Impact of Environmental Pollutants on Otorhinolaryngological Emergencies in the COVID-19 Era
Abstract
1. Introduction
2. Materials and Methods
2.1. Population Considered
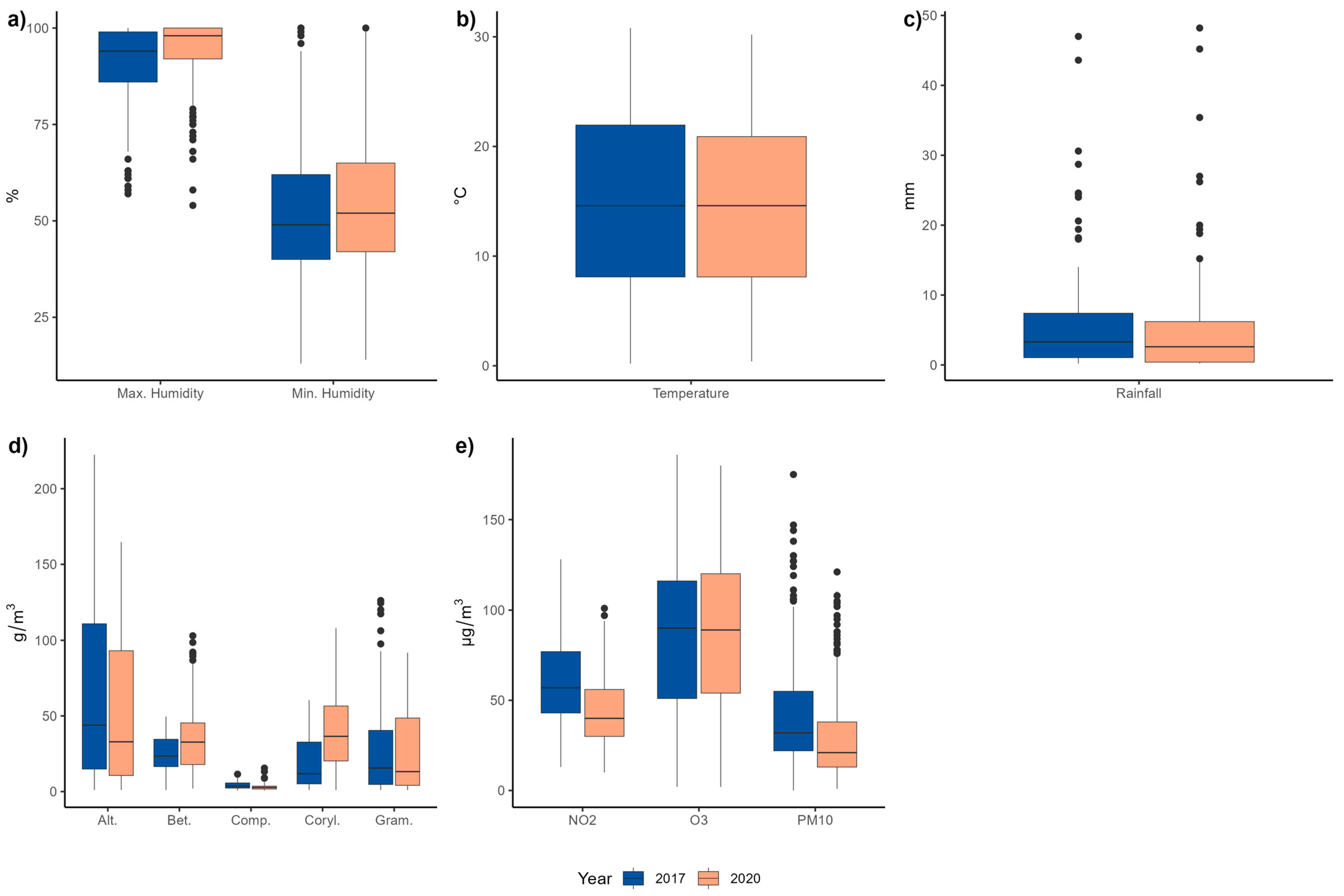
2.2. Pollution and Meteorological Data
- -
- Alternaria: A genus of fungi widely distributed in the environment, particularly in decaying vegetation and soil. It is a major source of outdoor mold allergens.
- -
- Betulaceae: A family of trees including birch (Betula spp.), which are significant pollen producers in temperate regions, especially in the spring season.
- -
- Compositae (Asteraceae): A large family of flowering plants including ragweed, mugwort, and others. These produce highly allergenic pollen particularly in late summer and autumn.
- -
- Corylaceae: A botanical family that includes hazel (Corylus spp.) and hornbeam. Pollen from these trees is prevalent in early spring.
- -
- Gramineae (Poaceae): The grass family, a major source of allergenic pollen worldwide. Grass pollens are typically abundant in late spring and early summer.
2.3. Statistical Analysis
3. Results
3.1. Emergency Department Admissions
3.2. Environmental Variables
3.3. Environment and URT Admissions
3.4. Multivariate Analysis
3.5. Model Comparison Between 2017 and 2020/2021
4. Discussion
4.1. Reduction in ENT ED Accesses
4.2. Environmental Pollutants and URT Manifestations
4.3. Aeroallergens and URT Manifestations
5. Conclusions
Supplementary Materials
Author Contributions
Funding
Institutional Review Board Statement
Informed Consent Statement
Data Availability Statement
Conflicts of Interest
References
- Cucinotta, D.; Vanelli, M. WHO Declares COVID-19 a Pandemic. Acta Biomed. 2020, 91, 157–160. [Google Scholar] [CrossRef] [PubMed]
- Linka, K.; Peirlinck, M.; Sahli Costabal, F.; Kuhl, E. Outbreak Dynamics of COVID-19 in Europe and the Effect of Travel Restrictions. Comput. Methods Biomech. Biomed. Eng. 2020, 23, 710–717. [Google Scholar] [CrossRef]
- Núñez, A.; Sreeganga, S.D.; Ramaprasad, A. Access to Healthcare during COVID-19. Int. J. Environ. Res. Public Health 2021, 18, 2980. [Google Scholar] [CrossRef]
- Buja, A.; Paganini, M.; Fusinato, R.; Cozzolino, C.; Cocchio, S.; Scioni, M.; Rebba, V.; Baldo, V.; Boccuzzo, G. Health and Healthcare Variables Associated with Italy’s Excess Mortality during the First Wave of the COVID-19 Pandemic: An Ecological Study. Health Policy 2022, 126, 294–301. [Google Scholar] [CrossRef]
- Paganini, M.; Barbiellini Amidei, C.; Valastro, M.F.; Favaro, A.; Saia, M.; Buja, A. Adult Emergency Department Visits during the COVID-19 Pandemic in Veneto Region, Italy: A Time-Trend Analysis. Intern. Emerg. Med. 2022, 17, 285–289. [Google Scholar] [CrossRef] [PubMed]
- Wheaton, M.G.; Prikhidko, A.; Messner, G.R. Is Fear of COVID-19 Contagious? The Effects of Emotion Contagion and Social Media Use on Anxiety in Response to the Coronavirus Pandemic. Front. Psychol. 2021, 11, 567379. [Google Scholar] [CrossRef] [PubMed]
- Ferry, A.V.; Keanie, C.; Denvir, M.A.; Mills, N.L.; Strachan, F.E. Chest Pain Presentations to Hospital during the COVID-19 Lockdown: Lessons for Public Health Media Campaigns. PLoS ONE 2021, 16, e0249389. [Google Scholar] [CrossRef]
- Collivignarelli, M.C.; Abbà, A.; Bertanza, G.; Pedrazzani, R.; Ricciardi, P.; Carnevale Miino, M. Lockdown for CoViD-2019 in Milan: What Are the Effects on Air Quality? Sci. Total Environ. 2020, 732, 139280. [Google Scholar] [CrossRef]
- Vultaggio, M.; Varrica, D.; Alaimo, M.G. Impact on Air Quality of the COVID-19 Lockdown in the Urban Area of Palermo (Italy). Int. J. Environ. Res. Public Health 2020, 17, 7375. [Google Scholar] [CrossRef]
- Berger, M.; Bastl, M.; Bouchal, J.; Dirr, L.; Berger, U. The Influence of Air Pollution on Pollen Allergy Sufferers. Allergol. Sel. 2021, 5, 345–348. [Google Scholar] [CrossRef]
- Ottaviano, G.; Pendolino, A.L.; Marioni, G.; Crivellaro, M.A.; Scarpa, B.; Nardello, E.; Pavone, C.; Trimarchi, M.V.; Alexandre, E.; Genovois, C.; et al. The Impact of Air Pollution and Aeroallergens Levels on Upper Airway Acute Diseases at Urban Scale. Int. J. Environ. Res. 2022, 16, 42. [Google Scholar] [CrossRef]
- R Core Team. R: A Language and Environment for Statistical Computing; R Foundation for Statistical Computing: Vienna, Austria, 2020. [Google Scholar]
- Elli, F.; Turri-Zanoni, M.; Arosio, A.D.; Karligkiotis, A.; Battaglia, P.; Castelnuovo, P. Changes in the Use of Otorhinolaryngology Emergency Department during the COVID-19 Pandemic: Report from Lombardy, Italy. Eur. Arch. Otorhinolaryngol. 2020, 277, 3525–3528. [Google Scholar] [CrossRef] [PubMed]
- Campagnoli, M.; Cerasuolo, M.; Renna, M.; Dell’Era, V.; Valletti, P.A.; Garzaro, M. ENT Referral From Emergency Department During COVID-19: A Single-Center Experience. Ear Nose Throat J. 2023, 102, NP95–NP98. [Google Scholar] [CrossRef]
- Torretta, S.; Cantoni, B.; Bertolozzi, G.; Capaccio, P.; Milani, G.P.; Pignataro, L.; Aleo, S.; Marchisio, P. Has Otitis Media Disappeared during COVID-19 Pandemic? A Fortuitus Effect of Domestic Confinement. J. Clin. Med. 2021, 10, 2851. [Google Scholar] [CrossRef]
- Brotto, D.; Sorrentino, F.; Favaretto, N.; Bovo, R.; Trevisi, P.; Martini, A. Pediatric Hearing Loss Management in the COVID-19 Era: Possible Consequences and Resources for the Next Future. Otolaryngol.–Head Neck Surg. 2022, 166, 217–218. [Google Scholar] [CrossRef]
- Pontillo, V.; Iannuzzi, L.; Petrone, P.; Sciancalepore, P.I.; D’Auria, C.; Rinaldi, M.; Graziano, G.; Quaranta, N. ENT Surgical Emergencies during the COVID-19 Outbreak. Acta Otorhinolaryngol. Ital. 2020, 40, 399–404. [Google Scholar] [CrossRef]
- Gallo, O.; Locatello, L.G.; Orlando, P.; Martelli, F.; Bruno, C.; Cilona, M.; Fancello, G.; Mani, R.; Vitali, D.; Bianco, G.; et al. The Clinical Consequences of the COVID-19 Lockdown: A Report from an Italian Referral ENT Department. Laryngoscope Investig. Otolaryngol. 2020, 5, 824–831. [Google Scholar] [CrossRef] [PubMed]
- Gualtieri, G.; Brilli, L.; Carotenuto, F.; Vagnoli, C.; Zaldei, A.; Gioli, B. Quantifying Road Traffic Impact on Air Quality in Urban Areas: A Covid19-Induced Lockdown Analysis in Italy. Environ. Pollut. 2020, 267, 115682. [Google Scholar] [CrossRef] [PubMed]
- Pivato, A.; Pegoraro, L.; Masiol, M.; Bortolazzo, E.; Bonato, T.; Formenton, G.; Cappai, G.; Beggio, G.; Giancristofaro, R.A. Long Time Series Analysis of Air Quality Data in the Veneto Region (Northern Italy) to Support Environmental Policies. Atmos. Environ. 2023, 298, 119610. [Google Scholar] [CrossRef]
- Ziou, M.; Tham, R.; Wheeler, A.J.; Zosky, G.R.; Stephens, N.; Johnston, F.H. Outdoor Particulate Matter Exposure and Upper Respiratory Tract Infections in Children and Adolescents: A Systematic Review and Meta-Analysis. Environ. Res. 2022, 210, 112969. [Google Scholar] [CrossRef]
- Lehmann, S.; Sprünken, A.; Wagner, N.; Tenbrock, K.; Ott, H. Clinical Relevance of IgE-Mediated Sensitization against the Mould Alternaria Alternata in Children with Asthma. Ther. Adv. Respir. Dis. 2017, 11, 30–39. [Google Scholar] [CrossRef] [PubMed]
- Arbes, S.J., Jr.; Gergen, P.J.; Elliott, L.; Zeldin, D.C. Prevalences of Positive Skin Test Responses to 10 Common Allergens in the US Population: Results from the Third National Health and Nutrition Examination Survey. J. Allergy Clin. Immunol. 2005, 116, 377–383. [Google Scholar] [CrossRef] [PubMed]
- Skjøth, C.A.; Damialis, A.; Belmonte, J.; De Linares, C.; Fernández-Rodríguez, S.; Grinn-Gofroń, A.; Jędryczka, M.; Kasprzyk, I.; Magyar, D.; Myszkowska, D.; et al. Alternaria Spores in the Air across Europe: Abundance, Seasonality and Relationships with Climate, Meteorology and Local Environment. Aerobiologia 2016, 32, 3–22. [Google Scholar] [CrossRef]
- Chen, Y.; Liang, Z.; Li, G.; An, T. Indoor/Outdoor Airborne Microbiome Characteristics in Residential Areas across Four Seasons and Its Indoor Purification. Environ. Int. 2024, 190, 108857. [Google Scholar] [CrossRef]
- Roy, S.; Chakraborty, A.; Maitra, S.; Bhattacharya, K. Monitoring of Airborne Fungal Spore Load in Relation to Meteorological Factors, Air Pollutants and Allergic Symptoms in Farakka, an Unexplored Biozone of Eastern India. Environ. Monit. Assess. 2017, 189, 370. [Google Scholar] [CrossRef]
- Wolf, J.; O’Neill, N.R.; Rogers, C.A.; Muilenberg, M.L.; Ziska, L.H. Elevated Atmospheric Carbon Dioxide Concentrations Amplify Alternaria Alternata Sporulation and Total Antigen Production. Environ. Health Perspect. 2010, 118, 1223–1228. [Google Scholar] [CrossRef]
- Ojeda, P.; Barjau, M.C.; Subiza, J.; Moreno, A.; Ojeda, I.; Solano, E.; Alonso, A.; Caballero, R.; Del Pozo, S.; Gómez-Perosanz, M.; et al. Grass Pollen Allergoids Conjugated with Mannan for Subcutaneous and Sublingual Immunotherapy: A Dose-Finding Study. Front. Immunol. 2024, 15, 1431351. [Google Scholar] [CrossRef]
- Dayal, A.K.; Sinha, V. Trend of Allergic Rhinitis Post COVID-19 Pandemic: A Retrospective Observational Study. Indian J. Otolaryngol. Head Neck Surg. 2022, 74, 50–52. [Google Scholar] [CrossRef]
- Warner, B.K.; Durrant, F.G.; Nguyen, S.A.; Meyer, T.A. Global Otitis Media Incidence Changes During the COVID Pandemic: Systematic Review and Meta-Analysis. Laryngoscope 2024, 134, 2028–2037. [Google Scholar] [CrossRef]
- Brown, J.R.G.; Baptiste, P.J.; Hajmohammadi, H.; Nadarajah, R.; Gale, C.P.; Wu, J. Impact of Neighbourhood and Environmental Factors on the Risk of Incident Cardiovascular Disease: A Systematic Review and Meta-Analysis. Eur. J. Prev. Cardiol. 2025. [Google Scholar] [CrossRef]
- GBD 2021 HAP Collaborators Global, Regional, and National Burden of Household Air Pollution, 1990-2021: A Systematic Analysis for the Global Burden of Disease Study 2021. Lancet 2025, 405, 1167–1181. [CrossRef] [PubMed]







| 2017 | 2020/2021 | |
|---|---|---|
| Sex | ||
| Female | 3674 (50%) | 2220 (48%) |
| Male | 3604 (50%) | 2374 (52%) |
| Age (years) | 47 (29, 67) | 52 (31, 71) |
| Diagnosis | ||
| Pharyngitis | 210 (3%) | 272 (6%) |
| Laryngitis | 273 (3.7%) | 91 (2%) |
| Otitis | 433 (6%) | 158 (3.4%) |
| Rhinosinusitis | 229 (3.1%) | 84 (1.8%) |
| Tonsillitis | 353 (4.8%) | 112 (2.4%) |
| Tracheitis | 4 (0.1%) | 9 (0.2%) |
| Traumas | 910 (12.5%) | 731 (16%) |
| Others | 4866 (66.8%) | 3137 (68.2%) |
| Total admissions | 7278 (100%) | 4594 (100%) |
| Total URT | Otitis | Rhino-Sinusitis | Pharyngitis | Laryngitis | Tonsillitis | |
|---|---|---|---|---|---|---|
| Alternaria | <0.001 | <0.001 | 0.108 | 0.024 | 0.018 | <0.001 |
| Betulaceae | <0.001 | 0.001 | 0.275 | <0.001 | 0.314 | 0.003 |
| Compositae | 0.002 | 0.636 | 0.004 | 0.219 | 0.295 | 0.003 |
| Corylaceae | <0.001 | 0.042 | 0.109 | 0.002 | 0.300 | 0.003 |
| Gramineae | 0.001 | 0.377 | 0.468 | <0.001 | 0.840 | 0.017 |
| PM10 | 0.003 | 0.407 | 0.155 | 0.014 | 0.992 | 0.354 |
| O3 | <0.001 | 0.075 | 0.233 | 0.004 | 0.072 | 0.943 |
| NO2 | 0.003 | 0.083 | 0.960 | 0.055 | 0.184 | 0.265 |
| Temperature | <0.001 | 0.007 | 0.047 | <0.001 | 0.113 | 0.113 |
| Max. Humidity | 0.685 | 0.749 | 0.316 | 0.152 | 0.533 | 0.640 |
| Min. Humidity | 0.046 | 0.034 | 0.116 | 0.113 | 0.004 | 0.149 |
| Rainfall | 0.443 | 0.252 | 0.465 | 0.086 | 0.522 | 0.113 |
| Risk Factor | Response | Incidence Rate Ratio [95% CI] | p-Value |
|---|---|---|---|
| O3 lag 2 (p) | Pharyngitis | 0.879 [0.776; 0.996] | 0.042 |
| O3 lag 2 (p) | URT | 0.959 [0.927; 0.991] | 0.013 |
| PM10 [ma] | Pharyngitis | 0.017 | |
| PM10 lag 1 (p) | Rinosinusitis | 1.354 [1.030; 1.781] | 0.035 |
| NO2 [ma] | Pharyngitis | 0.015 | |
| Alternaria (p) | Otitis | 1.114 [1.046; 1.185] | <0.001 |
| Alternaria (p) | Tonsillitis | 1.151 [1.068; 1.240] | <0.001 |
| Alternaria (p) | Pharyngitis | 0.944 [0.904; 0.985] | 0.008 |
| Gramineae (p) | Otitis | 0.894 [0.804; 0.994] | 0.038 |
| Gramineae (p) | Tonsillitis | 0.804 [0.681; 0.948] | 0.009 |
| Gramineae | Pharyngitis | 0.025 | |
| Betulaceae | URT | 0.032 | |
| Betulaceae | Otitis | 0.011 | |
| Corylaceae | URT | 0.036 | |
| Corylaceae | Pharyngitis | 0.008 |
| Risk Factor | Response | Incidence Rate Ratio 2017 [95% CI] | Incidence Rate Ratio 2020/2021 [95% CI] | p-Value 2017 | p-Value 2020/2021 |
|---|---|---|---|---|---|
| PM10 [ma] | URT | 0.037 | 0.159 | ||
| PM10 [ma] (p) | Otitis media | 1.047 [1.001; 1.094] | 0.939 [0.857; 1.030] | 0.046 | 0.181 |
| PM10 [ma] | Pharyngitis | 0.347 | 0.001 | ||
| PM10 [ma] (p) | Tonsillitis | 1.209 [1.054; 1.388] | 1.234 [1.041; 1.463] | 0.007 | 0.015 |
| NO2 (p) | Otitis media | 1.067 [1.017; 1.120] | 0.923 [0.843; 1.009] | 0.009 | 0.078 |
| Alternaria (p) | URT | 0.971 [0.958; 0.983] | 1.032 [1.013; 1.051] | <0.001 | 0.001 |
| Alternaria (p) | Otitis media | 0.958 [0.934; 0.983] | 1.047 [1.008; 1.088] | 0.001 | 0.018 |
| Alternaria (p) | Rinosinusitis | 0.992 [0.959; 1.026] | 1.064 [1.009; 1.123] | 0.652 | 0.023 |
| Alternaria (p) | Pharyngitis | 0.940 [0.910; 0.971] | 0.974 [0.940; 1.008] | <0.001 | 0.131 |
| Alternaria (p) | Tonsillitis | 0.987 [0.962; 1.013] | 1.079 [1.035; 1.125] | 0.314 | <0.001 |
| Betulacee | URT | 0.033 | <0.001 | ||
| Betulacee | Otitis media | 0.001 | <0.001 | ||
| Corylaceae | URT | 0.005 | <0.001 | ||
| Corylaceae | Otitis media | <0.001 | 0.064 | ||
| Corylaceae | Pharyngitis | 0.978 | 0.003 | ||
| Corylaceae | Tonsillitis | 0.870 | 0.007 |
Disclaimer/Publisher’s Note: The statements, opinions and data contained in all publications are solely those of the individual author(s) and contributor(s) and not of MDPI and/or the editor(s). MDPI and/or the editor(s) disclaim responsibility for any injury to people or property resulting from any ideas, methods, instructions or products referred to in the content. |
© 2025 by the authors. Licensee MDPI, Basel, Switzerland. This article is an open access article distributed under the terms and conditions of the Creative Commons Attribution (CC BY) license (https://creativecommons.org/licenses/by/4.0/).
Share and Cite
Saccardo, T.; Masetto, E.; Biancoli, E.; Colombo, A.R.; Daloiso, A.; Deretti, A.; Benvegnù, F.; Crivellaro, M.A.; Marani, M.; Nicolai, P.; et al. Impact of Environmental Pollutants on Otorhinolaryngological Emergencies in the COVID-19 Era. Environments 2025, 12, 115. https://doi.org/10.3390/environments12040115
Saccardo T, Masetto E, Biancoli E, Colombo AR, Daloiso A, Deretti A, Benvegnù F, Crivellaro MA, Marani M, Nicolai P, et al. Impact of Environmental Pollutants on Otorhinolaryngological Emergencies in the COVID-19 Era. Environments. 2025; 12(4):115. https://doi.org/10.3390/environments12040115
Chicago/Turabian StyleSaccardo, Tommaso, Elisa Masetto, Elia Biancoli, Anna Rachel Colombo, Antonio Daloiso, Alessandra Deretti, Francesco Benvegnù, Maria Angiola Crivellaro, Marco Marani, Piero Nicolai, and et al. 2025. "Impact of Environmental Pollutants on Otorhinolaryngological Emergencies in the COVID-19 Era" Environments 12, no. 4: 115. https://doi.org/10.3390/environments12040115
APA StyleSaccardo, T., Masetto, E., Biancoli, E., Colombo, A. R., Daloiso, A., Deretti, A., Benvegnù, F., Crivellaro, M. A., Marani, M., Nicolai, P., Marchese Ragona, R., Marioni, G., Scarpa, B., & Ottaviano, G. (2025). Impact of Environmental Pollutants on Otorhinolaryngological Emergencies in the COVID-19 Era. Environments, 12(4), 115. https://doi.org/10.3390/environments12040115

