Calcium Sulfoaluminate, Geopolymeric, and Cementitious Mortars for Structural Applications
Abstract
1. Introduction
2. Materials and Methods
2.1. Materials and Paste/Mortar Mixes
2.1.1. Paste Preparation
2.1.2. Mortar Preparation
2.2. Methods
2.2.1. Hydration Analyses
2.2.1.1. X-ray Diffraction Analysis
2.2.1.2. Simultaneous Differential Thermal–Thermogravimetric Analysis
2.2.2. Tests for Mechanical Properties
2.2.3. Microstructural Analyses
2.2.4. Drying Shrinkage Tests
2.2.5. Water Vapor Permeability Test
2.2.6. Capillary Water Absorption Test
2.2.7. Test for Resistance to Sulfate Attack
3. Results and Discussion
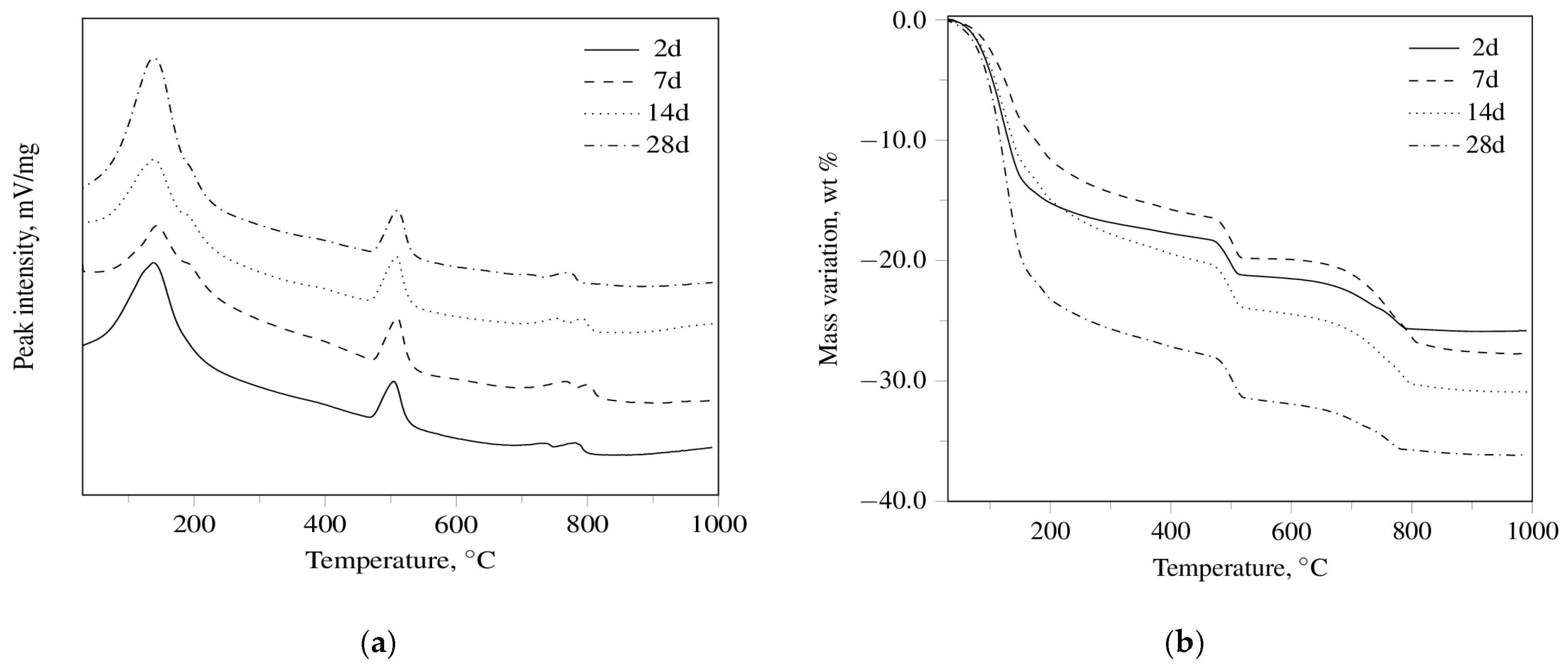
3.1. Hydration of Binder Pastes
- ettringite (3CaO·Al2O3·3CaSO4·32H2O) and calcium hydroxide (which undergo a partial carbonation) are observed for the R3 OPC;
- ettringite is detected at all investigated curing periods in the R3 CSA system, while a monosulfate peak appears only after seven days of hydration.
3.2. Fresh Properties of Mortars
3.3. Mechanical Properties of Mortars
3.4. Microstructural Analyses of Mortars
3.5. Shrinkage and Weight Loss of Mortars
3.5.1. Drying Shrinkage and Weight Loss
3.5.2. Restrained Shrinkage
3.6. Water Vapor Permeability of Mortars
3.7. Capillary Water Absorption of Mortars
3.8. Resistance to Sulfate Attack of Mortars
4. Conclusions
- the ultimate compressive strength is reached earlier in R3 OPC and R3 CSA mortars than in the R3 GEO mortar, since the reaction mechanism, and thus the strength development, of fly ash geopolymer is continuous during time;
- the dynamic modulus of the geopolymeric mortar is 35% lower than those of the other two cementitious mortars;
- The highest stiffness of R3 OPC and R3 CSA mortars ensures an 85% lower drying shrinkage, but an 80% higher restrained shrinkage compared to the R3 GEO mortar. Moreover, the expansive reaction due to ettringite formation mitigates the drying shrinkage of the R3 CSA mortar.
- the geopolymeric mortar is the most resistant to a solution prepared with 14 wt. % of Na2SO4, since the low porosity and the presence of large pores hinder the water suction and thus the ingress of aggressive ions;
- the highest fraction of pores with large diameters in the R3 GEO mortar gives a permeability to water vapor that is 40% and 57% higher than that of R3 CSA and R3 OPC mortars, respectively;
- the low porosity and the high fraction of capillary pores with small diameters ensures the lowest water uptake in short periods of time for the R3 CSA mortar, whereas the low porosity of the R3 GEO mortar results in the lowest absorption over long periods of time because of the high fraction of pores with large diameters.
Acknowledgments
Author Contributions
Conflicts of Interest
References
- Ozga, I.; Ghedini, N.; Giosuè, C.; Sabbioni, C.; Tittarelli, F.; Bonazza, A. Assessment of air pollutant sources in the deposit on monuments by multivariate analysis. Sci. Total Environ. 2014, 490, 776–784. [Google Scholar] [CrossRef] [PubMed]
- Telesca, A.; Marroccoli, M.; Ibris, N.; Lupiáñez, C.; Díez, L.I.; Romeo, L.M.; Montagnaro, F. Use of oxyfuel combustion ash for the production of blended cements: A synergetic solution toward reduction of CO2 emissions. Fuel Process. Technol. 2017, 156, 211–220. [Google Scholar] [CrossRef]
- Xu, D.; Cui, Y.; Li, H.; Yang, K.; Xu, W.; Chen, Y. On the future of Chinese cement industry. Cem. Concr. Res. 2015, 78, 2–13. [Google Scholar] [CrossRef]
- Mehta, P.K.; Monteiro, P.J.M. Concrete: Microstructure, Properties, and Materials, 3rd ed.; McGraw-Hill: New York, NY, USA, 2006. [Google Scholar]
- Barcelo, L.; Kline, J.; Walenta, G.; Gartner, E. Cement and carbon emissions. Mater. Struct. 2014, 47, 1055–1065. [Google Scholar] [CrossRef]
- Shen, W.; Cao, L.; Li, Q.; Zhang, W.; Wang, G. Quantifying CO2 emissions from China’s cement industry. Renew. Sustain. Energy Rev. 2015, 50, 1004–1012. [Google Scholar] [CrossRef]
- Juenger, M.C.G.; Winnefeld, F.; Provis, J.L.; Ideker, J.H. Advances in alternative cementitious binders. Cem. Concr. Res. 2011, 41, 1232–1243. [Google Scholar] [CrossRef]
- Gartner, E.; Hirao, H. A review of alternative approaches to the reduction of CO2 emissions associated with the manufacture of the binder phase in concrete. Cem. Concr. Res. 2015, 78, 126–142. [Google Scholar] [CrossRef]
- Kurtis, K.E. Innovations in cement-based materials: Addressing sustainability in structural and infrastructure applications. Mater. Res. Soc. Bull. 2015, 40, 1102–1109. [Google Scholar] [CrossRef]
- Schneider, M. Process technology for efficient and sustainable cement production. Cem. Concr. Res. 2015, 78, 14–23. [Google Scholar] [CrossRef]
- Tittarelli, F. Effect of low dosages of waste GRP dust on fresh and hardened properties of mortars: Part 2. Constr. Build. Mater. 2013, 47, 1539–1543. [Google Scholar] [CrossRef]
- Coppola, L.; Lorenzi, S.; Buoso, A. Electric Arc Furnace Granulated Slag as a Partial Replacement of Natural Aggregates for Concrete Production. In Proceedings of the Second International Conference on Sustainable Construction Materials and Technologies, Ancona, Italy, 28–30 June 2010. [Google Scholar]
- Tittarelli, F.; Shah, S.P. Effect of low dosages of waste GRP dust on fresh and hardened properties of mortars: Part 1. Constr. Build. Mater. 2013, 47, 1532–1538. [Google Scholar] [CrossRef]
- Pahlavan, P.; Manzi, S.; Rodriguez-Estrada, M.T.; Bignozzi, M.C. Valorization of spent cooking oils in hydrophobic waste-based lime mortars for restorative rendering applications. Constr. Build. Mater. 2017, 146, 199–209. [Google Scholar] [CrossRef]
- Carsana, M.; Tittarelli, F.; Bertolini, L. Use of no-fines concrete as a building material: Strength, durability properties and corrosion protection of embedded steel. Cem. Concr. Res. 2013, 48, 64–73. [Google Scholar] [CrossRef]
- Bernardo, G.; Marroccoli, M.; Nobili, M.; Telesca, A.; Valenti, G.L. The use of oil well-derived drilling waste and electric arc furnace slag as alternative raw materials in clinker production. Resour. Conserv. Recycl. 2007, 52, 95–102. [Google Scholar] [CrossRef]
- Marroccoli, M.; Pace, M.L.; Telesca, A.; Valenti, G.L.; Montagnaro, F. Utilization of Coal Combustion Ashes for the Synthesis of Ordinary and Special Cements. Combust. Sci. Technol. 2010, 182, 588–599. [Google Scholar] [CrossRef]
- Wang, S. Quantitative kinetics of pozzolanic reactions in coal/cofired biomass fly ashes and calcium hydroxide (CH) mortars. Constr. Build. Mater. 2014, 51, 364–371. [Google Scholar] [CrossRef]
- Juenger, M.C.G.; Siddique, R. Recent advances in understanding the role of supplementary cementitious materials in concrete. Cem. Concr. Res. 2015, 78, 71–80. [Google Scholar] [CrossRef]
- Pace, M.L.; Telesca, A.; Marroccoli, M.; Valenti, G.L. Use of Industrial Byproducts as Alumina Sources for the Synthesis of Calcium Sulfoaluminate Cements. Environ. Sci. Technol. 2011, 45, 6124–6128. [Google Scholar] [CrossRef] [PubMed]
- Bernardo, G.; Telesca, A.; Valenti, G.L. A porosimetric study of calcium sulfoaluminate cement pastes cured at early ages. Cem. Concr. Res. 2006, 36, 1042–1047. [Google Scholar] [CrossRef]
- Hargis, C.W.; Lothenbach, B.; Müller, C.J.; Winnefeld, F. Carbonation of calcium sulfoaluminate mortars. Cem. Concr. Compos. 2017, 80, 123–134. [Google Scholar] [CrossRef]
- Telesca, A.; Marroccoli, M.; Tomasulo, M.; Valenti, G.L.; Dieter, H.; Montagnaro, F. Calcium Looping Spent Sorbent as a Limestone Replacement in the Manufacture of Portland and Calcium Sulfoaluminate Cements. Environ. Sci. Technol. 2015, 49, 6865–6871. [Google Scholar] [CrossRef] [PubMed]
- Beretka, J.; De Vito, B.; Santoro, L.; Sherman, N.; Valenti, G.L. Hydraulic behaviour of calcium sulfoaluminate-based cements derived from industrial process wastes.pdf. Cem. Concr. Res. 1993, 23, 1205–1214. [Google Scholar] [CrossRef]
- Xu, L.; Wu, K.; Li, N.; Zhou, X.; Wang, P. Utilization of flue gas desulfurization gypsum for producing calcium sulfoaluminate cement. J. Clean. Prod. 2017, 161, 803–811. [Google Scholar] [CrossRef]
- Wu, K.; Shi, H.; Guo, X. Utilization of municipal solid waste incineration fly ash for sulfoaluminate cement clinker production. Waste Manag. 2011, 31, 2001–2008, in press. [Google Scholar] [CrossRef] [PubMed]
- Singhl, M.; Upadhayay, S.N.; Prasad, P.M. Preparation of iron rich cements using red mud. Cem. Concr. Res. 1997, 27, 1037–1046. [Google Scholar] [CrossRef]
- Gallardo, H.M.; Almanza, R.J.M.; Cortés, H.D.A.; Escobedo, B.J.C. Mechanical and chemical behavior of calcium sulfoaluminate cements obtained from industrial waste. J. Lat. Am. Assoc. Qual. Control. Pathol. Recover. Constr. 2016, 6, 15–27. [Google Scholar] [CrossRef]
- Telesca, A.; Calabrese, D.; Marroccoli, M.; Tomasulo, M.; Valenti, G.L.; Duelli, G.; Montagnaro, F. Spent limestone sorbent from calcium looping cycle as a raw material for the cement industry. Fuel 2014, 118, 202–205. [Google Scholar] [CrossRef]
- Telesca, A.; Marroccoli, M.; Tomasulo, M.; Valenti, G.L.; Dieter, H.; Montagnaro, F. Low-CO2 Cements from Fluidized Bed Process Wastes and Other Industrial By-Products. Combust. Sci. Technol. 2016, 188, 492–503. [Google Scholar] [CrossRef]
- Gallardo-Heredia, M.; Almanza-Robles, J.M.; Magallanes-Rivera, R.X.; Cortes-Hernandez, D.A.; Escobedo-Bocardo, J.C.; Avila-Lopez, U. Calcium sulfoaluminate cement pastes from industrial wastes: Effect of hemihydrate content. Mater. Struct. 2017, 50, 93. [Google Scholar] [CrossRef]
- Martin, L.H.J.; Winnefeld, F.; Tschopp, E.; Müller, C.J.; Lothenbach, B. Influence of fly ash on the hydration of calcium sulfoaluminate cement. Cem. Concr. Res. 2017, 95, 152–163. [Google Scholar] [CrossRef]
- Provis, J.L. Geopolymers and other alkali activated materials: why, how, and what? Mater. Struct. 2013, 47, 11–25. [Google Scholar] [CrossRef]
- Monticelli, C.; Natali, M.E.; Balbo, A.; Chiavari, C.; Zanotto, F.; Manzi, S.; Bignozzi, M.C. Corrosion behavior of steel in alkali-activated fly ash mortars in the light of their microstructural, mechanical and chemical characterization. Cem. Concr. Res. 2016, 80, 60–68. [Google Scholar] [CrossRef]
- Park, S.M.; Jang, J.G.; Lee, N.K.; Lee, H.K. Physicochemical properties of binder gel in alkali-activated fly ash/slag exposed to high temperatures. Cem. Concr. Res. 2016, 89, 72–79. [Google Scholar] [CrossRef]
- Davidovits, J. Geopolymers: Inorganic polymeric new materials. J. Therm. Anal. 1991, 37, 1633–1634. [Google Scholar] [CrossRef]
- Turner, L.K.; Collins, F.G. Carbon dioxide equivalent (CO2-e) emissions: A comparison between geopolymer and OPC cement concrete. Constr. Build. Mater. 2013, 43, 125–130. [Google Scholar] [CrossRef]
- Duxson, P.; Fernandez-Jimenez, A.; Provis, J.L.; Lukey, G.C.; Palomo, A.; Van Deventer, J.S.J. Geopolymer technology : The current state of the art. J. Mater. Sci. 2007, 42, 2917–2933. [Google Scholar] [CrossRef]
- Provis, J.L. Alkali-activated materials. Cem. Concr. Res. 2017, in press. [Google Scholar] [CrossRef]
- Davidovits, J. 30 Years of Successes and Failures in Geopolymer Applications. Market Trends and Potential Breakthroughs. In Proceedings of the Geopolymer 2002 Conference, Melbourne, Australia, 28–29 October 2002; pp. 1–16. [Google Scholar]
- Lamond, J.F.; Pielert, J.H. Significance of Tests and Properties of Concrete and Concrete-Making Materials; ASTM International: New York, NY, USA, 2006. [Google Scholar]
- Giosuè, C.; Mobili, A.; Toscano, G.; Ruello, M.L.; Tittarelli, F. Effect of Biomass Waste Materials as Unconventional Aggregates in Multifunctional Mortars for Indoor Application. Procedia Eng. 2016, 161, 655–659. [Google Scholar] [CrossRef]
- Hughes, D. Pore structure and permeability of hardened cement paste. Mag. Concr. Res. 1985, 37, 230–231. [Google Scholar] [CrossRef]
- Corinaldesi, V.; Moriconi, G.; Tittarelli, F. Thaumasite: Evidence for incorrect intervention in masonry restoration. Cem. Concr. Compos. 2003, 25, 1157–1160. [Google Scholar] [CrossRef]
- Tittarelli, F.; Giosuè, C.; Mobili, A.; Di Perna, C.; Monosi, S. Effect of Using Recycled Instead of Virgin EPS in Lightweight Mortars. Procedia Eng. 2016, 161, 660–665. [Google Scholar] [CrossRef]
- Tittarelli, F.; Giosuè, C.; Mobili, A.; Ruello, M.L. Influence of binders and aggregates on VOCs adsorption and moisture buffering activity of mortars for indoor applications. Cem. Concr. Compos. 2015, 57, 75–83. [Google Scholar] [CrossRef]
- Moriconi, G.; Tittarelli, F.; Corinaldesi, V. Review of silicone-based hydrophobic treatment and admixtures for concrete. Indian Concr. J. 2002, 76, 637–642. [Google Scholar]
- Bonazza, A.; Vidorni, G.; Natali, I.; Ciantelli, C.; Giosuè, C.; Tittarelli, F. Durability assessment to environmental impact of nano-structured consolidants on Carrara marble by field exposure tests. Sci. Total Environ. 2017, 575, 23–32. [Google Scholar] [CrossRef] [PubMed]
- Giosuè, C.; Pierpaoli, M.; Mobili, A.; Ruello, M.L.; Tittarelli, F. Influence of Binders and Lightweight Aggregates on the Properties of Cementitious Mortars: From Traditional Requirements to Indoor Air Quality Improvement. Materials 2017, 10, 978. [Google Scholar] [CrossRef]
- Taylor, H.F. Cement Chemistry, 2nd ed.; Thomas Telford Ltd.: London, UK, 1997. [Google Scholar]
- Ferone, C.; Colangelo, F.; Roviello, G.; Asprone, D.; Menna, C.; Balsamo, A.; Prota, A.; Cioffi, R.; Manfredi, G. Application-Oriented Chemical Optimization of a Metakaolin Based Geopolymer. Materials 2013, 6, 1920–1939. [Google Scholar] [CrossRef] [PubMed]
- Lloyd, R.R. Accelerated ageing of geopolymers. In Geopolymers: Structures, Processing, Properties and Industrial Applications; Provis, J.L., Van Deventer, J.S.J., Eds.; Woodhead Publishing Limited: New York, NY, USA, 2009; pp. 139–166. [Google Scholar]
- Shi, C.; Fernández Jiménez, A.; Palomo, A. New cements for the 21st century: The pursuit of an alternative to Portland cement. Cem. Concr. Res. 2011, 41, 750–763. [Google Scholar] [CrossRef]
- Trauchessec, R.; Mechling, J.; Lecomte, A.; Roux, A.; Rolland, B. Le Hydration of ordinary Portland cement and calcium sulfoaluminate cement blends. Cem. Concr. Compos. 2015, 56, 106–114. [Google Scholar] [CrossRef]
- Hargis, C.W.; Telesca, A.; Monteiro, P.J.M. Calcium sulfoaluminate (Ye’elimite) hydration in the presence of gypsum, calcite, and vaterite. Cem. Concr. Res. 2014, 65, 15–20. [Google Scholar] [CrossRef]
- Scrivener, K.; Skalny, J. Internal sulphate attack and delayed ettringite formation. In Proceedings of the International RILEM TC 186-ISA Workshop, Villars, Switzerland, 4–6 September 2002. [Google Scholar]
- Collepardi, M. Scienza e Tecnologia Del Calcestruzzo; Hoepli Editore: Milano, Italy, 1991. [Google Scholar]
- Mobili, A.; Giosuè, C.; Bitetti, M.; Tittarelli, F. Cement mortars and geopolymers with the same strength class. Proc. Inst. Civ. Eng. Constr. Mater. 2015, 169, 3–12. [Google Scholar] [CrossRef]
- Mobili, A.; Giosuè, C.; Belli, A.; Bellezze, T.; Tittarelli, F. Geopolymeric and cementitious mortars with the same mechanical strength class: Performances and corrosion behaviour of black and galvanized steel bars. ACI Spec. Publ. 2015, 305, 18.1–18.10. [Google Scholar]
- Mobili, A.; Belli, A.; Giosuè, C.; Bellezze, T.; Tittarelli, F. Metakaolin and fly ash alkali-activated mortars compared with cementitious mortars at the same strength class. Cem. Concr. Res. 2016, 88, 198–210. [Google Scholar] [CrossRef]
- Nath, P.; Sarker, P.K. Flexural strength and elastic modulus of ambient-cured blended low-calcium fly ash geopolymer concrete. Constr. Build. Mater. 2017, 130, 22–31. [Google Scholar] [CrossRef]
- Puertas, F.; Amat, T.; Fernández-Jiménez, A.; Vazquez, T. Mechanical and durable behaviour of alkaline cement mortars reinforced with polypropylene fibres. Cem. Concr. Res. 2003, 33, 2031–2036. [Google Scholar] [CrossRef]
- Fernández-jiménez, A.; Palomo, A.; Lopez-Hombrados, C. Engineering properties of alkali-activated fly. ACI Mater. J. 2006, 103, 106. [Google Scholar] [CrossRef]
- Bondar, D.; Lynsdale, C.J.; Milestone, N.B.; Hassani, N.; Ramezanianpour, A.A. Engineering Properties of Alkali-Activated Natural Pozzolan Concrete. ACI Mater. J. 2011, 108, 64–72. [Google Scholar]
- Ndiaye, K.; Cyr, M.; Ginestet, S. Durability and stability of an ettringite-based material for thermal energy storage at low temperature. Cem. Concr. Res. 2017, 99, 106–115. [Google Scholar] [CrossRef]
- Hartman, M.R.; Brady, S.K.; Berliner, R.; Conradi, M.S. The evolution of structural changes in ettringite during thermal decomposition. J. Solid State Chem. 2006, 179, 1259–1272. [Google Scholar] [CrossRef]
- Ma, Y.; Ye, G. The shrinkage of alkali activated fly ash. Cem. Concr. Res. 2015, 68, 75–82. [Google Scholar] [CrossRef]
- Carabba, L.; Santandrea, M.; Carloni, C.; Manzi, S.; Bignozzi, M.C. Steel fiber reinforced geopolymer matrix (S-FRGM) composites applied to reinforced concrete structures for strengthening applications: A preliminary study. Compos. Part B 2017. [Google Scholar] [CrossRef]
- Noor-ul-Amin. Comparative study of Geopolymer and calcium sulfoaluminate as alternatives for Ordinary Portland cement (OPC). J. Basic Appl. Chem. 2014, 4, 1–10. [Google Scholar]
- Mehta, P.K. Expansion Characteristics of Calcium Sulfoaluminate Hydrates. J. Am. Ceram. Soc. 1967, 50, 204–208. [Google Scholar] [CrossRef]
- Chen, I.A.; Hargis, C.W.; Juenger, M.C.G. Understanding expansion in calcium sulfoaluminate—Belite cements. Cem. Concr. Res. 2012, 42, 51–60. [Google Scholar] [CrossRef]
- Chaunsali, P.; Lim, S.; Mondal, P.; Tobias, D.H. Factors Influencing the Early-Age Volume Change of Expansive Cements Relevant for Bridge Deck Concrete. In Proceedings of the Transportation Research Board 92nd Annual Meeting, Washington, DC, USA, 13–17 January 2013. [Google Scholar]
- Collepardi, M. The New Concrete; Tintoretto: Castrette di Villorba, Italy, 2006. [Google Scholar]
- Katz, A.J.; Thompson, A.H. Prediction of Rock Electrical Conductivity from Mercury Injection Measurements. J. Geophys. Res. 1987, 92, 599–607. [Google Scholar] [CrossRef]
- Benachour, Y.; Davy, C.A.; Skoczylas, F.; Houari, H. Effect of a high calcite filler addition upon microstructural, mechanical, shrinkage and transport properties of a mortar. Cem. Concr. Res. 2008, 38, 727–736. [Google Scholar] [CrossRef]











| C4A3Ŝ (a) | C2S (b) | CŜ (c) | C3A (d) | Bf |
|---|---|---|---|---|
| 46.0 ± 2.0 | 20.9± 1.0 | 21.2± 1.2 | 7.4 ± 1.2 | 500 |
| Materials | SiO2 | Al2O3 | Fe2O3 | CaO | MgO | K2O | Na2O | TiO2 | SO3 |
|---|---|---|---|---|---|---|---|---|---|
| FA | 44.0 | 29.1 | 6.0 | 5.5 | 1.5 | 1.1 | 0.4 | 0.9 | 1.1 |
| OPC | 29.7 | 3.7 | 1.8 | 59.3 | 1.1 | 0.8 | 0.3 | 0.1 | 3.2 |
| CSA | 7.8 | 24.1 | 1.9 | 42.7 | 3.0 | - | - | - | 18.2 |
| Mortars | OPC (g) | CSA (g) | Mixing Water (g) | Sand (g) | FA (g) | CAC (g) | Activating Solution | w/b | ||
|---|---|---|---|---|---|---|---|---|---|---|
| SSS (g) | KOH Pellets (g) | Demin. Water (g) | ||||||||
| R3 OPC | 450 | - | 292 | 1350 | - | - | - | - | - | 0.65 |
| R3 CSA | - | 450 | 225 | 1350 | - | - | - | - | - | 0.50 |
| R3 GEO | - | - | - | 1350 | 460 | 40 | 150 | 85 | 65 | 0.23 |
| Mortars | Flow Value (mm) | Ed (GPa) | fu (MPa) | Vp (%) |
|---|---|---|---|---|
| R3 OPC | 140 | 29 | 1.0 | 18 |
| R3 CSA | 140 | 30 | 1.2 | 13 |
| R3 GEO | 200 | 19 | 0.3 | 13 |
| Mortars | μ (-) | AC (kg/(m2·s1/2)) |
|---|---|---|
| R3 OPC | 21 | 2.7 |
| R3 CSA | 15 | 1.9 |
| R3 GEO | 9 | 3.7 |
© 2017 by the authors. Licensee MDPI, Basel, Switzerland. This article is an open access article distributed under the terms and conditions of the Creative Commons Attribution (CC BY) license (http://creativecommons.org/licenses/by/4.0/).
Share and Cite
Mobili, A.; Belli, A.; Giosuè, C.; Telesca, A.; Marroccoli, M.; Tittarelli, F. Calcium Sulfoaluminate, Geopolymeric, and Cementitious Mortars for Structural Applications. Environments 2017, 4, 64. https://doi.org/10.3390/environments4030064
Mobili A, Belli A, Giosuè C, Telesca A, Marroccoli M, Tittarelli F. Calcium Sulfoaluminate, Geopolymeric, and Cementitious Mortars for Structural Applications. Environments. 2017; 4(3):64. https://doi.org/10.3390/environments4030064
Chicago/Turabian StyleMobili, Alessandra, Alberto Belli, Chiara Giosuè, Antonio Telesca, Milena Marroccoli, and Francesca Tittarelli. 2017. "Calcium Sulfoaluminate, Geopolymeric, and Cementitious Mortars for Structural Applications" Environments 4, no. 3: 64. https://doi.org/10.3390/environments4030064
APA StyleMobili, A., Belli, A., Giosuè, C., Telesca, A., Marroccoli, M., & Tittarelli, F. (2017). Calcium Sulfoaluminate, Geopolymeric, and Cementitious Mortars for Structural Applications. Environments, 4(3), 64. https://doi.org/10.3390/environments4030064

