An Event-Based Supply Chain Partnership Integration Using a Hybrid Particle Swarm Optimization and Ant Colony Optimization Approach
Abstract
Featured Application
Abstract
1. Introduction
- This is a work regarding the design of an event-based framework in a supply chain partnership integration problem, which is based on a clear understanding of key events in a dynamic supply chain process and focuses on how events can be used to reveal factors that influence partnership in supply chain operations.
- The hybrid algorithm, PSACO, which utilizes the functions of PSO and ACO, is proposed. In the algorithm, a linear decreasing inertia weight schema is introduced to achieve relatively high performance for PSO, and a new pheromone strategy is used for ACO.
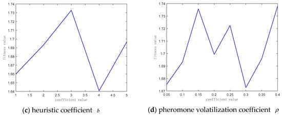
- In order to improve the precision of experiment solutions, experimental analyses are carried out to select the optimal parameters of ACO.
- Experimental results demonstrate that PSACO can obtain better performance than traditional PSO and ACO.
2. Related Work
2.1. Supply Chain Partnership Integration
2.2. The Analytical Value and Identification of Event
3. Model
3.1. Supply Chain Network Structures
3.2. Event-Based Supply Chain Partnership Integration Model
- (1)
- The enterprise collects orders from its customers;
- (2)
- The enterprise evaluates the degree of trustworthiness the upstream suppliers have;
- (3)
- The enterprise submits the orders to the upper suppliers;
- (4)
- The enterprise receives materials or semi-finished products from suppliers;
- (5)
- The enterprise starts producing according productivity and the material received, then sends the finished products to customers.
- (6)
- The enterprise calculates its operating cost;
- (7)
- The enterprise updates the performance of its suppliers and decides its cooperation plan.
3.2.1. Orders
3.2.2. Trustworthiness
3.2.3. Supplier Service
3.2.4. Production and Products Delivery
3.2.5. Cost
3.2.6. Supplier Performance Updating and Partnership Integration
4. Concepts of Integrating the Particle Swarm Optimization (PSO) and Ant Colony Optimization (ACO)
4.1. The Concepts of PSO and ACO
4.2. The Idea of Integrating PSO and ACO
5. Supply Chain Partnership Integration Algorithm Based on the Hybrid Algorithm
5.1. Updating Particles’ Positions and Velocities
5.2. Ant Movement
5.3. Pheromone Updating
6. Numerical Experiments
6.1. Parameters Optimization
6.2. Results and Discussion
7. Conclusions and Further Research
Author Contributions
Funding
Conflicts of Interest
References
- Qu, W.G.; Pinsonneault, A.; Tomiuk, D.; Wang, S.; Liu, Y. The impacts of social trust on open and closed B2B e-commerce: A Europe-based study. Inf. Manag. 2015, 52, 151–159. [Google Scholar] [CrossRef]
- Yoo, T.; Cho, H.; Yücesan, E. Hybrid algorithm for discrete event simulation based supply chain optimization. Expert Syst. Appl. 2010, 37, 2354–2361. [Google Scholar] [CrossRef]
- Choi, Y.; Kang, D.; Chae, H.; Kim, K. An enterprise architecture framework for collaboration of virtual enterprise chains. Int. J. Adv. Manuf. Technol. 2006, 35, 1065–1078. [Google Scholar] [CrossRef]
- Vlahakis, G.; Apostolou, D.; Kopanaki, E. Enabling situation awareness with supply chain event management. Expert Syst. Appl. 2018, 93, 86–103. [Google Scholar] [CrossRef]
- Farooq, M.; Salman, Q.; Arshad, M.; Khan, I.; Akhtar, R.; Kim, S. An Artificial Bee Colony Algorithm Based on a Multi-Objective Framework for Supplier Integration. Appl. Sci. 2019, 9, 588. [Google Scholar] [CrossRef]
- Kim, S.W. An investigation on the direct and indirect effect of supply chain integration on firm performance. Int. J. Prod. Econ. 2009, 119, 328–346. [Google Scholar] [CrossRef]
- Yan, S.R.; Zheng, X.L.; Wang, Y.; Song, W.W.; Zhang, W.Y. A graph-based comprehensive reputation model: Exploiting the social context of opinions to enhance trust in social commerce. Inf. Sci. 2015, 318, 51–72. [Google Scholar] [CrossRef]
- Chen, K.; Xu, R.; Fang, H. Information Disclosure Model Under Supply Chain Competition with Asymmetric Demand Disruption. Asia Pac. J. Oper. Res. 2016, 33, 156–172. [Google Scholar] [CrossRef]
- Halinen, A.; Törnroos, J.-Å.; Elo, M. Network process analysis: An event-based approach to study business network dynamics. Ind. Mark. Manag. 2013, 42, 1213–1222. [Google Scholar] [CrossRef]
- Konovalenko, I.; Ludwig, A. Event processing in supply chain management—The status quo and research outlook. Comput. Ind. 2019, 105, 229–249. [Google Scholar] [CrossRef]
- Chang, Y.-H. Adopting co-evolution and constraint-satisfaction concept on genetic algorithms to solve supply chain network design problems. Expert Syst. Appl. 2010, 37, 6919–6930. [Google Scholar] [CrossRef]
- Hong, J.; Diabat, A.; Panicker, V.V.; Rajagopalan, S. A two-stage supply chain problem with fixed costs: An ant colony optimization approach. Int. J. Prod. Econ. 2018, 204, 214–226. [Google Scholar] [CrossRef]
- Sinha, A.K.; Aditya, H.K.; Tiwari, M.K.; Chan, F.T.S. Agent oriented petroleum supply chain coordination: Co-evolutionary Particle Swarm Optimization based approach. Expert Syst. Appl. 2011, 38, 6132–6145. [Google Scholar] [CrossRef]
- Altiparmak, F.; Gen, M.; Lin, L.; Paksoy, T. A genetic algorithm approach for multi-objective optimization of supply chain networks. Comput. Ind. Eng. 2006, 51, 196–215. [Google Scholar] [CrossRef]
- Kuo, R.J.; Han, Y.S. A hybrid of genetic algorithm and particle swarm optimization for solving bi-level linear programming problem—A case study on supply chain model. Appl. Math. Model. 2011, 35, 3905–3917. [Google Scholar] [CrossRef]
- Che, Z.H. A particle swarm optimization algorithm for solving unbalanced supply chain planning problems. Appl. Soft Comput. 2012, 12, 1279–1287. [Google Scholar] [CrossRef]
- Li, H.; He, H.; Wen, Y. Dynamic particle swarm optimization and K-means clustering algorithm for image segmentation. Optik 2015, 126, 4817–4822. [Google Scholar] [CrossRef]
- Mulani, K.; Talukdar, P.; Das, A.; Alagirusamy, R. Performance analysis and feasibility study of ant colony optimization, particle swarm optimization and cuckoo search algorithms for inverse heat transfer problems. Int. J. Heat Mass Transf. 2015, 89, 359–378. [Google Scholar] [CrossRef]
- Mandloi, M.; Bhatia, V. A low-complexity hybrid algorithm based on particle swarm and ant colony optimization for large-MIMO detection. Expert Syst. Appl. 2016, 50, 66–74. [Google Scholar] [CrossRef]
- Du, T.C.; Lai, V.S.; Cheung, W.; Cui, X. Willingness to share information in a supply chain: A partnership-data-process perspective. Inf. Manag. 2012, 49, 89–98. [Google Scholar] [CrossRef]
- Money, K.; Hillenbrand, C.; Day, M.; Magnan, G.M. Exploring reputation of B2B partnerships: Extending the study of reputation from the perception of single firms to the perception of inter-firm partnerships. Ind. Mark. Manag. 2010, 39, 761–768. [Google Scholar] [CrossRef]
- Lostakova, H.; Pecinova, Z. The Role of Partnership and Flexibility in Strengthening Customer Relationships in the B2B Market. Procedia Soc. Behav. Sci. 2014, 150, 563–575. [Google Scholar] [CrossRef]
- Eksoz, C.; Mansouri, S.A.; Bourlakis, M.; Önkal, D. Judgmental adjustments through supply integration for strategic partnerships in food chains. Omega 2018, 87, 20–33. [Google Scholar] [CrossRef]
- Elliott, S. Collaborative Advantage: Winning Through Extended Enterprise Supplier Networks: Jeffrey, H. Dyer; Oxford University Press, 2000. 209 + xii pages $27.50. J. Prod. Innov. Manag. 2001, 18, 352. [Google Scholar] [CrossRef]
- Shafique, M.; Rashid, A.; Bajwa, I.; Kazmi, R.; Khurshid, M.; Tahir, W. Effect of IoT Capabilities and Energy Consumption behavior on Green Supply Chain Integration. Appl. Sci. 2018, 8, 2481. [Google Scholar] [CrossRef]
- Kumar, V.; Chibuzo, E.N.; Garza-Reyes, J.A.; Kumari, A.; Rocha-Lona, L.; Lopez-Torres, G.C. The Impact of Supply Chain Integration on Performance: Evidence from the UK Food Sector ☆. Procedia Manuf. 2017, 11, 814–821. [Google Scholar] [CrossRef]
- Hwang, Y.-D.; Lin, Y.-C.; Lyu, J. The performance evaluation of SCOR sourcing process—The case study of Taiwan’s TFT-LCD industry. Int. J. Prod. Econ. 2008, 115, 411–423. [Google Scholar] [CrossRef]
- Luan, J.; Yao, Z.; Zhao, F.; Song, X. A novel method to solve supplier selection problem: Hybrid algorithm of genetic algorithm and ant colony optimization. Math. Comput. Simul. 2019, 156, 294–309. [Google Scholar] [CrossRef]
- Hou, Y.; Xiong, Y.; Wang, X.; Liang, X. The effects of a trust mechanism on a dynamic supply chain network. Expert Syst. Appl. 2014, 41, 3060–3068. [Google Scholar] [CrossRef]
- Cai, Y.; Xie, H.; Lau, R.Y.K.; Li, Q.; Wong, T.-L.; Wang, F.L. Temporal event searches based on event maps and relationships. Appl. Soft Comput. 2019, 105750. [Google Scholar] [CrossRef]
- Al-Areqi, S.; Görges, D.; Liu, S. Event-based networked control and scheduling codesign with guaranteed performance. Automatica 2015, 57, 128–134. [Google Scholar] [CrossRef]
- Fonfara, K.; Ratajczak-Mrozek, M.; Leszczyński, G. Change in business relationships and networks: Concepts and business reality. Ind. Mark. Manag. 2018, 70, 1–4. [Google Scholar] [CrossRef]
- Nisar, T.M.; Prabhakar, G. What factors determine e-satisfaction and consumer spending in e-commerce retailing? J. Retail. Consum. Serv. 2017, 39, 135–144. [Google Scholar] [CrossRef]
- Michalski, M.; Montes, J.L.; Narasimhan, R. Relational asymmetry, trust, and innovation in supply chain management: A non-linear approach. Int. J. Logist. Manag. 2019, 30, 303–328. [Google Scholar] [CrossRef]
- Tykhonov, D.; Jonker, C.; Meijer, S.; Verwaart, T. Agent-Based Simulation of the Trust and Tracing Game for Supply Chains and Networks. J. Artif. Soc. Soc. Simul. 2008, 11, 1–30. [Google Scholar]
- Barone, M.; Coscia, M. Birds of a feather scam together: Trustworthiness homophily in a business network. Soc. Netw. 2018, 54, 228–237. [Google Scholar] [CrossRef]
- Hou, Y.; Wang, X.; Wu, Y.J.; He, P. How does the trust affect the topology of supply chain network and its resilience? An agent-based approach. Transp. Res. Part E Logist. Transp. Rev. 2018, 116, 229–241. [Google Scholar] [CrossRef]
- Lima Junior, F.R.; Osiro, L.; Carpinetti, L.C.R. A comparison between Fuzzy AHP and Fuzzy TOPSIS methods to supplier selection. Appl. Soft Comput. 2014, 21, 194–209. [Google Scholar] [CrossRef]
- Predictive Analytics and Machine Learning in the Supply Chain. ThomasNet News 2018, 66.
- Feizabadi, J.; Shrivastava, A. Does AI-enabled demand forecasting improve supply chain efficiency? Supply Chain Manag. Rev. 2018, 22, 8–10. [Google Scholar]
- Wu, L.; Huang, G.; Fan, J.; Ma, X.; Zhou, H.; Zeng, W. Hybrid extreme learning machine with meta-heuristic algorithms for monthly pan evaporation prediction. Comput. Electron. Agric. 2019, 105115. [Google Scholar] [CrossRef]
- Kıran, M.S.; Gündüz, M.; Baykan, Ö.K. A novel hybrid algorithm based on particle swarm and ant colony optimization for finding the global minimum. Appl. Math. Comput. 2012, 219, 1515–1521. [Google Scholar] [CrossRef]
- Chen, Y.-W.; Wang, L.-C.; Wang, A.; Chen, T.-L. A particle swarm approach for optimizing a multi-stage closed loop supply chain for the solar cell industry. Robot. Comput. Integr. Manuf. 2017, 43, 111–123. [Google Scholar] [CrossRef]
- Engin, O.; Güçlü, A. A new hybrid ant colony optimization algorithm for solving the no-wait flow shop scheduling problems. Appl. Soft Comput. 2018, 72, 166–176. [Google Scholar] [CrossRef]
- Huang, C.-L.; Huang, W.-C.; Chang, H.-Y.; Yeh, Y.-C.; Tsai, C.-Y. Hybridization strategies for continuous ant colony optimization and particle swarm optimization applied to data clustering. Appl. Soft Comput. 2013, 13, 3864–3872. [Google Scholar] [CrossRef]
- Shelokar, P.S.; Siarry, P.; Jayaraman, V.K.; Kulkarni, B.D. Particle swarm and ant colony algorithms hybridized for improved continuous optimization. Appl. Math. Comput. 2007, 188, 129–142. [Google Scholar] [CrossRef]
- Kaveh, A.; Talatahari, S. A particle swarm ant colony optimization for truss structures with discrete variables. J. Constr. Steel Res. 2009, 65, 1558–1568. [Google Scholar] [CrossRef]
- Niu, S.H.; Ong, S.K.; Nee, A.Y.C. An enhanced ant colony optimiser for multi-attribute partner selection in virtual enterprises. Int. J. Prod. Res. 2012, 50, 2286–2303. [Google Scholar] [CrossRef]
- Bansal, J.C.; Singh, P.K.; Saraswat, M.; Verma, A.; Jadon, S.S.; Abraham, A. Inertia Weight strategies in Particle Swarm Optimization. In Proceedings of the 2011 Third World Congress on Nature and Biologically Inspired Computing, Salamanca, Spain, 19–21 October 2011; pp. 633–640. [Google Scholar]













| Characteristics | PSO | ACO | The Hybrid Algorithm |
|---|---|---|---|
| Evolutionary strategies | Yes | Yes | Yes |
| The quick convergence speed | Yes | No | Yes |
| The lack of information pheromone in the initial stage | No | Yes | No |
| The strong local searching capability | No | Yes | Yes |
| Positive feedback and distributed computation | No | Yes | Yes |
| Guarantee of good capability to search global optima or any specific approximation | No | Yes | Yes |
| Source | Degree of Freedom (DF) | Adj SS | Adj MS | F-Value | p-Value |
|---|---|---|---|---|---|
| Factor | 2 | 0.6324 | 0.316205 | 117.61 | 0.000 |
| Error | 147 | 0.4759 | 0.002689 | ||
| Total | 149 | 1.1083 |
| Algorithm | Supply Chain | Cooperated Suppliers | Objective Function Values |
|---|---|---|---|
| PSO | 1 | 1.4844 | |
| 2 | 1.4872 | ||
| 3 | 1.4882 | ||
| 4 | 1.4931 | ||
| 5 | 1.5063 | ||
| ACO | 1 | 1.6588 | |
| 2 | 1.6597 | ||
| 3 | 1.6599 | ||
| 4 | 1.6646 | ||
| 5 | 1.6673 | ||
| PSACO | 1 | 1.4432 | |
| 2 | 1.4454 | ||
| 3 | 1.4526 | ||
| 4 | 1.4538 | ||
| 5 | 1.4558 |
© 2019 by the authors. Licensee MDPI, Basel, Switzerland. This article is an open access article distributed under the terms and conditions of the Creative Commons Attribution (CC BY) license (http://creativecommons.org/licenses/by/4.0/).
Share and Cite
Lu, Z.; Wang, H. An Event-Based Supply Chain Partnership Integration Using a Hybrid Particle Swarm Optimization and Ant Colony Optimization Approach. Appl. Sci. 2020, 10, 190. https://doi.org/10.3390/app10010190
Lu Z, Wang H. An Event-Based Supply Chain Partnership Integration Using a Hybrid Particle Swarm Optimization and Ant Colony Optimization Approach. Applied Sciences. 2020; 10(1):190. https://doi.org/10.3390/app10010190
Chicago/Turabian StyleLu, Zhigang, and Hui Wang. 2020. "An Event-Based Supply Chain Partnership Integration Using a Hybrid Particle Swarm Optimization and Ant Colony Optimization Approach" Applied Sciences 10, no. 1: 190. https://doi.org/10.3390/app10010190
APA StyleLu, Z., & Wang, H. (2020). An Event-Based Supply Chain Partnership Integration Using a Hybrid Particle Swarm Optimization and Ant Colony Optimization Approach. Applied Sciences, 10(1), 190. https://doi.org/10.3390/app10010190

