Photo-Identification Catalogue of Delphinus delphis in the Western Mediterranean: Conservation Implications
Abstract
1. Introduction
2. Materials and Methods
2.1. Study Area
2.2. Photo-Identification System and Diagnostic Criteria
2.3. Captures, Recaptures, and Classification of Putative Mother–Calf Pairs
2.4. Morphological and Lesion Characterisation of the Dorsal Fin
2.5. Image Processing and Filtering
2.6. Statistical Analyses
2.6.1. Descriptive Analyses
2.6.2. Inferential Analyses
3. Results
3.1. Composition of the Photo-Identification Catalogue and Data Quality
3.2. Dorsal Fin Traits (Descriptive)
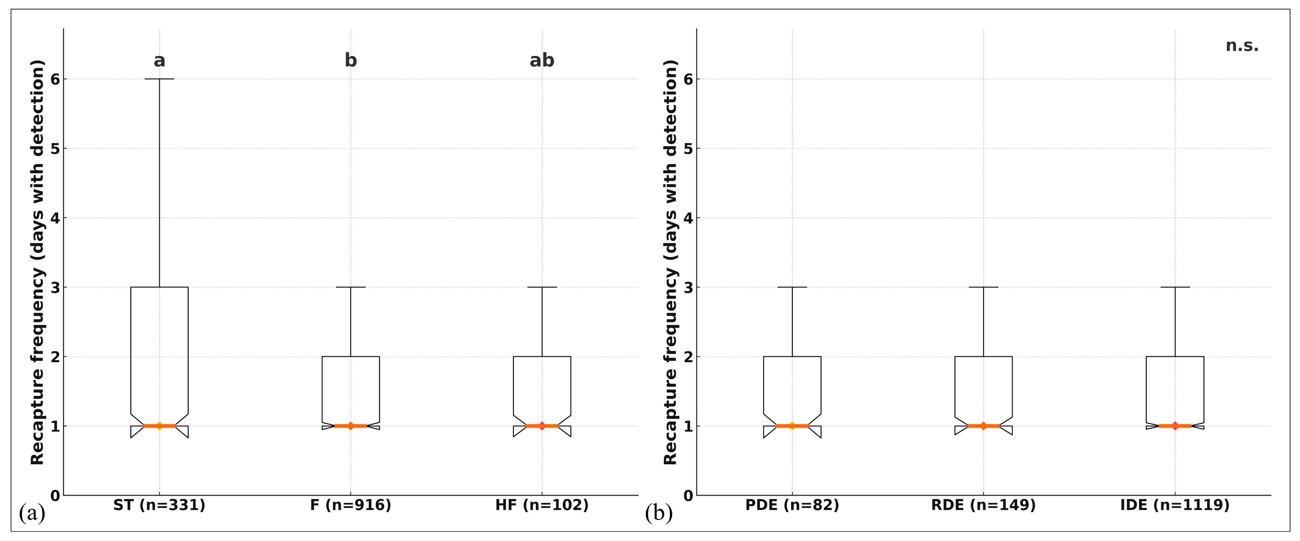
3.3. Relationship Between Dorsal Damage and Recapture Frequency (FR)
3.4. Correlations and Severity Indicators (FR)
3.5. Secondary Traits for Confirming Individual Identifications
4. Discussion
4.1. Catalogue and Relevance of the Study
4.2. Dorsal Fin Features
4.3. Lesion Causation and Secondary Traits
4.4. Conservation Implications
5. Conclusions
Supplementary Materials
Author Contributions
Funding
Institutional Review Board Statement
Data Availability Statement
Acknowledgments
Conflicts of Interest
Abbreviations
| BA-G | Bay of Algeciras–Gibraltar | 
| DEMs | Dorsal Edge Marks | 
| PQ | Photographic quality | 
| DC | Distinctive Character | 
References
- Würsig, B.; Jefferson, T.A. Methods of photo-identification for small cetaceans. Rep. Int. Whal. Comm. Spec. Issue 1990, 12, 42–43. [Google Scholar]
- Wilson, B.; Thompson, P.M.; Hammond, P.S. Skin lesions and physical deformities in bottlenose dolphins in the Moray Firth: Population prevalence and age-sex differences. Ambio 1997, 26, 243–247. [Google Scholar]
- Urian, K.; Gorgone, A.; Read, A.; Balmer, B.; Wells, R.S.; Berggren, P.; Durban, J.; Eguchi, T.; Rayment, W.; Hammond, P.S. Recommendations for photo-identification methods used in capture-recapture models with cetaceans. Mar. Mammal. Sci. 2015, 31, 298–321. [Google Scholar] [CrossRef]
- Würsig, B.; Würsig, M. The photographic determination of group size, composition, and stability of coastal porpoises (Tursiops truncatus). Science 1977, 198, 755–756. [Google Scholar] [CrossRef]
- Hammond, P.S.; Mizroch, S.A.; Donovan, G.P. Individual recognition of cetaceans: Use of photo-identification and other techniques to estimate population parameters. Rep. Int. Whal. Comm. Spec. Issue 1990, 12. [Google Scholar]
- Hupman, K.E.; Pawley, M.D.M.; Lea, C.; Grimes, C.; Voswinkel, S.; Roe, W.D.; Stockin, K.A. Viability of photo-identification as a tool to examine the prevalence of lesions on free-ranging common dolphins (Delphinus sp.). Aquat. Mamm. 2017, 43, 264–278. [Google Scholar] [CrossRef]
- Karczmarski, L.; Chan, S.C.; Rubenstein, D.I.; Chui, S.Y.; Cameron, E.Z. Individual identification and photographic techniques in mammalian ecological and behavioural research—Part 1: Methods and concepts. Mamm. Biol. 2022, 102, 545–549. [Google Scholar] [CrossRef]
- Bichell, L.M.V.; Krzyszczyk, E.; Patterson, E.M.; Mann, J. The reliability of pigment pattern-based identification of wild bottlenose dolphins. Mar. Mammal Sci. 2018, 34, 113–124. [Google Scholar] [CrossRef]
- Balmer, B.C.; Wells, R.S.; Nowacek, S.M.; Nowacek, D.P.; Schwacke, L.H.; McLellan, W.A.; Scharf, F.S.; Rowles, T.K.; Hansen, L.J.; Spradlin, T.R.; et al. Seasonal abundance and distribution patterns of common bottlenose dolphins (Tursiops truncatus) near St. Joseph Bay, Florida, USA. J. Cetacean Res. Manag. 2008, 10, 157–167. [Google Scholar] [CrossRef]
- Berrow, S.; O’Brien, J.; Groth, L.; Foley, A.; Voigt, K. Abundance Estimate of Bottlenose Dolphins (Tursiops truncatus) in the Lower River Shannon Candidate Special Area of Conservation, Ireland. Aquat. Mamm. 2012, 38, 136–144. [Google Scholar] [CrossRef]
- Neumann, D.R.; Leitenberger, A.; Orams, M.B. Photo-identification of short-beaked common dolphins (Delphinus delphis) in north-east New Zealand: A photo-catalogue of recognisable individuals. N. Z. J. Mar. Freshw. Res. 2002, 36, 537–543. [Google Scholar] [CrossRef]
- Stockin, K.A.; Vella, A. Anomalous pigmentation in common dolphins (Delphinus delphis) from New Zealand waters. Aquat. Mamm. 2005, 31, 43–51. [Google Scholar] [CrossRef]
- Gilman, A.; Hupman, K.; Stockin, K.A.; Pawley, M.D. Computer-assisted recognition of dolphin individuals using dorsal fin pigmentations. In Proceedings of the 2016 International Conference on Image and Vision Computing New Zealand (IVCNZ), Palmerston North, New Zealand, 28–29 November 2016; IEEE: New York, NY, USA, 2016; pp. 1–6. [Google Scholar] [CrossRef]
- Hupman, K.; Stockin, K.A.; Pollock, K.; Pawley, M.D.; Dwyer, S.L.; Lea, C.; Tezanos-Pinto, G. Challenges of implementing mark-recapture studies on poorly marked gregarious delphinids. PLoS ONE 2018, 13, e0198167. [Google Scholar] [CrossRef]
- Elliser, C.R.; van der Linde, K.; MacIver, K. Adapting photo-identification methods to study poorly marked cetaceans: A case study for common dolphins and harbor porpoises. Mamm. Biol. 2022, 102, 811–827. [Google Scholar] [CrossRef]
- Bearzi, G.; Politi, E.; Agazzi, S.; Bruno, S.; Costa, M.; Bonizzoni, S. Occurrence and present status of coastal dolphins (Delphinus delphis and Tursiops truncatus) in the eastern Ionian Sea. Aquat. Conserv. 2005, 15, 243–257. [Google Scholar] [CrossRef]
- Bearzi, G.; Bonizzoni, S.; Gonzalvo, J. Striped dolphins and short-beaked common dolphins in the Gulf of Corinth, Greece: Abundance estimates from dorsal fin photographs. J. Mar. Biol. Assoc. UK 2011, 91, 1075–1085. [Google Scholar] [CrossRef]
- Bamford, C.C.G.; Robinson, K.P. An analysis of dorsal edge markings in short-beaked common dolphins (Delphinus delphis) from the Bay of Gibraltar and the Moray Firth. J. Mar. Biol. Assoc. UK 2016, 96, 999–1004. [Google Scholar] [CrossRef]
- Mason, S.; Salgado Kent, C.; Donnelly, D.; Weir, J.; Bilgmann, K. Atypical residency of short-beaked common dolphins (Delphinus delphis) to a shallow, urbanized embayment in south-eastern Australia. R. Soc. Open Sci. 2016, 3, 160478. [Google Scholar] [CrossRef]
- Pawley, M.D.; Hupman, K.E.; Stockin, K.A.; Dwyer, S.L.; Lea, C.; Tezanos-Pinto, G. Photo-identification of common dolphins (Delphinus delphis) in the Hauraki Gulf, New Zealand. N. Z. J. Mar. Freshw. Res. 2018, 52, 208–222. [Google Scholar] [CrossRef]
- Pawley, M.D.M.; Hupman, K.E.; Stockin, K.A.; Gilman, A. Examining the viability of dorsal fin pigmentation for individual identification of poorly-marked delphinids. Sci. Rep. 2018, 8, 12593. [Google Scholar] [CrossRef]
- Mihova, M.; Araújo, J.; Oliveira-Rodrigues, C.; Afonso, L.; Gil, Á.; Sousa-Pinto, I.; Correia, A.M. First Photo-ID Catalogue of Gregarious Oceanic Dolphins in the Northern Coast of Continental Portugal: Delphinus delphis and Tursiops truncatus; Internal Report; CIIMAR—Interdisciplinary Centre of Marine and Environmental Research: Porto, Portugal, 2023. [Google Scholar]
- Wilson, B.; Arnold, H.; Bearzi, G.; Fortuna, C.M.; Gaspar, R.; Ingram, S.; Berrow, S.; Tregenza, N.; Hammond, P.S.; Thompson, D. Auger-Méthé Epidermal diseases in bottlenose dolphins: Impacts of natural and anthropogenic factors. Proc. R. Soc. Lond. B Biol. Sci. 1999, 266, 1077–1083. [Google Scholar] [CrossRef]
- Rosso, M.; Ballardini, M.; Moulins, A.; Wurtz, M. Natural markings of Mediterranean bottlenose dolphins (Tursiops truncatus): Stability and implications for photo-identification studies. J. Mar. Biol. Assoc. UK 2011, 91, 1071–1074. [Google Scholar] [CrossRef]
- Bertulli, C.G.; Rasmussen, M.H.; Rosso, M. An assessment of the natural marking patterns used for photo-identification of common minke whales and white-beaked dolphins in Icelandic waters. J. Mar. Biol. Assoc. U.K. 2016, 96, 807–819. [Google Scholar] [CrossRef]
- Carlucci, R.; Bas, A.A.; Maglietta, R.; Renò, V.; Fanizza, C.; Rizzo, A.; Cipriano, G. Site fidelity, residency and habitat use of the Risso’s dolphin (Grampus griseus) in the Gulf of Taranto (Northern Ionian Sea, Central-eastern Mediterranean Sea) by photo-identification. In Proceedings of the 2018 IEEE International Workshop on Metrology for the Sea: Learning to Measure Sea Health Parameters (MetroSea), Naples, Italy, 8–10 October 2018; IEEE: New York, NY, USA, 2018; pp. 173–177. [Google Scholar]
- Maglietta, R.; Bruno, A.; Renò, V.; Dimauro, G.; Stella, E.; Fanizza, C.; Carlucci, R. The promise of machine learning in the Risso’s dolphin (Grampus griseus) photo-identification. In Proceedings of the 2018 IEEE International Workshop on Metrology for the Sea: Learning to Measure Sea Health Parameters (MetroSea), Naples, Italy, 8–10 October 2018; IEEE: New York, NY, USA, 2018; pp. 183–187. [Google Scholar]
- Carlson, C.A.; Mayo, C.A.; Whitehead, H. Changes in the ventral fluke pattern of the humpback whale (Megaptera novaeangliae), and its effect on matching; evaluation of its significance to photo-identification research. Rep. Int. Whal. Comm. Spec. Issue 1990, 12, 105–111. [Google Scholar]
- Franklin, W.; Franklin, T.; Brooks, L.; Harrison, P.; Baverstock, P. Photo-identification of individual humpback whales (Megaptera novaeangliae) using all available natural marks: Implications for misidentification and automated algorithm matching technology. J. Cetacean Res. Manag. 2020, 21, 71–83. [Google Scholar] [CrossRef]
- Visser, I.N. Prolific body scars and collapsing dorsal fins on killer whales (Orcinus orca) in New Zealand waters. Aquat. Mamm. 1998, 24, 71–82. [Google Scholar]
- Baird, R.W.; Gorgone, A.M. False killer whale dorsal fin disfigurements as a possible indicator of long-line fishery interactions in Hawaiian waters. Pac. Sci. 2005, 59, 593–601. [Google Scholar] [CrossRef]
- Alves, F.; Towers, J.R.; Baird, R.W.; Bearzi, G.; Bonizzoni, S.; Ferreira, R.; Halicka, Z.; Alessandrini, A.; Kopelman, A.H.; Yzoard, C.; et al. The incidence of bent dorsal fins in free-ranging cetaceans. J. Anat. 2018, 232, 263–269. [Google Scholar] [CrossRef] [PubMed]
- Dwyer, S.L.; Kozmian-Ledward, L.; Stockin, K.A. Short-term survival of severe propeller strike injuries and observations on wound progression in a bottlenose dolphin (Tursiops truncatus). N. Z. J. Mar. Freshw. Res. 2014, 48, 294–302. [Google Scholar] [CrossRef]
- Luksenburg, J.A. Prevalence of External Injuries in Small Cetaceans in Aruban Waters, Southern Caribbean. PLoS ONE 2014, 9, e88988. [Google Scholar] [CrossRef] [PubMed]
- Olaya-Ponzone, L.; Espada-Ruiz, R.; Martín-Moreno, E.; Cárdenas-Marcial, I.; García-Gómez, J.C. Injuries, healing and management of common dolphins (Delphinus delphis) in human-impacted waters in the south Iberian Peninsula. J. Mar. Biol. Assoc. UK 2020, 100, 315–325. [Google Scholar] [CrossRef]
- Darwin, C. A Monograph on the Sub-Class Cirripedia: With Figures of All the Species; Ray Society: London, UK, 1854; Volume 2. [Google Scholar]
- Kane, E.A.; Olson, P.A.; Gerrodette, T.; Fiedler, P.C. Prevalence of the commensal barnacle Xenobalanus globicipitis on cetacean species in the eastern tropical Pacific Ocean, and a review of global occurrence. Fish. Bull. 2008, 106, 395. [Google Scholar]
- Ten, S.; Fusar Poli, F.; Konishi, K.; Pastene, L.A.; Martín, V.; Raga, J.A.; Aznar, F.J. The epibiont Xenobalanus globicipitis indicates differences in swimming kinematics among cetaceans. Mar. Biol. 2025, 172, 7. [Google Scholar] [CrossRef]
- Moreno-Colom, P.; Ten, S.; Raga, J.A.; Aznar, F.J. Spatial distribution and aggregation of Xenobalanus globicipitis on the flukes of striped dolphins, Stenella coeruleoalba: An indicator of host hydrodynamics? Mar. Mamm. Sci. 2020, 36, 897–914. [Google Scholar] [CrossRef]
- Dolezal, M.M.; Foroughirad, V.; Fish, F.E.; Jacoby, A.M.; Collier, M.A.; Murphy, C.J.; Mann, J. Some like it hot: Temperature and hydrodynamic factors influence Xenobalanus globicipitis attachment to cetaceans. Mar. Mamm. Sci. 2023, 39, 961–975. [Google Scholar] [CrossRef]
- Aznar, F.J.; Perdiguero, D.; Del Olmo, A.P.; Repullés, A.; Agustí, C.; Raga, J.A. Changes in epizoic crustacean infestations during cetacean die-offs: The mass mortality of Mediterranean striped dolphins Stenella coeruleoalba revisited. Dis. Aquat. Org. 2005, 67, 239–247. [Google Scholar] [CrossRef]
- Bearzi, G.; Reeves, R.R.; Notarbartolo di Sciara, G.; Politi, E.; Cañadas, A.; Frantzis, A.; Mussi, B. Ecology, status and conservation of short-beaked common dolphins (Delphinus delphis) in the Mediterranean Sea. Mammal. Rev. 2003, 33, 224–252. [Google Scholar] [CrossRef]
- Pace, D.S.; Mussi, B.; Vella, J.G.; Vella, A. Conservation and Research Status of Mediterranean Delphinus delphis. Aquat. Conserv. 2021, 31 (Suppl. 1), 1–166. [Google Scholar]
- Bearzi, G. Delphinus delphis (Mediterranean subpopulation). In The IUCN Red List of Threatened Species 2003: E.T41762A10556361; International Union for Conservation of Nature (IUCN): Gland, Switzerland, 2003. [Google Scholar]
- Natoli, A.; Cañadas, A.; Vaquero, C.; Politi, E.; Fernandez-Navarro, P.; Hoelzel, A.R. Conservation Genetics of the Short-Beaked Common Dolphin (Delphinus delphis) in the Mediterranean Sea and in the Eastern North Atlantic Ocean. Conserv. Genet. 2008, 9, 1479–1487. [Google Scholar] [CrossRef]
- Giménez, J.; Gauffier, P.; Verborgh, P.; Esteban, R.; Jiménez-Torres, C.; De Stephanis, R. The Bay of Algeciras: A Feeding and Breeding Ground for Common Dolphins? In Proceedings of the 25th Conference of the European Cetacean Society, Cádiz, Spain, 21–23 March 2011; Long-Term Datasets on Marine Mammals: Learning from the Past to Manage the Future. Gauffier, P., Verborgh, P., Eds.; TIDAC: Cádiz, Spain, 2011; p. 150. [Google Scholar]
- Olaya-Ponzone, L.; Ruíz, R.E.; Domínguez, D.P.; Moreno, E.M.; Marcial, I.C.; Santiago, J.S.; García-Gómez, J.C. Sport fishing and vessel pressure on the endangered cetacean Delphinus delphis. Towards an international agreement of micro-sanctuary for its conservation. J. Environ. Manag. 2023, 325, 116546. [Google Scholar] [CrossRef]
- Sammartino, S.; Lafuente, J.G.; Garrido, J.S.; De los Santos, F.J.; Fanjul, E.Á.; Naranjo, C.; Calero, C. A numerical model analysis of the tidal flows in the Bay of Algeciras, Strait of Gibraltar. Cont. Shelf Res. 2014, 72, 34–46. [Google Scholar] [CrossRef]
- Bearzi, G.; Agazzi, S.; Gonzalvo, J.; Costa, M.; Bonizzoni, S.; Politi, E.; Piroddi, C.; Reeves, R.R. Overfishing and the disappearance of short-beaked common dolphins from western Greece. Endang. Species Res. 2008, 5, 1–12. [Google Scholar] [CrossRef]
- Nicholson, K.; Bejder, L.; Allen, S.J.; Krützen, M.; Pollock, K.H. Abundance, survival and temporary emigration of bottlenose dolphins (Tursiops sp.) of Useless Loop in the western Gulf of Shark Bay, Western Australia. Mar. Freshw. Res. 2012, 63, 1059–1068. [Google Scholar] [CrossRef]
- Tyne, J.A.; Pollock, K.H.; Johnston, D.W.; Bejder, L. Abundance and survival rates of the Hawai’i Island associated spinner dolphin (Stenella longirostris) stock. PLoS ONE 2014, 9, e86132. [Google Scholar] [CrossRef]
- Friday, N.A.; Smith, T.D.; Stevick, P.T.; Allen, J.; Fernald, T. Measurement of photographic quality and individual distinctiveness for the photographic identification of humpback whales (Megaptera novaeangliae). Mar. Mamm. Sci. 2000, 16, 355–374. [Google Scholar] [CrossRef]
- McBride, A.F.; Kritzler, H. Observations on pregnancy, parturition, and postnatal behavior in the bottlenose dolphin. J. Mammal. 1951, 32, 251–266. [Google Scholar] [CrossRef]
- Cockcroft, V.G.; Ross, G.J.B. Observations on the early development of a captive bottlenose dolphin calf. In The Bottlenose Dolphin; Leatherwood, S., Reeves, R.R., Eds.; Academic Press: San Diego, CA, USA, 1990; pp. 461–478. [Google Scholar]
- Henderson, S.D.; Dawson, S.M.; Rayment, W.; Currey, R.J.C.; Slooten, E. Reproduction, Birth Seasonality, and Calf Survival of Bottlenose Dolphins in Doubtful Sound, New Zealand. Mar. Mammal. Sci. 2014, 30, 106–121. [Google Scholar] [CrossRef]
- Methion, S.; Díaz López, B. Spatial segregation and interspecific killing of common dolphins (Delphinus delphis) by bottlenose dolphins (Tursiops truncatus). Acta Ethol. 2021, 24, 95–106. [Google Scholar] [CrossRef]
- Félix, F.; Van Waerebeek, K.; Sanino, G.P.; Castro, C.; Van Bressem, M.-F.; Santillán, L. Variation in dorsal fin morphology in common bottlenose dolphin Tursiops truncatus (Cetacea: Delphinidae) populations from the Southeast Pacific Ocean. Pac. Sci. 2018, 72, 307–320. [Google Scholar] [CrossRef]
- Mann, J.; Smuts, B.B. Behavioral development in wild bottlenose dolphin newborns (Tursiops sp.). Behaviour 1999, 136, 529–566. [Google Scholar] [CrossRef]
- Grellier, K.; Hammond, P.S.; Wilson, B.; Sanders-Reed, C.A.; Thompson, P.M. Use of photo-identification data to quantify mother–calf association patterns in bottlenose dolphins. Can. J. Zool. 2003, 81, 1421–1427. [Google Scholar] [CrossRef]
- Noren, S.R.; Edwards, E.F. Infant position in mother–calf dolphin pairs: Formation locomotion with hydrodynamic benefits. Mar. Ecol. Prog. Ser. 2011, 424, 229–236. [Google Scholar] [CrossRef]
- Machernis, A.F.; Stack, S.H.; Olson, G.L.; Sullivan, F.A.; Currie, J.J. External scarring as an indicator of fisheries interactions with bottlenose (Tursiops truncatus) and pantropical spotted (Stenella attenuata) dolphins in Maui Nui, Hawai‘i. Aquat. Mamm. 2021, 47, 482–498. [Google Scholar] [CrossRef]
- Kiszka, J.; Pelourdeau, D.; Ridoux, V. Body scars and dorsal fin disfigurements as indicators of interaction between small cetaceans and fisheries around the Mozambique Channel island of Mayotte. West. Indian Ocean J. Mar. Sci. 2008, 7, 185–193. [Google Scholar] [CrossRef]
- Wells, R.S.; Allen, J.B.; Hofmann, S.; Bassos-Hull, K.; Fauquier, D.A.; Barros, N.B.; Scott, M.D. Consequences of injuries on survival and reproduction of common bottlenose dolphins (Tursiops truncatus) along the west coast of Florida. Mar. Mamm. Sci. 2008, 24, 774–794. [Google Scholar] [CrossRef]
- Kautek, J.; Smodlaka, H.; Pleslić, G.; Bearzi, G. A proposed categorization of external injuries observed on bottlenose dolphins (Tursiops truncatus) in the Adriatic Sea. Mar. Mamm. Sci. 2019, 35, 234–247. [Google Scholar] [CrossRef]
- Wells, R.S.; Scott, M.D. Seasonal incidence of boat strikes on bottlenose dolphins near Sarasota, Florida. Mar. Mamm. Sci. 1997, 13, 475–480. [Google Scholar] [CrossRef]
- Bechdel, S.E.; Mazzoil, M.S.; Murdoch, M.E.; Howells, E.M.; Reif, J.S.; McCulloch, S.D.; Bossart, G.D. Prevalence and impacts of motorized vessels on bottlenose dolphins (Tursiops truncatus) in the Indian River Lagoon, Florida. Aquat. Mamm. 2009, 35, 367. [Google Scholar] [CrossRef]
- Byard, R.W.; Winskog, C.; Machado, A.; Boardman, W. The assessment of lethal propeller strike injuries in sea mammals. J. Forensic Leg. Med. 2012, 19, 158–161. [Google Scholar] [CrossRef]
- Van Waerebeek, K.; Baker, A.N.; Felix, F.; Gedamke, J.; Iniguez, M.; Sanino, G.P.; Secchi, E.; Sutaria, D.; van Helden, A.; Wang, Y. Vessel Collisions with Small Cetaceans Worldwide and with Large Whales in the Southern Hemisphere: An Initial Assessment. Lat. Am. J. Aquat. Mamm. 2007, 6, 43–69. [Google Scholar] [CrossRef]
- Morteo, E.; Rocha-Olivares, A.; Morteo, R.; Weller, D.W. Phenotypic variation in dorsal fin morphology of coastal bottlenose dolphins (Tursiops truncatus) off Mexico. PeerJ 2017, 5, e3415. [Google Scholar] [CrossRef]
- Jefferson, T.A.; Curry, B.E. Common dolphins: Delphinus delphis and D. capensis. In Encyclopedia of Marine Mammals, 3rd ed.; Würsig, B., Thewissen, J.G.M., Kovacs, K.M., Eds.; Academic Press: London, UK, 2018; pp. 275–280. [Google Scholar]
- Read, A.J.; Urian, K.W.; Wilson, B.; Waples, D.M. Abundance of bottlenose dolphins in the bays, sounds, and estuaries of North Carolina. Mar. Mammal. Sci. 2003, 19, 59–73. [Google Scholar] [CrossRef]
- Stevick, P.T.; Palsbøll, P.J.; Smith, T.D.; Bravington, M.V.; Hammond, P.S. Errors in identification using natural markings: Rates, sources, and effects on capture-recapture estimates of abundance. Can. J. Fish. Aquat. Sci. 2001, 58, 1861–1870. [Google Scholar] [CrossRef]
- Rosel, P.; Mullin, K.; Garrison, L.; Schwacke, L.; Adams, J.; Balmer, B.; Zolman, E. Photo-Identification Capture-Mark-Recapture Techniques for Estimating Abundance of Bay, Sound and Estuary Populations of Bottlenose Dolphins Along the US East Coast and Gulf of Mexico: A Workshop Report; NOAA: Silver Spring, MD, USA, 2011. [Google Scholar]
- Jefferson, T.A.; Webber, M.A.; Pitman, R.L. Marine Mammals of the World: A Comprehensive Guide to Their Identification; Academic Press: San Diego, CA, USA, 2011. [Google Scholar]
- Cañadas, A.; Sagrminaga, R.; García-Tiscar, S. Distribution of Cetaceans Related to Depth and Slope in the Mediterranean Waters off Southern Spain. Deep-Sea Res. Part I Oceanogr. Res. Pap. 2002, 49, 2053–2073. [Google Scholar] [CrossRef]
- Möller, L.M.; Valdez, P.F.; Allen, S.; Bilgmann, K.; Corrigan, S.; Beheregaray, L.B. Fine-Scale Genetic Structure in Short-Beaked Common Dolphins (Delphinus delphis) along the East Australian Current. Mar. Biol. 2011, 158, 113–126. [Google Scholar] [CrossRef]
- Bilgmann, K.; Möller, L.M.; Harcourt, R.G.; Gales, R.; Beheregaray, L.B. Common Dolphins Subject to Fisheries Interaction in Southern Australia Display Genetic Differences: Implications for Conservation. Anim. Conserv. 2008, 11, 518–528. [Google Scholar] [CrossRef]
- Hui, C.A. Submarine Topography and Distribution of the Genus Delphinus in the Southern California Bight. J. Mammal. 1979, 60, 521–527. [Google Scholar] [CrossRef]
- Oviedo, L.; Esteves, M.A.; Acevedo, R.; Silva, N.; Bolaños-Jiménez, J.; Quevedo, A.M.; Fernández, M. Abundance, Distribution and Behaviour of Common Dolphins, Delphinus spp., off Northeastern Venezuela: Implications for Conservation and Management. J. Mar. Biol. Assoc. UK 2010, 90, 1623–1631. [Google Scholar] [CrossRef]
- Genov, T.; Bearzi, G.; Bonizzoni, S.; Tempesta, M. Long-Distance Movement of a Solitary Short-Beaked Common Dolphin (Delphinus delphis) in the Central Mediterranean Sea. Mar. Biodivers. Rec. 2012, 5, e9. [Google Scholar] [CrossRef]
- Olaya-Ponzone, L.; García-Gómez, J.C. Effects of Vessels on Common Dolphin Activity Patterns in a Critical Area for the Species: Conservation Implications. Mar. Environ. Res. 2025, 207, 107081. [Google Scholar] [CrossRef] [PubMed]
- Natoli, A.; Cañadas, A.; Peddemors, V.M.; Aguilar, A.; Vaquero, C.; Fernández-Piqueras, J.; Hoelzel, A.R. Phylogeography and alpha taxonomy of the common dolphin (Delphinus delphis) based on mitochondrial DNA and microsatellite analyses. Mar. Biol. 2006, 148, 385–395. [Google Scholar] [CrossRef]
- Amaral, A.R.; Sequeira, M.; Martínez-Cedeira, J.; Coelho, M.M. New Insights on Population Genetic Structure of Delphinus delphis from the Northeast Atlantic and Phylogenetic Relationships within the Genus Inferred from Two Mitochondrial Markers. Mar. Biol. 2007, 151, 1967–1976. [Google Scholar] [CrossRef]
- Cañadas, A.; Hammond, P.S. Abundance and Habitat Preferences of the Short-Beaked Common Dolphin (Delphinus delphis) in the Southwestern Mediterranean: Implications for Conservation. Endanger. Species Res. 2008, 4, 309–331. [Google Scholar] [CrossRef]
- Giménez, J.; Cañadas, A.; de Stephanis, R.; Ramírez, F. Expanding Protected Areas to Encompass the Conservation of the Endangered Common Dolphin (Delphinus delphis) in the Alboran Sea. Mar. Environ. Res. 2021, 168, 105305. [Google Scholar] [CrossRef]
- Heyning, J.E.; Perrin, W.F. Evidence for Two Species of Common Dolphins (Delphinus spp.) in the Eastern North Pacific. Contrib. Sci. 1994, 442, 1–35. [Google Scholar] [CrossRef]
- Lang, T.G. Preliminary Observations of the Form and Function of Cetacean Dorsal Fins and Flukes. In Whales, Dolphins, and Porpoises; Norris, K.S., Ed.; University of California Press: Berkeley, CA, USA, 1966; pp. 55–90. [Google Scholar]
- Pavlov, V.V. Wing Design and Morphology of the Harbor Porpoise Dorsal Fin. J. Morphol. 2003, 258, 284–295. [Google Scholar] [CrossRef]
- Meagher, E.M.; McLellan, W.A.; Westgate, A.J.; Wells, R.S.; Frierson, D., Jr.; Pabst, D.A. The Relationship between Heat Flow and Vasculature in the Dorsal Fin of Wild Bottlenose Dolphins (Tursiops truncatus). J. Exp. Biol. 2002, 205, 3475–3486. [Google Scholar] [CrossRef]
- Dwyer, S.L.; Visser, I.N. Cookie Cutter Shark (Isistius sp.) Bites on Cetaceans, with Particular Reference to Killer Whales (Orcinus orca). Aquat. Mamm. 2011, 37, 111–138. [Google Scholar] [CrossRef]
- Murphy, S.N.; Evans, P.G.H.; Collet, A. Common Dolphin Delphinus delphis. In Mammals of the British Isles: Handbook, 4th ed.; Harris, S., Yalden, D.W., Eds.; The Mammal Society: Southampton, UK, 2008; pp. 719–724. [Google Scholar]
- Lockyer, C.H.; Morris, R.J. Some Observations on Wound Healing and Persistence of Scars in Tursiops truncatus. Rep. Int. Whal. Comm. 1990, 12, 113–118. [Google Scholar]
- Scott, E.M.; Mann, J.; Watson-Capps, J.J.; Sargeant, B.L.; Connor, R.C. Aggression in Bottlenose Dolphins: Evidence for Sexual Coercion, Male–Male Competition, and Female Tolerance through Analysis of Tooth-Rake Marks and Behaviour. Behaviour 2005, 142, 21–44. [Google Scholar]
- Marley, S.A.; Cheney, B.; Thompson, P.M. Using Tooth Rakes to Monitor Population and Sex Differences in Aggressive Behaviour in Bottlenose Dolphins (Tursiops truncatus). Aquat. Mamm. 2013, 39, 107–115. [Google Scholar] [CrossRef]
- Pettis, H.M.; Rolland, R.M.; Hamilton, P.K.; Brault, S.; Knowlton, A.R.; Kraus, S.D. Visual Health Assessment of North Atlantic Right Whales (Eubalaena glacialis) Using Photographs. Can. J. Zool. 2004, 82, 8–19. [Google Scholar] [CrossRef]
- Van Bressem, M.F.; Van Waerebeek, K.; Aznar, F.J.; Raga, J.A.; Jepson, P.D.; Duignan, P.; Siebert, U. Epidemiological Pattern of Tattoo Skin Disease: A Potential General Health Indicator for Cetaceans. Dis. Aquat. Org. 2009, 85, 225–237. [Google Scholar] [CrossRef]
- Leone, A.B.; Bonanno Ferraro, G.; Boitani, L.; Blasi, M.F. Skin Marks in Bottlenose Dolphins (Tursiops truncatus) Interacting with Artisanal Fishery in the Central Mediterranean Sea. PLoS ONE 2019, 14, e0211767. [Google Scholar] [CrossRef]
- Frasier, T.R.; Hamilton, P.K.; Brown, M.W.; Kraus, S.D.; White, B.N. Sources and Rates of Errors in Methods of Individual Identification for North Atlantic Right Whales (Eubalaena glacialis). J. Mammal. 2009, 90, 1246–1255. [Google Scholar] [CrossRef]
- Lusseau, D.; Bejder, L. The Long-Term Consequences of Short-Term Responses to Disturbance: Experiences from Whale-Watching Impact Assessment. Int. J. Comp. Psychol. 2007, 20, 228–236. [Google Scholar] [CrossRef]
- Senigaglia, V.; Christiansen, F.; Bejder, L.; Gendron, D.; Lundquist, D.; Noren, D.P.; Lusseau, D. Meta-Analyses of Whale-Watching Impact Studies: Comparisons of Cetacean Responses to Disturbance. Mar. Ecol. Prog. Ser. 2016, 542, 251–263. [Google Scholar] [CrossRef]
- Fumagalli, M.; Guerra, M.; Brough, T.; Carome, W.; Constantine, R.; Higham, J.; Dawson, S. Looking Back to Move Forward: Lessons from Three Decades of Research and Management of Cetacean Tourism in New Zealand. Front. Mar. Sci. 2021, 8, 624448. [Google Scholar] [CrossRef]
- Carreño, A.; Lloret, J. Environmental Impacts of Increasing Leisure Boating Activity in Mediterranean Coastal Waters. Ocean Coast. Manag. 2021, 209, 105693. [Google Scholar] [CrossRef]
- Montero-Serra, I.; Edwards, M.; Genner, M.J. Warming Shelf Seas Drive the Subtropicalization of European Pelagic Fish Communities. Glob. Change Biol. 2015, 21, 144–153. [Google Scholar] [CrossRef]
- Beare, D.; Burns, F.; Jones, E.; Peach, K.; Portilla, E.; Greig, T.; Reid, D. An Increase in the Abundance of Anchovies and Sardines in the North-Western North Sea since 1995. Glob. Change Biol. 2004, 10, 1209–1213. [Google Scholar] [CrossRef]
- Olaya-Ponzone, L.; Ruíz, R.E.; Domínguez, D.P.; García-Gómez, J.C. Amphiatlantic Dolphins’ Prey: Indicators of Speciation, Trophic Competition and Global Warming? A Review. J. Mar. Sci. Eng. 2024, 12, 978. [Google Scholar] [CrossRef]









| Shape of The Laceration | Description | Possible Causes | References | 
|---|---|---|---|
| Triangular (T)  | Triangular notch or V-shaped (acute angle towards the inside of the edge), with a wider base and apex towards the centre of the fin. | Clean cuts with sharp objects or from impact with small propellers or fishhooks. | [34,61,62,63] | 
| Square (S)  | Notch with straight edges, quadrangular or trapezoidal in shape. | Cuts from rigid objects (boats, net edges), fishing gear, collisions. | [18,61,64] | 
| Elongated (E)  | Narrow, elongated cut in the form of a straight incision or gash. | Entanglement or cuts caused by fishing lines, nets or taut lines (trolling, popping). | Described in this paper. | 
| Rounded (R)  | Notch with a gently curved outline and rounded edges, without defined angles. | Blunt edge cuts, progressive wear, interaction with taut lines (such as popping); some may be due to healing processes. | [34] | 
| Parallel (P)  | Several evenly spaced incisions, similar in size and separated by tissue. | Injuries caused by rotating propellers (motor boats); may indicate propeller size and speed. | [34,65,66,67] | 
| In a chain (C)  | A continuous series of similar lacerations joined together, with no skin or tissue between them. | Impact with small, fast propellers; prolonged contact with multiple fishing lines or trawl lines. | [30,61,67] | 
| L or hook-shaped (L)  | Angular notch in L or hook shape, occasionally inverted. | Possible result of entanglement with fishing gear, hooks or sharp objects. | [61] | 
| Irregular (I)  | Indefinite notches of varying depth with irregular edges. | Aggressive intraspecific or interspecific interactions; natural wear and tear; multiple or undetermined causes. | [61,64] | 
| Apical cut (A)  | Small, clean cut, only at the tip. It usually has smooth edges and a recognisable shape. | Occasional contact with taut fishing lines; minor bites during intraspecific interactions. | Described in this paper. | 
| Deformations (D)  | Structural changes not resulting from visible cuts, such as bends or loss of symmetry of the leading or trailing edge. | Poorly healed old injuries, prolonged interactions with nets or structures, possible natural malformations or repeated impacts. | [15,61,64] | 
| Mutilation (M) (Partial or total)  | Partial loss of tissue or structural collapse of the dorsal fin, including amputations, resorptions, or folds with reduction in volume. | Serious cuts from large propellers, severe entanglement in drift nets or trawling gear, violent collisions. | [31,34,37,61,68] | 
| Disclaimer/Publisher’s Note: The statements, opinions and data contained in all publications are solely those of the individual author(s) and contributor(s) and not of MDPI and/or the editor(s). MDPI and/or the editor(s) disclaim responsibility for any injury to people or property resulting from any ideas, methods, instructions or products referred to in the content. | 
© 2025 by the authors. Licensee MDPI, Basel, Switzerland. This article is an open access article distributed under the terms and conditions of the Creative Commons Attribution (CC BY) license (https://creativecommons.org/licenses/by/4.0/).
Share and Cite
Olaya-Ponzone, L.; Espada, R.; Martín, E.; García-Gómez, J.C. Photo-Identification Catalogue of Delphinus delphis in the Western Mediterranean: Conservation Implications. Environments 2025, 12, 406. https://doi.org/10.3390/environments12110406
Olaya-Ponzone L, Espada R, Martín E, García-Gómez JC. Photo-Identification Catalogue of Delphinus delphis in the Western Mediterranean: Conservation Implications. Environments. 2025; 12(11):406. https://doi.org/10.3390/environments12110406
Chicago/Turabian StyleOlaya-Ponzone, Liliana, Rocío Espada, Estefanía Martín, and José Carlos García-Gómez. 2025. "Photo-Identification Catalogue of Delphinus delphis in the Western Mediterranean: Conservation Implications" Environments 12, no. 11: 406. https://doi.org/10.3390/environments12110406
APA StyleOlaya-Ponzone, L., Espada, R., Martín, E., & García-Gómez, J. C. (2025). Photo-Identification Catalogue of Delphinus delphis in the Western Mediterranean: Conservation Implications. Environments, 12(11), 406. https://doi.org/10.3390/environments12110406
 
         
                                                

 
       