Numerical Simulation of 3D Condensation Nanofluid Film Flow with Carbon Nanotubes on an Inclined Rotating Disk
Abstract
1. Introduction
2. Mathematical Modeling
3. Results and Discussion
4. Conclusions
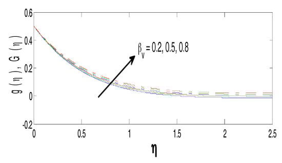
- The effect of dust momentum on the velocity profile and wall shear stress increased with greater dust particle momentum.
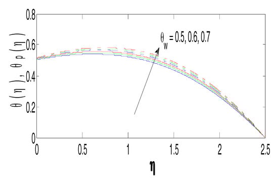
- The thermal dust parameter increased the Nusselt number, which decreased with increases in the ratio of wall temperature to ambient temperature.
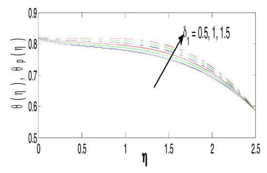
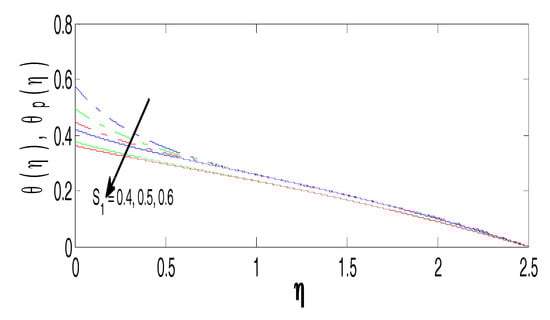
- The presence of dust particles increased the temperature and velocity boundary layer.
- The velocity profile and rotational coefficient showed a reciprocal trend.
- With increases in radiation, the thermal and flow field of nanofluid increased compared to those of dusty fluid.
Author Contributions
Funding
Acknowledgments
Conflicts of Interest
Abbreviations
| βν | Momentum dust parameter |
| βt | Thermal dust parameter |
| qr | Radiative heat flux W·m−2 |
| Rd | Radiation parameter |
| Pr | Prandtl number |
| Ω | Angular velocity (sec−1) |
| Nu | Nusselt number |
| l | Mass concentration of dust phase |
| S1 | Thermal stratification parameter |
| τt | Thermal relaxation time of dust phase |
| τν | Momentum relaxation time of dust phase |
| Q0 | Heat generation absorption coefficient (m2s−2) |
| μf | Dynamic viscosity of fluid (Pa·s) |
| μnf | Dynamic viscosity of nanofluid (Pa·s) |
| ρf | Density of the fluid (kgm−3) |
| knf | Thermal conductivity of the nanofluid (W·m−1) |
| ρnf | Density of the nanofluid (kgm−3) |
| kCNT | Thermal conductivity of carbon nanotubes |
| kf | Thermal conductivity of the fluid |
| δ | Density of nanofluid (kgm−3) |
| δ1 | Heat source parameter |
| γ | Specific heat ratio |
| θw | Temperature ratio parameter (K) |
| α | Condensation or normalized velocity (m2/s) |
| V(u, ν, w) | Velocity vector (ms−1) |
| Vp(up, νp, wp) | Velocity vector for dust phase (ms−1) |
| ρP | Density of dust particles (kgm−3) |
| Temperature of the fluid (K) | |
| Temperature of the fluid for dust phase (K) | |
| Ψ | Stefan–Boltzmann constant (W·m−2·K−4) |
| Average absorption coefficient (m−1) | |
| Temperature of the disk (K) | |
| Temperature of the surface of the film (K) | |
| Ambient fluid temperature (K) | |
| β | The angle of inclination (radians) |
| φ | Nanoparticle volume fraction |
| Gravitational acceleration (m/s2) |
References
- Doronin, G.; Larkin, N.A. Mathematical problems for a dusty gas flow. Bol. Soc. Parana. Matemática 2004, 22, 21–29. [Google Scholar] [CrossRef][Green Version]
- Farbar, L.; Morley, M. Heat transfer to flowing gas-solids mixtures in a circular tube. Ind. Eng. Chem. 1957, 49, 1143–1150. [Google Scholar] [CrossRef]
- Saffman, P.G. On the stability of laminar flow of a dusty gas. J. Fluid Mech. 1962, 13, 120–128. [Google Scholar] [CrossRef]
- Attia, H.A.; Abbas, W.; Abdeen, M.A. Ion slip effect on unsteady Couette flow of a dusty fluid in the presence of uniform suction and injection with heat transfer. J. Braz. Soc. Mech. Sci. Eng. 2016, 38, 2381–2391. [Google Scholar] [CrossRef]
- Krupalakshmi, K.L.; Gireesha, B.J.; Mahanthesh, B.; Gorla, R.S.R. Influence of nonlinear thermal radiation and magnetic field on upperconvected Maxwell fluid flow due to a convectively heated stretching sheet in the presence of dust particles. Commun. Numer. Anal. (ISPACS) 2016, 2016, 57–73. [Google Scholar] [CrossRef]
- Sandeep, N.; Sulochana, C.; Kumar, B.R. Unsteady MHD radiative flow and heat transfer of a dusty nanofluid over an exponentially stretching surface. Eng. Sci. Technol. Int. J. 2016, 19, 227–240. [Google Scholar] [CrossRef]
- Hamid, R.A.; Nazar, R.; Pop, I. Boundary layer flow of a dusty fluid over a permeable shrinking surface. Int. J. Numer. Methods Heat Fluid Flow 2017, 27, 758–772. [Google Scholar] [CrossRef]
- Ghadikolaei, S.S.; Hosseinzadeh, K.; Yassari, M.; Sadeghi, H.; Ganji, D.D. Boundary layer analysis of micropolar dusty fluid with TiO2 nanoparticles in a porous medium under the effect of magnetic field and thermal radiation over a stretching sheet. J. Mol. Liq. 2017, 244, 374–389. [Google Scholar] [CrossRef]
- Siddiqa, S.; Begum, N.; Ouazzi, A.; Hossain, M.A.; Gorla, R.S.R. Heat transfer analysis of Casson dusty fluid flow along a vertical wavy cone with radiating surface. Int. J. Heat Mass Transf. 2018, 127, 589–596. [Google Scholar] [CrossRef]
- Gireesha, B.J.; Mahanthesh, B.; Thammanna, G.T.; Sampathkumar, P.B. Hall effects on dusty nanofluid two-phase transient flow past a stretching sheet using KVL model. J. Mol. Liq. 2018, 256, 139–147. [Google Scholar] [CrossRef]
- Ramzan, M.; Mohammad, M.; Howari, F. Magnetized suspended carbon nanotubes based nanofluid flow with bio-convection and entropy generation past a vertical cone. Sci. Rep. 2019, 9, 1–15. [Google Scholar] [CrossRef] [PubMed]
- Alebraheem, J.; Ramzan, M. Flow of nanofluid with Cattaneo–Christov heat flux model. Appl. Nanosci. 2019, 1–11. [Google Scholar] [CrossRef]
- Hassan, M.; Mohyud-Din, S.T.; Ramzan, M. Study of heat transfer and entropy generation in ferrofluid under low oscillating magnetic field. Indian J. Phys. 2019, 93, 749–758. [Google Scholar] [CrossRef]
- Ramzan, M.; Gul, H.; Kadry, S. Onset of Cattaneo-Christov Heat Flux and Thermal Stratification in Ethylene-Glycol Based Nanofluid Flow Containing Carbon Nanotubes in a Rotating Frame. IEEE Access 2019, 7, 146190–146197. [Google Scholar] [CrossRef]
- Ramzan, M.; Mohammad, M.; Howari, F.; Chung, J.D. Entropy analysis of carbon nanotubes based nanofluid flow past a vertical cone with thermal radiation. Entropy 2019, 21, 642. [Google Scholar] [CrossRef]
- Rashidi, S.; Akar, S.; Bovand, M.; Ellahi, R. Volume of fluid model to simulate the nanofluid flow and entropy generation in a single slope solar still. Renew. Energy 2018, 115, 400–410. [Google Scholar] [CrossRef]
- Khan, U.; Ahmad, S.; Ramzan, M.; Suleman, M.; Lu, D.; Inam, S. Numerical Simulation of Darcy–Forchheimer 3D Unsteady Nanofluid Flow Comprising Carbon Nanotubes with Cattaneo–Christov Heat Flux and Velocity and Thermal Slip Conditions. Processes 2019, 7, 687. [Google Scholar]
- Li, Z.; Shafee, A.; Kandasamy, R.; Ramzan, M.; Al-Mdallal, Q.M. Nanoparticle transportation through a permeable duct with Joule heating influence. Microsyst. Technol. 2019, 25, 3571–3580. [Google Scholar] [CrossRef]
- Ramzan, M.; Bilal, M.; Chung, J.D. Radiative Williamson nanofluid flow over a convectively heated Riga plate with chemical reaction-A numerical approach. Chin. J. Phys. 2017, 55, 1663–1673. [Google Scholar] [CrossRef]
- Turkyilmazoglu, M. Buongiorno model in a nanofluid filled asymmetric channel fulfilling zero net particle flux at the walls. Int. J. Heat Mass Transf. 2018, 126, 974–979. [Google Scholar] [CrossRef]
- Ramzan, M.; Bilal, M.; Chung, J.D. Effects of thermal and solutal stratification on Jeffrey magneto-nanofluid along an inclined stretching cylinder with thermal radiation and heat generation/absorption. Int. J. Mech. Sci. 2017, 131, 317–324. [Google Scholar] [CrossRef]
- Ramzan, M.; Sheikholeslami, M.; Saeed, M.; Chung, J.D. On the convective heat and zero nanoparticle mass flux conditions in the flow of 3D MHD Couple Stress nanofluid over an exponentially stretched surface. Sci. Rep. 2019, 9, 562. [Google Scholar] [CrossRef] [PubMed]
- Zeeshan, A.; Ijaz, N.; Abbas, T.; Ellahi, R. The sustainable characteristic of bio-bi-phase flow of peristaltic transport of MHD Jeffrey fluid in the human body. Sustainability 2018, 10, 2671. [Google Scholar] [CrossRef]
- Ramzan, M.; Sheikholeslami, M.; Chung, J.D.; Shafee, A. Melting heat transfer and entropy optimization owing to carbon nanotubes suspended Casson nanoliquid flow past a swirling cylinder-A numerical treatment. AIP Adv. 2018, 8, 115130. [Google Scholar] [CrossRef]
- Hussien, A.A.; Yusop, N.M.; Abdullah, M.Z.; Moh’d, A.A.N.; Khavarian, M. Study on convective heat transfer and pressure drop of MWCNTs/water nanofluid in mini-tube. J. Therm. Anal. Calorim. 2019, 135, 123–132. [Google Scholar] [CrossRef]
- Choi, S.U.; Eastman, J.A. Enhancing Thermal Conductivity of Fluids with Nanoparticles; No. ANL/MSD/CP-84938; CONF-951135-29; Argonne National Lab.: Lemont, IL, USA, 1995. [Google Scholar]
- Hatami, M.; Jing, D.; Yousif, M.A. Three-dimensional analysis of condensation nanofluid film on an inclined rotating disk by efficient analytical methods. Arab J. Basic Appl. Sci. 2018, 25, 28–37. [Google Scholar] [CrossRef][Green Version]
- Sparrow, E.M.; Gregg, J.L. A theory of rotating condensation. J. Heat Transf. 1959, 81, 113–119. [Google Scholar] [CrossRef]
- Beckett, P.M.; Hudson, P.C.; Poots, G. Laminar film condensation due to a rotating disk. J. Eng. Math. 1973, 7, 63–73. [Google Scholar] [CrossRef]
- Chary, S.P.; Sarma, P.K. Condensation on a rotating disk with constant axial suction. J. Heat Transf. 1976, 98, 682–684. [Google Scholar] [CrossRef]
- Mudawar, I.; Estes, K. Optimizing and predicting CHF in spray cooling of a square surface. J. Heat Transf. 1996, 118, 672–679. [Google Scholar] [CrossRef]
- Jensen, K.F.; Einset, E.O.; Fotiadis, D.I. Flow phenomena in chemical vapor deposition of thin films. Annu. Rev. Fluid Mech. 1991, 23, 197–232. [Google Scholar] [CrossRef]
- Wang, C. Analytic solutions for a liquid film on an unsteady stretching surface. Heat Mass Transf. 2006, 42, 759–766. [Google Scholar] [CrossRef]
- Lu, D.; Ramzan, M.; Mohammad, M.; Howari, F.; Chung, J.D. A Thin Film Flow of Nanofluid Comprising Carbon Nanotubes Influenced by Cattaneo-Christov Heat Flux and Entropy Generation. Coatings 2019, 9, 296. [Google Scholar] [CrossRef]
- Wang, C.Y. Liquid film on an unsteady stretching surface. Q. Appl. Math. 1990, 48, 601–610. [Google Scholar] [CrossRef]
- Andersson, H.I.; Aarseth, J.B.; Dandapat, B.S. Heat transfer in a liquid film on an unsteady stretching surface. Int. J. Heat Mass Transf. 2000, 43, 69–74. [Google Scholar] [CrossRef]
- Lin, Y.; Zheng, L.; Zhang, X.; Ma, L.; Chen, G. MHD pseudo-plastic nanofluid unsteady flow and heat transfer in a finite thin film over stretching surface with internal heat generation. Int. J. Heat Mass Transf. 2015, 84, 903–911. [Google Scholar] [CrossRef]
- Bilal, M.; Ramzan, M. Hall current effect on unsteady rotational flow of carbon nanotubes with dust particles and nonlinear thermal radiation in Darcy–Forchheimer porous media. J. Therm. Anal. Calorim. 2019, 1–11. [Google Scholar] [CrossRef]
- Shah, Z.; Ullah, A.; Bonyah, E.; Ayaz, M.; Islam, S.; Khan, I. Hall effect on Titania nanofluids thin film flow and radiative thermal behavior with different base fluids on an inclined rotating surface. AIP Adv. 2019, 9, 055113. [Google Scholar] [CrossRef]












| Thermophysical Properties | Base Fluid (H2O) | Single-Walled Carbon Nanotubes (SWCNTs) |
|---|---|---|
| 4179 | 425 | |
| 997.1 | 2600 | |
| 0.613 | 6600 |
| 6.9 | 0.5 | 0.5 | 0.5 | 0.5 | 0.2471 |
| 7.0 | 0.2554 | ||||
| 7.1 | 0.2639 | ||||
| 0.6 | 0.3168 | ||||
| 0.7 | 0.3894 | ||||
| 0.8 | 0.4650 | ||||
| 0.6 | 0.3903 | ||||
| 0.7 | 0.5936 | ||||
| 0.8 | 0.9109 | ||||
| 0.6 | 0.9767 | ||||
| 0.7 | 0.6708 | ||||
| 0.8 | 0.4349 | ||||
| 0.6 | 0.2417 | ||||
| 0.7 | 0.2435 | ||||
| 0.8 | 0.24530 |
| 1.2 | 0.5 | 0.1 | 0.1 | 0.1057 |
| 1.3 | 0.1014 | |||
| 1.4 | 0.0988 | |||
| 0.7 | 0.5857 | |||
| 0.8 | 0.5890 | |||
| 0.9 | 0.5900 | |||
| 0.2 | 0.0873 | |||
| 0.3 | 0.0431 | |||
| 0.2 | 0.6789 | |||
| 0.3 | 0.9191 |
| HAM Result | Numerical Result | Present | |
|---|---|---|---|
| 0 | 0.000000 | −1.739080 × 10−9 | −1.739080 × 10−9 |
| 0.1 | 0.004739 | 0.004707 | 0.004730 |
| 0.2 | 0.018245 | 0.018116 | 0.018234 |
| 0.3 | 0.039447 | 0.039159 | 0.039439 |
| 0.4 | 0.067284 | 0.066775 | 0.067252 |
| 0.5 | 0.100707 | 0.099923 | 0.100699 |
| 0.6 | 0.138694 | 0.137585 | 0.138685 |
| 0.7 | 0.180252 | 0.178775 | 0.180239 |
| 0.8 | 0.224425 | 0.222546 | 0.224386 |
| 0.9 | 0.270298 | 0.267994 | 0.270284 |
| 1.0 | 0.316999 | 0.314258 | 0.316991 |
© 2019 by the authors. Licensee MDPI, Basel, Switzerland. This article is an open access article distributed under the terms and conditions of the Creative Commons Attribution (CC BY) license (http://creativecommons.org/licenses/by/4.0/).
Share and Cite
Ramzan, M.; Riasat, S.; Kadry, S.; Long, C.; Nam, Y.; Lu, D. Numerical Simulation of 3D Condensation Nanofluid Film Flow with Carbon Nanotubes on an Inclined Rotating Disk. Appl. Sci. 2020, 10, 168. https://doi.org/10.3390/app10010168
Ramzan M, Riasat S, Kadry S, Long C, Nam Y, Lu D. Numerical Simulation of 3D Condensation Nanofluid Film Flow with Carbon Nanotubes on an Inclined Rotating Disk. Applied Sciences. 2020; 10(1):168. https://doi.org/10.3390/app10010168
Chicago/Turabian StyleRamzan, Muhammad, Saima Riasat, Seifedine Kadry, Chhaihuoy Long, Yunyoung Nam, and Dianchen Lu. 2020. "Numerical Simulation of 3D Condensation Nanofluid Film Flow with Carbon Nanotubes on an Inclined Rotating Disk" Applied Sciences 10, no. 1: 168. https://doi.org/10.3390/app10010168
APA StyleRamzan, M., Riasat, S., Kadry, S., Long, C., Nam, Y., & Lu, D. (2020). Numerical Simulation of 3D Condensation Nanofluid Film Flow with Carbon Nanotubes on an Inclined Rotating Disk. Applied Sciences, 10(1), 168. https://doi.org/10.3390/app10010168

