas, F.; Valles, M.; Bourouis, M.; Coronas, A. Pool boiling of ammonia/water and its pure components: Comparison of experimental data in the literature with the predictions of standard correlations. Int. J. Refrig. 2007, 30, 778–788. [Google Scholar] [CrossRef]
  43. Kreith, F.; Manglik, R.M.; Bohn, M.S. Principles of Heat Transfer; Cengage learning: Stamford, CT, USA, 2012. [Google Scholar]
  44. Florides, G.A.; Kalogirou, S.A.; Tassou, S.A.; Wrobel, L.C. Design and construction of a libr–water absorption machine. Energy Convers. Manag. 2003, 44, 2483–2508. [Google Scholar] [CrossRef]
  45. Lee, S. Development of Techniques for In-Situ Measurement of Heat and Mass Transfer in Ammonia-Water Absorption Systems; Georgia Institute of Technology: Atlanta, GA, USA, 2007. [Google Scholar]
  46. Cengel, Y.A. Heat Transfer: A Practical Approach, 2nd ed.; McGraw Hill: New York, NY, USA, 2003. [Google Scholar]
  47. Cheng, C.S.; Shih, Y.S. Exergy and energy analyses of absorption heat pumps. Int. J. Energy Res. 1988, 12, 189–203. [Google Scholar] [CrossRef]
  48. Patek, J.; Klomfar, J. A computationally effective formulation of the thermodynamic properties of libr–h2o solutions from 273 to 500 k over full composition range. Int. J. Refrig. 2006, 29, 566–578. [Google Scholar] [CrossRef]
  49. Boryta, D.A. Solubility of lithium bromide in water between-50. Deg. And+ 100. Deg.(45 to 70% lithium bromide). J. Chem. Eng. Data 1970, 15, 142–144. [Google Scholar] [CrossRef]
  50. Wang, M.; Ferreira, C.A.I. Absorption heat pump cycles with nh3–ionic liquid working pairs. Appl. Energy 2017, 204, 819–830. [Google Scholar] [CrossRef]
  51. Mohammadi, Z.; Fallah, M.; Mahmoudi, S.S. Advanced exergy analysis of recompression supercritical CO2 cycle. Energy 2019, 178, 631–643. [Google Scholar] [CrossRef]
  52. Shi, D.; Zhang, L.; Xie, Y.; Zhang, D. Aerodynamic design and off-design performance analysis of a multi-stage s-CO2 axial turbine based on solar power generation system. Appl. Sci. 2019, 9, 714. [Google Scholar] [CrossRef]
  53. Sun, J.; Fu, L.; Zhang, S. Experimental study of heat exchanger basing on absorption cycle for chp system. Appl. Therm. Eng. 2016, 102, 1280–1286. [Google Scholar] [CrossRef]
  54. Kennedy, J.; Eberhart, R. Particle Swarm Optimization. In Proceedings of the IEEE international conference on neural networks, Perth, Australia, 27 November–1 December 1995; IEEE: Piscataway, NJ, USA, 1995; pp. 1942–1948. [Google Scholar]
  55. Du, Y.; Yang, Y.; Hu, D.; Hao, M.; Wang, J.; Dai, Y. Off-design performance comparative analysis between basic and parallel dual-pressure organic rankine cycles using radial inflow turbines. Appl. Therm. Eng. 2018, 138, 18–34. [Google Scholar] [CrossRef]
  56. Du, Y.; Chen, K.; Dai, Y. A study of the optimal control approach for a kalina cycle system using a radial-inflow turbine with variable nozzles at off-design conditions. Appl. Therm. Eng. 2019, 149, 1008–1022. [Google Scholar] [CrossRef]
  57. Vesterstrom, J.; Thomsen, R. A comparative study of differential evolution, particle swarm optimization, and evolutionary algorithms on numerical benchmark problems. In Proceedings of the 2004 Congress on Evolutionary Computation, Portland, OR, USA, 19–23 June 2004; IEEE: New York, NY, USA, 2004; pp. 1980–1987. [Google Scholar]

Share and Cite

MDPI and ACS Style

Yang, Y.; Wang, Z.; Ma, Q.; Lai, Y.; Wang, J.; Zhao, P.; Dai, Y. Thermodynamic and Exergoeconomic Analysis of a Supercritical CO2 Cycle Integrated with a LiBr-H2O Absorption Heat Pump for Combined Heat and Power Generation. Appl. Sci. 2020, 10, 323. https://doi.org/10.3390/app10010323

AMA Style

Yang Y, Wang Z, Ma Q, Lai Y, Wang J, Zhao P, Dai Y. Thermodynamic and Exergoeconomic Analysis of a Supercritical CO2 Cycle Integrated with a LiBr-H2O Absorption Heat Pump for Combined Heat and Power Generation. Applied Sciences. 2020; 10(1):323. https://doi.org/10.3390/app10010323

Chicago/Turabian Style

Yang, Yi, Zihua Wang, Qingya Ma, Yongquan Lai, Jiangfeng Wang, Pan Zhao, and Yiping Dai. 2020. "Thermodynamic and Exergoeconomic Analysis of a Supercritical CO2 Cycle Integrated with a LiBr-H2O Absorption Heat Pump for Combined Heat and Power Generation" Applied Sciences 10, no. 1: 323. https://doi.org/10.3390/app10010323

APA Style

Yang, Y., Wang, Z., Ma, Q., Lai, Y., Wang, J., Zhao, P., & Dai, Y. (2020). Thermodynamic and Exergoeconomic Analysis of a Supercritical CO2 Cycle Integrated with a LiBr-H2O Absorption Heat Pump for Combined Heat and Power Generation. Applied Sciences, 10(1), 323. https://doi.org/10.3390/app10010323

Note that from the first issue of 2016, this journal uses article numbers instead of page numbers. See further details here.

Article Metrics

Back to TopTop