Searching for the Profitability of Energy Crops: An Agroecological–Economic Land Use Suitability (AE-landUSE) Model
Abstract
1. Introduction
2. Materials and Methods
2.1. The Agroecological–Economic Land Use Suitability Model
- the effective rainfall (mm), namely, the part of the rainfall which plants effectively use;
- the correction factor depending on soil moisture (for the present study, it is assumed to be 1, which is the value in standard soil conditions);
- the total monthly rainfall (mm);
- the crop evapotranspiration, calculated by multiplying the reference crop evapotranspiration () by the crop coefficient ();
- the irrigation water requirement, calculated as the difference between and .
- is the sequence obtained by reordering the value of standardized criterion maps ;
- is the criterion weight reordered according to the value of ;
- α is the parameter associated with the RIM (Regular Increasing Monotone) linguistic quantifiers.
2.2. Case Study
3. Results and Discussions
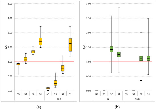
3.1. AE-landUSE Results
3.2. Sensitivity Analysis
4. Conclusions
Author Contributions
Funding
Data Availability Statement
Conflicts of Interest
Appendix A
| Suitability Classes | Description |
|---|---|
| S1, Highly suitable | Land having no significant limitations to sustained application for a given land use or only minor limitations. Nil to minor negative economic, environmental, health, and/or social outcomes. |
| S2, Moderately suitable | Land having limitations which in aggregate are moderately severe for sustained application of a given land use. Appreciably inferior to S1 land. Potential negative economic, environmental, health, and/or social outcomes if not adequately managed. |
| S3, Marginally suitable | Land having limitations which in aggregate are severe for sustained application of a given use. Moderate to high risk of negative economic, environmental, health, and/or social outcomes if not adequately managed. |
| N1, Not suitable | Land having limitations, which may be insurmountable. Limitations are so severe as to preclude successful sustained use of the land. Very high risk of negative economic, environmental, and/or social outcomes if not managed. |
| N2, Not suitable | Land having limitations, which appear so severe as to preclude any possibilities of successful sustained use of the land in the given manner. Almost certain risk of significant negative economic, environmental, and/or social outcomes. |
| Criterion Maps | Fuzzy Function | Criterion Value | Fuzzy Value | Criterion Weights | Ordered Weights |
|---|---|---|---|---|---|
| Crop-specific thermal index | Null * | - | - | 0.292 | 0.0315 |
| Seasonal rainfall deficit (mm) | Decreasing sigmoidal | 0 | 1.00 | 0.292 | 0.9684 |
| 50 | 0.00 | ||||
| Carbonates (% CaCO3) | User defined | <0.5 | 1.00 | 0.024 | 0.0000 |
| 0.5–1 | 1.00 | ||||
| 1–5 | 1.00 | ||||
| 5–10 | 1.00 | ||||
| 10–25 | 1.00 | ||||
| 25–40 | 0.93 | ||||
| >40 | 0.84 | ||||
| Soil depth (cm) | User defined | <25 | 0.58 | 0.073 | 0.0000 |
| 25–50 | 0.70 | ||||
| 50–100 | 0.90 | ||||
| 100–150 | 1.00 | ||||
| >150 | 1.00 | ||||
| Gravel (%) | User defined | 0 | 1.00 | 0.039 | 0.0000 |
| 1–5 | 0.90 | ||||
| 5–15 | 0.85 | ||||
| 15–35 | 0.65 | ||||
| 35–70 | 0.50 | ||||
| >70 | 0.20 | ||||
| Soil reaction (pH) | User defined | <4.5 | 0.75 | 0.024 | 0.0000 |
| 4.5–5.5 | 0.85 | ||||
| 5.6–6.5 | 0.92 | ||||
| 6.6–7.3 | 1.00 | ||||
| 7.4–7.8 | 0.95 | ||||
| 7.9–8.4 | 0.95 | ||||
| 8.5–9.0 | 0.90 | ||||
| Soil texture | User defined | Coarse | 0.65 | 0.128 | 0.0000 |
| Moderately coarse | 0.88 | ||||
| Medium | 0.88 | ||||
| Moderately fine | 0.95 | ||||
| Fine | 0.91 | ||||
| Drainage | User defined | Rapid | 0.70 | 0.128 | 0.0002 |
| Good | 0.93 | ||||
| Mediocre | 0.80 | ||||
| Slow | 0.70 | ||||
| Very slow | 0.50 | ||||
| Prevented | 0.30 |
| Criterion Maps | Fuzzy Function | Criterion Value | Fuzzy Value | Criterion Weights | Ordered Weights |
|---|---|---|---|---|---|
| Crop-specific thermal index | Null * | - | - | 0.289 | 0.1624 |
| Annual rainfall (mm) | Increasing sigmoidal | 450 | 0.00 | 0.289 | 0.0000 |
| 1000 | 1.00 | ||||
| Carbonates (% CaCO3) | User defined | <0.5 | 1.00 | 0.023 | 0.0000 |
| 0.5–1 | 1.00 | ||||
| 1–5 | 1.00 | ||||
| 5–10 | 1.00 | ||||
| 10–25 | 1.00 | ||||
| 25–40 | 0.90 | ||||
| >40 | 0.80 | ||||
| Soil depth (cm) | User defined | <25 | 0.58 | 0.129 | 0.0003 |
| 25–50 | 0.70 | ||||
| 50–100 | 0.90 | ||||
| 100–150 | 1.00 | ||||
| >150 | 1.00 | ||||
| Gravel (%) | User defined | 0 | 1.00 | 0.039 | 0.0953 |
| 1–5 | 0.90 | ||||
| 5–15 | 0.81 | ||||
| 15–35 | 0.70 | ||||
| 35–70 | 0.55 | ||||
| >70 | 0.35 | ||||
| Soil reaction (pH) | User defined | <4.5 | 0.80 | 0.023 | 0.0002 |
| 4.5–5.5 | 0.90 | ||||
| 5.6–6.5 | 0.92 | ||||
| 6.6–7.3 | 1.00 | ||||
| 7.4–7.8 | 0.95 | ||||
| 7.9–8.4 | 0.95 | ||||
| 8.5–9.0 | 0.90 | ||||
| Soil texture | User defined | Coarse | 0.70 | 0.085 | 0.0019 |
| Moderately coarse | 0.80 | ||||
| Medium | 0.90 | ||||
| Moderately fine | 1.00 | ||||
| Fine | 0.95 | ||||
| Drainage | User defined | Rapid | 0.70 | 0.126 | 0.7399 |
| Good | 0.90 | ||||
| Mediocre | 0.80 | ||||
| Slow | 0.70 | ||||
| Very slow | 0.50 | ||||
| Prevented | 0.30 |
References
- IEA. Net Zero by 2050; IEA: Paris, France, 2021. [Google Scholar]
- IEA. Net Zero Roadmap: A Global Pathway to Keep the 1.5 °C Goal in Reach; IEA: Paris, France, 2023. [Google Scholar]
- Oakleaf, J.R.; Kennedy, C.M.; Baruch-Mordo, S.; Gerber, J.S.; West, P.C.; Johnson, J.A.; Kiesecker, J. Mapping Global Development Potential for Renewable Energy, Fossil Fuels, Mining and Agriculture Sectors. Sci. Data 2019, 6, 101. [Google Scholar] [CrossRef] [PubMed]
- Vera, I.; Wicke, B.; Lamers, P.; Cowie, A.; Repo, A.; Heukels, B.; Zumpf, C.; Styles, D.; Parish, E.; Cherubini, F.; et al. Land Use for Bioenergy: Synergies and Trade-Offs between Sustainable Development Goals. Renew. Sustain. Energy Rev. 2022, 161, 112409. [Google Scholar] [CrossRef]
- Feng, Q.; Chaubey, I.; Engel, B.; Cibin, R.; Sudheer, K.P.; Volenec, J. Marginal Land Suitability for Switchgrass, Miscanthus and Hybrid Poplar in the Upper Mississippi River Basin (UMRB). Environ. Model. Softw. 2017, 93, 356–365. [Google Scholar] [CrossRef]
- Pulighe, G.; Bonati, G.; Colangeli, M.; Morese, M.M.; Traverso, L.; Lupia, F.; Khawaja, C.; Janssen, R.; Fava, F. Ongoing and Emerging Issues for Sustainable Bioenergy Production on Marginal Lands in the Mediterranean Regions. Renew. Sustain. Energy Rev. 2019, 103, 58–70. [Google Scholar] [CrossRef]
- Viccaro, M.; Cozzi, M.; Rocchi, B.; Romano, S. Conservation Agriculture to Promote Inland Biofuel Production in Italy: An Economic Assessment of Rapeseed Straight Vegetable Oil as a Self-Supply Agricultural Biofuel. J. Clean Prod. 2019, 217, 153–161. [Google Scholar] [CrossRef]
- Zegada-Lizarazu, W.; Monti, A. Energy Crops in Rotation. A Review. Biomass Bioenergy 2011, 35, 12–25. [Google Scholar] [CrossRef]
- Pulighe, G.; Pirelli, T. Assessing the Sustainability of Bioenergy Pathways through a Land-Water-Energy Nexus Approach. Renew. Sustain. Energy Rev. 2023, 184, 113539. [Google Scholar] [CrossRef]
- Leirpoll, M.E.; Næss, J.S.; Cavalett, O.; Dorber, M.; Hu, X.; Cherubini, F. Optimal Combination of Bioenergy and Solar Photovoltaic for Renewable Energy Production on Abandoned Cropland. Renew Energy 2021, 168, 45–56. [Google Scholar] [CrossRef]
- Helliwell, R. Where Did the Marginal Land Go? Farmers Perspectives on Marginal Land and Its Implications for Adoption of Dedicated Energy Crops. Energy Policy 2018, 117, 166–172. [Google Scholar] [CrossRef]
- Ji, L.; Zheng, Z.; Wu, T.; Xie, Y.; Liu, Z.; Huang, G.; Niu, D. Synergetic Optimization Management of Crop-Biomass Coproduction with Food-Energy-Water Nexus under Uncertainties. J. Clean Prod. 2020, 258, 120645. [Google Scholar] [CrossRef]
- Silalertruksa, T.; Gheewala, S.H. Land-Water-Energy Nexus of Sugarcane Production in Thailand. J. Clean Prod. 2018, 182, 521–528. [Google Scholar] [CrossRef]
- Moioli, E.; Salvati, F.; Chiesa, M.; Siecha, R.T.; Manenti, F.; Laio, F.; Rulli, M.C. Analysis of the Current World Biofuel Production under a Water–Food–Energy Nexus Perspective. Adv. Water Resour. 2018, 121, 22–31. [Google Scholar] [CrossRef] [PubMed]
- Viccaro, M.; Caniani, D.; Masi, S.; Romano, S.; Cozzi, M. Biofuels or Not Biofuels? The “Nexus Thinking” in Land Suitability Analysis for Energy Crops. Renew Energy 2022, 187, 1050–1064. [Google Scholar] [CrossRef]
- Förster, M.; Helms, Y.; Herberg, A.; Köppen, A.; Kunzmann, K.; Radtke, D.; Ross, L.; Itzerott, S. A Site-Related Suitability Analysis for the Production of Biomass as a Contribution to Sustainable Regional Land-Use. Environ. Manag. 2008, 41, 584–598. [Google Scholar] [CrossRef] [PubMed]
- Cortez-Núñez, J.A.; Gutiérrez-Castillo, M.E.; Mena-Cervantes, V.Y.; Terán-Cuevas, Á.R.; Tovar-Gálvez, L.R.; Velasco, J. A GIS Approach Land Suitability and Availability Analysis of Jatropha Curcas L. Growth in Mexico as a Potential Source for Biodiesel Production. Energies 2020, 13, 5888. [Google Scholar] [CrossRef]
- Tapia, J.F.D.; Doliente, S.S.; Samsatli, S. How Much Land Is Available for Sustainable Palm Oil? Land Use Policy 2021, 102, 105187. [Google Scholar] [CrossRef]
- Jaroenkietkajorn, U.; Gheewala, S.H. Land Suitability Assessment for Oil Palm Plantations in Thailand. Sustain. Prod. Consum. 2021, 28, 1104–1113. [Google Scholar] [CrossRef]
- Romano, S.; Cozzi, M.; Viccaro, M.; Di Napoli, F. The Green Economy for Sustainable Development: A Spatial Multi-Criteria Analysis—Ordered Weighted Averaging Approach in the Siting Process for Short Rotation Forestry in the Basilicata Region, Italy. Ital. J. Agron. 2013, 8, 21. [Google Scholar] [CrossRef]
- FAO. A Framework for Land Evaluation. Available online: https://www.fao.org/3/x5310e/x5310e00.htm (accessed on 8 December 2021).
- Weitz, N.; Huber-Lee, A.; Nilsson, M.; Davis, M.; Hoff, H. Cross-Sectoral Integration in the Sustainable Development Goals: A Nexus Approach (Discussion Brief); JSTOR: Stockholm, Sweden, 2015. [Google Scholar]
- Flammini, A.; Puri, M.; Pluschke, L.; Dubois, O. Walking the Nexus Talk: Assessing the Water-Energy-Food Nexus in the Context of the Sustainable Energy for All Initiative; Environment and Natural Resources Working Paper; FAO: Rome, Italy, 2014. [Google Scholar]
- Cremades, R.; Mitter, H.; Tudose, N.C.; Sanchez-Plaza, A.; Graves, A.; Broekman, A.; Bender, S.; Giupponi, C.; Koundouri, P.; Bahri, M.; et al. Ten Principles to Integrate the Water-Energy-Land Nexus with Climate Services for Co-Producing Local and Regional Integrated Assessments. Sci. Total Environ. 2019, 693, 133662. [Google Scholar] [CrossRef]
- Zhang, C.; Chen, X.; Li, Y.; Ding, W.; Fu, G. Water-Energy-Food Nexus: Concepts, Questions and Methodologies. J Clean Prod 2018, 195, 625–639. [Google Scholar] [CrossRef]
- Zahraee, S.M.; Shiwakoti, N.; Stasinopoulos, P. A Review on Water-Energy-Greenhouse Gas Nexus of the Bioenergy Supply and Production System. Curr. Sustain. Renew. Energy Rep. 2020, 7, 28–39. [Google Scholar] [CrossRef]
- Chhipi-Shrestha, G.; Hewage, K.; Sadiq, R. Water–Energy–Carbon Nexus Modeling for Urban Water Systems: System Dynamics Approach. J Water Resour Plan Manag 2017, 143, 04017016. [Google Scholar] [CrossRef]
- Rulli, M.C.; Bellomi, D.; Cazzoli, A.; De Carolis, G.; D’Odorico, P. The Water-Land-Food Nexus of First-Generation Biofuels. Sci. Rep. 2016, 6, 1–10. [Google Scholar] [CrossRef] [PubMed]
- Hamidov, A.; Helming, K. Sustainability Considerations in Water-Energy-Food Nexus Research in Irrigated Agriculture. Sustainability 2020, 12, 6274. [Google Scholar] [CrossRef]
- Pappalardo, G.; Chinnici, G.; Pecorino, B. Assessing the Economic Feasibility of High Heat Treatment, Using Evidence Obtained from Pasta Factories in Sicily (Italy). J. Clean. Prod. 2017, 142, 2435–2445. [Google Scholar] [CrossRef]
- Cozzi, M.; Napoli, F.D.; Viccaro, M.; Fagarazzi, C.; Romano, S. Ordered Weight Averaging Multicriteria Procedure and Cost-Effectiveness Analysis for Short Rotation Forestry in the Basilicata Region, Italy. Int. J. Glob. Energy Issues 2014, 37, 282. [Google Scholar] [CrossRef]
- Viccaro, M.; Cozzi, M.; Caniani, D.; Masi, S.; Mancini, I.; Caivano, M.; Romano, S. Wastewater Reuse: An Economic Perspective to Identify Suitable Areas for Poplar Vegetation Filter Systems for Energy Production. Sustainability 2017, 9, 2161. [Google Scholar] [CrossRef]
- Djaman, K.; O’Neill, M.; Owen, C.; Smeal, D.; West, M.; Begay, D.; Angadi, S.; Koudahe, K.; Allen, S.; Lombard, K. Seed Yield and Water Productivity of Irrigated Winter Canola (Brassica Napus L.) under Semiarid Climate and High Elevation. Agronomy 2018, 8, 90. [Google Scholar] [CrossRef]
- FAO. Crop Evapotranspiration-Guidelines for Computing Crop Water Requirements; FAO Irrigation and Drainage Paper 56; FAO: Rome, Italy, 2021. [Google Scholar]
- Gominho, J.; Curt, M.D.; Lourenço, A.; Fernández, J.; Pereira, H. Cynara cardunculus L. as a Biomass and Multi-Purpose Crop: A Review of 30 Years of Research. Biomass Bioenergy 2018, 109, 257–275. [Google Scholar] [CrossRef]
- Liu, C.; Plaza-Bonilla, D.; Coulter, J.A.; Kutcher, H.R.; Beckie, H.J.; Wang, L.; Floc’h, J.-B.; Hamel, C.; Siddique, K.H.M.; Li, L.; et al. Diversifying Crop Rotations Enhances Agroecosystem Services and Resilience. Adv. Agron. 2022, 173, 299–335. [Google Scholar]
- Malczewski, J. GIS-Based Land-Use Suitability Analysis: A Critical Overview. Prog. Plann. 2004, 62, 3–65. [Google Scholar] [CrossRef]
- Pilevar, A.R.; Matinfar, H.R.; Sohrabi, A.; Sarmadian, F. Integrated Fuzzy, AHP and GIS Techniques for Land Suitability Assessment in Semi-Arid Regions for Wheat and Maize Farming. Ecol. Indic. 2020, 110, 105887. [Google Scholar] [CrossRef]
- Ramamurthy, V.; Reddy, G.P.O.; Kumar, N. Assessment of Land Suitability for Maize (Zea mays L.) in Semi-Arid Ecosystem of Southern India Using Integrated AHP and GIS Approach. Comput. Electron. Agric. 2020, 179, 105806. [Google Scholar] [CrossRef]
- Mokarram, M.; Hojati, M. Using Ordered Weight Averaging (OWA) Aggregation for Multi-Criteria Soil Fertility Evaluation by GIS (Case Study: Southeast Iran). Comput. Electron. Agric. 2017, 132, 1–13. [Google Scholar] [CrossRef]
- Yager, R.R. Quantifier Guided Aggregation Using OWA Operators. Int. J. Intell. Syst. 1998, 11, 49–73. [Google Scholar] [CrossRef]
- Malczewski, J. Ordered Weighted Averaging with Fuzzy Quantifiers: GIS-Based Multicriteria Evaluation for Land-Use Suitability Analysis. Int. J. Appl. Earth Obs. Geoinf. 2006, 8, 270–277. [Google Scholar] [CrossRef]
- Zadeh, L.A. Fuzzy Sets. Inf. Control 1965, 8, 338–353. [Google Scholar] [CrossRef]
- Eastman, J.R. IDRISI Selva Manual, Manual Version 17.01; Clark University: Worcester, MA, USA, 2012. [Google Scholar]
- Saaty, T.L. A Scaling Method for Priorities in Hierarchical Structures. J Math Psychol 1977, 15, 234–281. [Google Scholar] [CrossRef]
- QGIS Un Sistema di Informazione Geografica Libero e Open Source. Available online: https://qgis.org/it/site/ (accessed on 28 April 2024).
- Francaviglia, R.; Bruno, A.; Falcucci, M.; Farina, R.; Renzi, G.; Russo, D.E.; Sepe, L.; Neri, U. Yields and Quality of Cynara cardunculus L. Wild and Cultivated Cardoon Genotypes. A Case Study from a Marginal Land in Central Italy. Eur. J. Agron. 2016, 72, 10–19. [Google Scholar] [CrossRef]
- Angelini, L.G.; Ceccarini, L.; Nassi o Di Nasso, N.; Bonari, E. Long-Term Evaluation of Biomass Production and Quality of Two Cardoon (Cynara cardunculus L.) Cultivars for Energy Use. Biomass Bioenergy 2009, 33, 810–816. [Google Scholar] [CrossRef]
- Ludwig, F.; Biemans, H.; Jacobs, C.; Supit, I.; van Diepen, K.; Fawell, J. Water Use of Oil Crops: Current Water Use and Future Outlooks; ILSI Europe: Bruxelles, Belgium, 2011. [Google Scholar]
- Mauromicale, G.; Pesce, G.R.; Curt, M.D.; Fernández, J.; González, J.; Gominho, J.; Tabla, R.; Roa, I.; Portis, E. Cynara cardunculus as a Multiuse Crop. In The Globe Artichoke Genome. Compendium of Plant Genomes; Portis, E., Acquadro, A., Lanteri, S., Eds.; Springer: Cham, Switzerland, 2019; pp. 65–98. ISBN 0802000000215. [Google Scholar]
- Chen, S.J.; Hwang, C.L. Fuzzy Multiple Attribute Decision Making: Methods and Applications; Springer: Berlin/Heidelberg, Germany, 1992. [Google Scholar]
- Doula, M.K.; Moreno-Ortego, J.L.; Tinivella, F.; Inglezakis, V.J.; Sarris, A.; Komnitsas, K. Olive Mill Waste: Recent Advances for the Sustainable Development of Olive Oil Industry. In Olive Mill Waste; Elsevier: Amsterdam, The Netherlands, 2017; pp. 29–56. [Google Scholar]





| Costs | Cardoon | Rapeseed |
|---|---|---|
| Ploughing (45–50 cm) | 117 | 117 |
| Pulling up | 44 | |
| Harrowing | 48 | 48 |
| Fertilizer application (at sowing) | 24 | 24 |
| Nitrogen application (top dressing) | 24 | |
| Seeding | 40 | 40 |
| Rolling | 35 | |
| Herbicide spraying | 32 | |
| Threshing | 109 | |
| Crop residues chopping | 41 | |
| Certified seeds | 207 | 80 |
| Phosphoric fertilizer (300 kg ha−1) | 132 | |
| NP fertilizer (at sowing) | 120 | |
| Nitrogen fertilizer (top dressing) | 94 | |
| Herbicides | 39 | |
| Total establishment costs per ha | 612 | 803 |
| Costs (second year onwards) | ||
| Nitrogen fertilizer | 24 | |
| Harvesting of total biomass | 210 | |
| Urea (150 kg ha−1) | 68 | |
| Total yearly costs per ha | 302 |
| Energy Crops | NS | S3 | S2 | S1 | Total |
|---|---|---|---|---|---|
| Rapeseed | |||||
| Land per suitability class (ha) | 59,188 | 287,814 | 27,786 | 5562 | 380,350 |
| Land with B/C > 1 (ha) | 0 | 0 | 1984 | 5562 | 7546 |
| Cardoon | |||||
| Land per suitability class (ha) | 0 | 0 | 39,425 | 340,925 | 380,350 |
| Land with B/C > 1 (ha) | 0 | 0 | 32,318 | 291,746 | 324,064 |
| Energy Crops | NS | S3 | S2 | S1 | Total | |
|---|---|---|---|---|---|---|
| Rapeseed | ||||||
| Land (ha) | 59,188 | 287,814 | 27,786 | 5562 | 380,350 | |
| Land with B/C > 1 (ha) | 0 | 0 | 1984 | 5562 | 7546 | |
| Land with B/C > 1 (ha) | 0 | 264,685 | 27,786 | 5562 | 297,960 | |
| Cardoon | ||||||
| Land (ha) | 0 | 0 | 39,425 | 340,925 | 380,350 | |
| Land with B/C > 1 (ha) | 0 | 0 | 32,318 | 291,746 | 324,064 | |
| Land with B/C > 1 (ha) | 0 | 0 | 39,180 | 335,948 | 375,129 | |
Disclaimer/Publisher’s Note: The statements, opinions and data contained in all publications are solely those of the individual author(s) and contributor(s) and not of MDPI and/or the editor(s). MDPI and/or the editor(s) disclaim responsibility for any injury to people or property resulting from any ideas, methods, instructions or products referred to in the content. |
© 2024 by the authors. Licensee MDPI, Basel, Switzerland. This article is an open access article distributed under the terms and conditions of the Creative Commons Attribution (CC BY) license (https://creativecommons.org/licenses/by/4.0/).
Share and Cite
Viccaro, M.; Romano, S.; Rosalia, I.; Cozzi, M. Searching for the Profitability of Energy Crops: An Agroecological–Economic Land Use Suitability (AE-landUSE) Model. Environments 2024, 11, 91. https://doi.org/10.3390/environments11050091
Viccaro M, Romano S, Rosalia I, Cozzi M. Searching for the Profitability of Energy Crops: An Agroecological–Economic Land Use Suitability (AE-landUSE) Model. Environments. 2024; 11(5):91. https://doi.org/10.3390/environments11050091
Chicago/Turabian StyleViccaro, Mauro, Severino Romano, Immacolata Rosalia, and Mario Cozzi. 2024. "Searching for the Profitability of Energy Crops: An Agroecological–Economic Land Use Suitability (AE-landUSE) Model" Environments 11, no. 5: 91. https://doi.org/10.3390/environments11050091
APA StyleViccaro, M., Romano, S., Rosalia, I., & Cozzi, M. (2024). Searching for the Profitability of Energy Crops: An Agroecological–Economic Land Use Suitability (AE-landUSE) Model. Environments, 11(5), 91. https://doi.org/10.3390/environments11050091

