Does Person Organization Fit and Person-Job Fit Mediate the Relationship between Public Service Motivation and Work Stress among U.S. Federal Employees?
Abstract
1. Introduction
2. Work Stress and Strain
2.1. Sources of Stress in Public Workplaces
2.2. PSM and Work Stress
2.3. PE Fit and Work Stress
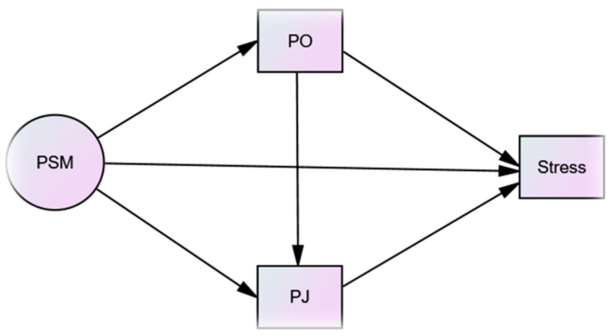
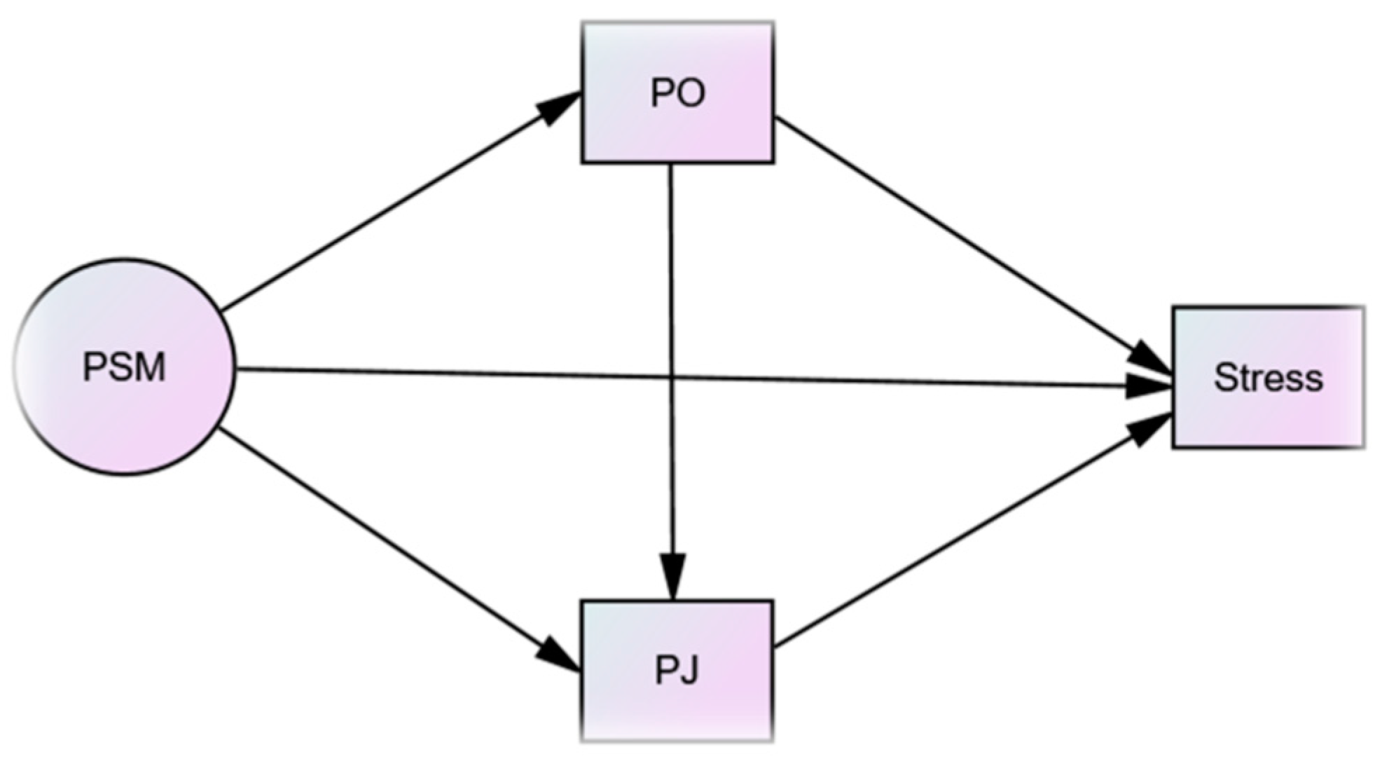
2.4. PSM, PO and PJ Fits, and Stress
3. Method
4. Results
5. Discussion
6. Conclusions
Funding
Institutional Review Board Statement
Informed Consent Statement
Data Availability Statement
Conflicts of Interest
References
- Bakker, Arnold B. 2015. A Job Demands–Resources Approach to Public Service Motivation. Public Administration Review 75: 723–32. [Google Scholar] [CrossRef]
- Beehr, Terry A., and John E. Newman. 1978. Job stress, employee health, and organizational effectiveness: A facet analysis, model, and literature review. Personnel Psychology 31: 665–99. [Google Scholar] [CrossRef]
- Blom, Rutger. 2020. Mixed Feelings? Comparing the Effects of Perceived Red Tape and Job Goal Clarity on HRM Satisfaction and Organizational Commitment Across Central Government, Government Agencies, and Businesses. Public Personnel Management 49: 421–43. [Google Scholar] [CrossRef]
- Bright, Leonard. 2007. Does person-organization fit mediate the relationship between public service motivation and the job performance of public employees? Review of Public Personnel Administration 27: 361–79. [Google Scholar] [CrossRef]
- Bright, Leonard. 2008. Does Public Service Motivation Really Make a Difference on the Job Satisfaction and Turnover Intentions of Public Employees? The American Review of Public Administration 38: 149–66. [Google Scholar] [CrossRef]
- Bright, Leonard. 2013. Where Does Public Service Motivation Count the Most in Government Work Environments? A Preliminary Empirical Investigation and Hypotheses. Public Personnel Management 42: 5–26. [Google Scholar] [CrossRef]
- Bright, Leonard. 2016. Is Public Service Motivation a Better Explanation of Nonprofit Career Preferences Than Government Career Preferences? Public Personnel Management 45: 405–24. [Google Scholar] [CrossRef]
- Bright, Leonard. 2018. Government career interests, perceptions of fit, and degree orientations: Exploring their relationship in public administration graduate programs. Teaching Public Administration 36: 63–80. [Google Scholar] [CrossRef]
- Bright, Leonard, and Cole Blease Graham, Jr. 2015. Why does interest in government careers decline among public affairs graduate students? Journal of Public Affairs Education 21: 575–94. [Google Scholar] [CrossRef]
- Brown, Jennifer M., and Elizabeth A. Campbell. 1994. Stress and Policing: Sources and Strategies. New York: John Wiley & Sons. [Google Scholar]
- Burke, Ronald J., ed. 2016. Stress in Policing: Sources, Consequences and Interventions. London: Routledge. [Google Scholar]
- Caillier, James Gerard. 2015. Towards a better understanding of public service motivation and mission valence in public agencies. Public Management Review 17: 1217–36. [Google Scholar] [CrossRef]
- Carpenter, Grace Stephanie J., Thomas P. Carpenter, Nathan A. Kimbrel, Elisa J. Flynn, Michelle L. Pennington, Claire Cammarata, Rose T. Zimering, Barbara W. Kamholz, and Suzy B. Gulliver. 2015. Social support, stress, and suicidal ideation in professional firefighters. American Journal of Health Behavior 39: 191–96. [Google Scholar] [CrossRef] [PubMed]
- Cavanaugh, Marcie A., Wendy R. Boswell, Mark V. Roehling, and John W. Boudreau. 2000. An empirical examination of self-reported work stress among US managers. Journal of Applied Psychology 85: 65. [Google Scholar] [CrossRef] [PubMed]
- Chilton, Michael A., Bill C. Hardgrave, and Deborah J. Armstrong. 2005. Person-Job Cognitive Style Fit for Software Developers: The Effect on Strain and Performance. Journal of Management Information Systems 22: 193–226. [Google Scholar] [CrossRef]
- Christensen, Robert K., and Bradley E. Wright. 2011. The effects of public service motivation on job choice decisions: Disentangling the contributions of person-organization fit and person-job fit. Journal of Public Administration Research and Theory 21: 723–43. [Google Scholar] [CrossRef]
- Clerkin, Richard M., and Jerrell D. Coggburn. 2012. The dimensions of public service motivation and sector work preferences. Review of Public Personnel Administration 32: 209–35. [Google Scholar] [CrossRef]
- Crawford, Eean R., Jeffery A. LePine, and Bruce Louis Rich. 2010. Linking job demands and resources to employee engagement and burnout: A theoretical extension and meta-analytic test. Journal of Applied Psychology 95: 834. [Google Scholar] [CrossRef] [PubMed]
- DeHart-Davis, Leisha, and Sanjay K. Pandey. 2005. Red Tape and Public Employees: Does Perceived Rule Dysfunction Alienate Managers? Journal of Public Administration Research and Theory 15: 133–48. [Google Scholar] [CrossRef]
- Deniz, Nevin, Aral Noyan, and Öznur Gülen Ertosun. 2015. Linking Person-job Fit to Job Stress: The Mediating Effect of Perceived Person-organization Fit. Procedia Social and Behavioral Sciences 207: 369–76. [Google Scholar] [CrossRef]
- Folkman, Susan, and Richard S. Lazarus. 1984. Stress, Appraisal, and Coping. New York: Springer Publishing Company. [Google Scholar]
- French, John RP, Willard Rogers, and Sidney Cobb. 1974. A Model of Person-Environment Fit. Coping and Adaptation. New York: Basic Books Inc. [Google Scholar]
- Giauque, David, Simon Anderfuhren-Biget, and Frédéric Varone. 2013. Stress Perception in Public Organisations: Expanding the Job Demands–Job Resources Model by Including Public Service Motivation. Review of Public Personnel Administration 33: 58–83. [Google Scholar] [CrossRef]
- Giauque, David, Fabien Resenterra, and Michaël Siggen. 2014. Antecedents of Job Satisfaction, Organizational Commitment and Stress in a Public Hospital: A P-E Fit Perspective. Public Organization Review 14: 201–28. [Google Scholar] [CrossRef]
- Giauque, David, Simon Anderfuhren–Biget, and Frédéric Varone. 2015. HRM practices sustaining PSM: When values congruency matters. International Journal of Public Sector Performance Management 2: 202–20. [Google Scholar] [CrossRef]
- Gould-Williams, Julian S., Ahmed Mohammed Sayed Mostafa, and Paul Bottomley. 2015. Public service motivation and employee outcomes in the egyptian public sector: Testing the mediating effect of person-organization fit. Journal of Public Administration Research and Theory 25: 597–622. [Google Scholar] [CrossRef]
- Hamann, Darla J., and Nicole T. Foster. 2014. An Exploration of Job Demands, Job Control, Stress, and Attitudes in Public, Nonprofit, and For-Profit Employees. Review of Public Personnel Administration 34: 332–55. [Google Scholar] [CrossRef]
- Hecht, Tracy D., and Natalie J. Allen. 2005. Exploring links between polychronicity and well-being from the perspective of person–job fit: Does it matter if you prefer to do only one thing at a time? Organizational Behavior and Human Decision Processes 98: 155–78. [Google Scholar] [CrossRef]
- Homberg, Fabian, Dermot McCarthy, and Vurain Tabvuma. 2015. A Meta-Analysis of the Relationship between Public Service Motivation and Job Satisfaction. Public Administration Review 75: 711–22. [Google Scholar] [CrossRef]
- Huckabee, Robert G. 1992. Stress in corrections: An overview of the issues. Journal of Criminal Justice 20: 479–86. [Google Scholar] [CrossRef]
- Ivancevich, John M., Michael T. Matteson, and Cynthia Preston. 1982. Occupational stress, Type A behavior, and physical well being. Academy of Management Journal 25: 373–91. [Google Scholar]
- Jin, Myung H., Bruce McDonald, and Jaehee Park. 2018. Does public service motivation matter in public higher education? Testing the theories of person–organization fit and organizational commitment through a serial multiple mediation model. The American Review of Public Administration 48: 82–97. [Google Scholar] [CrossRef]
- Johnson, Jeffrey V., and Ellen M. Hall. 1988. Job strain, work place social support, and cardiovascular disease: a cross-sectional study of a random sample of the Swedish working population. American Journal of Public Health 78: 1336–42. [Google Scholar] [CrossRef] [PubMed]
- Karasek, Robert A., Jr. 1979. Job demands, job decision latitude, and mental strain: Implications for job redesign. Administrative Science Quarterly 24: 285–308. [Google Scholar] [CrossRef]
- Kim, Sangmook. 2009. Revising Perry’s measurement scale of public service motivation. American Review of Public Administration 39: 149–63. [Google Scholar] [CrossRef]
- Kim, Sangmook. 2012. Does person-organization fit matter in the public-sector? Testing the mediating effect of person-organization fit in the relationship between public service motivation and work attitudes. Public Administration Review 72: 830–40. [Google Scholar] [CrossRef]
- Kristof, Amy L. 1996. Person-organization fit: An integrative review of its conceptualizations, measurement, and implications. Personnel Psychology 49: 1–49. [Google Scholar] [CrossRef]
- Kristof-Brown, Amy L., Ryan D. Zimmerman, and Erin C. Johnson. 2005. Consequences of individuals’ fit at work: A meta-analysis of person–job, person–organization, person–group, and person–supervisor fit. Personnel Psychology 58: 281–342. [Google Scholar] [CrossRef]
- Light, Paul C. 1999. The New Public Service. Washington, DC: Brookings Institution Press. [Google Scholar]
- Lipsky, Michael. 2010. Street-Level Bureaucracy: Dilemmas of the Individual in Public Service. New York: Russell Sage Foundation. [Google Scholar]
- Liu, Bangcheng, Kaifeng Yang, and Wei Yu. 2015a. Work-related stressors and health-related outcomes in public service: Examining the role of public service motivation. The American Review of Public Administration 45: 653–73. [Google Scholar] [CrossRef]
- Liu, Bangcheng, Thomas Li-Ping Tang, and Kaifeng Yang. 2015b. When does public service motivation fuel the job satisfaction fire? The joint moderation of person–organization fit and needs–supplies fit. Public Management Review 17: 876–900. [Google Scholar] [CrossRef]
- Naff, Katherine C., and John Crum. 1999. Working for america does public service motivation make a difference? Review of Public Personnel Administration 19: 5–16. [Google Scholar] [CrossRef]
- Pendleton, Michael, Ezra Stotland, Philip Spiers, and Edward Kirsch. 1989. Stress and strain among police, firefighters, and government workers: A comparative analysis. Criminal Justice and Behavior 16: 196–210. [Google Scholar] [CrossRef]
- Perry, James L. 1996. Measuring public service motivation: An assessment of construct reliability and validity. Journal of Public Administration Research and Theory 6: 5–22. [Google Scholar] [CrossRef]
- Perry, James L., and Annie Hondeghem, eds. 2008. Motivation in Public Management: The Call of Public Service. Oxford: Oxford University Press. [Google Scholar]
- Perry, James L., and Lois Recascino Wise. 1990. The motivational bases of public service. Public Administration Review 50: 367–73. [Google Scholar] [CrossRef]
- Pew Research Center. 2020. Americans’ Views of Government: Low Trust, but Some Positive Performance Ratings. Available online: www.pewresearch.org (accessed on 5 September 2020).
- Quratulain, Samina, and Abdul Karim Khan. 2015. How does employees’ public service motivation get affected? A conditional process analysis of the effects of person–job fit and work pressure. Public Personnel Management 44: 266–89. [Google Scholar] [CrossRef]
- Rose, Roger P. 2012. Preferences for careers in public work: Examining the government-nonprofit divide among undergraduates through public service motivation. The American Review of Public Administration 43: 416–37. [Google Scholar] [CrossRef]
- Salary.com. 2020. The 10 Most Stressful Jobs. Available online: https://www.salary.com/articles/the-top-10-most-stressful-jobs/ (accessed on 12 December 2020).
- Schaufeli, Wilmar B., and Maria CW Peeters. 2000. Job stress and burnout among correctional officers: A literature review. International Journal of stress management 7: 19–48. [Google Scholar] [CrossRef]
- Stevens, Dennis J. 2005. Police officer stress and occupational stressors. In Policing and Stress. Upper Saddle River: Pearson, pp. 1–24. [Google Scholar]
- Tankha, Geetika. 2006. A comparative study of role stress in government and private hospital nurses. Journal of Health Management 8: 11–22. [Google Scholar] [CrossRef]
- Teo, Stephen TT, David Pick, Matthew Xerri, and Cameron Newton. 2016. Person-Organization Fit and Public Service Motivation in the Context of Change. Public Management Review 18: 740–62. [Google Scholar] [CrossRef]
- Triplett, Ruth, Janet L. Mullings, and Kathryn E. Scarborough. 1996. Work-related stress and coping among correctional officers: Implications from organizational literature. Journal of Criminal Justice 24: 291–308. [Google Scholar] [CrossRef]
- Van Loon, Nina Mari, Wouter Vandenabeele, and Peter Leisink. 2017. Clarifying the relationship between public service motivation and in-role and extra-role behaviors: The relative contributions of person-job and person-organization fit. The American Review of Public Administration 47: 699–713. [Google Scholar] [CrossRef]
- Wanous, John P., Arnon E. Reichers, and Michael J. Hudy. 1997. Overall job satisfaction: How good are single-item measures? Journal of Applied Psychology 82: 247. [Google Scholar] [CrossRef] [PubMed]
- Warwick, Donald P., and Marvin Meade. 1980. A Theory of Public Bureaucracy: Politics, Personality, and Organization in the State Department. Cambridge: Harvard University Press. [Google Scholar]
- West, Jonathan P., and Colleen M. West. 1989. Job stress and public sector occupations: Implications for personnel managers. Review of Public Personnel Administration 9: 46–65. [Google Scholar] [CrossRef]
- Williams, Geoff. 2021. The Most Stressful Jobs in the U.S. Available online: https://money.usnews.com/careers/company-culture/slideshows/the-most-stressful-jobs (accessed on 2 January 2021).


| Construct | Description/Survey Question | Variable Coding | Min | Max | Mean | SD |
|---|---|---|---|---|---|---|
| Age | What year were you born? | Year of birth minus Year of study | 19 | 74 | 41.94 | 13.1 |
| Education | What is the highest level of education you have completed? | (1) No College to (5) Masters/Higher | 1 | 5 | 2.69 | 0.983 |
| Gender | What is your gender? | (0) Male; (1) Female | 0 | 1 | 0.447 | 0.498 |
| Job Satisfaction | How satisfied are you with your current job? | (1) Extremely Dissatisfied to (6) Extremely Satisfied | 1 | 6 | 4.03 | 1.43 |
| Minority Status | How would you describe your racial or ethnic group? | (0) Minority; (1) Non-minority | 0 | 1 | 0.754 | 0.431 |
| PSM | APM | Sum PSM items 1, 2, 3 | 3 | 18 | 11.82 | 2.68 |
| CPI | Sum PSM items 4, 5, 6 | 3 | 18 | 13.03 | 2.55 | |
| COM | Sum PSM items 7, 8, 9 | 3 | 18 | 12.09 | 2.54 | |
| SS | Sum PSM items 12, 13, 14 | 3 | 18 | 12.55 | 2.73 | |
| Work Experience | How many years have you worked for the TSA? | 0 | 16 | 6.74 | 5.14 | |
| Person-Organization Fit (PO) | My values and goals are very similar to the values and goals of my organization. | (1) Strongly Disagree to (6) Strongly Agree | 1 | 6 | 4.25 | 1.234 |
| I feel a strong sense of belonging to my organization. | (1) Strongly Disagree to (6) Strongly Agree | 1 | 6 | 3.80 | 1.294 | |
| What this organizations stand for is important to me. | (1) Strongly Disagree to (6) Strongly Agree | 1 | 6 | 4.87 | 1.046 | |
| Person-Job Fit (PJ) | My job fully utilizes my skills and abilities. | (1) Strongly Disagree to (6) Strongly Agree | 1 | 6 | 3.19 | 1.466 |
| I enjoy my work more than anything else I do. | (1) Strongly Disagree to (6) Strongly Agree | 1 | 6 | 2.85 | 1.322 | |
| How satisfied are you with the meaningfulness of your job? | (1) Extremely Dissatisfied to (6) Extremely Satisfied | 1 | 6 | 4.23 | 1.382 | |
| Work Stress | How stressful is your job? | (1) Not Stressful at all to (5) Extremely Stressful | 1 | 5 | 3.13 | 1.039 |
| Characteristics | N | % |
|---|---|---|
| Age | ||
| 18 to 30 years old | 131 | 25% |
| 31 to 40 years old | 143 | 27% |
| 41 to 50 years old | 90 | 17% |
| 51+ years old | 167 | 31% |
| Education Level | ||
| No College | 35 | 6% |
| Some College | 260 | 47% |
| AA/Technical | 122 | 22% |
| BA | 123 | 22% |
| Masters/Higher | 17 | 3% |
| Gender | ||
| Male | 293 | 55% |
| Female | 237 | 45% |
| Race and Ethnicity | ||
| Black/African American | 18 | 3% |
| Hispanic/Latino | 22 | 4% |
| White/Caucasian | 399 | 75% |
| Asian/Pacific Islander | 40 | 8% |
| Native American/ Alaska Native | 5 | 1% |
| Multi-Racial | 47 | 9% |
| Work Experience | ||
| 1 year and less | 130 | 23% |
| 1 to 5 years | 143 | 26% |
| 5 to 10 years | 130 | 23% |
| 10 years and more | 154 | 28% |
| Survey Question | Response Categories | ||||
|---|---|---|---|---|---|
| How Stressful is your job? | Not Stressful at all | Slightly Stressful | Moderately Stressful | Very Stressful | Extremely Stressful |
| 6% | 20% | 40% | 23% | 11% | |
| Construct | 1 | 2 | 3 | 4 | 5 | 6 | 7 | 8 | 9 |
|---|---|---|---|---|---|---|---|---|---|
| 1 | ||||||||
| 0.022 | 1 | |||||||
| 0.746 ** | 0.098 * | 1 | ||||||
| −0.089 * | −0.065 | −0.189 ** | 1 | |||||
| 0.233 ** | −0.023 | 0.225 ** | −0.017 | 1 | ||||
| 0.003 | −0.008 | −0.028 | 0.039 | −0.066 | 1 | |||
| 0.101 * | 0.02 | 0.107 * | 0.091 * | 0.107 * | −0.174 ** | 1 | ||
| 0.078 | −0.071 | 0.029 | 0.056 | 0.006 | −0.189 ** | 0.686 ** | 1 | |
| −0.013 | 0.055 | 0.068 | −0.049 | −0.009 | −0.005 | 0.415 ** | 0.317 ** | 1 |
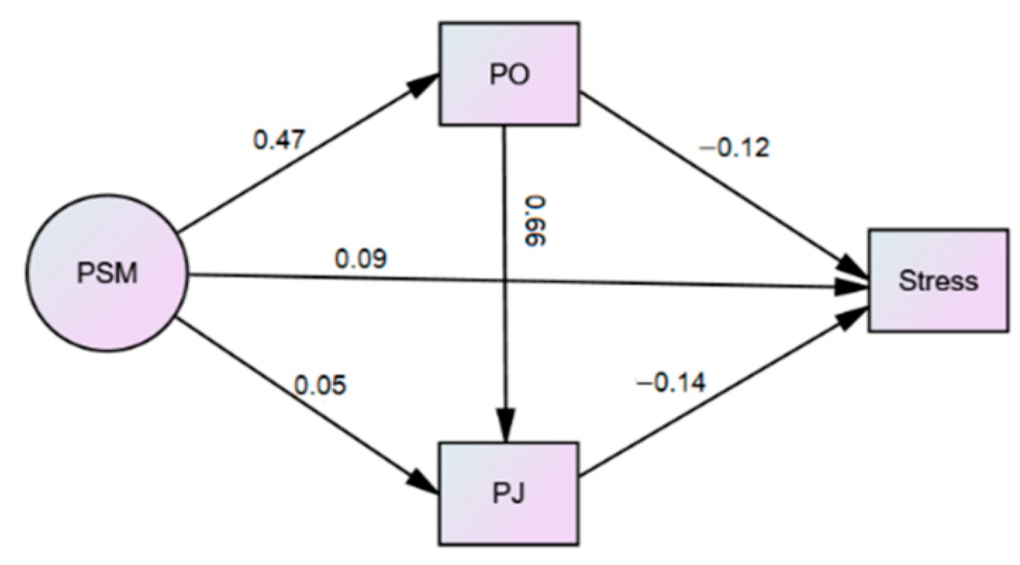
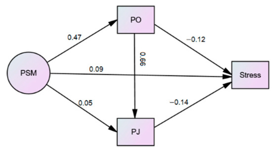
| Model Paths | β | P | ||
|---|---|---|---|---|
| PO | <--- | PSM | 0.786 | *** |
| PJ | <--- | PSM | 0.093 | 0.195 |
| PJ | <--- | PO | 0.740 | *** |
| Stress | <--- | PSM | 0.053 | 0.081 |
| Stress | <--- | PO | −0.043 | 0.043 |
| Stress | <--- | PJ | −0.042 | 0.016 |
| Analysis | Direct Effect (x → y) | Indirect Effect | Result |
|---|---|---|---|
| PO → PJ → Stress | −0.123 * | −0.091 * | Partial |
Publisher’s Note: MDPI stays neutral with regard to jurisdictional claims in published maps and institutional affiliations. |
© 2021 by the author. Licensee MDPI, Basel, Switzerland. This article is an open access article distributed under the terms and conditions of the Creative Commons Attribution (CC BY) license (https://creativecommons.org/licenses/by/4.0/).
Share and Cite
Bright, L. Does Person Organization Fit and Person-Job Fit Mediate the Relationship between Public Service Motivation and Work Stress among U.S. Federal Employees? Adm. Sci. 2021, 11, 37. https://doi.org/10.3390/admsci11020037
Bright L. Does Person Organization Fit and Person-Job Fit Mediate the Relationship between Public Service Motivation and Work Stress among U.S. Federal Employees? Administrative Sciences. 2021; 11(2):37. https://doi.org/10.3390/admsci11020037
Chicago/Turabian StyleBright, Leonard. 2021. "Does Person Organization Fit and Person-Job Fit Mediate the Relationship between Public Service Motivation and Work Stress among U.S. Federal Employees?" Administrative Sciences 11, no. 2: 37. https://doi.org/10.3390/admsci11020037
APA StyleBright, L. (2021). Does Person Organization Fit and Person-Job Fit Mediate the Relationship between Public Service Motivation and Work Stress among U.S. Federal Employees? Administrative Sciences, 11(2), 37. https://doi.org/10.3390/admsci11020037

