Seasonal and Interannual Variability of the Trophic State in the Marano and Grado Lagoon (Adriatic Sea, Italy) during the 2011–2021 Period
Abstract
1. Introduction
2. Materials and Methods
2.1. Study Area, Sampling Strategy and Analysis
2.2. Water Monitoring and Samples Analysis
2.3. Source of Environmental Data
2.4. Application of Trophic Indices
2.5. Statistical Assessment
3. Results
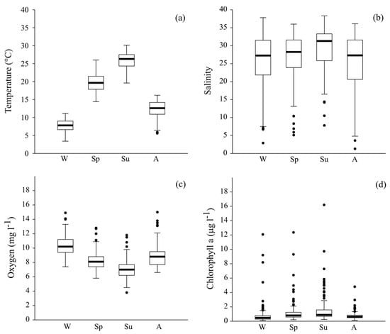
3.1. Spatial Distribution and Seasonal Variability of Physicochemical Parameters
3.2. Spatial Distribution and Seasonal Variability of Dissolved and Total Nutrients
3.3. Analysis of Precipitation
3.4. Relationship between Physicochemical Parameters, Nutrients, and Precipitation
3.5. Application of Trophic State Indices
3.6. Temporal Trends of Physicochemical Parameters, Nutrients, Trophic Indices and Rainfall (2011–2021)
4. Discussion and Conclusions
Supplementary Materials
Author Contributions
Funding
Data Availability Statement
Acknowledgments
Conflicts of Interest
References
- Acquavita, A.; Aleffi, I.F.; Benci, C.; Bettoso, N.; Crevatin, E.; Milani, L.; Tamberlich, F.; Toniatti, L.; Barbieri, P.; Licen, S.; et al. Annual characterization of the nutrients and trophic state in a Mediterranean coastal lagoon: The Marano and Grado Lagoon (northern Adriatic Sea). Reg. Stud. Mar. Sci. 2015, 2, 132–144. [Google Scholar] [CrossRef]
- De Vittor, C.; Faganeli, J.; Emili, A.; Covelli, S.; Predonzani, S.; Acquavita, A. Benthic fluxes of oxygen. carbon and nutrients in the Marano and Grado Lagoon (northern Adriatic Sea. Italy). Estuar. Coast. Shelf Sci. 2012, 113, 57–70. [Google Scholar] [CrossRef]
- Fontolan, G.; Pillon, S.; Bezzi, A.; Villalta, R.; Lipizer, M.; Triches, A.; D’Aietti, A. Human impact and the historical transformation of saltmarshes in the Marano and Grado Lagoon, northern Adriatic sea. Estuar. Coast. Shelf Sci. 2012, 113, 41–56. [Google Scholar] [CrossRef]
- Ramieri, E.; Barbanti, A.; Picone, M.; Menchini, G.; Bressan, E.; Dal Forno, E. Integrated Plan for the Sustainable Management of the Lagoon of Marano and Grado. In Proceedings of the Littoral 2010—Adapting to Global Change at the Coast: Leadership, Innovation, and Investment, London, UK, 21–23 September 2010; Available online: http://coastnet-littoral2010.edpsciences.org/articles/litt/pdf/2011/01/litt-05008.pdf (accessed on 10 February 2024).
- Saccon, P.; Leis, A.; Marca, A.; Kaiser, J.; Campisi, L.; Böttcher, M.E.; Savarino, J.; Escher, P.; Eisenhauer, A.; Erbland, J. Multisotope approach for the identification and characterisation of nitrate pollution sources in the Marano lagoon (Italy) and parts of its catchment area. App. Geochem. 2013, 34, 75–89. [Google Scholar] [CrossRef]
- RAFVG. S.A.R.A. Sistema Aree Regionali Ambientali Costituzione Sistema Regionale delle Aree Naturali. Piano di Gestione del SIC/ZPS IT3320037 Laguna di Marano e Grado. Available online: https://www.regione.fvg.it/rafvg/export/sites/default/RAFVG/ambiente-territorio/tutela-ambiente-gestione-risorse-naturali/FOGLIA203/allegati/documenti_tecnici/PdG_Laguna_testo.pdf (accessed on 9 May 2024).
- Carlson, R.E. A trophic state index for lakes. Limonol. Oceanogr. 1977, 22, 361–369. [Google Scholar] [CrossRef]
- Vollenweider, R.A.; Giovanardi, F.; Montanari, G.; Rinaldi, A. Characterisation of the trophic conditions of marine coastal waters with special reference to the NW Adriatic Sea: Proposal for a trophic state, turbidity and generalized water quality index. Environments 1998, 9, 329–357. [Google Scholar]
- Bricker, S.B.; Ferreira, J.G.; Simas, T. An integrated methodology for assessment of estuarine trophic status. Ecol. Model. 2003, 169, 39–60. [Google Scholar] [CrossRef]
- Petranich, E.; Covelli, S.; Acquavita, A.; De Vittor, C.; Faganeli, J.; Contin, M. Benthic nutrient cycling at the sediment-water interface in a lagoon fish farming system (northern Adriatic Sea, Italy). Sci. Total Environ. 2018, 644, 137–149. [Google Scholar] [CrossRef]
- Cloern, J.E. Our evolving concept of the coastal eutrophication problem. Mar. Ecol. Prog. Ser. 2001, 210, 223–253. [Google Scholar] [CrossRef]
- Ferreira, J.G.; Andersen, J.H.; Borja, A.; Bricker, S.B.; Camp, J.; Cardoso da Silva, M.; Garcés, E.; Heiskanen, A.S.; Humborg, C.; Ignatiades, L.; et al. Marine Strategy Framework Directive Task Group 5 Report Eutrophication; EUR 24338 EN e Joint Research Centre, Office for Official Publications of the European Communities: Luxembourg, 2010; p. 49. [Google Scholar]
- Nixon, S.W. Coastal marine eutrophication: A definition, social causes, and future concerns. Ophelia 1995, 41, 199–219. [Google Scholar] [CrossRef]
- Karydis, M.; Kitsou, D. Eutrophication and environmental policy in the Mediterranean Sea: A review. Environ. Monit. Assess. 2012, 184, 4931–4984. [Google Scholar] [CrossRef]
- EEA. Nutrient Enrichment and Eutrophication in Europe’s Seas—Moving towards a Healthy Marine Environment; EEA Report; Publications Office of the European Union: Luxembourg, 2019. [Google Scholar]
- OSPAR. Common Assessment Criteria, Their Assessment Levels and Area Classification within the Comprehensive Procedure of the Common Procedure. OSPAR Commission for the Protection of the Marine Environment of the North-East Atlantic. Available online: http://www.ospar.org/eng/html/welcome.html (accessed on 9 May 2024).
- HELCOM. HELCOM Baltic Sea Action Plan; Helsinki Commission: Helsinki, Finland, 2021; p. 103. Available online: http://www.helcom.fi/BSAP/ (accessed on 9 May 2024).
- 91/271/EEC; Urban Wastewater Treatment Directive. European Community: Maastricht, The Netherlands, 1991.
- 91/676/EEC; Nitrates Directive. European Community: Maastricht, The Netherlands, 1991.
- European Community. Directive 2000/60/EC of the European Parliament and of the Council of 23 October 2000 establishing a framework for Community actions in the field of water policy. Off. J. Eur. Union 2000, L 237, 1–72. [Google Scholar]
- European Community. Directive 2008/56/EC of the European Parliament and of the Council of 17 June 2008 establishing a framework for Community actions in the field of marine environmental policy (Marine Strategy Framework Directive). Off. J. Eur. Union 2008, L 164, 19–40. [Google Scholar]
- Ferreira, J.G.; Andersen, J.H.; Borja, A.; Bricker, S.B.; Camp, J.; Cardoso da Silva, M.; Garcés, E.; Heiskanen, A.-S.; Humborg, C.; Ignatiades, L.; et al. Overview of eutrophication indicators to assess environmental status within the European Marine Strategy Framework Directive. Estuar. Coast. Shelf Sci. 2011, 93, 117–131. [Google Scholar] [CrossRef]
- Borja, Á.; Galparsoro, I.; Solaun, O.; Muxika, I.; Tello, E.M.; Uriarte, A.; Valencia, V. The European Water Framework Directive and the DPSIR, a methodological approach to assess the risk of failing to achieve good ecological status. Estuar. Coast. Shelf Sci. 2006, 66, 84–96. [Google Scholar] [CrossRef]
- Bonometto, A.; Ponis, E.; Cacciatore, F.; Riccardi, E.; Pigozzi, S.; Parati, P.; Novello, M.; Ungaro, N.; Acquavita, A.; Manconi, P. A new Multi-Index Method for the eutrophication assessment in transitional waters: Large-Scale implementation in Italian lagoons. Environments 2022, 9, 41. [Google Scholar] [CrossRef]
- Hastings, A. Timescales, dynamics and ecological understanding. Ecology 2010, 91, 3471–3480. [Google Scholar] [CrossRef]
- Lucena-Moya, P.; Gómez-Rodríguez, C.; Pardo, I. Spatio-temporal variability in water chemistry of Mediterranean coastal lagoons and its management implications. Wetlands 2012, 32, 1033–1045. [Google Scholar] [CrossRef]
- Jickells, T.D.; Buitenhuis, E.; Altieri, K.; Baker, A.R.; Capone, D.; Duce, R.A. A revaluation of the magnitude and impacts of anthropogenic atmospheric nitrogen inputs on the ocean. Biogeochem. Cycles 2017, 31, 289–305. [Google Scholar] [CrossRef]
- Rabalais, N.N.; Turner, E.T.; Díaz, R.J.; Justić, B. Global change and eutrophication of coastal waters. ICES J. Mar. Sci. 2009, 66, 1528–1537. [Google Scholar] [CrossRef]
- Sinha, E.; Michalak, A.M.; Balaji, V. Eutrophication will increase during the 21st century as a result of precipitation changes. Science 2017, 357, 405–408. [Google Scholar] [CrossRef] [PubMed]
- Soria, J.; Pérez, R.; Sòria-Pepinyà, X. Mediterranean coastal lagoon review: Sites to visit before disappearance. J. Mar. Sci. Eng. 2022, 10, 347. [Google Scholar] [CrossRef]
- Brambati, A. Metalli Pesanti nelle Lagune di Marano e Grado: Piano di Studi Finalizzato All’accertamento della Presenza di Eventuali Sostanze Tossiche Persistenti nel Bacino Lagunare di Marano e Grado ed al suo Risanamento; Technical Report; Regione Autonoma Friuli-Venezia Giulia, Servizio Idraulica: Trieste, Italy, 1996; 174p. (In Italian) [Google Scholar]
- Ferrarin, C.; Umgiesser, G.; Bajo, M.; Bellafiore, D.; De Pascalis, F.; Ghezzo, M.; Mattassi, G.; Scroccaro, I. Hydraulic zonation of the lagoons of Marano and Grado, Italy, A modelling approach. Estuar. Coast. Shelf Sci. 2010, 87, 561–572. [Google Scholar] [CrossRef]
- Triches, A.; Pillon, S.; Bezzi, A.; Lipizer, M.; Gordini, E. Carta Batimetrica della Laguna di Marano e Grado; Regione Autonoma Friuli Venezia Giulia—A Cura di: Autorità di Bacino Regionale del Friuli Venezia Giulia, Commissario Delegato per L’emergenza Socioeconomico Ambientale Determinatasi nella Laguna di Marano Lagunare e Grado; Dipartimento di Geoscienze dell’Università di Trieste: Trieste, Italy; OGS—Istituto Nazionale di Oceanografia e di Geofisica Sperimentale: Sgonico, Italy; Arti Grafiche Friulane, Imoco spa (Ud): Fagagna, Italy, 2011; Available online: https://www.regione.fvg.it/rafvg/export/sites/default/RAFVG/ambiente-territorio/tutela-ambiente-gestione-risorse-naturali/FOGLIA202/allegati/Note_illustrative_Carta_batimetrica.pdf (accessed on 9 May 2024).
- Pittaluga, F.; Aleffi, I.F.; Bettoso, N.; Blasutto, O.; Celio, M.; Codarin, A.; Cumani, F.; Faresi, L.; Guiatti, D.; Orlandi, C.; et al. The Shape Project: An innovative approach to understanding seasonal and diel dissolved oxygen dynamics in the Marano and Grado Lagoon (Adriatic Sea) under the WFD/2000/60/CE. J. Mar. Sci. Eng. 2022, 10, 208. [Google Scholar] [CrossRef]
- Grasshoff, K.; Ehrhardt, M.; Kremling, K. Methods of Seawater Analyses; Verlag Chemie: Weinheim, Germany, 1983; p. 419. [Google Scholar]
- Valderrama, J.C. The simultaneous analyses of total phosphorus and total nitrogen in natural waters. Mar. Chem. 1981, 10, 109–122. [Google Scholar] [CrossRef]
- Carlson, R.E.; Simpson, J. A Coordinator’s Guide to Volunteer Lake Monitoring Methods; North American Lake Management Society: Madison, WI, USA, 1996; p. 96. [Google Scholar]
- Giovanardi, F.; Vollenweider, R.A. Trophic conditions of marine coastal waters: Experience in applying the Trophic Index TRIX to two areas of the Adriatic and Tyrrhenian seas. J. Limnol. 2004, 63, 199–218. [Google Scholar] [CrossRef]
- Hammer, Ø.; Harper, D.A.T.; Ryan, P.D. Paleontological Statistics Software Package for Education and Data Analysis. Palaeontol. Electron. 2001, 4, 9. [Google Scholar]
- Shapiro, S.S.; Wilk, M.B. An analysis of variance test for normality (complete samples). Biometrika 1965, 52, 591–611. [Google Scholar] [CrossRef]
- Zar, J.H. Biostatistical Analysis, 3rd ed.; Prentice Hall: Upper Saddle River, NJ, USA, 1996. [Google Scholar]
- Press, W.H.; Teukolsky, S.A.; Vetterling, W.T.; Flannery, B.P. Numerical Recipes in C; Cambridge University Press: Cambridge, UK, 1992. [Google Scholar]
- Gilbert, R.O. Statistical Methods for Environmental Pollution Monitoring; Van Nostrand Reinhold: New York, NY, USA, 1987. [Google Scholar]
- Penna, N.; Cappellacci, S.; Ricci, F. The influence of the Po River discharge on phytoplankton bloom dynamics along the coastline of Pesaro (Italy) in the Adriatic Sea. Mar. Poll. Bull. 2004, 48, 321–326. [Google Scholar] [CrossRef]
- Marullo, S.; Artale, V.; Santoleri, R. The SST multidecadal variability in the Atlantic–Mediterranean region and its relation to AMO. J. Clim. 2011, 24, 4385–4401. [Google Scholar] [CrossRef]
- Shaltout, M.; Omstedt, A. Recent sea surface temperature trends and future scenarios for the Mediterranean Sea. Oceanologia 2014, 56, 411–443. [Google Scholar] [CrossRef]
- Dunstan, P.K.; Foster, S.D.; King, E.; Risbey, J.; O’Kane, T.J.; Monselesan, D.; Hobday, A.J.; Hartog, J.R.; Thompson, P.A. Global patterns of change and variation in sea surface temperature and chlorophyll a. Sci. Rep. 2018, 8, 14624. [Google Scholar] [CrossRef] [PubMed]
- Antoni, S.; Bantan, R.A.; Al-Dubai, T.A.; Lubis, M.Z.; Anurogo, W.; Silaban, R.D. Chlorophyll-a, and sea surface temperature (SST) as proxies for climate changes: Case study in Batu Ampar waters, Riau Islands. IOP Conf. Ser. Earth Environ. Sci. 2019, 273, 012012. [Google Scholar] [CrossRef]
- Mahaffey, C.; Palmer, M.; Greenwood, N.; Sharples, J. Impacts of climate change on dissolved oxygen concentration relevant to the coastal and marine environment around the UK. MCCIP Sci. Rev. 2020, 31–53. [Google Scholar] [CrossRef]
- Zalewska, T.; Wilman, B.; Łapeta, B.; Marosz, M.; Biernacik, D.; Wochna, A.; Saniewski, M.; Grajewska, A.; Iwaniak, M. Seawater temperature changes in the southern Baltic Sea (1959–2019) forced by climate change. Oceanologia 2023, 66, 37–55. [Google Scholar] [CrossRef]
- Blondel, J.; Aronson, J.; Bodiou, J.-Y. The Mediterranean Region: Biological Diversity in Space and Time, 2nd ed.; Oxford University Press: Oxford, UK, 2010. [Google Scholar]
- Wilke, M.; Boutiere, H. Hydrobiological, physical and chemical characteristics and spatio-temporal dynamics of an oligotrophic Mediterranean lagoon: The Etang de La Palme (France). Vie Milieu 2000, 50, 101–115. [Google Scholar]
- Dhib, A.; Brahim, M.B.; Ziadi, B.; Akrout, F.; Turki, S.; Aleya, L. Factors driving the seasonal distribution of planktonic and epiphytic ciliates in a eutrophicated Mediterranean Lagoon. Mar. Poll. Bull. 2013, 74, 383–395. [Google Scholar] [CrossRef] [PubMed]
- Mancero-Mosquera, I. Water flow in the inlets of the Marano-Grado lagoon system (NE Italy). Il Nuovo Cim. 2013, 36, 132–144. [Google Scholar]
- Kormas, K.A.; Nicolaidou, A.; Reizopoulou, S. Temporal variations of nutrients, chlorophyll a and particulate matter in three coastal lagoons of Amvrakikos Gulf (Ionian Sea). Mar. Ecol. 2001, 22, 201–213. [Google Scholar]
- Newton, A.; Mudge, S.M. Lagoon-sea exchanges, nutrient dynamics and water quality management of the Ria Formosa (Portugal). Estuar. Coast Shelf Sci. 2005, 62, 405–414. [Google Scholar] [CrossRef]
- Coelho, S.; Gamito, S.; Pérez-Ruzafa, A. Trophic state of Foz de Almargem coastal lagoon (Algarve, South Portugal) based on the water quality and the phytoplankton community. Estuar. Coast. Shelf Sci. 2007, 71, 218–231. [Google Scholar] [CrossRef]
- Zaldívar, J.M.; Cardoso, A.C.; Viaroli, P.; Newton, A.; de Wit, R.; Ibañez, C.; Reizopoulou, S.; Somma, F.; Razinkovas, A.; Basset, A.; et al. Eutrophication in transitional waters: An overview. Transitional Waters Monogr. 2008, 1, 11–78. [Google Scholar]
- Kemp, W.M.; Smith, E.M.; Marvin-Dipasquale, M.; Boynton, W.R. Organic carbon metabolism in Chesapeake Bay. Mar. Ecol. Prog. Ser. 1997, 150, 229–248. [Google Scholar] [CrossRef]
- Belias, C.; Dassenakis, M.; Scoullos, M. Study of the N, P and Si fluxes between fish farm sediment and seawater, Results of simulation experiments employing a benthic chamber under various redox conditions. Mar. Chem. 2007, 103, 266–275. [Google Scholar] [CrossRef]
- Roselli, L.; Fabbrocini, A.; Manzo, C.; D’Adamo, R. Hydrological heterogeneity, nutrient dynamics and water quality of a non-tidal lentic ecosystem (Lesina Lagoon, Italy). Estuar. Coast. Shelf Sci. 2009, 84, 539–552. [Google Scholar] [CrossRef]
- Pretus, J.L. Limnología de la Albufera de Menorca (Menorca, España). Limnetica 1989, 5, 69–81. [Google Scholar] [CrossRef]
- Chapelle, A.; Ménesguen, A.; Deslous-Paoli, J.M.; Souchu, P.; Mazouni, N.; Vaquer, A. Impact of oysters farming and inputs from the watershed in a Mediterranean lagoon. Ecol. Modell. 2000, 127, 161–181. [Google Scholar] [CrossRef]
- Nizzoli, D.; Bartoli, M.; Cooper, M.; Welsh, D.T.; Underwood, G.J.C.; Viaroli, P. Implications for oxygen, nutrient fluxes and denitrification rates during the early stage of sediment colonisation by the polychaete Nereis spp., in four estuaries. Estuar. Coast. Shelf Sci. 2007, 75, 125–134. [Google Scholar] [CrossRef]
- Cozzi, S.; Cabrini, M.; Kralj, M.; De Vittor, C.; Celio, M.; Giani, M. (2020) Climatic and anthropogenic impacts on environmental conditions and phytoplankton community in the Gulf of Trieste (northern Adriatic Sea). Water 2020, 12, 2652. [Google Scholar] [CrossRef]
- Giani, M.; Pavlidou, A.; Kralj, M.; Varkitzi, I.; Borja, A.; Menchaca, I.; Lipizer, M.; Partescano, E.; Urbini, L.; Francé, J.; et al. Assessment of the eutrophication status at Mediterranean sub-basin scale, within the European Strategy Framework Directive. Sci. Total Environ. 2024, 945, 173876. [Google Scholar] [CrossRef]
- Bellese, F. Stato Trofico del Golfo di Trieste: Applicazione di Indici Trofici e Analisi Preliminare della Serie Temporale 2010–2021 nel Contesto di Cambiamento Climatico. Master’s Thesis, University of Trieste, Trieste, Italy, 2024; p. 102. (In Italian). [Google Scholar]
- Redfield, A.C. The biological control of chemical factors in the environments. Am. Sci. 1958, 46, 205–221. [Google Scholar]
- Eighty years of Redfield. Nature Geosci. 2014, 7, 849. [CrossRef]
- Cozzi, S.; Giani, M. River water and nutrient discharges in the Northern Adriatic Sea: Current importance and long term changes. Cont. Shelf Res. 2011, 31, 1881–1893. [Google Scholar] [CrossRef]
- Lipizer, M.; De Vittor, C.; Falconi, C.; Comici, C.; Tamberlich, F.; Giani, M. Effects of intense physical and biological forcing factors on CNP pools in coastal waters (Gulf of Trieste, Northern Adriatic Sea). Estuar. Coast. Shelf Sci. 2012, 115, 40–50. [Google Scholar] [CrossRef]
- Krom, M.D.; Herut, B.; Mantoura, R.F.C. Nutrient budget for the Eastern Mediterranean: Implications for phosphorus limitation. Limnol. Ocean. 2004, 49, 1582–1592. [Google Scholar]
- Ludwig, W.; Dumont, E.; Meybeck, M.; Heussner, S. River discharges of water and nutrients to the Mediterranean and Black Sea: Major drivers for ecosystem changes during past and future decades? Prog. Oceanogr. 2009, 80, 199–217. [Google Scholar] [CrossRef]
- Herut, B.; Krom, M.D.; Pan, G.; Mortimer, R. Atmospheric input of nitrogen and phosphorus to the Southeast Mediterranean: Sources, fluxes, and possible impact. Limnol. Ocean. 1999, 44, 1683–1692. [Google Scholar] [CrossRef]
- Pujo-Pay, M.; Conan, P.; Oriol, L.; Cornet-Barthaux, V.; Falco, C.; Ghiglione, J.F.; Goyet, C.; Moutin, T.; Prieur, L. Integrated survey of elemental stoichiometry (C, N, P) from the western to eastern Mediterranean Sea. Biogeosciences 2011, 8, 883–899. [Google Scholar] [CrossRef]
- Cañedo-Argüelles, M.; Rieradevall, M.; Farrés-Correll, R.; Newton, A. Annual characterisation of four Mediterranean coastal lagoons subjected to intense human activity. Estuar. Coast. Shelf Sci. 2012, 114, 59–69. [Google Scholar] [CrossRef]
- Newton, A.; Icely, J.D.; Falcao, M.; Nobre, A.; Nunes, J.P.; Ferreira, J.G.; Vale, C. Evaluation of eutrophication in the Ria Formosa coastal lagoon, Portugal. Cont. Shelf Res. 2003, 23, 1945–1961. [Google Scholar] [CrossRef]
- Bonanni, P.; Caprioli, R.; Ghiara, E.; Mignuzzi, C.; Orlandi, C.; Paganin, G.; Monti, A. Sediment and interstitial water chemistry of the Orbetello lagoon (Grosseto, Italy); nutrient diffusion across the water-sediment interface. Hydrobiologia 1992, 235, 553–568. [Google Scholar] [CrossRef]
- Specchiulli, A.; Focardi, S.; Renzi, M.; Scirocco, T.; Cilenti, L.; Breber, P.; Bastianoni, S. Environmental heterogeneity patterns and assessment of trophic levels in two Mediterranean lagoons: Orbetello and Varano, Italy. Sci. Total Environ. 2008, 402, 285–298. [Google Scholar] [CrossRef] [PubMed]
- Specchiulli, A.; Scirocco, T.; D’Adamo, R.; Cilenti, L.; Fabbrocini, A.; Cassin, D.; Penna, P.; Renzi, M.; Bastianoni, S. Benthic vegetation, chlorophyll α and physical-chemical variables in a protected zone of a Mediterranean coastal lagoon (Lesina, Italy). J. Coast. Conserv. 2016, 20, 363–374. [Google Scholar]
- Salas, F.; Teixeira, H.; Marcos, C.; Marques, J.C.; Pérez-Ruzafa, A. Applicability of the trophic index TRIX in two transitional ecosystems: The Mar Menor lagoon (Spain) and the Mondego estuary (Portugal). ICES J. Mar. Sci. 2008, 65, 1442–1448. [Google Scholar] [CrossRef]
- Ngadi, H.; Layachi, M.; Azizi, G.; Baghour, M.; Essefar, S.; Loukili, H.; Moumen, A. Evaluation of the water quality and the eutrophication risk in Ramsar site on Moroccan northern Mediterranean (Marchica lagoon): A multivariate statistical approach. Mar. Poll. Bull. 2003, 194, 115373. [Google Scholar] [CrossRef] [PubMed]
- Maier, G.; Nimmo-Smith, R.J.; Glegg, G.A.; Tappin, A.D.; Worsfold, P.J. Estuarine eutrophication in the UK: Current incidence and future trends. Aq. Conserv. Mar. Freshw. Ecosys. 2009, 19, 43–56. [Google Scholar] [CrossRef]
- Kocum, E.; Nedwell, D.B.; Underwood, G.J.C. Simultaneous measurement of phytoplanktonic primary production, nutrient and light availability along a turbid, eutrophic UK east coast estuary (the Colne Estuary). Mar. Ecol. Prog. Ser. 2002, 231, 1–12. [Google Scholar] [CrossRef]
- Kocum, E.; Nedwell, D.B.; Underwood, G.J.C. Regulation of phytoplankton primary production along a hypernutrified estuary. Mar. Ecol. Prog. Ser. 2002, 231, 13–22. [Google Scholar] [CrossRef]
- Ferris, J.M.; Tyler, P.A. Chlorophyll–total phosphorus relationships in Lake Burragorang, New South Wales, and some other Southern Hemisphere lakes. Aust. J. Mar. Freshw. Res. 1985, 36, 157–168. [Google Scholar] [CrossRef]
- Pérez-Ruzafa, A.; Fernandez, A.; Marcos, C.; Gilabert, J.; Quispe, J.; Garcia-Charton, A. Spatial and temporal variations of hydrological conditions, nutrients and chlorophyll a in a Mediterranean coastal lagoon (Mar Menor, Spain). Hydrobiologia 2005, 550, 11–27. [Google Scholar] [CrossRef]
- Chrysoula, C.; Giordani, G.; Papastergiadou, E. Assessment of ecological quality of coastal lagoons with a combination of phytobenthic and water quality indices. Mar. Poll. Bull. 2014, 86, 411–423. [Google Scholar]
- Tyler, A.C.; McGlatery, K.J. Benthic algae control sediment–water column fluxes of inorganic nitrogen compounds in a temperate lagoon. Limnol. Oceanogr. 2003, 48, 2125–2137. [Google Scholar] [CrossRef]
- McGlathery, K.J.; Sundbäck, K.; Anderson, I.C. Eutrophication in shallow coastal bays and lagoons: The role of plants in the coastal filter. Mar. Ecol. Prog. Ser. 2007, 348, 1–18. [Google Scholar] [CrossRef]
- Souchu, P.; Ximenes, M.C.; Lauret, M.; Vaquer, A.; Dutriex, E. Mise a Jour D’indicateurs du Niveau D’eutrophisation des Milieux Lagunaires Mediterraneens; Ifremer-Creocean-Universite Montpellier II: Montpellier, France, 2000; Volume II, 412p. [Google Scholar]
- Giordani, G.; Zaldivar, J.M.; Viaroli, P. Simple tools for assessing water quality and trophic status in transitional water ecosystems. Ecol. Ind. 2009, 9, 982–991. [Google Scholar] [CrossRef]
- Wu, Z.; Yu, Z.; Song, X.; Yuan, Y.; Cao, X.; Liang, Y. Application of an integrated methodology for eutrophication assessment: A case study in the Bohai Sea. Chin. J. Ocean. Limnol. 2013, 31, 1064–1078. [Google Scholar] [CrossRef]
- Fertig, B.; Kennish, M.J.; Sakowicz, G.P.; Reynolds, G. Mind the Data Gap: Identifying and Assessing Drivers of Changing Eutrophication Condition. Estuaries Coasts 2014, 37, 198–221. [Google Scholar] [CrossRef]
- Abidi, M.; Ben Amor, R.; Gueddari, M. Assessment of the trophic status of the South Lagoon of Tunis (Tunisia, Mediterranean Sea): Geochemical and statistical approaches. J. Chem. 2018, 2018, 9859546. [Google Scholar] [CrossRef]
- Le Fur, I.; De Wit, R.; Plus, M.; Oheix, J.; Derolez, V.; Simier, M.; Malet, N.; Ouisse, V. Re-oligotrophication trajectories of macrophytes assemblages in Mediterranean coastal lagoons based on 17-year time-series. Mar. Ecol. Prog. Ser. 2019, 608, 13–32. [Google Scholar] [CrossRef]
- Derolez, V.; Bec, B.; Munaron, D.; Fiandrino, A.; Pete, R.; Simier, M.; Souchu, P.; Laugier, T.; Aliaume, C.; Malet, N. Recovery trajectories following the reduction of urban nutrient inputs along the eutrophication gradient in French Mediterranean lagoons. Ocean Coast. Manag. 2019, 171, 1–10. [Google Scholar] [CrossRef]
- Acri, F.; Bernardi Aubry, B.; Berton, A.; Bianchi, F.; Boldrin, A.; Camatti, E.; Comaschi, A.; Rabitti, S.; Socal, G. Plankton communities and nutrients in the Venice Lagoon, Comparison between current and old data. J. Mar. Syst. 2004, 51, 321–329. [Google Scholar] [CrossRef]
- Pastres, R.; Solidoro, C.; Ciavatta, S.; Petrizzo, A.; Cossarini, G. Long-term changes of inorganic nutrients in the Lagoon of Venice (Italy). J. Mar. Syst. 2004, 51, 179–189. [Google Scholar] [CrossRef]
- Degobbis, D.; Precali, R.; Ivančić, I.; Smodlaka, N.; Fuks, D.; Kveder, S. Long-term changes in the northern Adriatic ecosystem related to anthropogenic eutrophication. Int. J. Environ. Pollut. 2000, 13, 495–533. [Google Scholar] [CrossRef]
- Giani, M.; Djakovac, T.; Degobbis, D.; Cozzi, S.; Solidoro, C.; Umani, S.F. Recent changes in the marine ecosystems of the northern Adriatic Sea. Estuar. Coast. Shelf Sci. 2012, 115, 1–13. [Google Scholar] [CrossRef]
- Pisano, A.; Marullo, S.; Artale, V.; Falcini, F.; Yang, C.; Leonelli, F.E.; Santoleri, R.; Buongiorno Nardelli, B. New evidence of Mediterranean climate change and variability from sea surface temperature observations. Remote Sens. 2020, 12, 132. [Google Scholar] [CrossRef]
- Malačič, V.; Celio, M.; Čermelj, B.; Bussani, A.; Comici, C. Interannual evolution of seasonal thermohaline properties in the Gulf of Trieste (northern Adriatic) 1991–2003. J. Geophys. Res. 2006, 111, C08009. [Google Scholar] [CrossRef]
- Tondelli, L. Fitoplancton Potenzialmente Tossico nelle Mitilicolture del Golfo di Trieste: Analisi Preliminari della Serie Temporale in Rapporto al Contesto Ambientale e Climatico. Master’s Thesis, University of Trieste, Trieste, Italy, 2023; p. 105. (In Italian). [Google Scholar]
- Vargas-Yáñez, M.; Moya, F.; Serra, M.; Juza, M.; Jordà, G.; Ballesteros, E.; Alonso, C.; Pascual, J.; Salat, J.; Moltó, V.; et al. Observations in the Spanish MediterraneanWaters: A Review and Update of Results of 30-Year Monitoring. J. Mar. Sci. Eng. 2023, 11, 1284. [Google Scholar] [CrossRef]
- Ferrarin, C.; Bonaldo, D.; Bergamasco, A.; Ghezzo, M. Sea level and temperature extremes in a regulated Lagoon of Venice. Front. Clim. 2023, 5, 1330388. [Google Scholar] [CrossRef]
- Bettoso, N.; Aleffi, I.F.; Faresi, L.; Acquavita, A.; Orlandi, C. Il macrozoobenthos di fondo mobile nella laguna di Marano e Grado: Un confronto tra gli anni ’90 e lo stato attuale. In Proceedings of the Congresso del Centro Italiano Studi di Biologia Ambientale (CISBA), Ravenna, Italy, 2–3 March 2023. [Google Scholar]







| Water Body | Lat.N (WGS84) | Long. E (WGS84) | Area (km2) | Main Characteristics of the Water Body |
|---|---|---|---|---|
| TME1 | 45.76308 | 13.18627 | 8.64 | Mesohaline—Pressures from the Zellina River and the town of Marano Lagunare. |
| TME2 | 45.75798 | 13.12692 | 1.78 | Mesohaline—Pressures from the Cormor River. |
| TME3 | 45.74487 | 13.12092 | 4.20 | Mesohaline—Pressures from the Stella River. |
| TME4 | 45.70677 | 13.08550 | 4.63 | Mesohaline—Pressures from the Stella River and the marina of Aprilia Marittima. |
| TPO1 | 45.72755 | 13.37475 | 5.08 | Polyhaline—Partially submerged depending on tidal phase—Pressures from the Natissa River |
| TPO2 | 45.73890 | 13.29273 | 14.53 | Polyhaline—Pressures by Natissa and Aussa-Corno rivers—Partially submerged depending on tidal phase. |
| TPO3 | 45.73725 | 13.17165 | 20.86 | Mesohaline—Pressures from the Zellina River and the town of Marano Lagunare. |
| TPO4 | 45.72498 | 13.13045 | 7.19 | The water body is located in an area with polyhaline characteristics, the sources of pressure being the waters of the Cormor and Stella. |
| TPO5 | 45.70353 | 13.10822 | 13.33 | Polyhaline—Partially influenced by marine waters from the mouth of Lignano. Pressures from the marina of Aprilia Marittima and the town of Lignano. |
| TEU1 | 45.71383 | 13.35415 | 7.26 | Euhaline—Influenced by marine waters from the mouth of Grado. |
| TEU2 | 45.70710 | 13.33187 | 6.66 | Euhaline—Influenced by marine waters from the mouth of Grado. |
| TEU3 | 45.73238 | 13.25558 | 3.89 | Euhaline—Influenced by marine waters from the of Porto Buso—Pressures from the ship channel that connects to the industrial area of Porto Nogaro. |
| TEU4 | 45.73225 | 13.22095 | 15.36 | Euhaline—Influenced by marine waters from Porto Buso, S. Andrea and Lignano mouths—Pressures from the ship channels that connects to the industrial area of Porto Nogaro. |
| FM2 | 45.71360 | 13.41717 | 3.73 | Polyhaline—Heavily modified from the road that connects Grado with Aquileia. |
| FM3 | 45.69135 | 13.40667 | 10.82 | Polyhaline—Heavily modified from the road that connects Grado with Aquileia. |
| FM4 | 45.71297 | 13.28278 | 9.40 | Euhaline—Heavily modified due to the presence of numerous fish farms. |
| Range | Accuracy | Resolution | Time of Measurements | |
|---|---|---|---|---|
| Pressure | 0–1.000 dbar | 0.05% | 0.02% | 50 ms |
| Temperature | −5/+50 °C | 0.002 °C | 0.0002 °C | 50 ms |
| Conductivity | 0–90 mS cm−1 | 0.003 mS cm−1 | 0.0003 mS cm−1 | 50 ms |
| Oxygen | 0–45 mg L−1 | 0.1 mg L−1 | 0.025 mg L−1 | 3 s |
| Oxygen | 0–250% sat | 1% sat | 0.1% sat | 3 s |
| pH | 1–13 | 0.01 | 0.001 | 3 s |
| Nobservations | Min | Max | Mean | Median | Dev. Std | 25th Percent. | 75th Percent. | Skewness | |
|---|---|---|---|---|---|---|---|---|---|
| Temperature (°C) | 704 | 3.4 | 30.1 | 16.4 | 15.4 | 7.2 | 9.6 | 22.8 | 0.1 |
| Salinity | 704 | 1.3 | 38.3 | 26.8 | 28.6 | 7.0 | 23.1 | 32.1 | −1.1 |
| Dissolved oxygen (mg L−1) | 698 | 3.8 | 15.0 | 8.6 | 8.4 | 1.8 | 7.4 | 9.6 | 0.5 |
| Chlorophyll a (μg L−1) | 670 | 0.10 | 29.28 | 1.08 | 0.70 | 1.75 | 0.50 | 1.08 | 5.70 |
| Nobservations | Min | Max | Mean | Median | Dev. Std | 25th Percent. | 75th Percent. | Skewness | |
|---|---|---|---|---|---|---|---|---|---|
| Nitrate (μM) | 686 | 0.4 | 366.6 | 45.9 | 27.7 | 52.3 | 10.4 | 62.9 | 2.4 |
| Nitrite (μM) | 672 | 0.03 | 5.59 | 0.88 | 0.70 | 0.72 | 0.38 | 1.22 | 1.96 |
| Ammonium (μM) | 671 | 0.05 | 29.32 | 3.56 | 2.70 | 3.13 | 1.56 | 4.67 | 2.43 |
| Total Nitrogen (μM) | 668 | 5.7 | 459.9 | 69.9 | 54.5 | 54.1 | 30.2 | 96.2 | 1.8 |
| Ortophosphate (μM) | 664 | 0.01 | 1.44 | 0.15 | 0.08 | 0.22 | 0.04 | 0.16 | 3.18 |
| Total Phosphorous (μM) | 669 | 0.01 | 4.68 | 0.33 | 0.20 | 0.47 | 0.09 | 0.37 | 4.18 |
| Silicate (μM) | 654 | 3.8 | 3674 | 49.1 | 32.2 | 45.9 | 18.0 | 65.6 | 2.4 |
| Temperature | Salinity | Chl a | O2 | N-NO2− | N-NH4+ | N-NO3− | P-PO43− | TN | TP | mm | |
|---|---|---|---|---|---|---|---|---|---|---|---|
| Temperature | 0.3697 | 0.5334 | −0.9032 | −0.0469 | 0.1798 | −0.5678 | −0.1067 | −0.6096 | 0.1826 | −0.0572 | |
| Salinity | 0.1919 | −0.3610 | −0.3148 | −0.1195 | −0.6509 | −0.3414 | −0.7081 | −0.1902 | −0.6385 | ||
| Chl a | −0.4792 | −0.0757 | 0.0645 | −0.3168 | 0.0349 | −0.1580 | 0.3414 | 0.0500 | |||
| O2 | 0.0391 | −0.3263 | 0.4987 | 0.0335 | 0.5485 | −0.2057 | −0.0065 | ||||
| N-NO2− | 0.4691 | 0.3928 | 0.1061 | 0.3364 | 0.0782 | 0.4514 | |||||
| N-NH4+ | 0.1017 | −0.0583 | 0.1362 | 0.1103 | 0.1754 | ||||||
| N-NO3− | 0.2607 | 0.7369 | 0.1028 | 0.4352 | |||||||
| P-PO43− | 0.2847 | 0.6294 | 0.2686 | ||||||||
| TN | 0.2391 | 0.4281 | |||||||||
| TP | 0.2373 | ||||||||||
| mm |
| KW: Spatial Variability (p) | KW: Seasonal Variability (p) | |
|---|---|---|
| Temperature | 0.1142 | 7.36 × 10−138 |
| Salinity | 5.71 × 10−44 | 1.67 × 10−8 |
| Dissolved oxygen | 0.5033 | 2.58 × 10−80 |
| Chlorophyll a | 0.0003 | 2.83 × 10−24 |
| Nitrate | 1.61 × 10−53 | 5.13 × 10−22 |
| Nitrite | 1.76 × 10−48 | 3.26 × 10−8 |
| Ammonium | 7.13 × 10−17 | 2.68 × 10−11 |
| Total Nitrogen | 6.72 × 10−73 | 3.21 × 10−8 |
| Ortophosphate | 1.34 × 10−13 | 1.64 × 10−9 |
| Total Phosphorous | 1.23 × 10−14 | 0.0637 |
Disclaimer/Publisher’s Note: The statements, opinions and data contained in all publications are solely those of the individual author(s) and contributor(s) and not of MDPI and/or the editor(s). MDPI and/or the editor(s) disclaim responsibility for any injury to people or property resulting from any ideas, methods, instructions or products referred to in the content. |
© 2024 by the authors. Licensee MDPI, Basel, Switzerland. This article is an open access article distributed under the terms and conditions of the Creative Commons Attribution (CC BY) license (https://creativecommons.org/licenses/by/4.0/).
Share and Cite
Acquavita, A.; Bettoso, N.; Blasutto, O.; Pittaluga, F.; Orlandi, C. Seasonal and Interannual Variability of the Trophic State in the Marano and Grado Lagoon (Adriatic Sea, Italy) during the 2011–2021 Period. Environments 2024, 11, 152. https://doi.org/10.3390/environments11070152
Acquavita A, Bettoso N, Blasutto O, Pittaluga F, Orlandi C. Seasonal and Interannual Variability of the Trophic State in the Marano and Grado Lagoon (Adriatic Sea, Italy) during the 2011–2021 Period. Environments. 2024; 11(7):152. https://doi.org/10.3390/environments11070152
Chicago/Turabian StyleAcquavita, Alessandro, Nicola Bettoso, Oriana Blasutto, Federico Pittaluga, and Claudia Orlandi. 2024. "Seasonal and Interannual Variability of the Trophic State in the Marano and Grado Lagoon (Adriatic Sea, Italy) during the 2011–2021 Period" Environments 11, no. 7: 152. https://doi.org/10.3390/environments11070152
APA StyleAcquavita, A., Bettoso, N., Blasutto, O., Pittaluga, F., & Orlandi, C. (2024). Seasonal and Interannual Variability of the Trophic State in the Marano and Grado Lagoon (Adriatic Sea, Italy) during the 2011–2021 Period. Environments, 11(7), 152. https://doi.org/10.3390/environments11070152

