Biogenic ZnO Nanoparticles Effectively Alleviate Cadmium-Induced Stress in Durum Wheat (Triticum durum Desf.) Plants
Abstract
1. Introduction
2. Materials and Methods
2.1. Biogenic Synthesis of ZnO-NPs
2.2. Plant Growth Conditions
2.3. Chlorophyll Content
2.4. Determination of Malondialdehyde (MDA) Concentration
2.5. Determination of Concentration of Non-Protein Thiol Compounds
2.6. Determination of S, Zn, Fe, and Cd Concentrations
2.7. Gene Expression Analysis
2.8. Statistical Analysis
3. Results
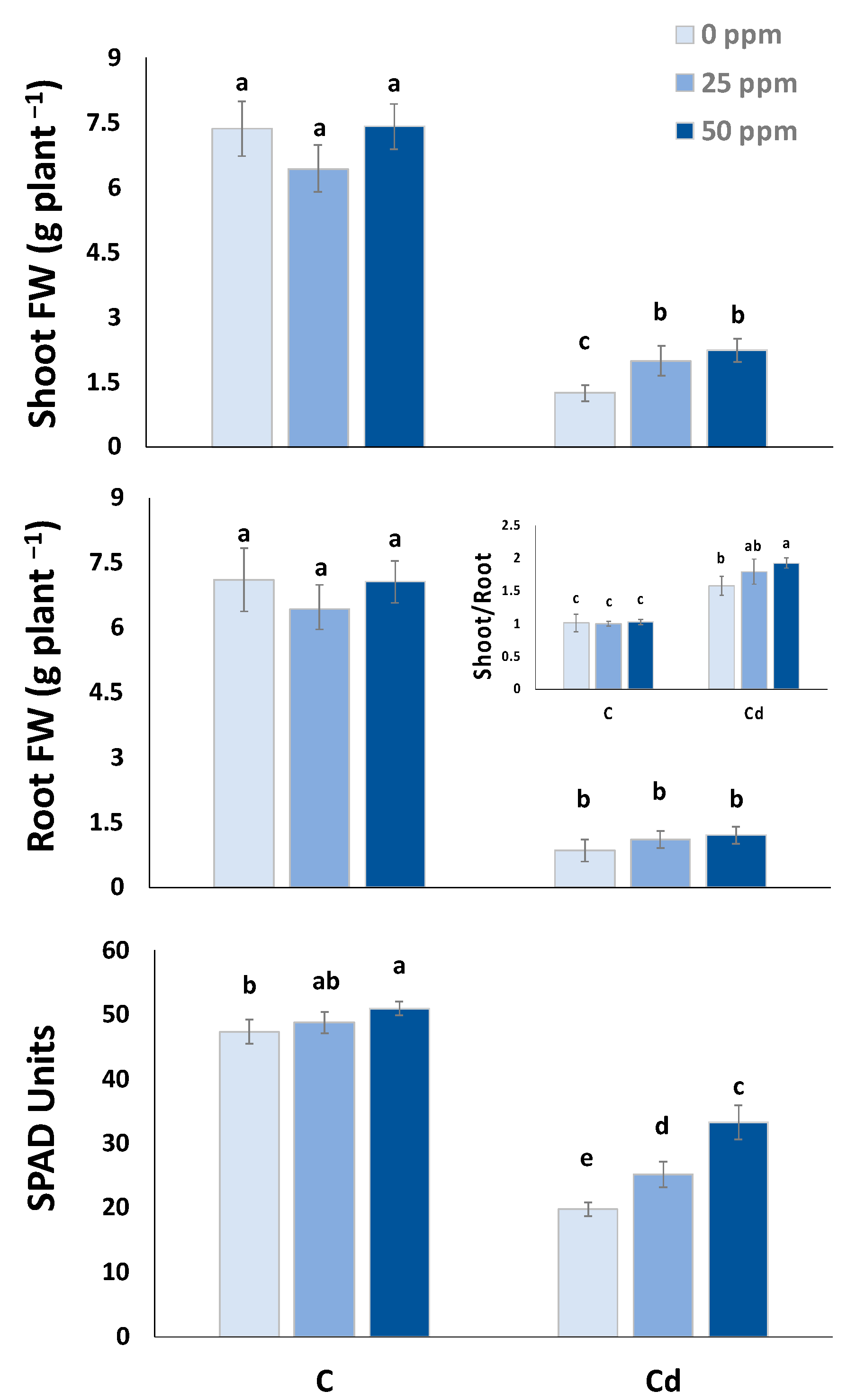
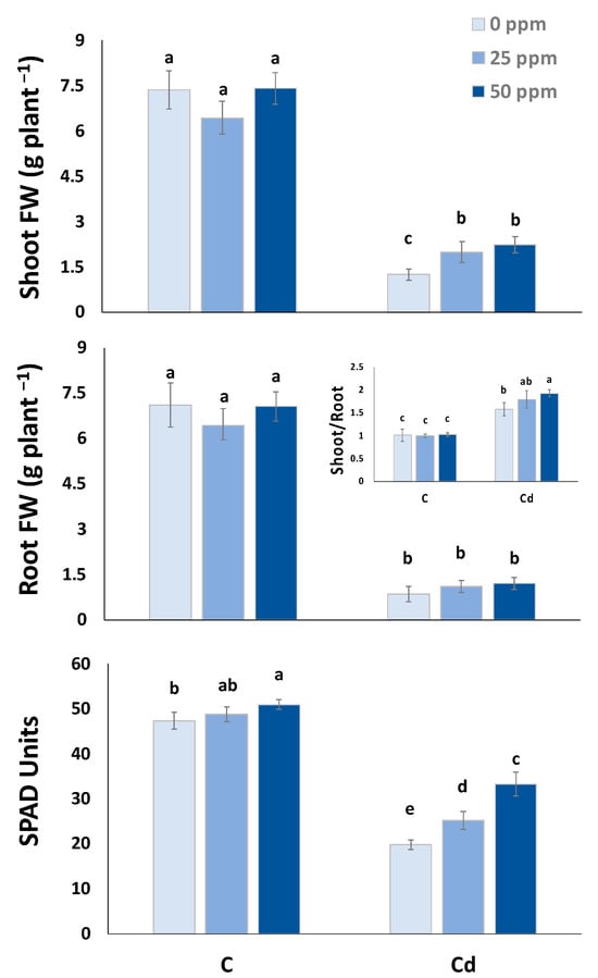
3.1. Biomass Production and Chlorophyll Content
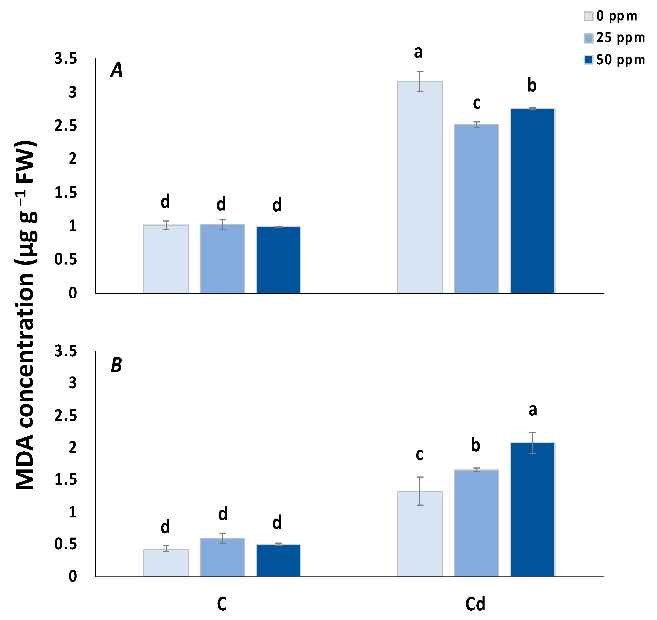
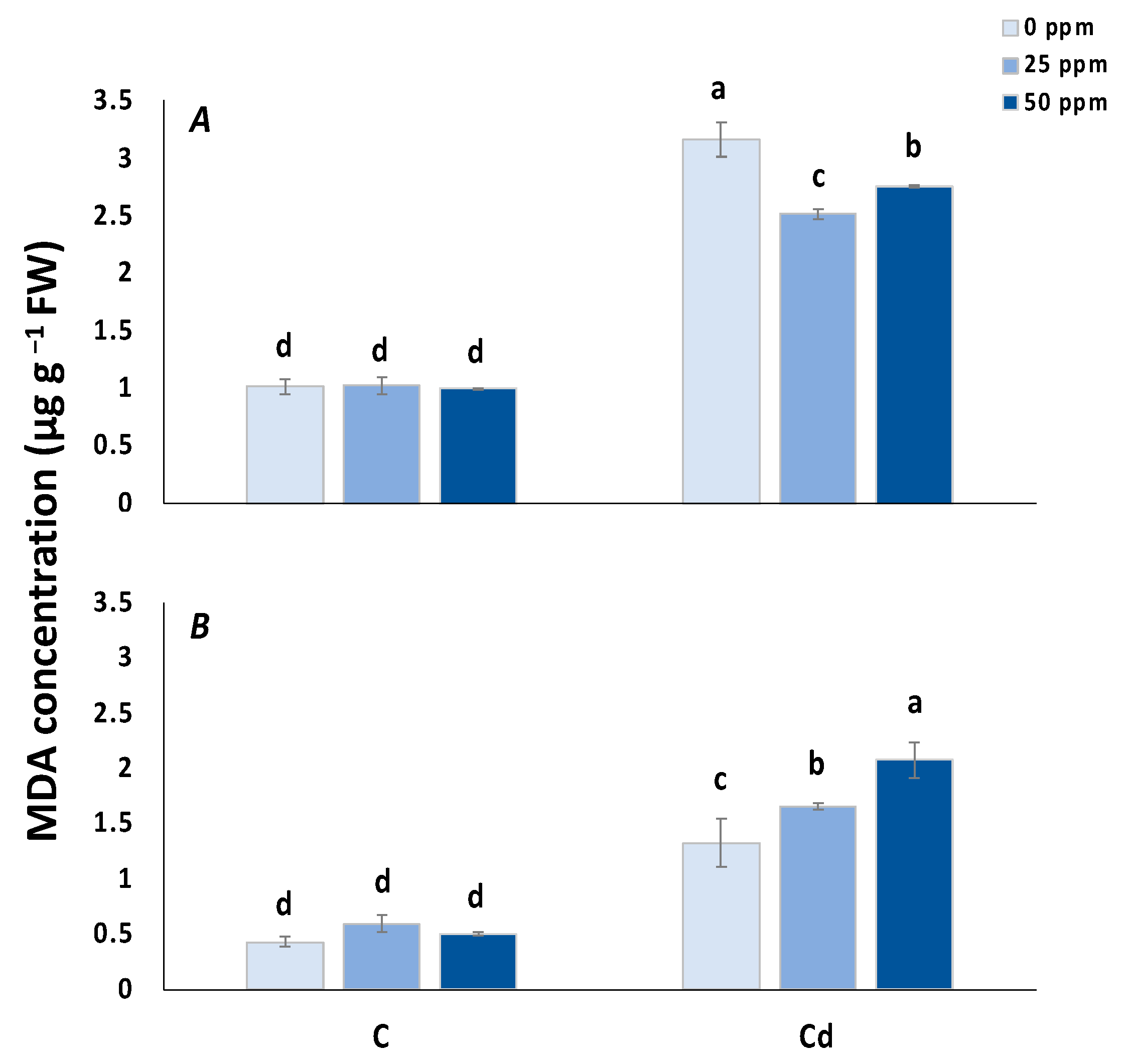
3.2. Oxidative Damage
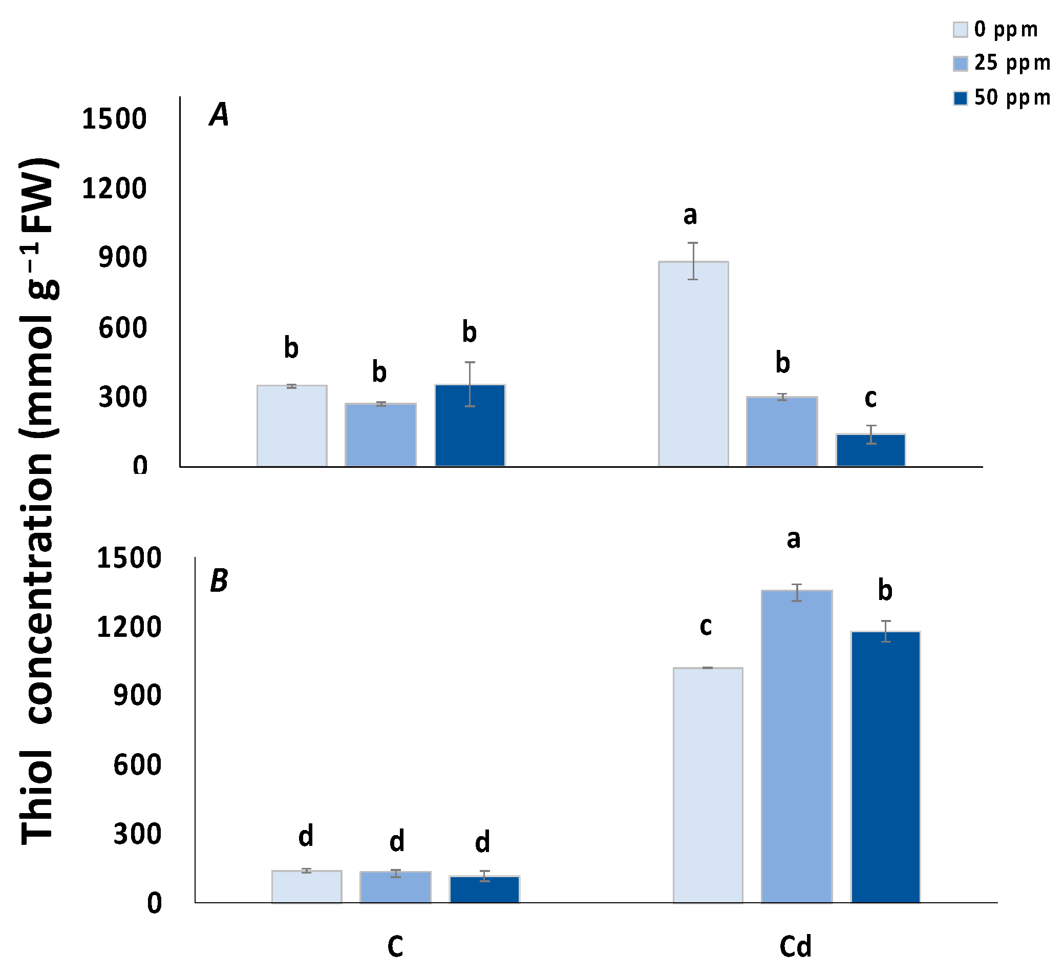
3.3. Defensive Response
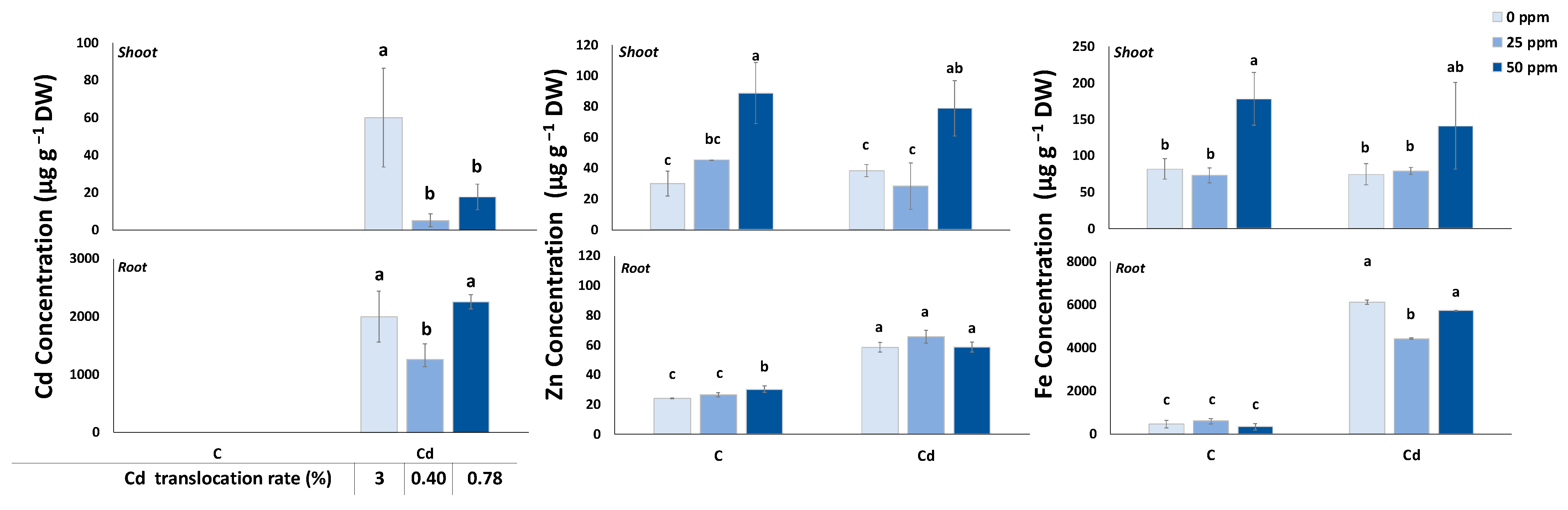
3.4. Changes in Cd, Zn, and Fe Concentration
3.5. Changes in Plant Total S Concentration and Expression of Two High-Affinity Sulfate Transporter (TdSultr1.1 and TdSultr1.3) in Root Tissues
3.6. Correlation Analysis
4. Discussion
Supplementary Materials
Author Contributions
Funding
Data Availability Statement
Acknowledgments
Conflicts of Interest
References
- Kopittke, P.M.; Minasny, B.; Pendall, E.; Rumpel, C.; Mc Kenna, B.A. Healthy Soil for Healthy Humans and a Healthy Planet. Crit. Rev. Environ. Sci. Technol. 2023, 54, 210–221. [Google Scholar] [CrossRef]
- Mora, O.; Le Mouël, C.; de Lattre-Gasquet, M.; Donnars, C.; Dumas, P.; Réchauchère, O.; Brunelle, T.; Manceron, S.; Marajo-Petitzon, E.; Moreau, C.; et al. Exploring the Future of Land Use and Food Security: A New Set of Global Scenarios. PLoS ONE 2020, 15, e0235597. [Google Scholar] [CrossRef] [PubMed]
- Rizwan, M.; Ali, S.; Adrees, M.; Ibrahim, M.; Tsang, D.C.W.; Zia-ur-Rehman, M.; Zahir, Z.A.; Rinklebe, J.; Tack, F.M.G.; Ok, Y.S. A Critical Review on Effects, Tolerance Mechanisms and Management of Cadmium in Vegetables. Chemosphere 2017, 182, 90–105. [Google Scholar] [CrossRef] [PubMed]
- Khan, M.A.; Khan, S.; Khan, A.; Alam, M. Soil Contamination with Cadmium, Consequences and Remediation Using Organic Amendments. Sci. Total Environ. 2017, 601–602, 1591–1605. [Google Scholar] [CrossRef] [PubMed]
- Rezapour, S.; Atashpaz, B.; Moghaddam, S.S.; Damalas, C.A. Heavy Metal Bioavailability and Accumulation in Winter Wheat (Triticum aestivum L.) Irrigated with Treated Wastewater in Calcareous Soils. Sci. Total Environ. 2019, 656, 261–269. [Google Scholar] [CrossRef]
- Pan, L.; Ma, J.; Wang, X.; Hou, H. Heavy Metals in Soils from a Typical County in Shanxi Province, China: Levels, Sources and Spatial Distribution. Chemosphere 2016, 148, 248–254. [Google Scholar] [CrossRef]
- Mubeen, S.; Ni, W.; He, C. Agricultural Strategies to Reduce Cadmium Accumulation in Crops for Food Safety. Agriculture 2023, 13, 471. [Google Scholar] [CrossRef]
- Jawad Hassan, M.; Ali Raza, M.; Ur Rehman, S.; Ansar, M.; Gitari, H.; Khan, I.; Wajid, M.; Ahmed, M.; Abbas Shah, G.; Peng, Y.; et al. Effect of Cadmium Toxicity on Growth, Oxidative Damage, Antioxidant Defense System and Cadmium Accumulation in Two Sorghum Cultivars. Plants 2020, 9, 1575. [Google Scholar] [CrossRef]
- Haider, F.U.; Liqun, C.; Coulter, J.A.; Cheema, S.A.; Wu, J.; Zhang, R.; Wenjun, M.; Farooq, M. Cadmium Toxicity in Plants: Impacts and Remediation Strategies. Ecotoxicol. Environ. Saf. 2021, 211, 111887. [Google Scholar] [CrossRef]
- Baig, N.; Ihsanullah; Sajid, M.; Saleh, T.A. Graphene-Based Adsorbents for the Removal of Toxic Organic Pollutants: A Review. J. Environ. Manag. 2019, 244, 370–382. [Google Scholar] [CrossRef]
- Hasanuzzaman, M.; Nahar, K.; Anee, T.I.; Fujita, M. Glutathione in Plants: Biosynthesis and Physiological Role in Environmental Stress Tolerance. Physiol. Mol. Biol. Plants 2017, 23, 249–268. [Google Scholar] [CrossRef] [PubMed]
- Sanità di Toppi, L.; Gabbrielli, R. Response to Cadmium in Higher Plants. Environ. Exp. Bot. 1999, 41, 105–130. [Google Scholar] [CrossRef]
- Thomas, M. A Comparative Study of the Factors Affecting Uptake and Distribution of Cd with Ni in Barley. Plant Physiol. Biochem. 2021, 162, 730–736. [Google Scholar] [CrossRef] [PubMed]
- Nocito, F.F.; Lancilli, C.; Crema, B.; Fourcroy, P.; Davidian, J.-C.; Sacchi, G.A. Heavy Metal Stress and Sulfate Uptake in Maize Roots. Plant Physiol. 2006, 141, 1138–1148. [Google Scholar] [CrossRef]
- Astolfi, S.; Zuchi, S.; Neumann, G.A.; Cesco, S.; Sanità Di Toppi, L.; Pinton, R. Response of Barley Plants to Fe Deficiency and Cd Contamination as Affected by S Starvation. J. Exp. Bot. 2012, 63, 1241–1250. [Google Scholar] [CrossRef]
- Lancilli, C.; Giacomini, B.; Lucchini, G.; Davidian, J.-C.; Cocucci, M.; Sacchi, G.A.; Nocito, F.F. Cadmium Exposure and Sulfate Limitation Reveal Differences in the Transcriptional Control of Three Sulfate Transporter (Sultr1;2) Genes in Brassica juncea. BMC Plant Biol. 2014, 14, 132. [Google Scholar] [CrossRef]
- Yamaguchi, C.; Takimoto, Y.; Ohkama-Ohtsu, N.; Hokura, A.; Shinano, T.; Nakamura, T.; Suyama, A.; Maruyama-Nakashita, A. Effects of Cadmium Treatment on the Uptake and Translocation of Sulfate in Arabidopsis thaliana. Plant Cell Physiol. 2016, 57, 2353–2366. [Google Scholar] [CrossRef]
- Lyčka, M.; Barták, M.; Helia, O.; Kopriva, S.; Moravcová, D.; Hájek, J.; Fojt, L.; Čmelík, R.; Fajkus, J.; Fojtová, M. Sulfate Supplementation Affects Nutrient and Photosynthetic Status of Arabidopsis thaliana and Nicotiana tabacum Differently under Prolonged Exposure to Cadmium. J. Hazard. Mater. 2023, 445, 130527. [Google Scholar] [CrossRef]
- Dafré, A.L.; Sies, H.; Akerboom, T. Protein S-Thiolation and Regulation of Microsomal Glutathione Transferase Activity by the Glutathione Redox Couple. Arch. Biochem. Biophys. 1996, 332, 288–294. [Google Scholar] [CrossRef]
- Ramos, I.; Esteban, E.; Lucena, J.J.; Gárate, A. Cadmium Uptake and Subcellular Distribution in Plants of Lactuca Sp. Cd–Mn Interaction. Plant Sci. 2002, 162, 761–767. [Google Scholar] [CrossRef]
- Astolfi, S.; Zuchi, S.; Passera, C. Effect of Cadmium on H+ATPase Activity of Plasma Membrane Vesicles Isolated from Roots of Different S-Supplied Maize (Zea mays L.) Plants. Plant Sci. 2005, 169, 361–368. [Google Scholar] [CrossRef]
- Hasan, S.A.; Fariduddin, Q.; Ali, B.; Hayat, S.; Ahmad, A. Cadmium: Toxicity and Tolerance in Plants. J. Environ. Biol. 2009, 30, 165–174. [Google Scholar] [PubMed]
- Clemens, S. Toxic Metal Accumulation, Responses to Exposure and Mechanisms of Tolerance in Plants. Biochimie 2006, 88, 1707–1719. [Google Scholar] [CrossRef] [PubMed]
- Raza, A.; Habib, M.; Kakavand, S.N.; Zahid, Z.; Zahra, N.; Sharif, R.; Hasanuzzaman, M. Phytoremediation of Cadmium: Physiological, Biochemical, and Molecular Mechanisms. Biology 2020, 9, 177. [Google Scholar] [CrossRef] [PubMed]
- Faizan, M.; Bhat, J.A.; Hessini, K.; Yu, F.; Ahmad, P. Zinc Oxide Nanoparticles Alleviates the Adverse Effects of Cadmium Stress on Oryza Sativa via Modulation of the Photosynthesis and Antioxidant Defense System. Ecotoxicol. Environ. Saf. 2021, 220, 112401. [Google Scholar] [CrossRef]
- Tolisano, C.; Del Buono, D. Biobased: Biostimulants and Biogenic Nanoparticles Enter the Scene. Sci. Total Environ. 2023, 885, 163912. [Google Scholar] [CrossRef]
- Khalid, K.; Tan, X.; Mohd Zaid, H.F.; Tao, Y.; Lye Chew, C.; Chu, D.-T.; Lam, M.K.; Ho, Y.-C.; Lim, J.W.; Chin Wei, L. Advanced in Developmental Organic and Inorganic Nanomaterial: A Review. Bioengineered 2020, 11, 328–355. [Google Scholar] [CrossRef]
- Fraceto, L.F.; Grillo, R.; de Medeiros, G.A.; Scognamiglio, V.; Rea, G.; Bartolucci, C. Nanotechnology in Agriculture: Which Innovation Potential Does It Have? Front. Environ. Sci. 2016, 4, 186737. [Google Scholar] [CrossRef]
- Shang, Y.; Hasan, M.K.; Ahammed, G.J.; Li, M.; Yin, H.; Zhou, J. Applications of Nanotechnology in Plant Growth and Crop Protection: A Review. Molecules 2019, 24, 2558. [Google Scholar] [CrossRef]
- Chhipa, H. Nanofertilizers and Nanopesticides for Agriculture. Environ. Chem. Lett. 2016, 15, 15–22. [Google Scholar] [CrossRef]
- Rastogi, A.; Tripathi, D.K.; Yadav, S.; Chauhan, D.K.; Živčák, M.; Ghorbanpour, M.; El-Sheery, N.I.; Brestic, M. Application of Silicon Nanoparticles in Agriculture. 3 Biotech 2019, 9, 90. [Google Scholar] [CrossRef] [PubMed]
- Hussain, A.; Ali, S.; Rizwan, M.; Zia ur Rehman, M.; Javed, M.R.; Imran, M.; Chatha, S.A.S.; Nazir, R. Zinc Oxide Nanoparticles Alter the Wheat Physiological Response and Reduce the Cadmium Uptake by Plants. Environ. Pollut. 2018, 242, 1518–1526. [Google Scholar] [CrossRef] [PubMed]
- Adrees, M.; Khan, Z.S.; Hafeez, M.; Rizwan, M.; Hussain, K.; Asrar, M.; Alyemeni, M.N.; Wijaya, L.; Ali, S. Foliar Exposure of Zinc Oxide Nanoparticles Improved the Growth of Wheat (Triticum aestivum L.) and Decreased Cadmium Concentration in Grains under Simultaneous Cd and Water Deficient Stress. Ecotoxicol. Environ. Saf. 2021, 208, 111627. [Google Scholar] [CrossRef] [PubMed]
- Del Buono, D.; Di Michele, A.; Costantino, F.; Trevisan, M.; Lucini, L. Biogenic ZnO Nanoparticles Synthesized Using a Novel Plant Extract: Application to Enhance Physiological and Biochemical Traits in Maize. Nanomaterials 2021, 11, 1270. [Google Scholar] [CrossRef] [PubMed]
- Kumar, R.; Verma, A.; Rakib, M.R.J.; Gupta, P.K.; Sharma, P.; Garg, A.; Girard, P.; Aminabhavi, T.M. Adsorptive Behavior of Micro(Nano)Plastics through Biochar: Co-Existence, Consequences, and Challenges in Contaminated Ecosystems. Sci. Total Environ. 2023, 856, 159097. [Google Scholar] [CrossRef]
- Srivastav, A.; Ganjewala, D.; Singhal, R.K.; Rajput, V.D.; Minkina, T.; Voloshina, M.; Srivastava, S.; Shrivastava, M. Effect of ZnO Nanoparticles on Growth and Biochemical Responses of Wheat and Maize. Plants 2021, 10, 2556. [Google Scholar] [CrossRef]
- Venkatachalam, P.; Jayaraj, M.; Manikandan, R.; Geetha, N.; Rene, E.R.; Sharma, N.C.; Sahi, S.V. Zinc Oxide Nanoparticles (ZnONPs) Alleviate Heavy Metal-Induced Toxicity in Leucaena Leucocephala Seedlings: A Physiochemical Analysis. Plant Physiol. Biochem. 2017, 110, 59–69. [Google Scholar] [CrossRef]
- Tan, L.; Qu, M.; Zhu, Y.; Peng, C.; Wang, J.; Gao, D.; Chen, C. ZINC TRANSPORTER5 and ZINC TRANSPORTER9 Function Synergistically in Zinc/Cadmium Uptake 1. Plant Physiol. 2020, 183, 1235–1249. [Google Scholar] [CrossRef]
- Zhen, S.; Shuai, H.; Xu, C.; Lv, G.; Zhu, X.; Zhang, Q.; Zhu, Q.; Núñez-Delgado, A.; Conde-Cid, M.; Zhou, Y.; et al. Foliar Application of Zn Reduces Cd Accumulation in Grains of Late Rice by Regulating the Antioxidant System, Enhancing Cd Chelation onto Cell Wall of Leaves, and Inhibiting Cd Translocation in Rice. Sci. Total Environ. 2021, 770, 145302. [Google Scholar] [CrossRef]
- Dawar, K.; Mian, I.A.; Khan, S.; Zaman, A.; Danish, S.; Liu, K.; Harrison, M.T.; Saud, S.; Hassan, S.; Nawaz, T.; et al. Alleviation of Cadmium Toxicity and Fortification of Zinc in Wheat Cultivars Cultivated in Cd Contaminated Soil. S. Afr. J. Bot. 2023, 162, 611–621. [Google Scholar] [CrossRef]
- Zhang, F.; Römheld, V.; Marschner, H. Role of the Root Apoplasm for Iron Acquisition by Wheat Plants. Plant Physiol. 1991, 97, 1302–1305. [Google Scholar] [CrossRef]
- Quagliata, G.; Abdirad, S.; Celletti, S.; Sestili, F.; Astolfi, S. Screening of Triticum Turgidum Genotypes for Tolerance to Drought Stress. Plant Physiol. Biochem. 2023, 194, 271–280. [Google Scholar] [CrossRef]
- Bardsley, C.E.; Lancaster, J.D. Determination of Reserve Sulfur and Soluble Sulfates in Soils. Soil Sci. Soc. Am. J. 1960, 24, 265–268. [Google Scholar] [CrossRef]
- Sestili, F.; Garcia-Molina, M.D.; Gambacorta, G.; Beleggia, R.; Botticella, E.; De Vita, P.; Savatin, D.V.; Masci, S.; Lafiandra, D. Provitamin a Biofortification of Durum Wheat through a TILLING Approach. Int. J. Mol. Sci. 2019, 20, 5703. [Google Scholar] [CrossRef]
- Livak, K.J.; Schmittgen, T.D. Analysis of Relative Gene Expression Data Using Real-Time Quantitative PCR and the 2−ΔΔCT Method. Methods 2001, 25, 402–408. [Google Scholar] [CrossRef]
- Ciaffi, M.; Paolacci, A.R.; Celletti, S.; Catarcione, G.; Kopriva, S.; Astolfi, S. Transcriptional and Physiological Changes in the S Assimilation Pathway due to Single or Combined S and Fe Deprivation in Durum Wheat (Triticum durum L.) Seedlings. J. Exp. Bot. 2013, 64, 1663–1675. [Google Scholar] [CrossRef] [PubMed]
- Kalavrouziotis, I.K.; Rezapour, S.; Koukoulakis, P.H. Wastewater status in Greece and Iran. Fresenius Environ. Bull. 2012, 22, 11–21. [Google Scholar]
- Rai, P.K.; Lee, S.S.; Zhang, M.; Tsang, Y.F.; Kim, K.H. Heavy Metals in Food Crops: Health Risks, Fate, Mechanisms, and Management. Environ. Int. 2019, 125, 365–385. [Google Scholar] [CrossRef] [PubMed]
- Abedi, T.; Mojiri, A. Cadmium Uptake by Wheat (Triticum aestivum L.): An Overview. Plants 2020, 9, 500. [Google Scholar] [CrossRef]
- Hernandez, L.; Cook, D.T. Modification of the Root Plasma Membrane Lipid Composition of Cadmium-Treated Pisum Sativum. J. Exp. Bot. 1997, 48, 1375–1381. [Google Scholar] [CrossRef]
- Soni, S.; Jha, A.B.; Dubey, R.S.; Sharma, P. Mitigating Cadmium Accumulation and Toxicity in Plants: The Promising Role of Nanoparticles. Sci. Total Environ. 2024, 912, 168826. [Google Scholar] [CrossRef] [PubMed]
- Adil, M.; Bashir, S.; Bashir, S.; Aslam, Z.; Ahmad, N.; Younas, T.; Asghar, R.M.A.; Alkahtani, J.; Dwiningsih, Y.; Elshikh, M.S. Zinc Oxide Nanoparticles Improved Chlorophyll Contents, Physical Parameters, and Wheat Yield under Salt Stress. Front. Plant Sci. 2022, 13, 932861. [Google Scholar] [CrossRef] [PubMed]
- Salama, D.M.; Osman, S.A.; Abd El-Aziz, M.E.; Abd Elwahed, M.S.A.; Shaaban, E.A. Effect of Zinc Oxide Nanoparticles on the Growth, Genomic DNA, Production and the Quality of Common Dry Bean (Phaseolus vulgaris). Biocatal. Agric. Biotechnol. 2019, 18, 101083. [Google Scholar] [CrossRef]
- Tryfon, P.; Sperdouli, I.; Adamakis, I.-D.S.; Mourdikoudis, S.; Moustakas, M.; Dendrinou-Samara, C. Impact of Coated Zinc Oxide Nanoparticles on Photosystem II of Tomato Plants. Materials 2023, 16, 5846. [Google Scholar] [CrossRef] [PubMed]
- Dujmović, M.; Opačić, N.; Radman, S.; Fabek Uher, S.; Voća, S.; Šic Žlabur, J. Accumulation of Stinging Nettle Bioactive Compounds as a Response to Controlled Drought Stress. Agriculture 2023, 13, 1358. [Google Scholar] [CrossRef]
- Anwen, X.; Danting, C.; Chin, L.W.; Zhihong, Y. Root Morphology and Anatomy Affect Cadmium Translocation and Accumulation in Rice. Rice Sci. 2021, 28, 594–604. [Google Scholar] [CrossRef]
- Uraguchi, S.; Mori, S.; Kuramata, M.; Kawasaki, A.; Arao, T.; Ishikawa, S. Root-To-Shoot Cd Translocation via the Xylem Is the Major Process Determining Shoot and Grain Cadmium Accumulation in Rice. J. Exp. Bot. 2009, 60, 2677–2688. [Google Scholar] [CrossRef]
- Hassan, M.; Zhang, G.; Wu, F.; Cheng, H.; Chen, Z.-H. Zinc Alleviates Growth Inhibition and Oxidative Stress Caused by Cadmium in Rice. J. Plant Nutr. Soil Sci. 2005, 168, 255–261. [Google Scholar] [CrossRef]
- Saif, U.; Sarwar, N.; Bibi, S.; Ahmad, M.; Ok, Y.S. Effectiveness of Zinc Application to Minimize Cadmium Toxicity and Accumulation in Wheat (Triticum aestivum L.). Environ. Earth Sci. 2013, 71, 1663–1672. [Google Scholar]
- Qaswar, M.; Hussain, S.; Rengel, Z. Zinc Fertilisation Increases Grain Zinc and Reduces Grain Lead and Cadmium Concentrations More in Zinc-Biofortified than Standard Wheat Cultivar. Sci. Total Environ. 2017, 605–606, 454–460. [Google Scholar] [CrossRef]
- Rizwan, M.; Ali, S.; Hussain, A.; Ali, Q.; Shakoor, M.B.; Zia-ur-Rehman, M.; Farid, M.; Asma, M. Effect of Zinc-Lysine on Growth, Yield and Cadmium Uptake in Wheat (Triticum aestivum L.) and Health Risk Assessment. Chemosphere 2017, 187, 35–42. [Google Scholar] [CrossRef] [PubMed]
- Palmer, C.M.; Guerinot, M.L. Facing the Challenges of Cu, Fe and Zn Homeostasis in Plants. Nat. Chem. Biol. 2009, 5, 333–340. [Google Scholar] [CrossRef] [PubMed]
- Hänsch, R.; Mendel, R.R. Physiological Functions of Mineral Micronutrients (Cu, Zn, Mn, Fe, Ni, Mo, B, Cl). Curr. Opin. Plant Biol. 2009, 12, 259–266. [Google Scholar] [CrossRef] [PubMed]
- El Rasafi, T.; Oukarroum, A.; Haddioui, A.; Song, H.; Kwon, E.E.; Bolan, N.; Tack, F.M.G.; Sebastian, A.; Prasad, M.N.V.; Rinklebe, J. Cadmium Stress in Plants: A Critical Review of the Effects, Mechanisms, and Tolerance Strategies. Crit. Rev. Environ. Sci. Technol. 2020, 52, 675–726. [Google Scholar] [CrossRef]
- Lozano-Rodriguez, E.; Hernàndez, L.E.; Bonay, P.; Carpena-Ruiz, R.O. Distribution of Cadmium in Shoot and Root Tissues. J. Exp. Bot. 1997, 48, 123–128. [Google Scholar] [CrossRef]
- Astolfi, S.; Ortolani, M.R.; Catarcione, G.; Paolacci, A.R.; Cesco, S.; Pinton, R.; Ciaffi, M. Cadmium Exposure Affects Iron Acquisition in Barley (Hordeum vulgare) Seedlings. Physiol. Plant. 2014, 152, 646–659. [Google Scholar] [CrossRef]
- Dong, J.; Wu, F.; Zhang, G. Influence of Cadmium on Antioxidant Capacity and Four Microelement Concentrations in Tomato Seedlings (Lycopersicon esculentum). Chemosphere 2006, 64, 1659–1666. [Google Scholar] [CrossRef]
- Clemens, S.; Palmgren, M.G.; Krämer, U. A Long Way Ahead: Understanding and Engineering Plant Metal Accumulation. Trends Plant Sci. 2002, 7, 309–315. [Google Scholar] [CrossRef]
- Yoshimoto, N.; Inoue, E.; Saito, K.; Yamaya, T.; Takahashi, H. Phloem-Localizing Sulfate Transporter, Sultr1;3, Mediates Re-Distribution of Sulfur from Source to Sink Organs in Arabidopsis. Plant Physiol. 2003, 131, 1511–1517. [Google Scholar] [CrossRef]
- Gigolashvili, T.; Kopriva, S. Transporters in Plant Sulfur Metabolism. Front. Plant Sci. 2014, 5, 442. [Google Scholar] [CrossRef]
- Astolfi, S.; Zuchi, S.; Passera, C. Role of Sulphur Availability on Cadmium-Induced Changes of Nitrogen and Sulphur Metabolism in Maize (Zea mays L.) Leaves. J. Plant Physiol. 2004, 161, 795–802. [Google Scholar] [CrossRef] [PubMed]
- Wu, Z.; Naveed, S.; Zhang, C.; Ge, Y. Adequate Supply of Sulfur Simultaneously Enhances Iron Uptake and Reduces Cadmium Accumulation in Rice Grown in Hydroponic Culture. Environ. Pollut. 2020, 262, 114327. [Google Scholar] [CrossRef] [PubMed]
- El-Ramady, H.; Prokisch, J.; Sári, D.; Singh, A.; Ghazaryan, K.; Rajput, V.D.; Brevik, E.C. Nanotechnology in the soil system: An ecological approach towards sustainable management. Appl. Soil Ecol. 2024, 204, 105669. [Google Scholar] [CrossRef]






| Treatments | CD [μM] | ZnO-NPs [ppm] |
|---|---|---|
| C | 0 | 0 |
| C25 | 0 | 25 |
| C50 | 0 | 50 |
| CD | 25 | 0 |
| CD25 | 25 | 25 |
| CD50 | 25 | 50 |
Disclaimer/Publisher’s Note: The statements, opinions and data contained in all publications are solely those of the individual author(s) and contributor(s) and not of MDPI and/or the editor(s). MDPI and/or the editor(s) disclaim responsibility for any injury to people or property resulting from any ideas, methods, instructions or products referred to in the content. |
© 2024 by the authors. Licensee MDPI, Basel, Switzerland. This article is an open access article distributed under the terms and conditions of the Creative Commons Attribution (CC BY) license (https://creativecommons.org/licenses/by/4.0/).
Share and Cite
Coppa, E.; Quagliata, G.; Palombieri, S.; Iavarone, C.; Sestili, F.; Del Buono, D.; Astolfi, S. Biogenic ZnO Nanoparticles Effectively Alleviate Cadmium-Induced Stress in Durum Wheat (Triticum durum Desf.) Plants. Environments 2024, 11, 285. https://doi.org/10.3390/environments11120285
Coppa E, Quagliata G, Palombieri S, Iavarone C, Sestili F, Del Buono D, Astolfi S. Biogenic ZnO Nanoparticles Effectively Alleviate Cadmium-Induced Stress in Durum Wheat (Triticum durum Desf.) Plants. Environments. 2024; 11(12):285. https://doi.org/10.3390/environments11120285
Chicago/Turabian StyleCoppa, Eleonora, Giulia Quagliata, Samuela Palombieri, Chiara Iavarone, Francesco Sestili, Daniele Del Buono, and Stefania Astolfi. 2024. "Biogenic ZnO Nanoparticles Effectively Alleviate Cadmium-Induced Stress in Durum Wheat (Triticum durum Desf.) Plants" Environments 11, no. 12: 285. https://doi.org/10.3390/environments11120285
APA StyleCoppa, E., Quagliata, G., Palombieri, S., Iavarone, C., Sestili, F., Del Buono, D., & Astolfi, S. (2024). Biogenic ZnO Nanoparticles Effectively Alleviate Cadmium-Induced Stress in Durum Wheat (Triticum durum Desf.) Plants. Environments, 11(12), 285. https://doi.org/10.3390/environments11120285

