Tracing the Legacy of Historical PCB Pollution and Contemporary PAH Contamination in the Kupa River (Danube Basin, Croatia)
Abstract
1. Introduction
2. Materials and Methods
2.1. Study Area
2.2. Biology of Fish and Sampling
2.3. Analyzed Compounds
2.4. PCB Analysis in Freshwater Fish
2.4.1. Chemicals and Reagents
2.4.2. Sample Preparation
2.4.3. GC-MS/MS Analysis
2.5. PAH Analysis in Freshwater Fish
2.5.1. Chemicals and Reagents
2.5.2. Sample Preparation
2.5.3. HPLC Analysis
2.6. Data Analysis
2.6.1. SOM Analysis
2.6.2. Human Health Risk Assessment
3. Results
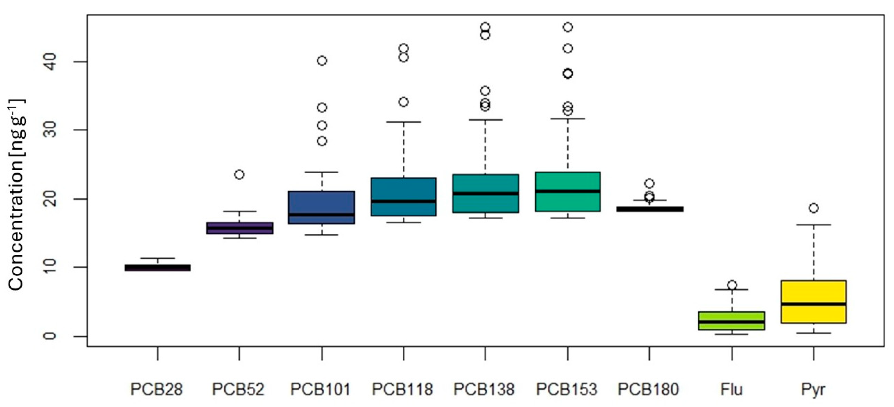
3.1. PCB Levels
3.2. PAH Levels
3.3. SOM Clustering
3.4. Human Health Risk Assessment


4. Discussion
5. Conclusions
Supplementary Materials
Author Contributions
Funding
Data Availability Statement
Conflicts of Interest
Abbreviations
| PCBs | PolyChlorinated Biphenyls |
| ndl-PCBs | Non-dioxin like PCBs |
| PAHs | Polycyclic Aromatic Hydrocarbons |
| RAIS | Risk Assessment Information System |
| US-EPA | United States Environmental Protection Agency |
| LOQ | Limit Of Quantification |
| SOM | Self-Organizing Map |
| EDI | Estimated Daily Intake rate |
| THQ | Total Hazard Quotient |
| EFSA | European Food Safety Authority |
| TDI | Tolerable Daily Intake |
References
- Albarano, L.; Zupo, V.; Guida, M.; Libralato, G.; Caramiello, D.; Ruocco, N.; Costantini, M. PAHs and PCBs Affect Functionally Intercorrelated Genes in the Sea Urchin Paracentrotus lividus Embryos. Int. J. Mol. Sci. 2021, 22, 12498. [Google Scholar] [CrossRef]
- Benson, U.N.; Fred-Ahmadu, H.O.; Ekett, I.S.; Basil, O.M.; Adebowale, A.D.; Adewale, G.A.; Ayejuyo, O.O. Occurrence, depth distribution and risk assessment of PAHs and PCBs in sediment cores of Lagos lagoon, Nigeria. Reg. Stud. Mar. Sci. 2020, 37, 101335. [Google Scholar] [CrossRef]
- Jones, K.C. Persistent organic pollutants (POPs) and related chemicals in the global environment: Some personal reflections. Environ. Sci. Technol. 2021, 55, 9400–9412. [Google Scholar] [CrossRef]
- Marziali, L.; Guzzella, L.; Salerno, F.; Marchetto, A.; Valsecchi, L.; Tasselli, S.; Roscioli, C.; Schiavon, A. Twenty year sediment contamination trends in some tributaries of Lake Maggiore (Northern Italy): Relation with anthropogenic factors. Environ. Sci. Pollut. Res. 2021, 28, 38193–38208. [Google Scholar] [CrossRef]
- Girones, L.; Oliva, A.L.; Negrin, V.L.; Marcovecchio, J.E.; Arias, A.H. Persistent organic pollutants (POPs) in coastal wet-lands: A review of their occurrences, toxic effects, and biogeochemical cycling. Mar. Pollut. Bull. 2021, 172, 112864. [Google Scholar] [CrossRef]
- Herceg Romanić, S.; Jaćimović, N.; Mendaš, G.; Fingler, S.; Stipišević, S.; Jakšić, G.; Popović, A.; Jovanović, G. Bedload sediment transport model for revealing the multi year trend of polychlorinated biphenyl contamination in the river sediment (Kupa, Croatia). Environ. Geochem. Health 2023, 45, 8473–8487. [Google Scholar] [CrossRef]
- Terzić, I.; Jakovljević, I.; Fingler, S.; Mendaš, G.; Stipičević, S.; Pehnec, G.; Biošić, M.; Lovrić, M.; Jakšić, G.; Herceg Romanić, S. Persistent Organic Pollutants and Polycyclic Aromatic Hydrocarbons in River Sediments throughout Croatia: Spatial Distribution and In Silico Toxicity Characterization. Water Air Soil Pollut. 2026, 237, 408. [Google Scholar] [CrossRef]
- Sopčić, S.; Jakovljević, I.; Sever Štrukil, Z.; Bešlić, I. Source Identification of Carbohydrates and Polycyclic Aromatic Hy-drocarbons in a Rural Area near the Plitvice Lakes National Park, Croatia. Atmos. Environ. 2025, 345, 121050. [Google Scholar] [CrossRef]
- Stanišić, S.; Jovanović, G.; Perišić, M.; Herceg Romanić, S.; Milićević, T.; Stojić, A. Explaining the environmental fate of PAHin indoor outdoor environments by the use of artificial intelligence. In Polycyclic Aromatic Hydrocarbons: Sources, Exposure and Health Effects; Warren, L.G., Ed.; Nova Science Publishers: New York, NY, USA, 2022; ISBN 978-1-68507-626-9. [Google Scholar]
- Polič, S.; Leskovšek, H.; Hrovat, M. PCB pollution of the karstic environment (Krupa River, Slovenia). Acta Carsologica 2000, 29, 141–152. [Google Scholar]
- Pezdirc, M.; Heath, E.; Bizjak Mali, L.; Bulog, B. PCB accumulation and tissue distribution in cave salamander (Proteus anguinus anguinus, Amphibia, Urodela) in the polluted karstic hinterland of the Krupa River, Slovenia. Chemosphere 2011, 84, 987–993. [Google Scholar] [CrossRef]
- NIP. National Implementation Plan for the Management of Persistent Organic Pollutants in the Period 2009–2013; Republic of Slovenia, Government of the Republic Slovenia: Ljubljana, Slovenia, 2009; No. 18400-2/2008/8.
- Drevenkar, V.; Fingler, S.; Fröbe, Z. Some organochlorine pollutants in the water environment their influence on drinking water quality. In Chemical Safety. International Reference Manual; Richardson, M., Ed.; VCH: Weinheim, Germany, 1985; pp. 297–310. [Google Scholar] [CrossRef]
- Šmit, Z.; Drevenkar, V.; Kodrić-Šmit, M. Polychlorinated biphenyls in the Kupa River, Croatia, Yugoslavia. Chemosphere 1987, 16, 2351–2358. [Google Scholar] [CrossRef]
- Picer, M.; Perkov, S.; Picer, N. Contamination of Bela Krajina, Slovenia with polychlorinated biphenyls 1. Levels of some high molecular chlorinated hydrocarbons in the water and fish of the Kupa River in Croatia. Water Air Soil Pollut. 1995, 82, 559–581. [Google Scholar] [CrossRef]
- European Commission Regulation (EU) 2023/915, 2023. On Maximum Levels for Certain Contaminants in Food and Repealing Regulation (EC) No 1881/2006 (Text with EEA Relevance). Available online: https://eur-lex.europa.eu/eli/reg/2023/915/oj (accessed on 2 April 2025).
- Buchman, M.F. NOAA Screening Quick Reference Table for Organics in Sediment; NOAA OR&R Report 08-1; Office of Response and Restoration Division, National Oceanic and Atmospheric Administration: Seattle, WA, USA, 2008.
- Atlantic Risk Based Corrective Action (RBCA). Environmental Quality Standards, 2023. Ecological Tier I Environmental Quality Standards (EQS) for Sediment (Updated June 2023). Available online: https://atlanticrbca.com/wp-content/uploads/2023/06/Ecological_Tier_I_Environmental_Quality_Standards_for_Sediment_June2023.pdf (accessed on 2 April 2025).
- Leppanen, T.M.; Sourisseau, S.; Burgess, M.R.; Simpson, L.S.; Sibley, P.; Jonker, M.T. Sediment Toxicity Tests: A Critical Review of Their use in Environmental Regulations. Environ. Toxicol. Chem. 2024, 43, 1697–1716. [Google Scholar] [CrossRef]
- European Parliament & Council. Directive 2008/105/EC on Environmental Quality Standards in the Field of Water Policy; Official Journal of the European Union: Luxembourg, 2008. [Google Scholar]
- Bogdanović, T.; Pleadin, J.; Petričević, S.; Listeš, E.; Sokolić, D.; Marković, K.; Ozogul, F.; Šimat, V. The occurrence of polycyclic aromatic hydrocarbons in fish and meat products of Croatia and dietary exposure. J. Food Compos. Anal. 2019, 75, 49–60. [Google Scholar] [CrossRef]
- Honda, M.; Suzuki, N. Toxicities of polycyclic aromatic hydrocarbons for aquatic animals. Int. J. Environ. Res. Public Health 2020, 17, 1363. [Google Scholar] [CrossRef]
- Kuhn, A.V.; Dal Pont, G.; Cozer, N.; Sadauskas Henrique, H. The concentrations of polycyclic aromatic hydrocarbons in fish: A systematic review. Mar. Pollut. Bull. 2024, 198, 115778. [Google Scholar] [CrossRef]
- Bon Man, Y.; Yin Mo, W.; Zhang, F.; Hung Wong, M. Health risk assessments based on polycyclic aromatic hydrocarbons in freshwater fish cultured using food waste-based diets. Environ. Pollut. 2020, 256, 113380. [Google Scholar] [CrossRef]
- Adewale, A.; Adegbola, P.I.; Owoade, A.O.; Aborisade, A.B. Fish as a bioindicator of polycyclic aromatic hydrocarbon pollution in aquatic ecosystem of Ogun and Eleyele Rivers, Nigeria, and risk assessment for consumer’s health. J. Hazard. Mater. Adv. 2022, 7, 100096. [Google Scholar] [CrossRef]
- Li, Y.; Guo, N.; Zou, X.; Li, P.; Zou, S.; Luo, J.; Yang, Y. Pollution level and health risk assessment of polycyclic aromatic hydrocarbons in marine fish from two coastal regions, the South China Sea. Mar. Pollut. Bull. 2021, 168, 112376. [Google Scholar] [CrossRef]
- Montano, L.; Pironti, C.; Pinto, G.; Ricciardi, M.; Buono, A.; Brogna, C.; Venier, M.; Piscopo, M.; Amoresano, A.; Motta, O. Polychlorinated Biphenyls (PCBs) in the Environment: Occupational and Exposure Events, Effects on Human Health and Fertility. Toxics 2022, 1, 365. [Google Scholar] [CrossRef]
- Kottelat, M.; Freyhof, J. Handbook of European Freshwater Fishes; Kottelat: Cornol, Switzerland; Freyhof: Berlin, Germany, 2007; p. 646. [Google Scholar]
- Treer, T.; Piria, M. Osnove Primijenjene Ihtiologije; Sveučilište u Zagrebu, Agronomski Fakultet: Zagreb, Croatia, 2019; p. 145. (In Croatian) [Google Scholar]
- Ćaleta, M.; Marčić, Z.; Buj, I.; Zanella, D.; Mustafić, P.; Duplić, A.; Horvatić, S. A review of extant Croatian freshwater fish and lampreys—Annotated list and distribution. Croat. J. Fish. 2019, 77, 137–234. [Google Scholar] [CrossRef]
- Đokić, M.; Nekić, T.; Varenina, I.; Varga, I.; Solomun Kolanović, B.; Sedak, M.; Čalopek, B.; Kmetič, I.; Murati, T.; Vratarić, D.; et al. Distribution of pesticides and polychlorinated biphenyls in food of animal origin in Croatia. Foods 2024, 13, 528. [Google Scholar] [CrossRef]
- SANTE/11813/2017; Guidance Document on Analytical Quality Control and Validation Procedures for Pesticide Residues Analysis in Food and Feed. European Commission: Brussels, Belgium, 2013.
- R Team. A Language and Environment for Statistical Computing; R Foundation for Statistical Computing: Vienna, Austria, 2012; Available online: https://cran.r-project.org/doc/manuals/r-release/fullrefman.pdf (accessed on 1 April 2025).
- Budayan, C.; Dikmen, I.; Birgonul, M. Comparing the performance of traditional cluster analysis, self-organizing maps and fuzzy C-means method for strategic grouping. Expert Syst. Appl. 2009, 36, 11772–11781. [Google Scholar] [CrossRef]
- Wehrens, R.; Kruisselbrink, J. Supervised and Unsupervised Self-Organising Maps. Package ‘Kohonen’. 2017. Available online: https://cran.r-project.org/web/packages/kohonen/kohonen.pdf (accessed on 1 April 2025).
- RAIS—Risk Assessment Information System. 2014. Available online: https://rais.ornl.gov/ (accessed on 9 August 2025).
- Milićević, T.; Herceg Romanić, S.; Popović, A.; Mustać, B.; Đinović Stojanović, J.; Jovanović, G.; Relić, D. Human health risks and benefits assessment based on OCPs, PCB, toxic elements and fatty acids in the pelagic fish species from the Adriatic Sea. Chemosphere 2022, 287, 132068. [Google Scholar] [CrossRef]
- DZS. Statistical Information 2024. 2024. Available online: https://dzs.gov.hr/agriculture-forestry-and-fisheries/893 (accessed on 2 July 2025).
- Baars, A.J.; Theelen, R.M.C.; Janssen, P.J.C.M.; Hesse, J.M.; van Apeldoorn, M.E.; Meijerink, M.C.M.; Verdam, L.; Zeilmaker, M.J. Re-Evaluation of Human Toxicological Maximum Permissible Risk Levels; RIVM Report 711701025; National Institute for Public Health and the Environment (RIVM): Bilthoven, The Netherlands, 2001.
- Lee, C.-C.; Chang, W.-H.; Hung, C.-F.; Chen, H.-L. Fish consumption is an indicator of exposure to non dioxin like polychlorinated biphenyls in cumulative risk assessments based on a probabilistic and sensitive approach. Environ. Pollut. 2021, 268, 115732. [Google Scholar] [CrossRef]
- Renieri, E.; Goumenou, M.; Kardonsky, D.; Veselov, V.; Alegakis, A.; Buha, A.; Tzatzarakis, M.; Nosyrev, A.; Rakitskii, V.; Kentouri, M.; et al. Indicator PCB in farmed and wild fish in Greece—Risk assessment for the Greek population. Food Chem. Toxicol. 2019, 127, 260–269. [Google Scholar] [CrossRef]
- EFSA. Update of the monitoring of levels of dioxins and PCB in food and feed. Eur. Food Saf. Auth. Sci. Rep. EFSA J. 2012, 10, 2832. [Google Scholar]
- JECFA, Joint FAO/WHO Expert Committee on Food Additives. Safety Evaluation of Certain Food Additives and Contaminants, Supplement 1: Non-Dioxin-like Polychlorinated Biphenyls; WHO: Geneva, Switzerland, 2016; ISBN 978-92-4-166171-3. [Google Scholar]
- Morales Suárez Varela, M.; Lopez Santana, N.; Marti Requena, P.; Beser Santos, M.I.; Peraita Costa, I.; Llopis Gonzalez, A. Estimation of daily intake of polychlorinated biphenyls not similar to dioxins (NDL PCB) from fish consumption in Spain in different population groups. Public Health Nutr. 2018, 21, 2959–2968. [Google Scholar] [CrossRef]
- Burd, J.B.; Lowe, J.C.; Morales-Caselles, C. Uptake of PCBs into sediment dwellers and trophic transfer in relation to sediment conditions in the Salish Sea. FACETS 2022, 7, 936–965. [Google Scholar] [CrossRef]
- Ahel, M.; Ciglenečki Jušić, I.; Cuculić, V.; Filipović Marijić, V.; Mikac, N.; Mustafić, P.; Terzić, S.; Vdović, N. Identification of Hazardous Substances in Biota and Sediment and Monitoring Their Concentrations over One-Year Period at Trend Sites of Surface Freshwaters; CRORIS: Zagreb, Croatia, 2021. (In Croatian) [Google Scholar]
- Brázová, T.; Miklisová, D.; Barčák, D.; Uhrovič, D.; Šalamún, P.; Orosová, M.; Oros, M. Hazardous pollutants in the environment: Fish host parasite interactions and bioaccumulation of polychlorinated biphenyls. Environ. Pollut. 2021, 291, 118175. [Google Scholar] [CrossRef]
- Mikolajczyk, S.; Warenik-Bany, M.; Maszewski, S.; Pajurek, M. Dioxins and PCB—Environment impact on freshwater fish contamination and risk to consumers. Environ. Pollut. 2020, 263, 114611. [Google Scholar] [CrossRef]
- Niewiadowska, A.; Kiljanek, T.; Semeniuk, S. Contamination of Fish and Sediments from the Vistula River by Organochlorine Pesticides and PCB. Pol. J. Environ. Stud. 2015, 24, 2315–2320. [Google Scholar] [CrossRef]
- Squadrone, S.; Favaro, L.; Prearo, M.; Vivaldi, B.; Brizio, P.; Abete, M.C. NDL PCB in muscle of the European catfish (Silurus glanis): An alert from Italian rivers. Chemosphere 2013, 93, 521–525. [Google Scholar] [CrossRef]
- Janković, S.; Ćurčić, M.; Radičević, T.; Stefanović, S.; Lenhardt, M.; Durgo, K.; Antonijević, B. Non dioxin like PCB in ten different fish species from the Danube river in Serbia. Environ. Monit. Assess. 2011, 181, 153–163. [Google Scholar] [CrossRef]
- Ábalos, M.; Barceló, D.; Parera, J.; la Farré, M.; Llorca, M.; Eljarrat, E.; Giulivo, M.; Capri, E.; Paunović, M.; Milačič, R.; et al. Levels of regulated POPs in fish samples from the Sava River Basin: Comparison to legislated quality standard values. Sci. Total Environ. 2019, 647, 20–28. [Google Scholar] [CrossRef]
- Smoljo, I. Polycyclic Aromatic Hydrocarbons in Environmental Compartments in Croatia. Ph.D. Thesis, University of Zagreb, Zagreb, Croatia, 2016. [Google Scholar]
- Godec, R.; Jakovljević, I.; Sega, K.; Cacković, M.; Bešlić, I.; Davila, S.; Pehnec, G. Carbon Species in PM10 Particle Fraction at Different Monitoring Sites. Environ. Pollut. 2016, 216, 700–710. [Google Scholar] [CrossRef]
- O’Rourke, E.; Schumacher, M.; Charlesworth, M.; Andrade, T.; Pereira, M.G.; Hailer, F.; Chadwick, E. Increasing concentrations of polychlorinated biphenyls (PCBs) in Eurasian otters (Lutra lutra) from Wales suggest remobilisation from sediment sinks. Environ. Pollut. 2026, 388, 127354. [Google Scholar] [CrossRef]
- Pastorino, P.; Nocita, A.; Ciccotelli, V.; Zaccaroni, A.; Anselmi, S.; Giugliano, R.; Tomasoni, M.; Silvi, M.; Menconi, V.; Vivaldi, B.; et al. Health risk assessment of potentially toxic elements, persistence of NDL PCB, PAHs, and microplastics in the translocated edible freshwater Sinotaia quadrata (Gasteropoda, Viviparidae): A case study from the Arno River Basin (Central Italy). Expo. Health 2021, 13, 583–596. [Google Scholar] [CrossRef]
- Naaz, N.; Pandey, J. Spatial distribution of polycyclic aromatic hydrocarbons in water and sediment in the Ganga River: Source diagnostics and health risk assessment on dietary exposure through a common carp fish. Environ. Geochem. Health 2024, 46, 196. [Google Scholar] [CrossRef]
- Gao, Z.; Chen, Z.; Hui, S. Effect of charcoal grilling on polycyclic aromatic hydrocarbons (PAHs): Content, composition, and health risk in edible fish in Japan. Anal. Sci. 2022, 38, 515–523. [Google Scholar] [CrossRef]
- Jakšić, G.; Bočić, N.; Piria, M. Huchen Hucho hucho (Linnaeus 1758) in Croatia: Distribution Genetic Diversity Threats Conservation. In Ecological Sustainability of Fish Resources of Inland Waters of the Western Balkans; Fish & Fisheries Series; Simić, V., Simić, S., Pešić, V., Eds.; Springer International Publishing: Cham, Switzerland, 2023; Volume 43. [Google Scholar]





| Fish Species | Northern Pike | Wels Catfish | Pike-Perch | Common Carp | Bream | Grass Carp | Chub |
|---|---|---|---|---|---|---|---|
| Latin name | Esox lucius | Silurus glanis | Sander lucioperca | Cyprinus carpio | Abramis brama | Ctenopharyngodon idella | Squalius cephalus |
| Family | Esocidae | Siluridae | Percidae | Cyprinidae | Leucisidae | Xenocyprinidae | Leuciscidae |
| River basin in Croatia | Danube ✓, Adriatic † | Danube ✓, Adriatic † | Danube ✓, Adriatic † | Danube ✓, Adraitic † | Danube ✓, Adriatic † | Danube †, Adriatic † | Danube ✓, Adriatic † |
| Maximum length [cm] | 150 | 273 | 150 | 120 | 80 | 140 | 80 |
| Maximum mass [kg] | 30 | 130 | 20 | 50 | 11 | 50 | 6 |
| Diet | fish, frogs, small mammals | fish, frogs, ducks, small mammals | small fish | plant matter, aquatic invertebrates, small fish | zooplankton, aquatic invertebrates | primarily plant matter | plant matter, aquatic invertebrates, small fish |
| Life span [year] | 25 | 80 | 17 | 60 | 10–20 | 21 | 16 |
| Sexual maturity [year] | 1–3 | 2–3 | 3–5 | 3–4 | 3–4 | 7–10 females and 8–11 males | 3–5 females and 2–4 males |
| Spawning period | March | April–June | April–May | May–June | May–June | April–August | March–May |
| Course of river | middle, lower | middle, lower | middle, lower | middle, lower | middle, lower | middle, lower | upper, middle, lower |
| * IUCN Red list status | least concern | least concern | least concern | vulnerable | least concern | least concern | least concern |
| Zone of open water | benthopelagic | benthopelagic | benthopelagic | benthopelagic | benthopelagic | benthopelagic | bentophelagic |
| Mesohabitat | riffle, pool, backwater | riffle, run, pool | run, pool | run, pool, backwater | pool, shallow water | run, pool | run, pool, riffle, backwater |
| Sediment | sandy, silty | sandy, silty | rocky, gravelly, sandy | sandy, clay, silty | sandy, silty | gravelly, sandy, silty | rocky, gravelly, sandy, silty |
| Fish Species | Latin Name | Sampling Year | N | Age [Year] | Mass [kg] | Sampling Location; Sample Label in Paranthesis | Wet Weight (%) | Fat (%) |
|---|---|---|---|---|---|---|---|---|
| Northern pike | Esox lucius Linnaeus, 1758 | 2021–2022 | 5 | 1–4 | 0.6–2.5 | Karlovac (1), Rečica (2,6,30), Sela Bosiljevska (3) | 77.8–78.9 | 1.6–3.5 |
| Grass carp | Ctenopharyngodon idella (Valenciennes, 1844) | 2021–2022 | 7 | 8–16 | 10–19.1 | Koritinja (4), Rečica (7,11,14), Zamršje (21) Blatnica Pokupska(23,27) | 76.4–80.7 | 4.0–8.4 |
| Wels catfish | Silurus glanis Linnaeus, 1758 | 2022 | 6 | 4–23 | 3–56.5 | Husje (5), Koritinja (16,17), Brođani (20), Šišljavić (24), Zamršje (28) | 76.6–79.5 | 0.9–4.0 |
| Common carp | Cyprinus carpio Linnaeus, 1758 | 2022 | 6 | 5–9 | 3.2–8.5 | Luka Pokupska (9,10,22), Rečica (18,19,25) | 77.29–80 | 3.1–5.9 |
| Pike-perch | Sander lucioperca (Linnaeus, 1758) | 2022 | 5 | 3–4 | 1.5–2.1 | Brođani (8,15) Rečica (13,26), Blatnica Pokupska (29) | 77.9–79.3 | 1.8–2.8 |
| Bream | Abramis brama (Linnaeus, 1758) | 2022–2023 | 4 | 1–3 | 0.6–1,1 | Rečica (12) Brodarci (31,32,33) | 78.6–79 | 3.1–5.6 |
| Chub | Squalius cephalus | 2020–2021 | 4 | 1–5 | 0.07–0.95 | Karlovac (34,35,36), Jurovski Brod (37) | 77.5–80.2 | 1.7–3.0 |
| Sample Label | Σ7ndl-PCB | Σ6ndl-PCB | Species | Location |
|---|---|---|---|---|
| 1 | 157.2 | 131.3 | Northern pike | Karlovac |
| 2 | 128.7 | 107.6 | Northern pike | Rečica |
| 3 | 134.1 | 111.8 | Northern pike | Sela Bosiljevska |
| 4 | 114.5 | 97.0 | Grass carp | Koritinja |
| 5 | 108.2 | 91.6 | Wels catfish | Husje |
| 6 | 109.6 | 92.6 | Northern pike | Rečica |
| 7 | 114.5 | 97.0 | Grass carp | Rečica |
| 8 | 125.2 | 105.1 | Pike-perch | Brodani |
| 9 | 136.2 | 114.6 | Common carp | Luka Pokupska |
| 10 | 140.5 | 117.3 | Common carp | Luka Pokupska |
| 11 | 113.7 | 96.4 | Grass carp | Rečica |
| 12 | 155.0 | 130.6 | Bream | Rečica |
| 13 | 119.7 | 100.8 | Pike-perch | Rečica |
| 14 | 109.8 | 93.0 | Grass carp | Rečica |
| 15 | 115.5 | 97.4 | Pike-perch | Brodani |
| 16 | 187.8 | 153.6 | Wels catfish | Koritinja |
| 17 | 213.7 | 171.8 | Wels catfish | Koritinja |
| 18 | 128.2 | 108.1 | Common carp | Rečica |
| 19 | 221.0 | 180.4 | Common carp | Rečica |
| 20 | 133.7 | 110.5 | Wels catfish | Brodani |
| 21 | 116.3 | 98.8 | Grass carp | Zamršje |
| 22 | 126.2 | 105.9 | Common carp | Luka Pokupska |
| 23 | 116.0 | 98.0 | Grass carp | Blatnica |
| 24 | 173.8 | 142.7 | Wels catfish | Šišljavić |
| 25 | 126.7 | 106.3 | Common carp | Rečica |
| 26 | 122.3 | 102.8 | Pike-perch | Rečica |
| 27 | 109.6 | 92.8 | Grass carp | Blatnica |
| 28 | 175.2 | 144.3 | Wels catfish | Zamršje |
| 29 | 119.0 | 100.1 | Pike-perch | Blatnica |
| 30 | 108.6 | 91.8 | Northern pike | Rečica |
| 31 | 120.5 | 101.6 | Bream | Brodarci |
| 32 | 120.2 | 101.8 | Bream | Brodarci |
| 33 | 122.4 | 102.8 | Bream | Brodarci |
| 34 | 155.5 | 129.0 | Chub | Karlovac |
| 35 | 172.6 | 142.8 | Chub | Karlovac |
| 36 | 201.3 | 161.5 | Chub | Karlovac |
| 37 | 624.9 | 480.5 | Chub | Jurovski Brod |
Disclaimer/Publisher’s Note: The statements, opinions and data contained in all publications are solely those of the individual author(s) and contributor(s) and not of MDPI and/or the editor(s). MDPI and/or the editor(s) disclaim responsibility for any injury to people or property resulting from any ideas, methods, instructions or products referred to in the content. |
© 2026 by the authors. Licensee MDPI, Basel, Switzerland. This article is an open access article distributed under the terms and conditions of the Creative Commons Attribution (CC BY) license.
Share and Cite
Herceg Romanić, S.; Jakovljević, I.; Đokić, M.; Bilandžić, N.; Jakšić, G.; Mendaš, G.; Biošić, M.; Pehnec, G.; Milićević, T.; Jovanović, G. Tracing the Legacy of Historical PCB Pollution and Contemporary PAH Contamination in the Kupa River (Danube Basin, Croatia). Environments 2026, 13, 192. https://doi.org/10.3390/environments13040192
Herceg Romanić S, Jakovljević I, Đokić M, Bilandžić N, Jakšić G, Mendaš G, Biošić M, Pehnec G, Milićević T, Jovanović G. Tracing the Legacy of Historical PCB Pollution and Contemporary PAH Contamination in the Kupa River (Danube Basin, Croatia). Environments. 2026; 13(4):192. https://doi.org/10.3390/environments13040192
Chicago/Turabian StyleHerceg Romanić, Snježana, Ivana Jakovljević, Maja Đokić, Nina Bilandžić, Goran Jakšić, Gordana Mendaš, Martina Biošić, Gordana Pehnec, Tijana Milićević, and Gordana Jovanović. 2026. "Tracing the Legacy of Historical PCB Pollution and Contemporary PAH Contamination in the Kupa River (Danube Basin, Croatia)" Environments 13, no. 4: 192. https://doi.org/10.3390/environments13040192
APA StyleHerceg Romanić, S., Jakovljević, I., Đokić, M., Bilandžić, N., Jakšić, G., Mendaš, G., Biošić, M., Pehnec, G., Milićević, T., & Jovanović, G. (2026). Tracing the Legacy of Historical PCB Pollution and Contemporary PAH Contamination in the Kupa River (Danube Basin, Croatia). Environments, 13(4), 192. https://doi.org/10.3390/environments13040192

