Abstract
The objective of this study was to characterize biogas production performance from the co-digestion of food waste and domestic wastewater under mesophilic (35 ± 1 °C) and thermophilic (55 ± 1 °C) conditions. The food waste used as a co-substrate in this study was collected from a main canteen at the Hatyai campus of Prince of Songkla University, Songkhla Province, Thailand. The optimum co-digestion ratio and temperature conditions in a batch experiment were selected for a semi-continuous experiment. Organic loading rates (OLRs) of 0.66, 0.33, and 0.22 g volatile solid (VS) L−1 d−1 were investigated in a semi-continuous experiment by continuously stirring a tank reactor (CSTR) for biogas production. The highest biomethane potential (BMP, 0.78 ml CH4 mg−1 VS removal) was achieved with a ratio of food waste to domestic wastewater of 10:90 w/v at a mesophilic temperature. An OLR of 0.22 g VS L−1 d−1 of co-digestion yielded positive biogas production and organic removal. The findings of this study illustrate how biogas production can be used for operating feed conditions and control for anaerobic co-digestion of domestic wastewater and food waste from a university canteen.
1. Introduction
Food waste constitutes the dominant fraction of putrescible organic material in municipal solid waste. When buried in a landfill, food waste decomposes to form methane, a greenhouse gas with a global warming potential 25 times greater than CO2 on a 100-year time scale [1]. According to a report by Ariunbaatar et al. [2], food waste generation will increase 44% globally by 2025. Specifically, food waste volume in urban communities in Thailand for the period 2010–2013 was high, accounting for 41.95–44.99% of the total solid waste volume [3]. Currently, a suitable approach for food waste management in developed and developing countries is necessary to cope with the high volume of food waste generation [4]. Panyaping and Moontee [5] have mentioned that food waste from the Rajamangala University of Technology Lanna (RMUTL) in Thailand accounts for 21% of total solid waste. There have been some reduction approaches, but it is still an expensive issue for the university. Thus, research into biogas for energy production was conducted to solve the problem of food waste management at RMUTL. The application of anaerobic digestion for waste management has attracted much interest. One reason is due to the benefit of an on-site energy offset through biogas utilization, since this technology can maximize recycling and recovery of waste components. It is also frequently the most cost-effective waste management system due to the high energy recovery linked to the process and the limited environmental impact [6].
Although anaerobic digestion of food waste has been used for biogas production in the past, the excessive amount of organic acids produced may strongly inhibit anaerobic bacteria at high organic loading rates (OLRs). Food waste is high in organic matter and nutrients and can be used as a feedstock for producing various high-value products [7]. Recent studies have demonstrated that anaerobic co-digestion of food waste is a feasible and economically viable approach to improving energy recovery [8]. Co-digestion of food waste with other wastes has also been suggested and studied [9]. Keucken et al. [10] have mentioned that local substrate availability and transportation costs constrain options for co-substrate selection for biogas production with food waste. One co-substrate of interest is domestic wastewater due to its availability and characteristics [11]. Wastewater has the same original source as food waste, that is, from households. A study from Chan et al. [12] revealed the high potential of anaerobic co-digestion of canteen food waste and domestic wastewater with OLRs at 3 and 4.5 g chemical oxygen demand (COD) L−1 d−1, resulting in a COD removal efficiency of 75% ± 0.9% and 56% and a methane content of 62% ± 1.5% and 51%, respectively. However, the application of intermittent feeding to treat different ratios of food waste and domestic wastewater at higher OLRs should be recommended for further study.
Food waste has low total solid (TS) content, high soluble organic content, is easily degradable, and has high energy content per amount of dry mass. Excess ammonia and volatile fatty acid (VFA) accumulation are more common with anaerobic digestion of high solid content in food waste [13]. However, the composition of food waste varies, depending on the collection source [14]. Restaurant and canteen food waste accounts for 50% of the total amount of food waste, according to De Clercq et al. [15]. Pinto et al. [16] have reported the elevated amounts of food waste in a university canteen and the resulting need for action to reduce it. Rattanapan et al. [11] investigated batch co-digestion of food waste from the same university canteen used in this study with municipal wastewater in the laboratory and found that it had additional benefits, including adjustment of the carbon/nitrogen (C/N) ratio and improvement of process stability. Co-digestion of food waste with other wastes in a single digester became increasingly popular once the advantage of the C/N ratio adjustment was discovered [17].
Various biogas system parameters, including temperature and OLRs, are important for biogas production. Temperature is a critical factor affecting reaction rate, stability, and microbial activity during anaerobic digestion. Zamanzadeh et al. [18] have reported that although solubility could be achieved during thermophilic digestion of food waste, the high level of VFAs produced decreased the stability of the digester and reduced the methane yield relative to mesophilic digestion. Hydraulic retention time (HRT) is a vital parameter that significantly affects the microbial ecology and characteristics in the reactor during operation and biogas production in reactor systems [19]. The OLR of a system depends on HRT and COD concentrations. Such information is still lacking for biogas systems in the case of the co-digestion of food waste from the university canteen with domestic wastewater.
Accordingly, the aim of this study was to optimize the C/N ratio and OLR parameters for producing biogas from the co-digestion of canteen food waste and municipal wastewater. Batch experiments were carried out to evaluate an optimum C/N ratio, while semi-continuous experiments were used to develop the OLR optimization. The effects of temperature on biogas production from the co-digestion were also determined. Physicochemical properties, including pH, TSes, volatile solid (VSes), VFAs, and CODs, were monitored throughout the anaerobic digestion process
2. Materials and Methods
2.1. Feedstock and Seed Sludge
Food waste from the collection tank of the main canteen at the Hatyai campus of Prince of Songkla University, Songkhla Province, Thailand, was collected to use as a substrate in this study. Collections were performed on a daily basis at 12:00 and 19:00 of each day in order to reduce nutritional variations within the food waste. An electrical kitchen blender was used to prepare the homogenization. The co-substrate, domestic wastewater, was obtained from storage ponds at the Hatyai municipal treatment system in Songkhla Province, Thailand. Anaerobic sludge was obtained from the upflow of the anaerobic sludge blanket of Hongyenchotivat Company Limited, a frozen seafood industry in Hatyai, Songkhla, Thailand. All substrates and the inoculum were stored at 4 °C prior to use and were partially preserved at −20 °C. The characteristics of the municipal wastewater, canteen food waste, and seed sludge are presented in Table 1.
Table 1.
Physicochemical properties of canteen food, domestic wastewater, and seed sludge (mean ± standard deviation).
2.2. Batch and Continuously Stirring a Tank Reactor (CSTR) Configuration and Experimental Design
Laboratory glass reactors with a working volume of 1 L were used to conduct batch experiments in triplicate. For C/N ratio optimization, seven co-digestion reactions were set up with varying compositions of canteen food waste and domestic wastewater (% w/v): Control (containing only seed sludge), 0:100, 10:90, 25:75, 50:50, 75:25, and 100:0 [20]. The ratio of anaerobic sludge and substrate for each batch reactor was kept constant at 30% (v/v) of the working volume in an anaerobic rector, based on the recommendation of Hobson and Wheatley [21]. The pH of the co-substrate was adjusted using a 1-N NaOH solution to maintain a range of 6.80–7.20 [22]. After sealing, each reactor setup was purged with N2 gas to create anaerobic conditions. All batch test experiments were carried out in a water bath, creating mesophilic (35 ± 1 °C) or thermophilic (55 ± 1 °C) conditions. The biogas produced from each reactor was monitored daily according to the volume of biogas produced. The experiments were terminated when biogas generation stopped.
CSTRs with a total volume of 8 L and a working volume of 5 L were used in the semi-continuous experiment. The co-substrate inside the reactor was homogenized with a vertical mechanical stirrer at a rate of 120 revolutions per minute (rpm), operated twice daily. Three CSTRs, designated reactors A, B, and C, were used in the study, and the C/N ratio and temperature parameters were set using the results from the batch experiment. Three different OLRs were used in the reactors: 0.66, 0.33, and 0.22 g VS L−1 d−1 [23]. When the reactor was fed, the co-digestion substrate effluent was removed from the reactor by way of an outlet channel that included a covering system to protect air contamination. The downward displacement of water was used for calculating gas production volume. A 1-L gasbag was used to collect biogas to determine its composition.
2.3. Analytical Methods
Daily samples were collected for pH analysis. The concentration of CODs, alkalinity, TSes, VSes, and VFAs were analyzed every three days in accordance with standard wastewater procedures [24]. Water displacement (gas counter) was used to calculate the daily biogas production. The biogas sample was taken from the CSTR reactor every 10 days, and its composition was analyzed. A gas chromatogram (GC), equipped with a thermal conductivity detector (TCD) and a TDX-01 packed column with helium as the carrier gas, was used to analyze the biogas composition. The operational temperature at the injection port, the column oven, and the detector were at 60 °C, 120 °C, and 120 °C, respectively. All above analyses were performed in triplicate, and the data are expressed as the mean ± standard deviation.
3. Results and Discussion
3.1. Co-Substrate Compositions
The characteristics of the domestic wastewater, canteen food waste, and anaerobic sludge are presented in Table 1. The pH of the domestic wastewater was slightly acidic, with a pH of 6.83 ± 0.18, which matched the optimum value for anaerobic digestion (6.8–7.2) [25]. The COD value and C/N ratio of domestic wastewater were 117.50 ± 45.16 mg L−1 and 5.29 ± 2.40:1, respectively. This result was according to the finding from Jinjaruk et al. [26], who investigated the limitation factors of domestic wastewater in Thailand for an anaerobic degradation process with a low concentration of carbon source. Lin et al. [27] have reported that the optimum C/N ratio for anaerobic digestion is 20–30:1, suggesting that the C/N ratio found in the domestic wastewater sample here was low, which may have been due to either a high content of nitrogen or a low content of carbon source. Hence, a co-digestion with a high carbon substrate should be fed to increase the C/N ratio as well as for enhancing anaerobic digestion potential.
The pH, moisture, total nitrogen, total phosphorus, potassium, and organic carbon of the canteen food waste were 5.21 ± 0.12, 81.17% ± 5.96% (w/w), 3.59% ± 0.54% (w/w), 1.80% ± 5.96% (w/w), 0.80% ± 5.96% (w/w), and 77.35% ± 5.96% (w/w), respectively. The Department of Business Development in Thailand [28] has reported that over 205,709 restaurants operated throughout Thailand in 2017, but no reports were found on the formal number of Thai canteens. In particular, the key advantages to using this source for canteen food waste were that it was a large canteen with more than 280 kg of food waste production per day, it contained concentrated and varied waste, and it was easy to sample in a collection tank. The characteristics of various canteens in Thailand, including at RMUTL [5], Naresuan University [29], and Srinakharinwirot University [30], were consistent with this study in that they contained a low pH (4.38–5.24), high moisture content (75–90%), and had easily biodegradable portions. The C/N ratio of the canteen food waste in our study was 21.55 ± 3.10:1, which was in the range of other Thai canteens (20.52–30.88) and was a suitable ratio for using it as the co-digestion substrate for biogas production under anaerobic conditions [25]. For further study, various types and amounts of resources for food waste samples to be used as co-substrates should be conducted to increase the variety of the representative sample and the result implementation. The seed sludge had a pH of 7.31 ± 0.24, an alkalinity of 5189.5 ± 59.66 mg L−1, and a VFA of 1364.75 ± 81.63 mg L−1, all of which made the sludge suitable for use as an initial inoculum for biogas production [21].
3.2. C/N Ratio and Temperature Optimization of Batch Anaerobic Co-Digestion
Hassan et al. [31] have observed that the stability of methanogenic activity requires a suitable C/N ratio. The lowest yield of biogas was produced due to rapid microbial degradation of nitrogen when the co-substrate was provided with a high C/N ratio. Likewise, methanogenic activity was inhibited by a low co-substrate C/N ratio. Previous studies have also found that the rate of biogas production by microbes is affected by temperature [32]. Several ratios of canteen food waste to domestic wastewater were tested, which consisted of a control (containing only seed sludge), 0:100, 10:90, 25:75, 50:50, 75:25, and 100:0. The mesophilic and thermophilic conditions were tested as batch experiments in this study. The results are shown in Figure 1 and Figure 2. The canteen food waste to domestic wastewater ratio of 10:90 at both temperature conditions yielded higher daily biogas production than all other ratios.
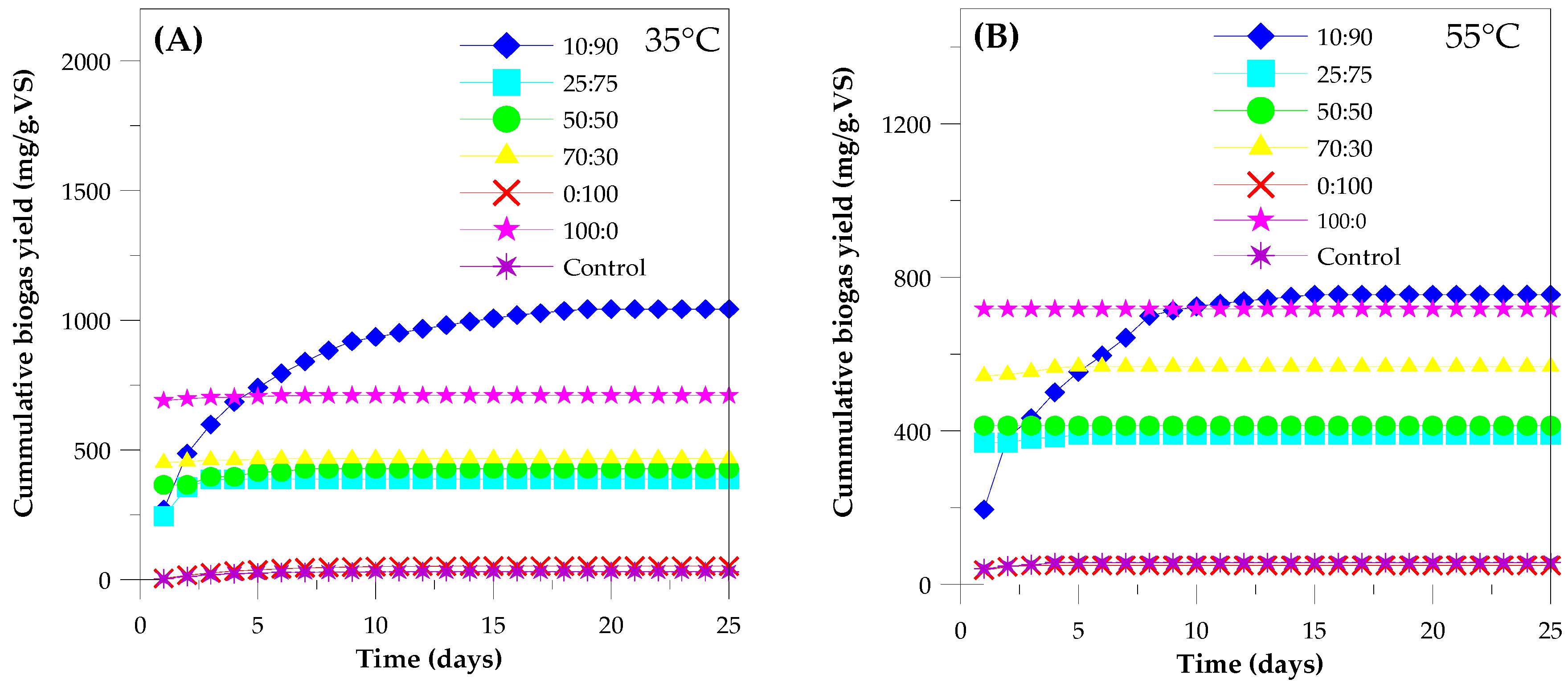
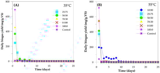
Figure 1.
Daily biogas yield during co-digestion of canteen food waste and domestic wastewater in batch experiments at (A) a mesophilic temperature and (B) a thermophilic temperature.
Figure 2.
Cumulative biogas yield during co-digestion of canteen food waste and domestic wastewater in batch experiments at (A) a mesophilic temperature and (B) a thermophilic temperature.
Co-digestion with a low proportion of canteen food waste could be maintained during the anaerobic digestion, and treatments under mesophilic conditions produced higher biogas yields than under thermophilic conditions. These results were consistent with those of Rattanapan et al. [11], who found a suitable C/N ratio for biogas production when co-digestion of canteen food waste and domestic wastewater was performed at room temperature. The C/N ratios of each co-substrate between canteen food waste and domestic wastewater after digestion are presented in Table 2. A 10:90 ratio of co-substrates produced the optimum C/N ratio range (20–30:1) for biogas production [25]. Low C/N ratios produced an abundance of free and residual ammonia that inhibited the process of biogas production.
Table 2.
Performance data for batch experiments with various ratios of co-substrate under mesophilic (35 °C) and thermophilic (55 °C) conditions.
In one study, a high nitrogen content yielding a high C/N ratio increased the nitrogen consumption rate during the startup process, which decreased the lignocellulosic biomass, creating poor anaerobic digestibility [30]. This finding was consistent with the biomethane potential (BMP) found here (Table 2). BMP assays were performed to assess how the C/N ratio and temperature influenced CH4 yields in order to find the range of conditions to use for subsequent semi-continuous experiments. The results indicated that a food waste to wastewater ratio of 10:90 yielded the highest BMP under mesophilic conditions (0.78 ml CH4/mg VS removal). Under thermophilic conditions, a 10:90 ratio produced a lower BMP (0.39 ml CH4/ mg VS removal) than under mesophilic conditions, because the thermophilic process was more sensitive to environmental changes than the mesophilic process [31]. The high occurrence of ammonium and volatile acids usually inhibits the activity of thermophilic digestion [32]. Therefore, the most suitable conditions according to the batch experiment were a 10:90 ratio performed at a mesophilic temperature, and these conditions were used in further experiments.
3.3. Semi-Continuous Operation Performance
The OLR of the solution is a significant factor for transitioning biogas production to the pilot plant scale. The anaerobic process may be sped up by high OLR feeding, but this increases the risk of process inhibition with higher substrate concentrations. Therefore, the optimum OLR was investigated to provide recommendations for reducing maintenance and operational costs of CSTR [33,34]. The optimal conditions indicated in the previous experiments, with a 10:90 ratio of canteen food waste to domestic wastewater and mesophilic temperature, were used for the CSTR co-digestion performance assessment. Three OLRs (0.66, 0.33, and 0.22 g VS L−1 d−1) were tested in three CSTR experiments. Three OLRs (0.22, 0.33, and 0.66 g VS L−1 d−1) were tested in three CSTR experiments, with HRTs of 10, 20, or 30 days, respectively.
3.3.1. Biogas Performance
Methane content and productivity and biogas productivity were monitored throughout the digestion (Figure 3). The average biogas production at 0.66, 0.33, and 0.22 g VS L−1 d−1 was 710 ± 85.57, 2253 ± 121.10, and 2760 ± 115.33 ml d−1, respectively. OLRs of 0.33 and 0.22 g VS L−1 d−1 yielded similar biogas production rates, and productivity was at its lowest when the OLR was 0.66 g VS L−1 d−1. During the initial stage of operation, a low concentration of methane was found for all OLRs. After steady state operation, the methane contents at ORLs of 0.66, 0.33, and 0.22 g VS L−1 d−1 were 20.65–22.12%, 38.03–41.20%, and 53.06–60.02%, respectively, with the lowest methane content found at 0.66 g VS L−1 d−1.
Figure 3.
Biogas performance of co-digestion of canteen food waste and domestic wastewater in a semi-continuous experiment. Daily results for (A) methane content, (B) methane productivity, and (C) biogas production rate are shown.
There was a decreasing trend in methane yield with increasing OLRs. Methane yields of 15.81 ± 11.80, 131.84 ± 139.86, and 196.85 ± 195.49 mL g VS were found for OLRs of 0.66, 0.33, and 0.22 g VS L−1 d−1, respectively. These findings occurred because readily biodegradable properties, such as carbohydrates, could be easily degraded during anaerobic digestion, and an increase in OLRs and a decrease in HRT had less effect on their removal rate and biogas and methane profiles [35]. High methane production and good process stability suggested that co-digestion of canteen food waste and domestic wastewater is technically feasible with a high potential for energy recovery.
3.3.2. VFA, pH, TS, and VS Performance
VFAs are important intermediates during anaerobic digestion and act as indicators for monitoring the health status of the anaerobic digestion process. In a well-operated reactor, VFAs should not accumulate [36,37]. Total VFA concentration, pH, and TS and VS removal in each reactor was monitored throughout the digestion process (Figure 4 and Figure 5). Until day 15, VFA concentrations ranged between 3500 and 4500 mg L−1 (as CH3COOH) in all setups, and then decreased significantly until the termination of biogas formation in reactors at OLRs of 0.33 and 0.22 g VS L−1 d−1. In contrast, at the highest OLR of 0.66 g VS L−1 d−1, VFA concentrations increased due to the fast acidogenesis or temporary accumulation of VFAs in the reactor [38]. The growth of methanogenic organisms was inhibited, and non-methanogens proliferated, especially acidogenic microorganisms, due to high VFA accumulation caused by the increased OLR.
Figure 4.
VS and TS performance of co-digestion of canteen food waste and domestic wastewater in a semi-continuous experiment, showing daily results for (A) VS removal and (B) TS removal.
Figure 5.
Daily VFAs and pH values for co-digestion of canteen food waste and domestic wastewater in a semi-continuous experiment, showing changes in (A) pH and (B) VFA value.
VFA accumulation caused the pH to shift toward acidic, resulting in toxic conditions for anaerobes. The pH within the reactor reportedly affects the composition of anaerobes. In this study, the pH of the reactor for OLRs of 0.66, 0.33, and 0.22 g VS L−1 d−1 was maintained at 6.37 ± 0.07, 7.10 ± 0.03, and 7.25 ± 0.05, respectively. Only the OLRs of 0.33 and 0.22 g VS L−1 d−1 likely ensured a high activity of methanogens, which are sensitive to environmental change and perform optimally in a pH range of 7–8 [39]. Wang et al. [14] have suggested that when food waste is used for co-digestion with other substrates, one potential concern is that the more readily hydrolysable food waste might interrupt the established balance between hydrolysis and methanogenesis. A sharp pH drop and VFA accumulation in the digestion slurry would indicate such an interruption.
For OLRs of 0.66, 0.33, and 0.22 g VS L−1 d−1, TS removal during steady stage operation was 31.03% ± 2.56%, 33.16% ± 2.23%, and 37.74% ± 2.29%, respectively. Correspondingly, VS removal during steady stage operation was 33.13% ± 1.47%, 59.75% ± 1.30%, and 69.71% ± 1.47% for each OLR. These results suggest that the degradation of organics was affected by increasing the HRT. The highest TS and VS removals were found with the lowest OLR, since microbial organic degradation activity and biogas production were enhanced by the high retention time. A washout process of microorganisms was found during a short operational time period [40].
3.3.3. Stability of Biogas Production During Digestion with Food Waste and Domestic Wastewater
Biogas production during the anaerobic digestion process was stabilized by hydrolysis, acidogenesis, acetogenesis, and methanogenesis. High methane yields were expected at low OLRs, since at high OLRs, the high hydrolysis rate creates a risk of acidification [37]. The highest biogas production rate was achieved with the lowest OLR (0.22 g VS L−1 d−1) during co-digestion (Table 3). The highest OLR resulted in moderate production of VFAs, which were not converted to CH4, and this in turn led to the acidification of the reactor. Kim et al. [37] found that the highest methane yield was obtained in a reactor with an HRT of 12 days. The most tolerable HRT found in this study was longer than those of other studies, likely because the ecological balance of the stable ecosystem was disrupted in the absence of a strong loading shock during anaerobic digestion [37]. Mesophilic digestion with a 0.22 g VS L−1 d−1 OLR was the best option for increasing the performance of co-digestion between domestic wastewater and food waste from the university canteen.
Table 3.
Summary of performance parameters for semi-continuous anaerobic digestion.
4. Conclusions
The optimum substrate ratio, OLRs, and temperature for biogas production when co-digesting domestic wastewater and canteen food waste together were determined. An ideal C/N ratio for high biogas production was achieved with a canteen food waste to domestic wastewater ratio of 10:90, and the greatest biogas production occurred at a mesophilic temperature. The biogas performance proved this co-digestion to be an efficient alternative to various OLRs by easing the feeding shock. High OLRs during operation in a semi-continuous experiment resulted in excessive production of VFAs, which were not converted to CH4 and led to acidification of the reactor. Mesophilic digestion with a 0.22 g VS L−1 d−1 OLR and a 10:90 canteen food waste to domestic wastewater ratio produced the greatest biogas output and was the best option for achieving digestion efficiency. Increasing the representative sample with various types and amounts of food waste resources for use as a co-substrate should be further studied. The optimization conditions with stable biogas production from co-digestion between canteen food waste and domestic wastewater in this study will be used to scale up continuous commercial scale plants in future engineering applications. This result should be recommended for implementation as a food waste management option in university canteens worldwide.
Author Contributions
Conceptualization, C.R., T.T.S.; methodology, data collection, and analysis, L.S.; writing, C.R. and W.O.; supervision, D.K.; funding Acquisition, C.R. and W.O.
Funding
This research was supported by the Thailand Research Fund, Commission of Education, Thailand, and Mahidol University (contract reference number MRG5480139).
Conflicts of Interest
The authors declare no conflicts of interest.
Abbreviations
| BMP | biomethane potential |
| BOD | biochemical oxygen demand |
| C/N | carbon/nitrogen |
| COD | chemical oxygen demand |
| CSTR | continuously stirring a tank reactor |
| GC | gas chromatogram |
| HRT | hydraulic retention time |
| OC | organic carbon |
| OLRs | organic loading rates |
| RMUTL | Rajamangala University of Technology Lanna |
| SS | suspended solids |
| VS | volatile solid |
| VFAs | volatile fatty acids |
| VFA/Alk | volatile fatty acid/alkalinity |
| TCD | thermal conductivity detector |
| TDS | total dissolved solid |
| TK | total potassium |
| TKN | total kjeldahl nitrogen |
| TN | total nitrogen |
| TP | total phosphorus |
| TS | total solid |
References
- Solomon, S.; Qin, D.; Manning, M.; Chen, Z.; Marquis, M.; Averyt, K.B.; Tignor, M.; Miller, H.L. Intergovernmental Panel on Climate Change 2007: The Physical Science Basis; Contribution of Working Group I to the Fourth Assessment Report of the Intergovernmental Panel on Climate Change; Cambridge University Press: New York, NY, USA, 2007. [Google Scholar]
- Ariunbaatar, J.; Panico, A.; Esposito, G.; Pirozzi, F.; Lens, P.N.L. Pretreatment methods to enhance anaerobic digestion of organic solid waste. Appl. Energy 2014, 123, 143–156. [Google Scholar] [CrossRef]
- Sharp, A.; Sang-Arun, J. A Guide for Sustainable Urban Organic Waste Management in Thailand: Combining Food, Energy, and Climate Co-Benefits; Institute for Global Environmental Strategies: Kanagawa, Japan, 2012. [Google Scholar]
- Clercq, D.D.; Wen, Z.; Gottfried, O.; Schmidt, F.; Fei, F. A review of global strategies promoting the conversion of food waste to bioenergy via anaerobic digestion. Renew. Sustain. Energy Rev. 2017, 79, 204–221. [Google Scholar] [CrossRef]
- Panyaping, K.; Moontee, P. Potential of biogas production from mixed leaf and food waste in anaerobic reactors. J. Mater. Cycles Waste Manag. 2017, 20, 1–15. [Google Scholar] [CrossRef]
- Mac, S.; Llabr, P. Anaerobic digestion of organic solid wastes. An overview of research achievements and perspectives. Bioresour. Technol. 2000, 74, 3–16. [Google Scholar]
- Girotto, F.; Alibardi, L.; Cossu, R. Food waste generation and industrial uses: A review. Waste Manag. 2015, 45, 32–41. [Google Scholar] [CrossRef]
- Koch, K.; Plabst, M.; Schmidt, A.; Helmreich, B.; Drewes, J.E. Co-digestion of food waste in a municipal wastewater treatment plant: Comparison of batch tests and full-scale experiences. Waste Manag. 2016, 47, 28–33. [Google Scholar] [CrossRef]
- Yong, Z.; Dong, Y.; Zhang, X.; Tan, T. Anaerobic co-digestion of food waste and straw for biogas production. Renew. Energy 2015, 78, 527–530. [Google Scholar] [CrossRef]
- Keucken, A.; Habagil, M.; Batstone, D.; Jeppsson, U.; Arnell, M. Anaerobic Co-digestion of sludge and organic food waste—Performance, inhibition, and impact on the microbial community. Energies 2018, 11, 2325. [Google Scholar] [CrossRef]
- Rattanapan, C.; Suksaroj, T.T.; Kantachote, D.; Katemai, W.; Rakkamon, T. Biogas production from co-digestion of domestic wastewater and food waste. Health Environ. J. 2012, 3, 1–9. [Google Scholar]
- Chan, P.C.; de Toledo, R.A.; Shim, H. Anaerobic co-digestion of food waste and domestic wastewater—Effect of intermittent feeding on short and long chain fatty acids accumulation. Renew. Energy 2018, 124, 129–135. [Google Scholar] [CrossRef]
- Dhar, H.; Kumar, P.; Kumar, S.; Mukherjee, S.; Vaidya, A.N. Effect of organic loading rate during anaerobic digestion of municipal solid waste. Bioresour. Technol. 2015, 217, 56–61. [Google Scholar] [CrossRef] [PubMed]
- Wang, Y.; Wang, C.; Wang, Y.; Xia, Y.; Chen, G.; Zhang, T. Investigation on the anaerobic co-digestion of food waste with sewage sludge. Appl. Microbiol. Biotechnol. 2017, 101, 7755–7766. [Google Scholar] [CrossRef] [PubMed]
- De Clercq, D.; Wen, Z.; Fan, F. Performance evaluation of restaurant food waste and biowaste to biogas pilot projects in China and implications for national policy. J. Environ. Manag. 2017, 189, 115–124. [Google Scholar] [CrossRef]
- Pinto, R.S.; Pinto, R.M.D.S.; Melo, F.F.S.; Campos, S.S.; Cordovil, C.M. A simple awareness campaign to promote food waste reduction in a University canteen. Waste Manag. 2018, 76, 28–38. [Google Scholar] [CrossRef] [PubMed]
- Zhang, C.; Xiao, G.; Peng, L.; Su, H.; Tan, T. The anaerobic co-digestion of food waste and cattle manure. Bioresour. Technol. 2013, 129, 170–176. [Google Scholar] [CrossRef] [PubMed]
- Zamanzadeh, M.; Hagen, L.H.; Svensson, K.; Linjordet, R.; Horn, S.J. Anaerobic digestion of food waste—Effect of recirculation and temperature on performance and microbiology. Water Res. 2016, 96, 246–254. [Google Scholar] [CrossRef] [PubMed]
- Dareioti, M.A.; Kornaros, M. Effect of hydraulic retention time (HRT) on the anaerobic co-digestion of agro-industrial wastes in a two-stage CSTR system. Bioresour. Technol. 2014, 167, 407–415. [Google Scholar] [CrossRef] [PubMed]
- Callaghan, F.J.; Wesea, D.A.J.; Thayanithya, K.; Forsterb, C.F. Continuous co-digestion of cattle slurry with fruit and vegetable wastes and chicken manure. Biomass Bioenergy 2002, 27, 71–77. [Google Scholar] [CrossRef]
- Hobson, P.N.; Wheatley, A.D. Anaerobic Digestion, Modern Theory and Practice; Elsevier Science Publishers, Ltd.: Essex, UK, 1993. [Google Scholar]
- Poh, P.E.; Chong, M.F. Biomethanation of palm oil effluent (POME) with thermophilic mixed culture cultivated using POME as a substrate. Chem. Eng. J. 2010, 164, 146–154. [Google Scholar] [CrossRef]
- Lehtomäki, A. Biogas Production from Energy Croup and Croup Residues; University of Jyväskylä: Jyväskylä, Finland, 2006. [Google Scholar]
- APHA. Standard Methods for the Examination of Water and Waste Water, 22nd ed.; American Public Health Association, American Water Works Association, Water Environment Federation: Washington, DC, USA, 2012. [Google Scholar]
- Metcalf, E. Wastewater Engineering Treatment and Reuse, 4th ed.; McGraw-Hill: New York, NY, USA, 2004. [Google Scholar]
- Jinjaruk, T.; Chunkao, K.; Pongput, K.; Choeihom, C.; Pattamapitoon, T.; Wararam, W.; Thaipakdee, S.; Srichomphu, M.; Maskulrath, P. HDPE pipeline length for conditioning anaerobic process to decrease BOD in municipal wastewater. Environ. Asia 2018, 11, 31–44. [Google Scholar]
- Lin, J.; Gan, L.; Li, P.; Liu, F.; Wang, K.; Chen, L.; Gan, H. Effect of mixture ratio on anaerobic co-digestion with fluid and vegetable waste and food waste of China. J. Environ. Sci. 2011, 23, 1403–1507. [Google Scholar] [CrossRef]
- Department of Business Development, Thailand. The Situation of Restaurant Business in Thailand; Ministry of Commerce: Bangkok, Thailand, 2018.
- Jitpranee, S.; Latpala, S. Feasibility study of organic waste management for biogas production in Naresuan University. J. Ind. Technol. Lamp. Rajabhat Univ. 2009, 2, 37–43. [Google Scholar]
- Singkibut, K.; Jarusiri, W.; Jiradecha, P. The study of appropriate technology for biogas production from food waste among universities. Int. J. Energy Res. 2011, 8, 26–32. [Google Scholar]
- Hassan, M.; Ding, W.; Umar, M.; Rasool, G. Batch and semi-continuous anaerobic co-digestion of goose manure with alkali solubilized wheat straw: A case of carbon to nitrogen ratio and organic loading rate regression optimization. Bioresour. Technol. 2017, 230, 24–32. [Google Scholar] [CrossRef] [PubMed]
- Cavinato, C.; Bolzonella, D.; Pavan, P.; Fatone, F.; Cecchi, F. Mesophilic and thermophilic anaerobic co-digestion of waste activated sludge and source sorted biowaste in pilot- and full-scale reactors. Renew. Energy 2013, 55, 260–265. [Google Scholar] [CrossRef]
- Hassan, M.; Ding, W.; Shi, Z.; Zhao, S. Methane enhancement through codigestion of chicken manure and thermo-oxidative cleaved wheat straw with waste activated sludge: A C/N optimization case. Bioresour. Technol. 2016, 211, 534–541. [Google Scholar] [CrossRef] [PubMed]
- Kim, K.J.; Oh, B.R.; Chun, Y.N.; Kim, S.W. Effects of temperature and hydraulic retention time on anaerobic digestion of food waste. J. Biosci. Bioeng. 2006, 102, 328–332. [Google Scholar] [CrossRef]
- Marañón, E.; Castrillón, L.; Quiroga, G.; Fernández-Nava, Y.; Gómez, L.; García, M.M. Co-digestion of cattle manure with food waste and sludge to increase biogas production. Waste Manag. 2012, 32, 1821–1825. [Google Scholar] [CrossRef]
- Li, Q.; Li, H.; Wang, G.; Wang, X. Effects of loading rate and temperature on anaerobic co-digestion of food waste and waste activated sludge in a high frequency feeding system, looking in particular at stability and efficiency. Bioresour. Technol. 2017, 237, 231–239. [Google Scholar] [CrossRef]
- Mata-Alvarez, J.; Dosta, J.; Romero-Güiza, M.S.; Fonoll, X.; Peces, M.; Astals, S. A critical review on anaerobic co-digestion achievements between 2010 and 2013. Renew. Sustain. Energy Rev. 2014, 36, 412–427. [Google Scholar] [CrossRef]
- Dhamodharan, K.; Kumar, V.; Kalamdhad, A.S. Effect of different livestock dungs as inoculum on food waste anaerobic digestion and its kinetics. Bioresour. Technol. 2015, 180, 237–241. [Google Scholar] [CrossRef] [PubMed]
- Voelklein, M.A.; Jacob, A.; O’Shea, R.; Murphy, J.D. Assessment of increasing loading rate on two-stage digestion of food waste. Bioresour. Technol. 2016, 202, 172–180. [Google Scholar] [CrossRef] [PubMed]
- Kim, H.W.; Nam, J.Y.; Shin, H.S. A comparison study on the high-rate codigestion of sewage sludge and food waste using a temperature-phased anaerobic sequencing batch reactor system. Bioresour. Technol. 2011, 102, 7272–7279. [Google Scholar] [CrossRef] [PubMed]
© 2019 by the authors. Licensee MDPI, Basel, Switzerland. This article is an open access article distributed under the terms and conditions of the Creative Commons Attribution (CC BY) license (http://creativecommons.org/licenses/by/4.0/).




