Next Article in Journal
The Effect of Digitalization on Innovation Capabilities through the Lenses of the Knowledge Management Strategy
Previous Article in Journal
The Institutionalization of Implicit and Explicit CSR in a Developing Country Context: The Case of Lebanon
 
 
Font Type:
Arial Georgia Verdana
Font Size:
Aa Aa Aa
Line Spacing:
Column Width:
Background:
Article

Employee Performance Measures Appraised by Training and Labor Market: Evidence from the Banking Sector of Germany

1
Faculty of Business Administration, Brandenburg University of Technology, 03046 Cottbus, Germany
2
PREA Group GmbH, 12529 Schönefeld, Germany
3
International Business School, Teesside University Business School, Middlesbrough TS1 3BX, UK
*
Authors to whom correspondence should be addressed.
Adm. Sci. 2022, 12(4), 143; https://doi.org/10.3390/admsci12040143
Submission received: 2 September 2022 / Revised: 3 October 2022 / Accepted: 8 October 2022 / Published: 20 October 2022

Abstract

Our paper examines the impact of training outputs and employment factors on several facets of employee performance while supporting managerial decision-making in the banking sector. First, we introduce four performance measures in individual productivity assessment. Second, three identified groups of covariates are associated with these measures, namely, the training method success, delivery of knowledge, and labor market performance feedback. Based on our empirical results from Germany, we suggest that response-related decisions are accompanying bank employees’ profiles and appraisal. In particular, we form decision-making functions and finally show that the banking industry successfully balances between internal and external factors in optimizing employees’ performance.

1. Introduction

Employee performance measures and their influential factors are, in current research and practice, given proper importance in managerial economics. The sequence of our paper emphasizes employee measures and elaborates comprehensively about factors that may influence them; a similar viewpoint is shared by Pitts and Evans (2019) who investigate the elite coordinators’ role in decision-making. We study the performance across variable clusters, and propose to use four performance measures. In the spirit of Ittner and Larcker (2002), we here distinguish between quantitative and qualitative measures. Furthermore, in anticipating the regressors’ effects, we resort to Graves and Ringuest (2018) and here provide decision-making functions based on regressor values. The proposed relationships are accounting for heterogeneity, as motivated by Deming and Kahn (2018), and potential estimation biases (see Harvey and Liu (2016)). Therefore, common variable choices and their variation have been studied in a linear and non-parametric way in our paper.
Consistent with labor market literature on working measures, we select and analyze key measures of performance, namely, satisfaction, achievement, accuracy, and motivation. The first two measures are widely practiced and supportive in our context. Employee performance is related with key factors appointed by business professionals and human resource decision-makers. Moreover, this research suggests how organizations can quantify and understand potential employee development by utilizing a multivariable approach. To complete the list of multiple measures, we propose accuracy and motivation as further relevant performance indicators, for example, Jacob and Lefgren (2008) look at achievement. We thus emphasize a comprehensive approach; multiple measures are provided in the work of Zavertiaeva et al. (2018), and we use the abovementioned four measures in the managerial decision-making process.
What drives performance measures? Our overall impression is that researchers suggest to consider groups and clusters of explanatory variables. Using three identified clusters in the employees’ data context of German banks, we focus on training method success, transfer of knowledge, and feedback appraisal. Managerial effects on worker performance are thus quantified and our results are consistent with the research on worker productivity (see Pitts and Evans (2019)). The above selection of factors and key variables ultimately depends upon the decision to be made. In our field, training method leads in the literature, due to its impact on satisfaction. Concerning the team size, we advocate decision-making for teamwork productivity and especially for relatively small teams, as often encountered in leadership practice; see Hensel and Visser (2019); Oswald et al. (2015). Transfer of knowledge quality ultimately leads to the results for measures such as task achievement and accuracy. Feedback appraisal, i.e. work recognition and overall labor market, support this list. Needless to say, we address in our work all three considered groups of identified variable clusters and study their importance on the performance measures.
In line with the above, our contribution is twofold. First, we comprehensively propose and analyze several measures applied to the banking sector in Germany. In the standard literature, often there is a selection of one, or two at best, measures. The overall consensus is that this is relatively sufficient as being preselected by the researcher; nevertheless, it is a relatively restrictive solution in decision-making. In some circumstances, this selection is insufficient. To our knowledge, this is motivated by practical and more convenient reasons. Therefore, we aim to elaborate in more detail and to expand the existing knowledge. Note that on the side of explanatory variables, we are following the common practice of grouping key variables and evaluating their impact on performance. Second, advocating decision-making functions, we provide robustness support for our study and provide evidence about existing non-linearity of the relationships between key selected modeling variables. To the best of our knowledge, our paper is the first to propose these approaches in the managerial decision context in labor economics for small teams. Our results are thus attractive to small team leaders where possibilities and functions are quantified to assess the influence of variables on the performance.
Our empirical study considers four employee performance measures at German banks in 2021. The conducted analysis reveals several attractive and interesting findings. For instance, skills and knowledge gained through training methods have a strong and significant impact on the satisfaction, achievement, and accuracy levels; the implied positive direction and the goodness-of-fit assessment are also supported by non-parametric estimation results. Moreover, a significant constant motivation level is documented for the delivery of training knowledge factors from both modeling perspectives. Although the attachment to the bank and professional obligation feeling have a significant linear impact on accuracy and motivation, surprisingly, the non-parametric fit exhibits no marginal effect. Our groundbreaking result is related to the impact of appraisal on the satisfaction, achievement, and accuracy levels: based on our work, interestingly, diverse significant results are obtained. In the case of marginal appraisal improvement, the linear fit suggests a positive performance enhancement, whereas the non-parametric estimation implies opposite change, and vice versa. We elaborate in more detail about all resulting performance direction movements.
The present work is structured as follows: after the employee performance measures and groups of covariates are presented in Section 2, we introduce our research methodology, decision functions, and data collected through a survey from German banking employees in Section 3. Our empirical research results are presented according to the chosen covariates’ groups in Section 4, and the identified key performance drivers are thoroughly discussed from selected managerial perspectives in Section 5. Section 6 finally concludes.

2. Employee Performance Measures and Covariates

To meet the organization goals, employees demand a working environment that allows them to work at their full potential. The first part of this section focuses on key measures and offers quantifiable options for decision-makers. Supported by current research, we utilize and quantify four performance measures, namely, satisfaction, achievement, accuracy, and motivation. In current research, one, or at best two (rarely three), of these measures are selected. The most often used measures are satisfaction and achievement, then accuracy and motivation. For example, a supportive study conducted by Van Reenen et al. (2016) considers productivity and employee ability using German data. We find further support in the study of Jacob and Lefgren (2008) about achievement. In our opinion, a multiple approach serves the decision-maker quite well.
There are many variables that influence performance, and to this investigation, we devote the second part of this section. Our overall focus is on the groups of training method success, knowledge delivery, and performance appraisal. We analyze the relationship between performance measures and the covariates; as a specialized example from labor market, one can consider the correlation between worker productivity and work recognition (see Grolleau et al. (2015)). Our effort includes a comprehensive dependence analysis at a personal level while accounting for joint multivariate effects of labor market environment and training on performance.

2.1. Employee Performance Measures

Here, we discuss employee performance results from several aspects (see for instance Khan et al. 2022). While satisfaction and motivation are related to the qualitative performance aspect, achievement and accuracy cover the quantitative side; here, our selection was motivated by the aforementioned Ittner and Larcker (2002). In any case, we consider three equally weighted instruments per adopted measure; see the overview in the sequel. Most frequently individually observed performance measures are combined in this research work. This gives us a more elaborate understanding of the selected measures at hand.
In all measures, the adopted measurement levels follow the standard literature suggestions. For example, satisfaction looks at personal aspect, satisfaction about obtaining knowledge, and level of capacity enhancement. In contrast, achievement is related to performance enhancement, task achievement, and desired goal accomplishment. Furthermore, accuracy deals with the standard relevancy, task performance within a given time period, and job quality improvement. As a suggested measure, motivation encompasses optimism, career path possibilities, innovation, creativity, and equality.
For the purpose of this study, the data were gathered at the primary level by a questionnaire. Our questionnaire includes two main sections. First, employees were asked to answer four demographic questions (gender, age, experience, qualification). In the second stage, employees expressed their opinion on focused major topics. The responses from the target audience were gathered using a 5-point Likert scale ranging from strongly disagree (1) to strongly agree (5). In order to fit the questionnaire to the Germany context, the wording for some of the questions was changed and questionnaires were translated into the German language for the comfort of the respondents. After that, the questionnaire was distributed to the managerial-level German bank employees (branch managers, area managers, and operations managers) through an online survey portal, including leading banks such as Deutsche Bank, Commerzbank, and Sparkasse Bank. The sample size in this research was chosen by Hair et al. (1998) who proposed the ratio of “10:1”, i.e., number of variables multiply by 10.
Quantitative and qualitative perspectives and adopted levels are therefore here jointly developed and integrated into our research methodology. In all situations, a five-scale measurement is adopted and the results are equally weighted. In the sequel, we discuss the groups of exogenous variables and thereafter propose functions for decision-making.

2.2. Groups of Covariates

The pattern of training methods, the content transmission, and appraisal strengths impact the whole training program and employees’ productivity. The literature suggests that accommodated measures now depend upon groups of covariates, namely, the training method success, delivery of knowledge, and performance feedback in the labor market environment.
Employee performance measures and equally weighted instruments
Y 1 :  “Satisfaction”
  (a)
I am satisfied with my performance appraisal
  (b)
I am satisfied with the current transfer of knowledge during training
  (c)
The current adopted training method enhances my capacity
Y 2 :  “Achievement”
  (a)
The performance appraisal, I receive, is helpful in my performance improvement
  (b)
The current training method improves my performance
  (c)
After training, I meet the target quotas and goals more easily than before
Y 3 :  “Accuracy”
  (a)
The best employee receives highest evaluation scores
  (b)
The current training method enriches my efficiency in task achievement
  (c)
A training session has played a significant role in improving the quality of my job
Y 4 :  “Motivation”
  (a)
I believe that more career paths will merge and more opportunities will come my way after getting training
  (b)
The current training method promotes innovation and creativity
  (c)
I feel treated fairly during the performance appraisal process.
When business patterns change frequently, the employees need more skills and knowledge to meet the current needs. Changes in operating systems have had a dramatic impact on the contribution of employees in performing tasks. In order to manage the change, training alone is not enough, but a suitable training method is very significant to deliver training contents successfully. Employee training methods play an integral part in employees’ training; it is necessary for both the company and its employees. For the effective training program, the training method is key to keep employees one step ahead of the competition. The success of the training method is in intense competition based on the creativity, motivation, and adaptability of employees.
Delivery of knowledge is an important stage in the training process: if this stage is successful then the organization can have the maximum outcome. Knowledge cannot be easily transferred from trainer to the trainee in the effective manner without deep concentration on knowledge delivery flow. In the knowledge transfer process, the trainers pass along knowledge by influencing employees in their knowledge building process by providing required information on how to perform certain duties successfully. The driving force behind successful organization is to focus on knowledgeable employees. In this context, consistency and continuity are needed to understand successful knowledge transfer.
Appraisals also have benefits Cappelli and Conyon (2018) in the spirit of worker monitoring Bose and Lang (2017). Performance appraisal involves discussion, observation, and recommendation of employees’ performance of assigned responsibilities. The performance appraisal measures the ability to perform allotted tasks with precision and accuracy within a specific time and also identifies the strengths and weaknesses of employees during job performance for better productivity Kampkötter and Sliwka (2018).
To summarize our research suggestions, employee performance measures depend upon selected groups of explanatory variables. Regression models enable us to formalize decision-making functions and are thus suitable and appreciated tools in this context. Variation in the measures response measurement is related to the heterogeneity of the underlying covariate group.

3. Research Methodology and Data Analysis

Researchers often utilize linear regression models, arguing that the direction and significance of the dependence is of the utmost importance. However, this argument potentially neglects the non-linearity nature of the available data. Thus, our paper addresses this issue by providing both linear and non-parametric estimates in the regression framework. The main goal of this section is to examine to what extent the training and labor market environment impact the employees’ performance, and to suggest decision-making functions. The survey information is thereafter elaborated.
A standard approach to measure the effect of explanatory variables on the performance measures variation is the linear regression model, due to its average effect consideration. The formal expression accounts for a parametric linear fit, namely,
Y = f X + ε = β X + ε
with f · being a linear function, random variables X R p + 1 , and parameter vector β = β 0 , β 1 , , β p , with zero-mean, constant variance, and innovation variable ε (see, for example, Härdle and Simar (2019); Wooldridge (2009)). Here, the parameters quantify the marginal effect of the change in a covariate on the considered measures. This linear decision-making function is, to the best of our knowledge, exclusively used in research studies about performance measurement due to its appealing properties.
In practice, one observes only a sample of data from the entire population of all statistical units, here, employees. We denote by n the number of sample observations and obtain an n-dimensional response vector y n × 1 and the data matrix X n × p . Thereafter, the parameter vector β is estimated by ordinary least square and/or maximum likelihood estimate as follows:
β ^ = X X 1 X y
and the decision-makers base their decisions on the signs, magnitudes, and relative strength of these coefficients. Often, the significance of these parameters is judged through statistical testing procedures in the employed parametric context. For convenience, in hypothesis testing, we select a 5% significance level and correspondingly report our findings.
Non-parametric regression modeling enables decision-makers to gain more data-driven insights into the data variation and marginal effect measurements. For a performance measure Y and a selected regressor X joined via a function m · , we formally have
Y = m X + ε
(see Härdle et al. (2004)). The idea here is to use the non-parametrically estimated function m () in decision-making. This function may reveal potential non-linearities present in the considered datasets. In statistical (univariate) modeling, the function can be estimated by the Nadaraya–Watson kernel regression estimate:
m ^ h x = i = 1 n K x x i h y i i = 1 n K x x i h ,
with data points x i of the random variable X and a commonly chosen Gaussian kernel function:
K u = φ u = 1 2 π exp u 2 2 ,
and an optimally selected bandwidth h (see, for example, Härdle et al. (2004)). Based on the results, one can therefore support their decision-making process while including/account for possible nonlinear or non-parametric data dependence structures.
On the side of seemingly “semi-parametric modeling”, we here resort to leave-one-out estimation. This approach will provide us with robust estimates of the linear regression. A decision-making function proposed for the policymaker here is the jackknife estimation technique; see Cameron and Trivedi (2005). Essentially, the estimated marginal effect vector from the linear parametric fit is here adjusted by the modeling bias, more formally,
β ^ i = X i X i 1 X i y i β ˜ = n β ^ n 1 n i = 1 n β ^ i
where the final estimate β ˜ accounts for possible atypical data values. This makes it a desirable tool while dealing with relatively small samples, in practice, while managing small-sized teams.
In our survey, we focus on the German banking industry. Data were collected through a questionnaire from German banks from selected cities, and our sample is based on employees from the banking industry and is supported by discussions and interviews with managers and decision-makers. In the conveyed survey, five-scale measurement was utilized, ranging from “strongly disagree” to “strongly agree”; as explained in our paper, our questionnaire structure accounts for individual heterogeneity (see Frederiksen et al. (2020)). In our opinion, key performance managerial “enhancing” variables were collected and thus we are able to enrich the decision-making process. It is notable that we focus on direct and indirect effects of decisions on the employees’ performance.

4. Empirical Results

4.1. Training Method Success

In modern economies, technology and professionalism demand that organizations need to prepare employees with required skills. To help employees to update their knowledge and skills, appropriate training methods are a step toward transforming training contents into practice. In this aspect, we look at the influence of success of currently adopted training methods on trainee satisfaction, achievement, accuracy, and the motivation level. The key selected training method covariates are, correspondingly,
( X 1 )
Skills/Knowledge: “The adopted training method develops my skills and knowledge.”
( X 2 )
Importance: “After receiving training, it is more obvious that skills are very important to perform my job tasks.”
( X 3 )
Improvement: “Training programs help to reduce difficulties in task achievements.”
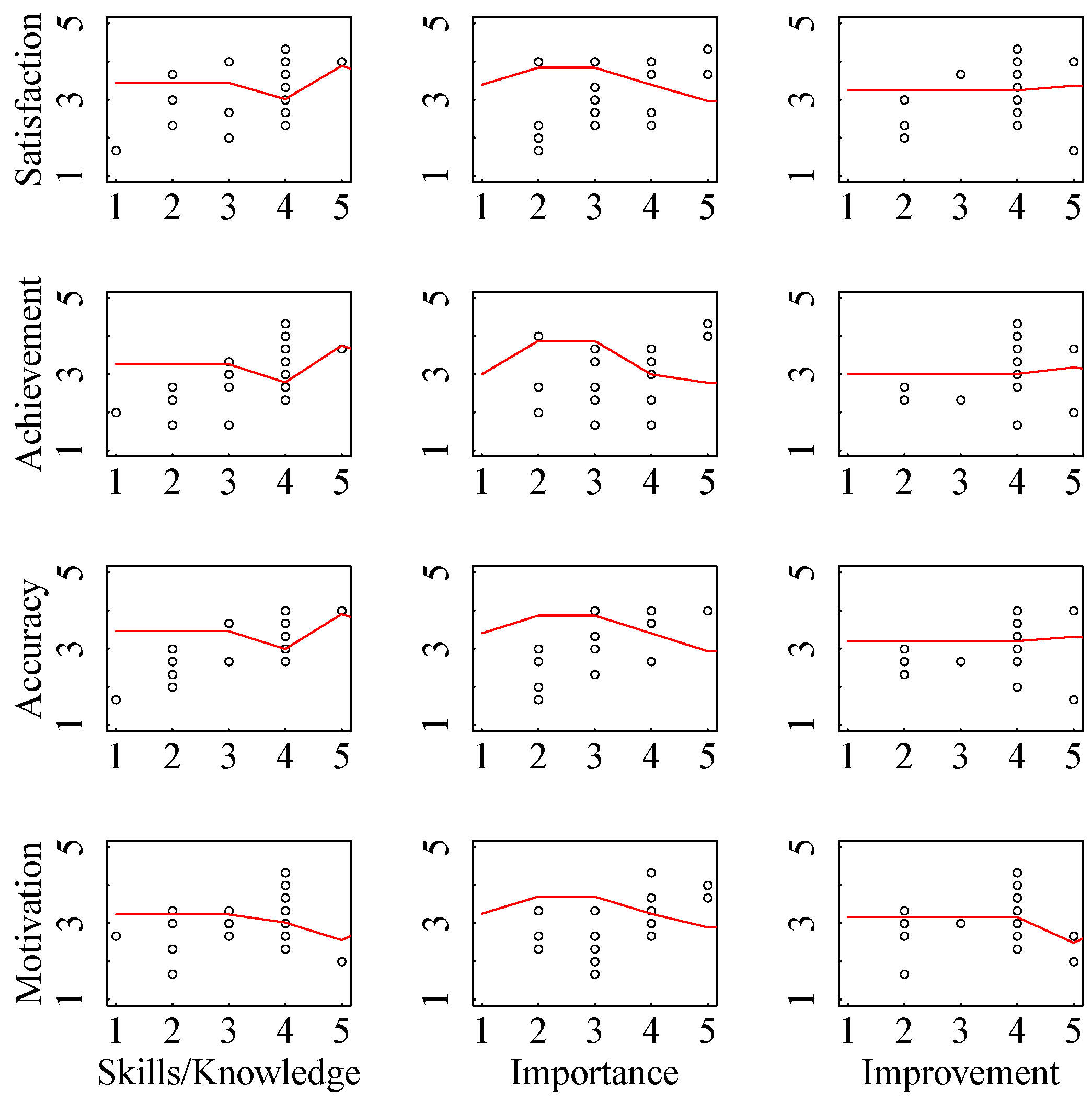
Related to variable significance, we observe that several variables are statistically important to explain the performance data variation. Most prominently, the variable X 1 : “Skills/Knowledge” significantly explains all measures except motivation; see Table 1. One additionally observes that the variable X 2 : “Importance” strongly impacts accuracy and moderately impacts the satisfaction and motivation level. In response-related managerial decision-making (see Figure 1), we document a positive linear impact of the first and second regressors on the abovementioned performance data. As expected, both regressors have a relatively large, by magnitude, impact on the performance measures in the banking sector of Germany. The estimated marginal effects of the most influential data are between 0.30 and 0.40, meaning that a unit increase in the covariate on average increases the performance level by this amount.
Investigating the non-parametric fit, one observes a relatively stable estimation up to moderate covariate values and a changing effect at higher levels. We observe an increasing function for variable X 1 and, surprisingly, a decreasing shape for variable X 2 ; see Figure 1. Here, the non-parametric fit was conducted by utilizing the “np Package” of Hayfield and Racine (2008). The variable X 3 exercises a relatively constant influence. As a consequence, decision-makers should be cautious while influencing the importance level. If a employee has a relatively high importance, his/her performance may decline (non-parametric fit) or increase (parametric fit). We thus recommend to consider our reported decision-making functions at a moderate importance level in order to safely boost performance.
In our robustness analysis, the estimated results of β ˜ are presented as follows:
Y 1 0.06 0.40 0.33 0.25 , Y 2 0.56 0.33 0.04 0.15 , Y 3 0.12 0.47 0.30 0.22 , Y 4 1.61 0.04 0.33 0.03
This robustness study additionally supports the presented marginal results above: observe the relative similar values of the initial, and the leave-one-out estimated results of β ˜ . It is worth mentioning that our empirical results exhibit excellent goodness-of-fit. This especially holds for explaining accuracy, and thereafter, satisfaction and achievement variation. These are the measures which a decision-maker can understand and influence the most while dealing with training method success.

4.2. Delivery of Training Knowledge

In decision-making practice, an employee trainer influences the accomplishment of current and future tasks of employees. It is a two-stage process: a trainer firstly transfers the information to the attendees and then, secondly, the information is converted into knowledge. Here, we correspondingly account for employees’ opinions to reveal key performance variables and potentially surprising effects as encountered in the section above. For a decision-making person, we suggest to consider taking additional possibilities, surprising effects, and additional factors into account. Concerning the basic knowledge transmission elements, such as the gained knowledge, compatibility, competence, and performance/cost challenges, we investigate the following delivery of knowledge variables:
( X 4 )
Growth/Skills: “The training program is helpful for personal growth and skills”.
( X 5 )
Customers: “The skills and knowledge gained through training enable me to deliver quality service to the customers”.
( X 6 )
Organization: “After being trained, I feel much more attachment and professional obligation towards my organization” (see Figure 2).
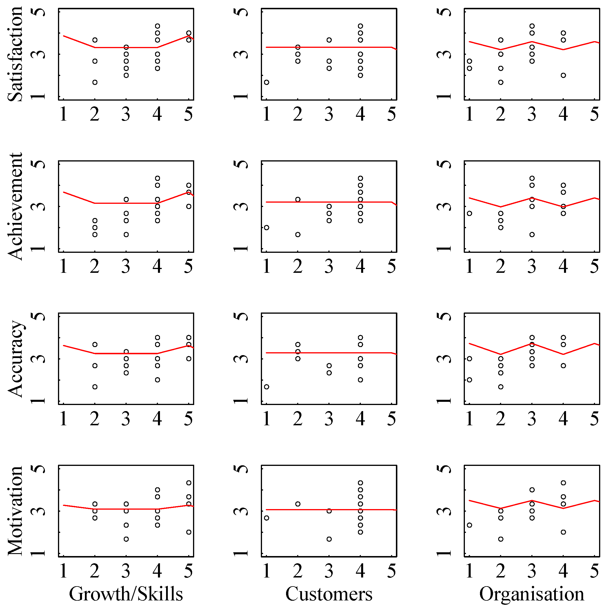
From all variables, organization plays a highly significant role in explaining performance data variation (see Table 2). It is expected that an improvement in the organization leads to improved accuracy and motivation. However, looking at the non-parametric fit shape, we observe that the initial organization level matters. For instance, for a slightly-below-average organization response, one would expect a performance increase, and a performance decrease if the initial value is around average. Thereafter, an increase is expected (with the increasing organization level).
The goodness-of-fit is similar to before: we obtain credible results, especially for modeling achievement, accuracy, and satisfaction. Similarly, our robustness analysis reveals stable estimates; related to the delivery of training knowledge, the estimated results of β ˜ are given as follows:
Y 1 0.97 0.43 0.04 0.20 , Y 2 0.70 0.36 0.16 0.05 , Y 3 1.16 0.10 0.22 0.36 , Y 4 2.10 0.01 0.06 0.46
The delivery of training knowledge improvement may thus strongly affect the accuracy and motivation measures. In decision-making, one should take the initial regressor value into account; our overall results are quite satisfactory from the econometric point of view.

4.3. Performance Feedback and Labor Market

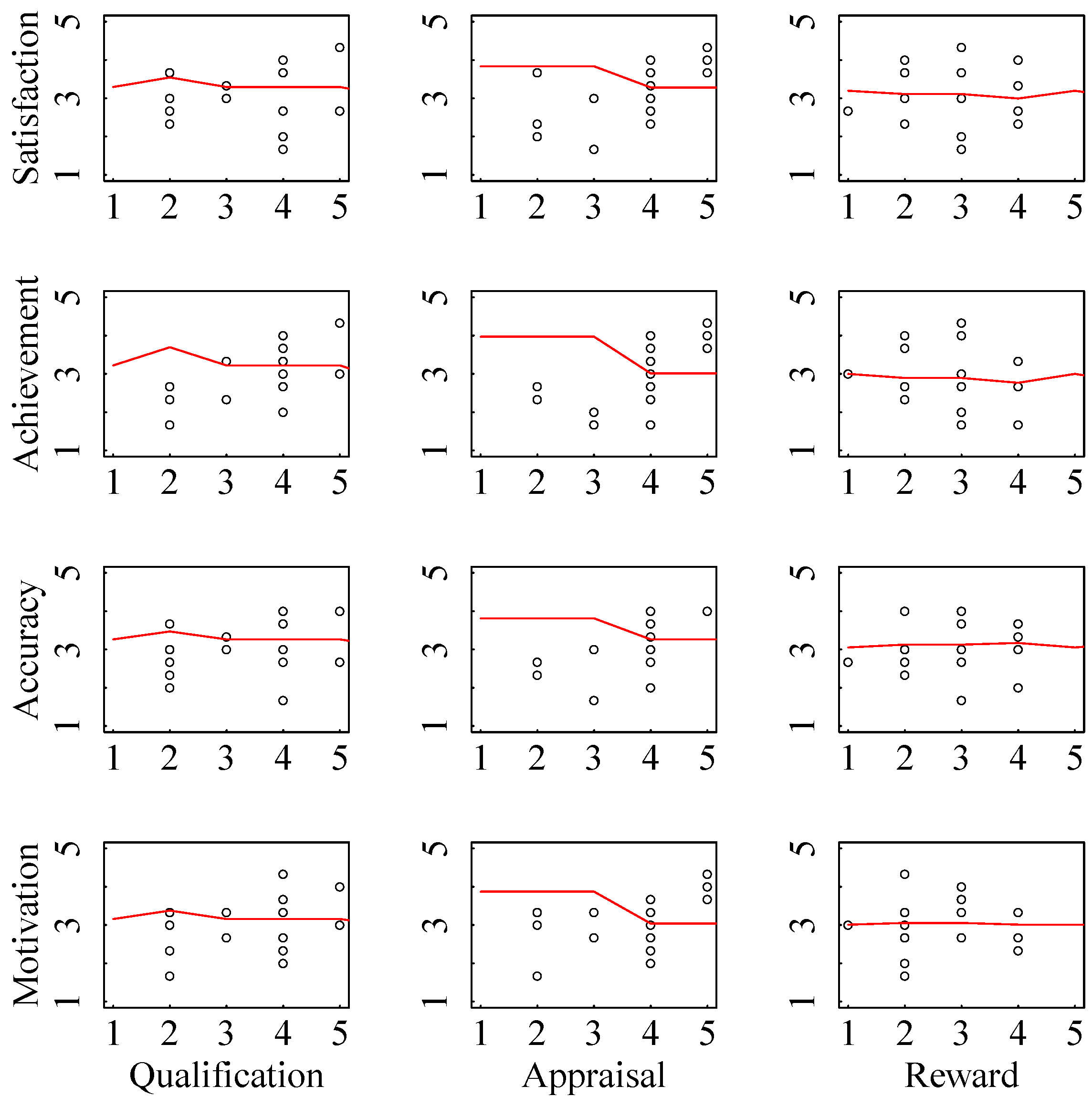
In the performance appraisal feedback process, every individual has a unique set of skills and potential in their contribution to the task achievement. Managers aim at optimizing the employees’ efficiency given their skills and their contribution to the desired business goal. Fair and rational feedback may stimulate employee performance, and the process will lead to behavioral change if the employee willingly accepts the performance appraisal feedback. In suggesting the key feedback and labor market variables, we follow others (Levitt et al. (2016); Lin et al. (2018)); namely, we select (see also Table 3):
( X 7 )
Qualification: “My qualification suits my job”.
( X 8 )
Appraisal: “I get praise for doing a good job”.
( X 9 )
Reward: “How hard I work is directly linked to how much I am rewarded.”.
It is clear that appraisal significantly influences performance measures, especially satisfaction and accuracy (see Figure 3). The overall tendency is, as expected, positive: while appraisal is improved, performance measures increase on average. The non-parametric fit reveals an opposite relationship for persons with a moderate appraisal level. This is economically explained through the (un)willingness to accept the provided appraisal. In the case of persons with quite low or very high appraisal level, the performance remains relatively stable.
In our robustness analysis, the estimated results of β ˜ show supportive evidence:
Y 1 1.82 0.00 0.45 0.16 , Y 2 1.03 0.26 0.36 0.17 , Y 3 1.48 0.10 0.33 0.06 , Y 4 2.10 0.03 0.26 0.01
and the goodness-of-fit measures. Note that the reward, although with negative effect, and qualification (with positive impact) exhibit quite insignificant marginal effects on the employee performance.

5. Key Performance Measure Drivers and Managerial Support

The empirical results presented above demonstrate that the estimated decision-making functions play an important role in explaining performance data variation. We viewed these functions from several angles; the common viewpoint was the identification of explanatory variables that are (significantly) affecting performance measures. Moreover, the discussion about the parametric and non-parametric fit resulted in the suggestions to consider conditional interpretation in decision-making. Here, we summarize our key findings from the following selected perspectives:
(i)
Selected employee performance measures: Supported by the current literature, we select four intensively discussed measures. From the group of qualitative variables, we observe satisfaction and motivation, and from the quantitative side, we propose to consider achievement and accuracy. Our results suggest that these variables can be successfully explained by a set of selected covariates.
(ii)
Decision-making functions: Following our scientific goals, our research methodology was tailormade to the decision-maker’s needs; in addition to the almost exclusively used parametric fit in practice, we integrate non-parametrically estimated functions. Our general findings strongly support this selection which offers a more elaborate, conditional discussion of results.
(iii)
Banking sector in Germany: Based on a sample of interview observations and adapted instruments, we provide estimated decision-making functions that may be used in performance enhancement of banking employees.
(iv)
Groups of covariates: Given our empirical and expected significance results, we select skills/knowledge, organization, and appraisal as key drivers of employee performance. For convenience, we provide their joint impact on selected performance measures in Table 4.
(v)
Goodness-of-fit and robustness: Due to quite satisfactory and robust estimation results, we propose our methods for use in managerial decision-making, and especially while managing relatively small teams.
Based on the empirical results obtained by our study, we suggest that a bank should ensure objectivity in the performance appraisal process by treating all employees appropriately. This can be achieved by having an appraisal that is fair to all employees by involving them in formulating the currently given appraisal. This should be performed promptly to realize employees’ improvement, which will lead to the most significant performance improvements.

6. Conclusions

In our paper, we consider four employee performance measures and explain their variations with a parametric and non-parametric models. Supported by the current literature, we focus on satisfaction, achievement, and motivation. Regarding the selected covariates, here, we study the effect of training method success, delivery of knowledge, and labor market feedback. Based on the estimates, we provide decision-making functions that can be used in influencing performance.
Based on a survey conducted at German banks, we estimate the decision-making functions. According to the selected cluster of explanatory variables, we particularly show that the variables’ importance, appraisal, and organization significantly affect the underlying performance. Our empirical results exhibit satisfactory goodness-of-fit and robustness properties. Finally, our proposed research framework and obtained empirical results can successfully be utilized in human resource management practice.
This study also comes with limitations and provides recommendations for future studies. It was carried out in the banking sector and data were collected from respondents located mostly in the east part of Germany. Considering mostly locality to collect data may compromise the generalizability of research findings Sekaran and Bougie (2016). Therefore, future research should include samples from other main cities of Germany as well, to increase its scope. The sample size should be improved in future research to obtain more in-depth research results. Finally, future research may also consider a comparative study between public and private banking sectors with the same model to explore them deeply.

Author Contributions

Conceptualization, N.A.K.; Methodology, A.M.; Software, K.S.; Validation, N.A.K. and H.A.J.; Formal analysis, N.A.K. and A.M.; Investigation, H.A.J.; Resources, K.S. and H.A.J.; Writing original draft preparation, N.A.K. and A.M.; Writing review and editing, S.M.; Visualization, K.S.; Supervision, S.M.; Project administration, N.A.K.; Funding acquisition, S.M. All authors have read and agreed to the published version of the manuscript.

Funding

This research received no external funding.

Institutional Review Board Statement

Not applicable.

Informed Consent Statement

Not applicable.

Data Availability Statement

Not applicable.

Conflicts of Interest

The authors declare no conflict of interest.

References

  1. Bose, Gautam, and Kevin Lang. 2017. Monitoring for worker quality. Journal of Labor Economics 35: 755–85. [Google Scholar] [CrossRef][Green Version]
  2. Cameron, Adrian Colin, and Pravin K. Trivedi. 2005. Microeconometrics: Methods and Applications. Cambridge: Cambridge University Press. [Google Scholar]
  3. Cappelli, Peter, and Martin J. Conyon. 2018. What do performance appraisals do? ILR Review 71: 88–116. [Google Scholar] [CrossRef]
  4. Deming, David, and Lisa B. Kahn. 2018. Skill requirements across firms and labor markets: Evidence from job postings for professionals. Journal of Labor Economics 36: S337–69. [Google Scholar] [CrossRef]
  5. Frederiksen, Anders, Lisa B. Kahn, and Fabian Lange. 2020. Supervisors and performance management systems. Journal of Political Economy 128: 2123–87. [Google Scholar] [CrossRef]
  6. Graves, Samuel B., and Jeffrey Ringuest. 2018. Overconfidence and disappointment in venture capital decision-making: An empirical examination. Managerial and Decision Economics 39: 592–600. [Google Scholar] [CrossRef]
  7. Grolleau, Gilles, Naoufel Mzoughi, and Sanja Pekovic. 2015. Work recognition and labor productivity: Evidence from french data. Managerial and Decision Economics 36: 508–16. [Google Scholar] [CrossRef]
  8. Hair, Joseph F., William C. Black, Barry J. Babin, Rolph E. Anderson, and Ronald L. Tatham. 1998. Multivariate Data Analysis, 5th ed. Upper Saddle River: Pearson Prentice Hall, vol. 5, pp. 207–19. [Google Scholar]
  9. Härdle, Wolfgang Karl, and Léopold Simar. 2019. Applied Multivariate Statistical Analysis. Berlin: Springer Nature. [Google Scholar]
  10. Härdle, Wolfgang, Marlene Müller, Stefan Sperlich, and Axel Werwatz. 2004. Nonparametric and Semiparametric Models. Berlin: Springer. [Google Scholar]
  11. Harvey, Campbell R., and Yan Liu. 2016. Rethinking Performance Evaluation. Technical Report. Cambridge: National Bureau of Economic Research. [Google Scholar]
  12. Hayfield, Tristen, and Jeffrey S. Racine. 2008. Nonparametric econometrics: The np package. Journal of Statistical Software 27: 1–32. [Google Scholar] [CrossRef]
  13. Hensel, Rainer, and Ronald Visser. 2019. Explaining effective team vision development in small, entrepreneurial teams: A shared mental models approach. Journal of Small Business Strategy 29: 1–15. [Google Scholar]
  14. Ittner, Christopher D., and David F. Larcker. 2002. Determinants of performance measure choices in worker incentive plans. Journal of Labor Economics 20: S58–S90. [Google Scholar] [CrossRef]
  15. Jacob, Brian A., and Lars Lefgren. 2008. Can principals identify effective teachers? evidence on subjective performance evaluation in education. Journal of Labor Economics 26: 101–36. [Google Scholar] [CrossRef]
  16. Kampkötter, Patrick, and Dirk Sliwka. 2018. More dispersion, higher bonuses? on differentiation in subjective performance evaluations. Journal of Labor Economics 36: 511–49. [Google Scholar] [CrossRef]
  17. Khan, Naveed Ahmad, Silke Michalk, Kirill Sarachuk, and Hafiz Ali Javed. 2022. If you aim higher than you expect, you could reach higher than you dream: Leadership and employee performance. Economies 10: 123. [Google Scholar] [CrossRef]
  18. Levitt, Steven D., John A. List, and Sally Sadoff. 2016. The Effect of Performance-Based Incentives on Educational Achievement: Evidence from a Randomized Experiment. Technical Report. Cambridge: National Bureau of Economic Research. [Google Scholar]
  19. Lin, Dajun, Randall Lutter, and Christopher J. Ruhm. 2018. Cognitive performance and labor market outcomes. Journal of Labor Economics 51: 121–35. [Google Scholar] [CrossRef]
  20. Oswald, Andrew J., Eugenio Proto, and Daniel Sgroi. 2015. Happiness and productivity. Journal of Labor Economics 33: 789–822. [Google Scholar] [CrossRef]
  21. Pitts, Joshua D., and Brent Evans. 2019. Manager impacts on worker performance in american football: Do offensive coordinators impact quarterback performance in the national football league? Managerial and Decision Economics 40: 105–18. [Google Scholar] [CrossRef]
  22. Sekaran, Uma, and Roger Bougie. 2016. Research Methods for Business: A Skill Building Approach. Hoboken: John Wiley & Sons. [Google Scholar]
  23. Van Reenen, John, Nicholas Bloom, Stefan Bender, David Card, and Stefanie Wolter. 2018. Management Practices, Workforce Selection, and Productivity. Journal of Labor Economics 36: 371–409. [Google Scholar]
  24. Wooldridge, Jeffrey M. 2009. Introductory Econometrics: A Modern Approach. Mason: South-Western, Cengage Learning. [Google Scholar]
  25. Zavertiaeva, Marina A., Félix J. López-Iturriaga, and Evgeniia V. Kuminova. 2018. Better innovators or more innovators? Managerial overconfidence and corporate r&d. Managerial and Decision Economics 39: 447–61. [Google Scholar]
Figure 1. Regression analysis of performance measures ( Y 1 , , Y 4 ) on selected key training method variables ( X 1 : “Skills/Knowledge”, X 2 : “Importance”, X 3 : “Improvement”) for employees in the banking sector. Non-parametric fit (red).
Figure 1. Regression analysis of performance measures ( Y 1 , , Y 4 ) on selected key training method variables ( X 1 : “Skills/Knowledge”, X 2 : “Importance”, X 3 : “Improvement”) for employees in the banking sector. Non-parametric fit (red).
Admsci 12 00143 g001
Figure 2. Correlation analysis of performance measures ( Y 1 , , Y 4 ) on selected key training method variables ( X 4 , X 5 , X 6 ) for employees in the banking sector.
Figure 2. Correlation analysis of performance measures ( Y 1 , , Y 4 ) on selected key training method variables ( X 4 , X 5 , X 6 ) for employees in the banking sector.
Admsci 12 00143 g002
Figure 3. Correlation analysis of performance measures ( Y 1 , , Y 4 ) on selected key training method variables ( X 7 , X 8 , X 9 ) for employees in the banking sector.
Figure 3. Correlation analysis of performance measures ( Y 1 , , Y 4 ) on selected key training method variables ( X 7 , X 8 , X 9 ) for employees in the banking sector.
Admsci 12 00143 g003
Table 1. Estimated parameters with associated p-values and coefficient of determination R 2 in the regression of performance measures ( Y 1 , , Y 4 ) on selected key training method variables ( X 1 , X 2 , X 3 ) for employees in the banking sector.
Table 1. Estimated parameters with associated p-values and coefficient of determination R 2 in the regression of performance measures ( Y 1 , , Y 4 ) on selected key training method variables ( X 1 , X 2 , X 3 ) for employees in the banking sector.
β ^ 0 β ^ 1 β ^ 2 β ^ 3 R 2
   Y 1 : “Satisfaction”0.110.340.300.250.55
   Y 2 : “Achievement”0.480.420.090.200.45
   Y 3 : “Accuracy”0.090.390.330.180.79
   Y 4 : “Motivation”1.470.080.300.080.25
p-values
   Y 1 : “Satisfaction”0.890.030.070.11
   Y 2 : “Achievement”0.570.010.580.22
   Y 3 : “Accuracy”0.850.000.000.06
   Y 4 : “Motivation”0.100.610.100.62
Table 2. Estimated parameters, corresponding p-values, and coefficient of determination R 2 in the regression of performance measures ( Y 1 , , Y 4 ) on selected key training method variables ( X 4 , X 5 , X 6 ) for employees in the banking sector.
Table 2. Estimated parameters, corresponding p-values, and coefficient of determination R 2 in the regression of performance measures ( Y 1 , , Y 4 ) on selected key training method variables ( X 4 , X 5 , X 6 ) for employees in the banking sector.
β ^ 0 β ^ 4 β ^ 5 β ^ 6 R 2
   Y 1 : “Satisfaction”1.040.330.080.230.44
   Y 2 : “Achievement”0.560.370.170.160.56
   Y 3 : “Accuracy”1.110.020.200.450.55
   Y 4 : “Motivation”1.99−0.070.030.430.34
p-values
   Y 1 : “Satisfaction”0.140.190.740.24
   Y 2 : “Achievement”0.360.100.410.33
   Y 3 : “Accuracy”0.060.910.300.01
   Y 4 : “Motivation”0.010.750.870.02
Table 3. Estimated parameters, corresponding p-values, and coefficient of determination R 2 in the regression of performance measures ( Y 1 , , Y 4 ) on selected key training method variables ( X 7 , X 8 , X 9 ) for employees in the banking sector.
Table 3. Estimated parameters, corresponding p-values, and coefficient of determination R 2 in the regression of performance measures ( Y 1 , , Y 4 ) on selected key training method variables ( X 7 , X 8 , X 9 ) for employees in the banking sector.
β ^ 0 β ^ 7 β ^ 8 β ^ 9 R 2
   Y 1 : “Satisfaction”1.89−0.020.51−0.200.40
   Y 2 : “Achievement”1.090.300.33−0.140.55
   Y 3 : “Accuracy”1.530.000.46−0.040.43
   Y 4 : “Motivation”2.010.060.26−0.040.20
p-values
   Y 1 : “Satisfaction”0.030.910.020.30
   Y 2 : “Achievement”0.120.080.080.41
   Y 3 : “Accuracy”0.040.980.020.82
   Y 4 : “Motivation”0.020.740.210.83
Table 4. Estimated parameters, corresponding p-values, and coefficient of determination R 2 in the regression of performance measures ( Y 1 , , Y 4 ) on selected key identified performance measure variables ( X 1 , X 6 , X 8 ) for employees in the banking sector.
Table 4. Estimated parameters, corresponding p-values, and coefficient of determination R 2 in the regression of performance measures ( Y 1 , , Y 4 ) on selected key identified performance measure variables ( X 1 , X 6 , X 8 ) for employees in the banking sector.
β ^ 0 β ^ 1 β ^ 6 β ^ 8 R 2
   Y 1 : “Satisfaction”0.810.220.200.290.50
   Y 2 : “Achievement”0.590.250.160.290.53
   Y 3 : “Accuracy”0.600.260.290.230.78
   Y 4 : “Motivation”1.49−0.080.360.220.41
p-values
   Y 1 : “Satisfaction”0.210.230.240.11
   Y 2 : “Achievement”0.330.150.340.09
   Y 3 : “Accuracy”0.110.020.010.04
   Y 4 : “Motivation”0.020.620.030.18
Publisher’s Note: MDPI stays neutral with regard to jurisdictional claims in published maps and institutional affiliations.

Share and Cite

MDPI and ACS Style

Khan, N.A.; Mihoci, A.; Michalk, S.; Sarachuk, K.; Javed, H.A. Employee Performance Measures Appraised by Training and Labor Market: Evidence from the Banking Sector of Germany. Adm. Sci. 2022, 12, 143. https://doi.org/10.3390/admsci12040143

AMA Style

Khan NA, Mihoci A, Michalk S, Sarachuk K, Javed HA. Employee Performance Measures Appraised by Training and Labor Market: Evidence from the Banking Sector of Germany. Administrative Sciences. 2022; 12(4):143. https://doi.org/10.3390/admsci12040143

Chicago/Turabian Style

Khan, Naveed Ahmad, Andrija Mihoci, Silke Michalk, Kirill Sarachuk, and Hafiz Ali Javed. 2022. "Employee Performance Measures Appraised by Training and Labor Market: Evidence from the Banking Sector of Germany" Administrative Sciences 12, no. 4: 143. https://doi.org/10.3390/admsci12040143

APA Style

Khan, N. A., Mihoci, A., Michalk, S., Sarachuk, K., & Javed, H. A. (2022). Employee Performance Measures Appraised by Training and Labor Market: Evidence from the Banking Sector of Germany. Administrative Sciences, 12(4), 143. https://doi.org/10.3390/admsci12040143

Note that from the first issue of 2016, this journal uses article numbers instead of page numbers. See further details here.

Article Metrics

Back to TopTop