Do You Fail to Recognize Me with a Mask on? The Impact of Voice on Mask-Occluded Facial Identity Recognition
Abstract
1. Introduction
2. Experiment 1
2.1. Methods
2.1.1. Participants
2.1.2. Apparatus and Stimuli
2.1.3. Procedure and Design
2.1.4. Data Analysis
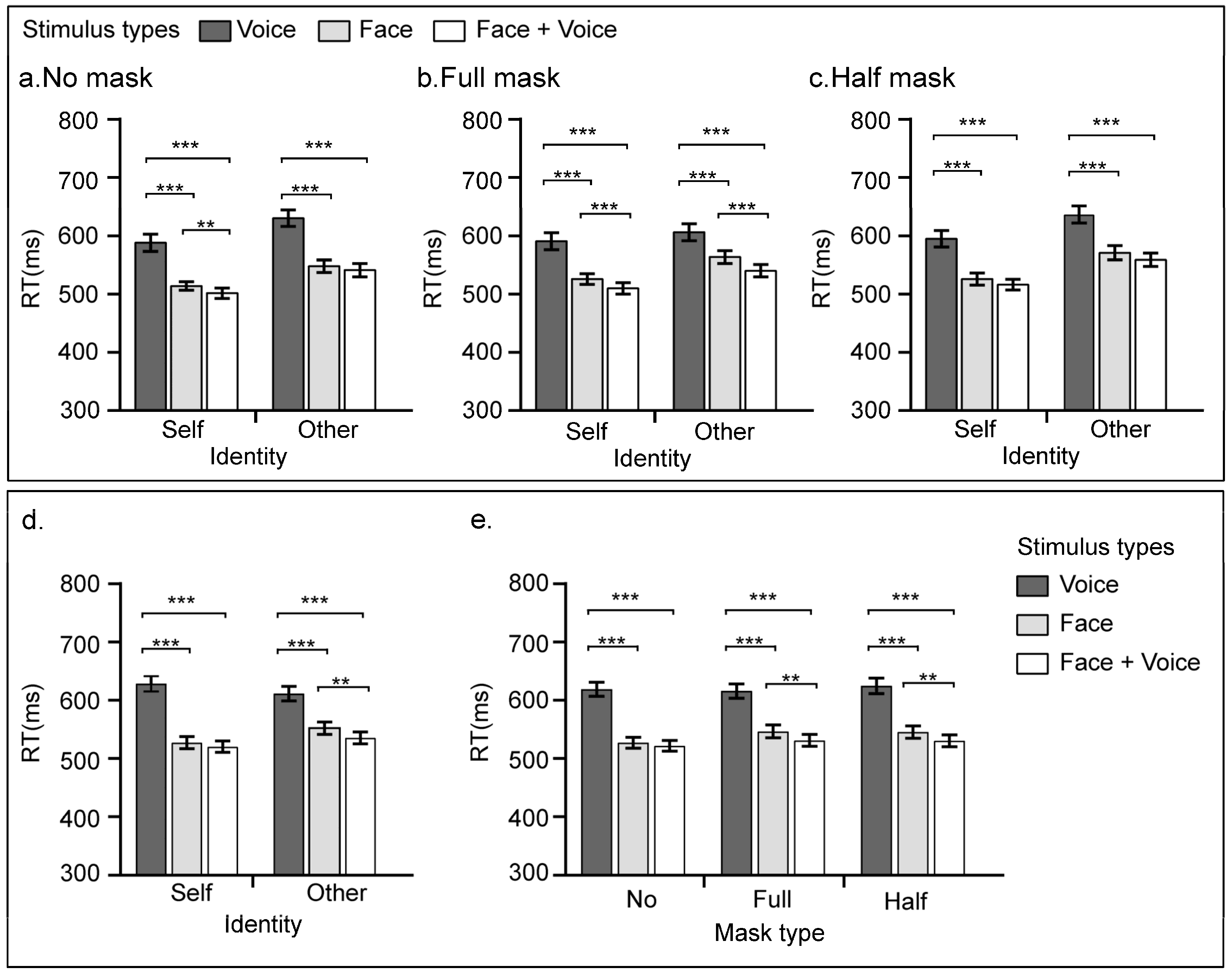
2.2. Results
2.2.1. Behavioral Data
2.2.2. Eye-Tracking Data
3. Experiment 2
3.1. Methods
3.1.1. Participants
3.1.2. Apparatus and Stimuli
3.1.3. Procedure and Design
3.1.4. Data Analysis
3.2. Results
3.2.1. Behavioral Data
3.2.2. Eye-Tracking Data
4. General Discussion
4.1. The Self-Advantage Effect in Mask-Obscured Facial Recognition
4.2. Facilitating Effect of Voice on Facial Identity Recognition
4.3. Effect of Masking on Facial Identity Recognition
5. Conclusions
Author Contributions
Funding
Institutional Review Board Statement
Informed Consent Statement
Data Availability Statement
Acknowledgments
Conflicts of Interest
References
- Abbatecola, C., Gerardin, P., Beneyton, K., Kennedy, H., & Knoblauch, K. (2021). The role of unimodal feedback pathways in gender perception during activation of voice and face areas. Frontiers in Systems Neuroscience, 15, 669256. [Google Scholar] [CrossRef]
- Aruffo, C., & Shore, D. I. (2012). Can you McGurk yourself? Self-face and self-voice in audiovisual speech. Psychonomic Bulletin & Review, 19(1), 66–72. [Google Scholar] [CrossRef]
- Bandyopadhyay, A., Samanta, S., & Mukherjee, A. (2023). Comparison of the identification of emotional facial expressions from full faces with only the eyes and the mouth regions in young Indian adults: An exploratory study. International Journal of Psychological Research, 16(2), 24–30. [Google Scholar] [CrossRef]
- Bartlett, J. C., Searcy, J. H., & Abdi, H. (2003). What are the routes to face recognition? Available online: https://personal.utdallas.edu/~herve/BSA2003.pdf (accessed on 10 November 2025).
- Carragher, D. J., & Hancock, P. J. B. (2020). Surgical face masks impair human face matching performance for familiar and unfamiliar faces. Cognitive Research: Principles and Implications, 5(1), 59. [Google Scholar] [CrossRef]
- Chen, Y.-L., & Wang, S.-Y. (2025). Challenges of face identification with varied mask coverage in the post COVID-19 era. Frontiers in Psychology, 16, 1486808. [Google Scholar] [CrossRef] [PubMed]
- Cordeiro, T., Botelho, J., & Mendonça, C. (2021). Relationship between the self-concept of children and their ability to recognize emotions in others. Frontiers in Psychology, 12, 672919. [Google Scholar] [CrossRef] [PubMed]
- Davies-Thompson, J., Elli, G. V., Rezk, M., Benetti, S., van Ackeren, M., & Collignon, O. (2019). Hierarchical brain network for face and voice integration of emotion expression. Cerebral Cortex, 29(9), 3590–3605. [Google Scholar] [CrossRef]
- Devue, C., & Brédart, S. (2011). The neural correlates of visual self-recognition. Consciousness and Cognition, 20(1), 40–51. [Google Scholar] [CrossRef]
- Estudillo, A. J., & Wong, H. K. (2024). The role of inversion and face masks on simultaneous and delayed face matching tasks. PLoS ONE, 19(1), e0295407. [Google Scholar] [CrossRef] [PubMed]
- Faul, F., Erdfelder, E., Lang, A.-G., & Buchner, A. (2007). G*Power 3: A flexible statistical power analysis program for the social, behavioral, and biomedical sciences. Behavior Research Methods, 39(2), 175–191. [Google Scholar] [CrossRef]
- Föcker, J., Gondan, M., & Röder, B. (2011). Preattentive processing of audio-visual emotional signals. Acta Psychologica, 137(1), 36–47. [Google Scholar] [CrossRef]
- Freud, E., Stajduhar, A., Rosenbaum, R. S., Avidan, G., & Ganel, T. (2020). The COVID-19 pandemic masks the way people perceive faces. Scientific Reports, 10(1), 22344. [Google Scholar] [CrossRef]
- Greenberg, S. N., & Goshen-Gottstein, Y. (2009). Not all faces are processed equally: Evidence for featural rather than holistic processing of one’s own face in a face-imaging task. Journal of Experimental Psychology. Learning, Memory, and Cognition, 35(2), 499–508. [Google Scholar] [CrossRef] [PubMed]
- Gulati, A., Knott, P. D., & Seth, R. (2022). Sex-related characteristics of the face. Otolaryngologic Clinics of North America, 55(4), 775–783. [Google Scholar] [CrossRef] [PubMed]
- Hardardottir, A., Al-Hamdani, M., Klein, R., Hurst, A., & Stewart, S. H. (2020). The effect of cigarette packaging and illness sensitivity on attention to graphic health warnings: A controlled study. Nicotine & Tobacco Research: Official Journal of the Society for Research on Nicotine and Tobacco, 22(10), 1788–1794. [Google Scholar] [CrossRef]
- Henderson, J. M., & Hollingworth, A. (1999). High-level scene perception. Annual Review of Psychology, 50, 243–271. [Google Scholar] [CrossRef]
- Hsiao, J. H., & Cottrell, G. (2008). Two fixations suffice in face recognition. Psychological Science, 19(10), 998–1006. [Google Scholar] [CrossRef]
- Huber, F. (2018). A logical introduction to probability and induction. Oxford University Press. [Google Scholar]
- Iannotti, G. R., Orepic, P., Brunet, D., Koenig, T., Alcoba-Banqueri, S., Garin, D. F. A., Schaller, K., Blanke, O., & Michel, C. M. (2021). EEG spatiotemporal patterns underlying self-other voice discrimination. Cerebral Cortex, 32(9), 1978–1992. [Google Scholar] [CrossRef]
- Jublie, A., & Kumar, D. (2021). Early capture of attention by self-face: Investigation using a temporal order judgment task. I-Perception, 12(4), 20416695211032993. [Google Scholar] [CrossRef] [PubMed]
- Keenan, J. P., Wheeler, M. A., Gallup, G. G., & Pascual-Leone, A. (2000). Self-recognition and the right prefrontal cortex. Trends in Cognitive Sciences, 4(9), 338–344. [Google Scholar] [CrossRef]
- Kelly, D. J., Miellet, S., & Caldara, R. (2010). Culture shapes eye movements for visually homogeneous objects. Frontiers in Psychology, 1, 6. [Google Scholar] [CrossRef]
- Kollenda, D., & De Haas, B. (2022). The influence of familiarity on memory for faces and mask wearing. Cognitive Research: Principles and Implications, 7(1), 45. [Google Scholar] [CrossRef]
- Lee, J. K. W., Gregson, C., Janssen, S. M., & Estudillo, A. J. (2023). Cultural modulation effects on the self-face advantage: Do caucasians find their own faces faster than Chinese? Quarterly Journal of Experimental Psychology (2006), 76(8), 1724–1739. [Google Scholar] [CrossRef] [PubMed]
- Lee, J. K. W., Janssen, S. M. J., & Estudillo, A. J. (2022a). A featural account for own-face processing? Looking for support from face inversion, composite face, and part-whole tasks. I-Perception, 13(4), 20416695221111409. [Google Scholar] [CrossRef] [PubMed]
- Lee, J. K. W., Janssen, S. M. J., & Estudillo, A. J. (2022b). A more featural based processing for the self-face: An eye-tracking study. Consciousness and Cognition, 105, 103400. [Google Scholar] [CrossRef]
- Liu, M., He, X., Rotsthein, P., & Sui, J. (2016). Dynamically orienting your own face facilitates the automatic attraction of attention. Cognitive Neuroscience, 7(1–4), 37–44. [Google Scholar] [CrossRef] [PubMed]
- Ma, Y., & Han, S. (2010). Why we respond faster to the self than to others? An implicit positive association theory of self-advantage during implicit face recognition. Journal of Experimental Psychology: Human Perception and Performance, 36(3), 619–633. [Google Scholar] [CrossRef]
- Maurer, D., Grand, R. L., & Mondloch, C. J. (2002). The many faces of configural processing. Trends in Cognitive Sciences, 6(6), 255–260. [Google Scholar] [CrossRef]
- Modelska, M., Pourquié, M., & Baart, M. (2019). No “self” advantage for audiovisual speech aftereffects. Frontiers in Psychology, 10, 658. [Google Scholar] [CrossRef]
- Navon, D. (1977). Forest before trees: The precedence of global features in visual perception. Cognitive Psychology, 9(3), 353–383. [Google Scholar] [CrossRef]
- Noyes, E., Davis, J. P., Petrov, N., Gray, K. L. H., & Ritchie, K. L. (2021). The effect of face masks and sunglasses on identity and expression recognition with super-recognizers and typical observers. Royal Society Open Science, 8(3), 201169. [Google Scholar] [CrossRef]
- O’Mahony, C., & Newell, F. N. (2012). Integration of faces and voices, but not faces and names, in person recognition. British Journal of Psychology, 103(1), 73–82. [Google Scholar] [CrossRef]
- Ota, C., & Nakano, T. (2021). Self-face activates the dopamine reward pathway without awareness. Cerebral Cortex, 31(10), 4420–4426. [Google Scholar] [CrossRef]
- Peterson, M. F., & Eckstein, M. P. (2012). Looking just below the eyes is optimal across face recognition tasks. Proceedings of the National Academy of Sciences of the United States of America, 109(48), E3314–E3323. [Google Scholar] [CrossRef]
- Regenbogen, C., Seubert, J., Johansson, E., Finkelmeyer, A., Andersson, P., & Lundström, J. N. (2018). The intraparietal sulcus governs multisensory integration of audiovisual information based on task difficulty. Human Brain Mapping, 39(3), 1313–1326. [Google Scholar] [CrossRef]
- Rennig, J., Wegner-Clemens, K., & Beauchamp, M. S. (2020). Face viewing behavior predicts multisensory gain during speech perception. Psychonomic Bulletin & Review, 27(1), 70–77. [Google Scholar] [CrossRef]
- Richler, J. J., Cheung, O. S., & Gauthier, I. (2011). Holistic processing predicts face recognition. Psychological Science, 22(4), 464–471. [Google Scholar] [CrossRef] [PubMed]
- Rinck, M., Primbs, M. A., Verpaalen, I. A. M., & Bijlstra, G. (2022). Face masks impair facial emotion recognition and induce specific emotion confusions. Cognitive Research: Principles and Implications, 7(1), 83. [Google Scholar] [CrossRef] [PubMed]
- Ritchie, K. L., Carragher, D. J., Davis, J. P., Read, K., Jenkins, R. E., Noyes, E., Gray, K. L. H., & Hancock, P. J. B. (2024). Face masks and fake masks: The effect of real and superimposed masks on face matching with super-recognisers, typical observers, and algorithms. Cognitive Research: Principles and Implications, 9(1), 5. [Google Scholar] [CrossRef]
- Salehi Fadardi, M., Salehi Fadardi, J., Mahjoob, M., & Doosti, H. (2022). Post-saccadic eye movement indices under cognitive load: A path analysis to determine visual performance. Journal of Ophthalmic & Vision Research, 17(3), 397–404. [Google Scholar] [CrossRef]
- Scheller, M., & Sui, J. (2022). Social relevance modulates multisensory integration. Journal of Experimental Psychology. Human Perception and Performance, 48(9), 1022–1038. [Google Scholar] [CrossRef]
- Schweinberger, S. R., Kloth, N., & Robertson, D. M. C. (2011). Hearing facial identities: Brain correlates of face–voice integration in person identification. Cortex: A Journal Devoted to the Study of the Nervous System and Behavior, 47(9), 1026–1037. [Google Scholar] [CrossRef]
- Schweinberger, S. R., Robertson, D., & Kaufmann, J. M. (2007). Hearing facial identities. Quarterly Journal of Experimental Psychology (2006), 60(10), 1446–1456. [Google Scholar] [CrossRef] [PubMed]
- Schweinberger, S. R., & Robertson, D. M. C. (2017). Audiovisual integration in familiar person recognition. Visual Cognition, 25(4–6), 589–610. [Google Scholar] [CrossRef]
- Sui, J., & Humphreys, G. W. (2017). The ubiquitous self: What the properties of self-bias tell us about the self. Annals of the New York Academy of Sciences, 1396(1), 222–235. [Google Scholar] [CrossRef] [PubMed]
- Tatz, J. R., Peynircioğlu, Z. F., & Brent, W. (2020). Face-voice space: Integrating visual and auditory cues in judgments of person distinctiveness. Attention, Perception, & Psychophysics, 82(7), 3710–3727. [Google Scholar] [CrossRef]
- Tsakiris, M. (2008). Looking for myself: Current multisensory input alters self-face recognition. PLoS ONE, 3(12), e4040. [Google Scholar] [CrossRef]
- Tsao, D. Y., & Livingstone, M. S. (2008). Mechanisms of face perception. Annual Review of Neuroscience, 31(1), 411–437. [Google Scholar] [CrossRef]
- Tye-Murray, N., Spehar, B. P., Myerson, J., Hale, S., & Sommers, M. S. (2013). Reading your own lips: Common-coding theory and visual speech perception. Psychonomic Bulletin & Review, 20(1), 115–119. [Google Scholar] [CrossRef]
- Van Belle, G. (2010). Fixation patterns during recognition of personally familiar and unfamiliar faces. Frontiers in Psychology, 1, 1338. [Google Scholar] [CrossRef]
- Wang, Q., Hu, C., & Fu, G. (2013). An eye-tracking research on the other race effect during face processing in preschool children. Acta Psychologica Sinica, 45(2), 169–178. [Google Scholar] [CrossRef]
- Wen, F., Gao, J., Ke, W., Zuo, B., Dai, Y., Ju, Y., & Long, J. (2023). The effect of face–voice gender consistency on impression evaluation. Archives of Sexual Behavior, 52(3), 1123–1139. [Google Scholar] [CrossRef] [PubMed]
- Xu, M., Homae, F., Hashimoto, R., & Hagiwara, H. (2013). Acoustic cues for the recognition of self-voice and other-voice. Frontiers in Psychology, 4, 735. [Google Scholar] [CrossRef] [PubMed]
- Yan, G., Xiong, J., Zang, C., Yu, L., Cui, L., & Bai, X. (2013). Review of eye-movement measures in reading research. Advances in Psychological Science, 21(4), 589–605. [Google Scholar] [CrossRef]
- Zhang, K., Yuan, Y., Chen, J., Wang, G., Chen, Q., & Luo, M. (2022). Eye tracking research on the influence of spatial frequency and inversion effect on facial expression processing in children with autism spectrum disorder. Brain Sciences, 12(2), 283. [Google Scholar] [CrossRef]
- Zweig, L. J., Suzuki, S., & Grabowecky, M. (2015). Learned face–voice pairings facilitate visual search. Psychonomic Bulletin & Review, 22(2), 429–436. [Google Scholar] [CrossRef][Green Version]
- Żochowska, A., Jakuszyk, P., Nowicka, M. M., & Nowicka, A. (2022). Are covered faces eye-catching for us? The impact of masks on attentional processing of self and other faces during the COVID-19 pandemic. Cortex, 149, 173–187. [Google Scholar] [CrossRef]
- Żochowska, A., Jakuszyk, P., Nowicka, M. M., & Nowicka, A. (2023). The self and a close-other: Differences between processing of faces and newly acquired information. Cerebral Cortex, 33(5), 2183–2199. [Google Scholar] [CrossRef]
- Żochowska, A., & Nowicka, A. (2024). Subjectively salient faces differ from emotional faces: ERP evidence. Scientific Reports, 14(1), 3634. [Google Scholar] [CrossRef]




| Mask Type | Self | Other | ||||
|---|---|---|---|---|---|---|
| Face | Voice | Faces + Voices | Face | Voice | Faces + Voices | |
| No mask | 514 ± 42 | 588 ± 84 | 502 ± 51 | 548 ± 61 | 631 ± 81 | 541 ± 64 |
| Full-mask | 526 ± 52 | 591 ± 82 | 510 ± 55 | 564 ± 62 | 606 ± 83 | 540 ± 59 |
| Half-mask | 526 ± 58 | 595 ± 79 | 516 ± 52 | 571 ± 70 | 637 ± 82 | 559 ± 64 |
| Mask Type | Type of Stimulus | Gaze Duration | Total Fixation Duration | Fixation Counts | |||
|---|---|---|---|---|---|---|---|
| Self | Other | Self | Self | Self | Other | ||
| No mask | Face | 443 ± 53 | 469 ± 60 | 509 ± 44 | 539 ± 60 | 2.03 ± 0.47 | 2.06 ± 0.49 |
| F + V | 436 ± 51 | 463 ± 63 | 515 ± 53 | 538 ± 66 | 1.88 ± 0.43 | 1.97 ± 0.53 | |
| Full-mask | Face | 453 ± 56 | 488 ± 62 | 510 ± 41 | 551 ± 65 | 2.22 ± 0.50 | 2.44 ± 0.54 |
| F + V | 438 ± 60 | 471 ± 63 | 506 ± 51 | 547 ± 64 | 2.04 ± 0.50 | 2.25 ± 0.50 | |
| Half-mask | Face | 454 ± 70 | 493 ± 73 | 522 ± 63 | 572 ± 60 | 2.15 ± 0.51 | 2.30 ± 0.51 |
| F + V | 443 ± 51 | 472 ± 66 | 513 ± 45 | 547 ± 63 | 1.97 ± 0.49 | 2.08 ± 0.46 | |
| Mask Type | Self | Other | ||||
|---|---|---|---|---|---|---|
| Face | Voice | Faces + Voices | Face | Voice | Faces + Voices | |
| No mask | 517 ± 56 | 629 ± 78 | 516 ± 53 | 538 ± 54 | 609 ± 69 | 528 ± 54 |
| Full-mask | 535 ± 60 | 624 ± 72 | 525 ± 57 | 558 ± 68 | 608 ± 75 | 537 ± 62 |
| Half-mask | 530 ± 62 | 633 ± 87 | 521 ± 57 | 561 ± 63 | 617 ± 74 | 541 ± 63 |
| Mask Type | Type of Stimulus | Gaze Duration | Total Fixation Duration | Fixation Counts | |||
|---|---|---|---|---|---|---|---|
| Self | Other | Self | Self | Self | Other | ||
| No mask | Face | 455 ± 71 | 483 ± 51 | 542 ± 38 | 561 ± 46 | 1.84 ± 0.52 | 1.90 ± 0.50 |
| F + V | 455 ± 63 | 454 ± 65 | 542 ± 42 | 555 ± 47 | 1.82 ± 0.48 | 1.82 ± 0.46 | |
| Full-mask | Face | 479 ± 69 | 497 ± 66 | 554 ± 43 | 573 ± 49 | 2.17 ± 0.59 | 2.23 ± 0.57 |
| F + V | 475 ± 66 | 480 ± 60 | 546 ± 42 | 557 ± 50 | 2.10 ± 0.55 | 2.09 ± 0.54 | |
| Half-mask | Face | 469 ± 87 | 499 ± 62 | 554 ± 49 | 582 ± 51 | 1.96 ± 0.51 | 2.01 ± 0.52 |
| F + V | 457 ± 73 | 469 ± 72 | 543 ± 46 | 566 ± 52 | 1.88 ± 0.49 | 1.94 ± 0.49 | |
Disclaimer/Publisher’s Note: The statements, opinions and data contained in all publications are solely those of the individual author(s) and contributor(s) and not of MDPI and/or the editor(s). MDPI and/or the editor(s) disclaim responsibility for any injury to people or property resulting from any ideas, methods, instructions or products referred to in the content. |
© 2026 by the authors. Licensee MDPI, Basel, Switzerland. This article is an open access article distributed under the terms and conditions of the Creative Commons Attribution (CC BY) license.
Share and Cite
Gao, M.; Duan, W.; Liu, T.; Gao, Y.; Tang, X. Do You Fail to Recognize Me with a Mask on? The Impact of Voice on Mask-Occluded Facial Identity Recognition. Behav. Sci. 2026, 16, 128. https://doi.org/10.3390/bs16010128
Gao M, Duan W, Liu T, Gao Y, Tang X. Do You Fail to Recognize Me with a Mask on? The Impact of Voice on Mask-Occluded Facial Identity Recognition. Behavioral Sciences. 2026; 16(1):128. https://doi.org/10.3390/bs16010128
Chicago/Turabian StyleGao, Min, Wenyu Duan, Tianhang Liu, Yulin Gao, and Xiaoyu Tang. 2026. "Do You Fail to Recognize Me with a Mask on? The Impact of Voice on Mask-Occluded Facial Identity Recognition" Behavioral Sciences 16, no. 1: 128. https://doi.org/10.3390/bs16010128
APA StyleGao, M., Duan, W., Liu, T., Gao, Y., & Tang, X. (2026). Do You Fail to Recognize Me with a Mask on? The Impact of Voice on Mask-Occluded Facial Identity Recognition. Behavioral Sciences, 16(1), 128. https://doi.org/10.3390/bs16010128

