Selective Electromagnetic Measurements of 4G Signals: Results of an Italian National Intercomparison
Abstract
:1. Introduction
- -
- the response of the instrumentation, and
- -
- the measurement procedures used.
- -
- Narrow band measurement procedures used in the field, which is an issue of particular importance due to the recent (in 2016) introduction of LTE signals, and the resulting lack of detailed measurement procedures and minimal experience of agency operators with low traffic signals;
- -
- The choice of how to decode, measure and extrapolate the synthesis result, since such choices, in the case of signals with complex digital modulation, heavily affect the final result of the measurement.
2. Materials and Methods
- -
- Site characterization and analysis of the results of preliminary measurements, in order to identify sufficiently homogeneous areas,
- -
- Preparation of a pattern of measurement points with the possibility of repetition,
- -
- Organization and logistics management (access permissions, electrical outlets, etc.),
- -
- Measurements on site,
- -
- Collection and analysis of results,
- -
- Preparation and submission of the final report and the Individual Evaluation Reports for the participants.
2.1. Site Characterization
2.2. Inter-Comparison Measurement Plan
2.3. Analysis of Data and Results
3. Results
3.1. Results of Characterisation Measurements
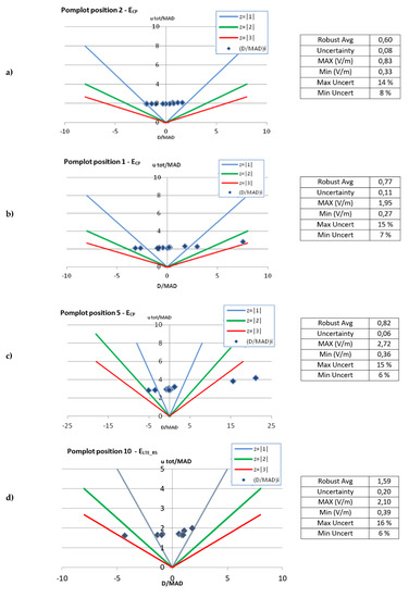
3.2. Intercomparison Results: Position Analysis
- -
- xi is the single measurement of the participant,
- -
- xm is the consensus value (robust average),
- -
- MAD is the median absolute deviation from the Consensus value,
- -
- utot is the combined uncertainty obtained from the contributions of the participant’s instrument and that of the consensus value.
3.3. Intercomparison Results: Analysis by ‘Sestet’
4. Conclusions
Author Contributions
Funding
Acknowledgments
Conflicts of Interest
References and Note
- Bienkowski, P. Interlaboratory comparisons in EMF survey measurements. Environmentalist 2009, 29, 130–134. [Google Scholar] [CrossRef]
- ISO. ISO/IEC 17043: Conformity Assessment: General Requirements for Proficiency Testing; International Organization for Standardization: Geneva, Switzerland, 2010. [Google Scholar]
- Technical Norm of the Italian Electrical Committee CEI 211-7/E “Guide for the measurement and the evaluation of electromagnetic fields in the frequency range 10 kHz–300 GHz, with reference to the human exposure”. Annex E: Measurement of the electromagnetic fields from Base Radio Station for mobile telecommunication systems (2G, 3G, 4G). 2013.
- Ardoino, L.; Barbieri, E.; Barbizzi, S.; Anglesio, L.; D’Amore, G.; Silvi, A.M. Confronti Interlaboratorio per misure di Campi Elettromagnetici: Analisi dei fattori d’influenza attraverso l’elaborazione statistica dei risultati del Circuito Ispra Ic015. Boll. AIRP 2012, 171, 149–156. [Google Scholar]
- Spasova, Y.; Pommé, S.; Watjen, U. Visualisation of interlaboratory comparison results in PomPlots. Accredit. Qual. Assur. 2007, 12, 623–627. [Google Scholar] [CrossRef]
- ISO. ISO 13528: Statistical Methods for Use in Proficiency Testing by Interlaboratory Comparisons; International Organization for Standardization: Geneva, Switzerland, 2005. [Google Scholar]









| Session 1 | Session 2 | Code for the Sequence of Measurement Points (“Sestet”) | Turn | |||||
|---|---|---|---|---|---|---|---|---|
| Participant Codes | 1° | 2° | 3° | 4° | 5° | 6° | ||
| A01 | A02 | A | 1 | 5 | 11 | 13 | 6 | 10 |
| A20 | A04 | B | 2 | 6 | 12 | 14 | 10 | 5 |
| B05 | A06 | C | 3 | 8 | 13 | 11 | 5 | 1 |
| A07 | A08 | D | 4 | 9 | 14 | 12 | 7 | 2 |
| B09 | B27 | E | 5 | 11 | 8 | 3 | 2 | 13 |
| B11 | B15 | F | 6 | 12 | 10 | 4 | 1 | 14 |
| B13 | A14 | G | 7 | 2 | 4 | 10 | 11 | 8 |
| A12 | A16 | H | 8 | 13 | 5 | 9 | 3 | 12 |
| A17 | B18 | I | 9 | 14 | 7 | 2 | 4 | 11 |
| B26 | - | L | 10 | 1 | 3 | 6 | 12 | 7 |
| B03 | B21 | M | 11 | 4 | 2 | 7 | 13 | 9 |
| A22 | A24 | N | 12 | 7 | 9 | 8 | 14 | 6 |
| A25 | A19 | O | 13 | 3 | 6 | 1 | 9 | 4 |
| A10 | A28 | P | 14 | 10 | 1 | 5 | 8 | 3 |
| Positions Session/Turn | 1 | 2 | 3 | 4 | 5 | 6 | 7 | 8 | 9 | 10 | 11 | 12 | 13 | 14 |
|---|---|---|---|---|---|---|---|---|---|---|---|---|---|---|
| 1-1 | 0.7 | 0.694 | 1.22 | 0.27 | 2.72 | 0.26 | 0.96 | 0.738 | 0.59 | 0.89 | 0.68 | 0.393 | ||
| 1-2 | 1.038 | 0.976 | 0.57 | 0.75 | 0.956 | 1.46 | 2.1 | 0.62 | 0.634 | 0.51 | 1.18 | |||
| 1-3 | 0.351 | 0.71 | 0.832 | 0.726 | 0.86 | 0.7079 | 0.8 | 0.35 | 0.68 | 0.814 | 1.24 | 0.36 | ||
| 1-4 | 0.642 | 0.65 | 0.3736 | 0.31 | 0.358 | 0.791 | 0.99 | 0.72 | 1.49 | 0.4 | 0.59 | 0.762 | ||
| 1-5 | 0.27 | 0.457 | 0.7 | 2.22 | 0.72 | 0.56 | 0.173 | 0.966 | 0.916 | 0.998 | 0.77 | 1.02 | ||
| 1-6 | 1.23 | 0.32 | 0.407 | 0.568 | 0.812 | 0.76 | 0.777 | 0.74 | 0.72 | 0.95 | 0.3618 | 0.32 | ||
| 2-1 | 0.61 | 0.6 | 0.87 | 0.518 | 0.5 | 0.66 | 0.1 | 0.74 | x | 0.61 | 2 | 0.777 | 1.08 | |
| 2-2 | 0.33 | 0.788 | 0.7 | 0.84 | 0.7 | 2 | 0.76 | 0.85 | 0.76 | 0.45 | 0.81 | 0.65 | ||
| 2-3 | 1.95 | 0.77 | 0.31 | 1.037 | 1.06 | 0.6 | 2.1 | 0.9 | 0.95 | 1 | 0.91 | 1.15 | ||
| 2-4 | 0.808 | 0.83 | 0.54 | 0.48 | 0.81 | 2 | 0.45 | 0.74 | 0.735 | 0.77 | 0.9 | |||
| 2-5 | 0.77 | 0.4 | 0.46 | 0.93 | 0.92 | 1.155 | 0.5 | 1.07 | 0.9 | 0.44 | 1.03 | 1.2 | ||
| 2-6 | 0.79 | 0.556 | 0.56 | 0.734 | 0.8 | 1.3 | x | 0.37 | 0.83 | 1.07 | 0.4 | 0.59 | ||
| Robust Avg | 0.77 | 0.60 | 0.79 | 0.52 | 0.82 | 0.79 | 0.98 | 0.69 | 0.87 | 0.75 | 0.71 | 0.82 | 0.77 | 0.83 |
| Rob StDev | 0.28 | 0.21 | 0.34 | 0.27 | 0.16 | 0.17 | 0.39 | 0.36 | 0.19 | 0.20 | 0.36 | 0.29 | 0.24 | 0.42 |
| Uncertainty | 0.11 | 0.08 | 0.14 | 0.10 | 0.06 | 0.06 | 0.15 | 0.15 | 0.08 | 0.08 | 0.14 | 0.12 | 0.09 | 0.15 |
| Positions Session/Turn | 1 | 2 | 3 | 4 | 5 | 6 | 7 | 8 | 9 | 10 | 11 | 12 | 13 | 14 |
|---|---|---|---|---|---|---|---|---|---|---|---|---|---|---|
| 1-1 | 1.888 | - | - | - | - | 0.883 | 1.860 | 1.200 | - | 1.892 | - | 2.289 | 1.794 | 1.023 |
| 1-2 | 1.752 | 1.150 | 2.102 | 1.300 | 1.784 | - | 2.113 | - | - | 0.387 | - | 1.225 | 1.400 | - |
| 1-3 | 0.850 | 1.900 | 2.131 | 0.930 | 1.800 | 2.201 | - | 1.475 | 1.955 | 1.225 | 1.906 | - | - | - |
| 1-4 | 1.525 | - | 1.190 | 1.039 | 0.850 | 1.871 | 1.900 | 1.941 | 2.000 | 2.100 | - | - | 1.802 | - |
| 1-5 | 0.693 | 1.122 | 1.400 | - | - | 1.715 | - | 0.364 | 2.096 | - | 1.760 | 2.131 | 1.500 | 1.957 |
| 1-6 | - | - | 1.196 | 1.408 | - | 1.703 | 1.848 | 1.670 | 1.900 | 1.756 | - | 1.400 | 0.991 | 1.039 |
| 2-1 | 1.249 | 1.855 | 1.355 | 1.568 | - | 1.646 | 1.907 | - | 2.364 | - | - | 1.386 | 2.063 | - |
| 2-2 | - | 1.040 | 1.931 | - | 3.118 | 1.854 | 1.386 | 1.230 | 2.165 | - | - | 2.081 | - | 2.536 |
| 2-3 | - | - | - | 0.745 | - | 1.665 | 2.582 | - | 1.732 | 1.837 | 2.258 | 2.152 | 1.387 | 2.358 |
| 2-4 | 1.665 | 2.330 | - | 1.438 | - | - | - | 1.428 | - | 1.353 | 0.608 | 1.579 | 2.020 | 1.945 |
| 2-5 | 1.907 | - | - | 1.632 | 1.435 | 1.549 | 2.581 | - | 1.939 | 1.873 | 1.249 | - | - | 0.883 |
| 2-6 | 0.888 | 1.091 | - | 1.643 | 1.888 | 0.693 | - | 1.568 | - | 1.319 | 2.971 | - | - | 1.676 |
| Robust Avg | 1.38 | 1.23 | 1.53 | 1.32 | 1.75 | 1.67 | 1.95 | 1.43 | 2.00 | 1.59 | 1.81 | 1.83 | 1.63 | 1.81 |
| Rob StDev | 0.56 | 0.21 | 0.40 | 0.35 | 0.41 | 0.25 | 0.24 | 0.35 | 0.17 | 0.47 | 0.89 | 0.56 | 0.39 | 0.94 |
| Uncertainty | 0.23 | 0.10 | 0.19 | 0.15 | 0.21 | 0.10 | 0.11 | 0.15 | 0.08 | 0.20 | 0.45 | 0.25 | 0.17 | 0.42 |
| ECP (V/m) | ELTE_RS (V/m) | |||
|---|---|---|---|---|
| “Sestet” | Characterization Measurements 2015/16 | IC Results 2016 | Characterization Measurements 2015/16 | IC Results 2016 |
| A | 0.71 | 0.77 | 1.60 | 1.64 |
| B | 0.80 | 0.77 | 1.54 | 1.65 |
| C | 0.67 | 0.76 | 1.60 | 1.59 |
| D | 0.80 | 0.77 | 1.59 | 1.69 |
| E | 0.69 | 0.73 | 1.55 | 1.56 |
| F | 0.78 | 0.75 | 1.61 | 1.60 |
| G | 0.75 | 0.71 | 1.56 | 1.56 |
| H | 0.72 | 0.79 | 1.62 | 1.70 |
| I | 0.78 | 0.75 | 1.60 | 1.69 |
| L | 0.73 | 0.82 | 1.55 | 1.66 |
| M | 0.74 | 0.74 | 1.61 | 1.66 |
| N | 0.78 | 0.83 | 1.65 | 1.72 |
| O | 0.68 | 0.75 | 1.60 | 1.59 |
| P | 0.72 | 0.77 | 1.53 | 1.58 |
| Avg | 0.74 | 0.77 | 1.60 | 1.63 |
| St Dev % | 6.0 | 4.2 | 2.1 | 3.3 |
| Code of Participant | ECP | ELTE_RS | ELTE_SZ | |||
|---|---|---|---|---|---|---|
| ECPi (V/m) | z-Score | ELTE_RSi (V/m) | z-Score | ELTE_SZi (V/m) | z-Score | |
| A01 | 0.69 | −0.54 | 1.81 | 0.43 | ||
| A02 | 0.82 | 0.25 | 1.92 | 0.80 | ||
| B03 | 0.73 | −0.32 | 1.70 | 0.07 | 2.35 | 0.68 |
| A04 | 0.82 | 0.23 | 1.93 | 0.82 | ||
| B05 | 1.58 | 5.03 | ||||
| A06 | 0.83 | 0.33 | 1.15 | −1.76 | 1.81 | −0.83 |
| A07 | 0.42 | −2.24 | ||||
| A08 | 0.83 | 0.30 | 1.89 | 0.70 | 2.08 | −0.06 |
| B09 | 0.48 | −1.88 | 1.19 | −1.63 | ||
| A10 | 0.39 | −2.46 | 0.78 | −3.00 | ||
| B11 | 0.43 | −2.18 | 1.02 | −2.21 | ||
| A12 | X | X | 1.54 | −0.48 | ||
| B13 | X | X | 1.58 | −0.34 | ||
| A14 | 0.33 | −2.80 | 1.31 | −1.23 | 1.56 | −1.53 |
| B15 | 0.70 | −0.49 | 1.76 | 0.28 | 2.03 | −0.22 |
| A16 | X | X | 2.53 | 1.18 | ||
| A17 | 0.88 | 0.65 | ||||
| B18 | 0.80 | 0.14 | 2.40 | 2.41 | ||
| A19 | 0.87 | 0.56 | 1.82 | 0.46 | ||
| A20 | 0.83 | 0.29 | 3.86 | 4.91 | ||
| B21 | 0.78 | −0.02 | ||||
| A22 | 0.94 | 1.01 | 1.99 | 1.04 | 1.73 | −1.07 |
| A24 | 1.77 | 6.17 | 1.21 | −1.55 | 2.15 | 0.12 |
| A25 | 0.76 | −0.13 | 1.85 | 0.58 | 2.32 | 0.60 |
| B26 | 0.86 | 0.51 | 1.94 | 0.86 | ||
| B27 | 0.48 | −1.86 | 2.12 | 0.04 | ||
| A28 | 0.94 | 1.02 | 1.95 | −0.43 | ||
| Rob Avg | 0.78 | 1.68 | 2.11 | |||
| Rob StDev | 0.16 | 0.30 | 0.36 | |||
© 2020 by the authors. Licensee MDPI, Basel, Switzerland. This article is an open access article distributed under the terms and conditions of the Creative Commons Attribution (CC BY) license (http://creativecommons.org/licenses/by/4.0/).
Share and Cite
Ardoino, L.; Adda, S.; Anglesio, L.; Barbieri, E. Selective Electromagnetic Measurements of 4G Signals: Results of an Italian National Intercomparison. Environments 2020, 7, 5. https://doi.org/10.3390/environments7010005
Ardoino L, Adda S, Anglesio L, Barbieri E. Selective Electromagnetic Measurements of 4G Signals: Results of an Italian National Intercomparison. Environments. 2020; 7(1):5. https://doi.org/10.3390/environments7010005
Chicago/Turabian StyleArdoino, Lucia, Sara Adda, Laura Anglesio, and Enrichetta Barbieri. 2020. "Selective Electromagnetic Measurements of 4G Signals: Results of an Italian National Intercomparison" Environments 7, no. 1: 5. https://doi.org/10.3390/environments7010005
APA StyleArdoino, L., Adda, S., Anglesio, L., & Barbieri, E. (2020). Selective Electromagnetic Measurements of 4G Signals: Results of an Italian National Intercomparison. Environments, 7(1), 5. https://doi.org/10.3390/environments7010005

