Differential Impact of Methamphetamine Dependence and Social Media Overuse on Cognitive Control: Based on the Dual Mechanisms of Control Theory
Abstract
1. Introduction
2. Experiment 1 Capacities of Working Memory in Methamphetamine-Dependent Individuals and Social Media Overusers
2.1. Method
2.1.1. Participants
2.1.2. Apparatus
2.1.3. The Operant Working Memory Span Task
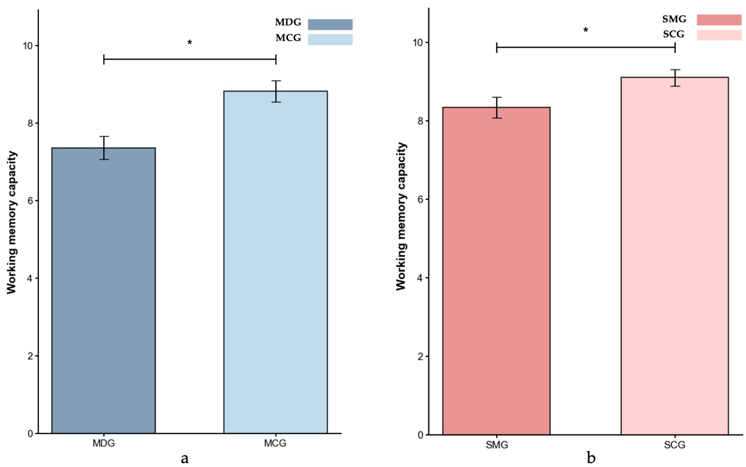
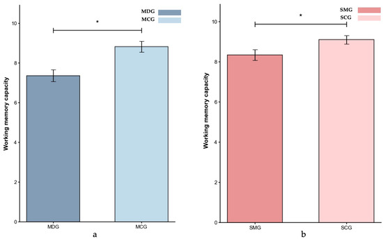
2.1.4. Results
3. Experiment 2 Proactive and Reactive Control in Methamphetamine-Dependent Individuals and Social Media Overusers
3.1. Method
3.1.1. Participants
3.1.2. Apparatus
3.1.3. AX-Continuous Performance Test (AX-CPT)
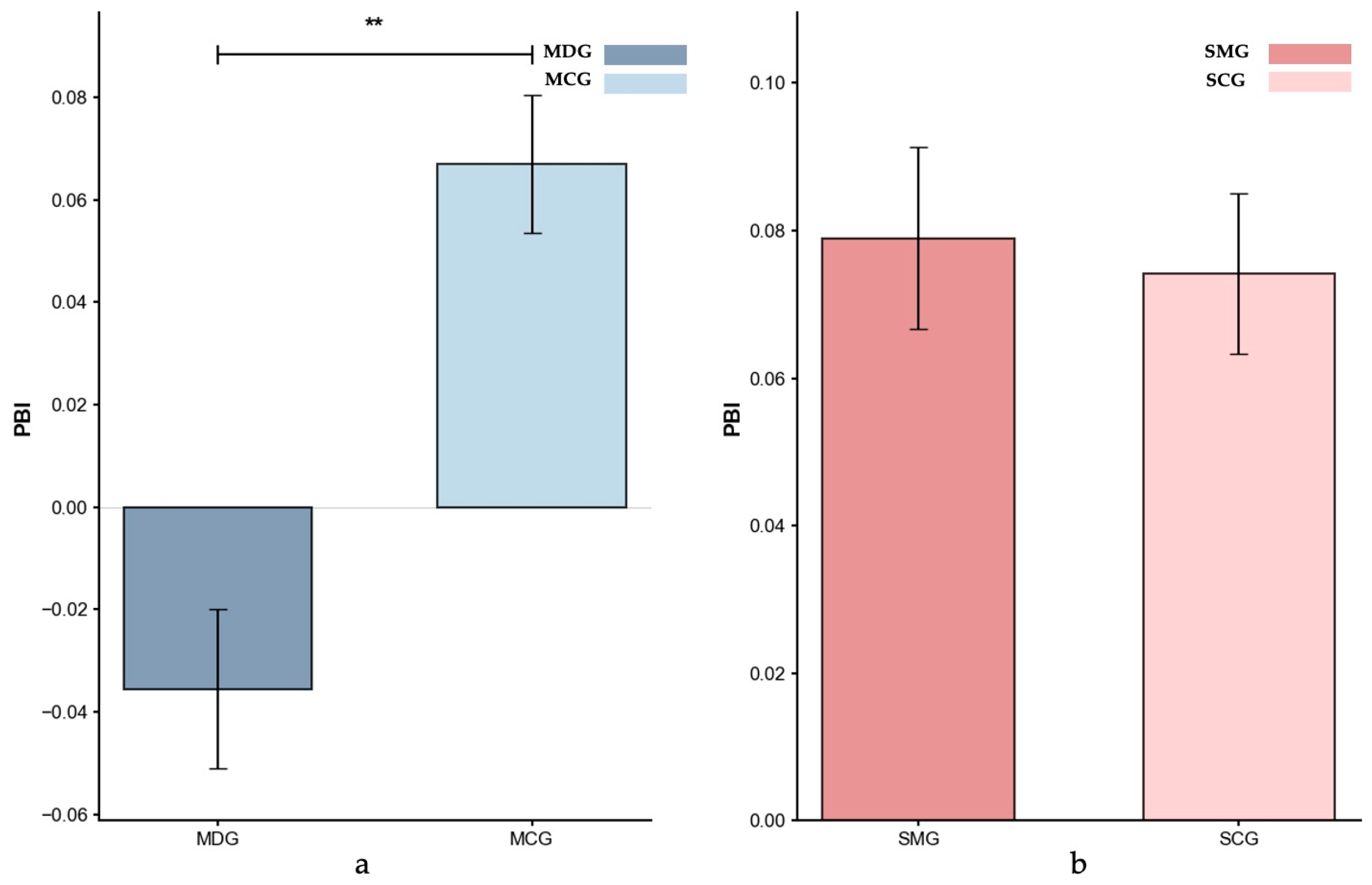
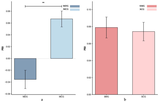
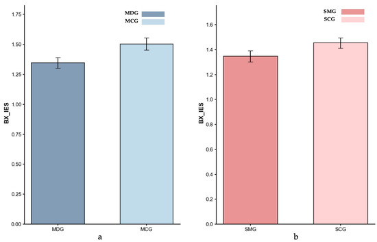
3.1.4. Results
4. Discussion
5. Conclusions
Supplementary Materials
Author Contributions
Funding
Institutional Review Board Statement
Informed Consent Statement
Data Availability Statement
Acknowledgments
Conflicts of Interest
References
- Alavi, S. S., Ferdosi, M., Jannatifard, F., Eslami, M., Alaghemandan, H., & Setare, M. (2012). Behavioral addiction versus substance addiction: Correspondence of psychiatric and psychological views. International Journal of Preventive Medicine, 3(4), 290–294. [Google Scholar] [PubMed]
- Andreassen, C. S. (2015). Online social network site addiction: A comprehensive review. Current Addiction Reports, 2(2), 175–184. [Google Scholar] [CrossRef]
- Andreassen, C. S., Torsheim, T., Brunborg, G. S., & Pallesen, S. (2012). Development of a Facebook addiction scale. Psychological Reports, 110(2), 501–517. [Google Scholar] [CrossRef]
- Banich, M. T. (2009). Executive function: The search for an integrated account. Current Directions in Psychological Science, 18(2), 89–94. [Google Scholar] [CrossRef]
- Barch, D. M., Braver, T. S., Nystrom, L. E., Forman, S. D., Noll, D. C., & Cohen, J. D. (1997). Dissociating working memory from task difficulty in human prefrontal cortex. Neuropsychologia, 35(10), 1373–1380. [Google Scholar] [CrossRef]
- Barch, D. M., Braver, T. S., Sabb, F. W., & Noll, D. C. (2000). Anterior cingulate and the monitoring of response conflict: Evidence from an fMRI study of overt verb generation. Journal of Cognitive Neuroscience, 12(2), 298–309. [Google Scholar] [CrossRef]
- Bechara, A., & Martin, E. M. (2004). Impaired decision making related to working memory deficits in individuals with substance addictions. Neuropsychology, 18(1), 152–162. [Google Scholar] [CrossRef]
- Brainard, D. H. (1997). The psychophysics toolbox. Spatial Vision, 10(4), 433–436. [Google Scholar] [CrossRef] [PubMed]
- Braver, T. S. (2012). The variable nature of cognitive control: A dual mechanisms framework. Trends in Cognitive Sciences, 16(2), 106–113. [Google Scholar] [CrossRef]
- Braver, T. S., & Barch, D. M. (2002). A theory of cognitive control, aging cognition, and neuromodulation. Neuroscience & Biobehavioral Reviews, 26(7), 809–817. [Google Scholar] [CrossRef] [PubMed]
- Braver, T. S., Paxton, J. L., Locke, H. S., & Barch, D. M. (2009). Flexible neural mechanisms of cognitive control within human prefrontal cortex. Proceedings of the National Academy of Sciences of the United States of America, 106(18), 7351–7356. [Google Scholar] [CrossRef] [PubMed]
- Bravi, R., Gavazzi, G., Benedetti, V., Giovannelli, F., Grasso, S., Panconi, G., Viggiano, M. P., & Minciacchi, D. (2022). Effect of different sport environments on proactive and reactive motor inhibition: A study on open- and closed-skilled athletes via mouse-tracking procedure. Frontiers in Psychology, 13, 1042705. [Google Scholar] [CrossRef]
- Chatham, C. H., Frank, M. J., & Munakata, Y. (2009). Pupillometric and behavioral markers of a developmental shift in the temporal dynamics of cognitive control. Proceedings of the National Academy of Sciences of the United States of America, 106(14), 5529–5533. [Google Scholar] [CrossRef]
- Chiew, K. S., & Braver, T. S. (2017). Context processing and cognitive control: From gating models to dual mechanisms. In The Wiley handbook of cognitive control (pp. 143–166). Wiley Online Library. [Google Scholar] [CrossRef]
- Conway, A. R. A., Kane, M. J., Bunting, M. F., Hambrick, D. Z., Wilhelm, O., & Engle, R. W. (2005). Working memory span tasks: A methodological review and user’s guide. Psychonomic Bulletin & Review, 12(5), 769–786. [Google Scholar] [CrossRef]
- Cooper, S. R., Gonthier, C., Barch, D. M., & Braver, T. S. (2017). The role of psychometrics in individual differences research in cognition: A case study of the AX-CPT. Frontiers in Psychology, 8, 1482. [Google Scholar] [CrossRef]
- Dalley, J. W., Everitt, B. J., & Robbins, T. W. (2011). Impulsivity, compulsivity, and top-down cognitive control. Neuron, 69(4), 680–694. [Google Scholar] [CrossRef] [PubMed]
- Dean, A. C., Groman, S. M., Morales, A. M., & London, E. D. (2013). An evaluation of the evidence that methamphetamine abuse causes cognitive decline in humans. Neuropsychopharmacology, 38(2), 259–274. [Google Scholar] [CrossRef]
- Diamond, A. (2013). Executive functions. Annual Review of Psychology, 64(1), 135–168. [Google Scholar] [CrossRef] [PubMed]
- Dom, G., Sabbe, B., Hulstijn, W., & Van Den Brink, W. (2005). Substance use disorders and the orbitofrontal cortex: Systematic review of behavioural decision-making and neuroimaging studies. The British Journal of Psychiatry, 187(3), 209–220. [Google Scholar] [CrossRef] [PubMed]
- Duncan, J., Emslie, H., Williams, P., Johnson, R., & Freer, C. (1996). Intelligence and the frontal lobe: The organization of goal-directed behavior. Cognitive Psychology, 30(3), 257–303. [Google Scholar] [CrossRef]
- Engle, R. W., & Kane, M. J. (2004). Executive attention, working memory capacity, and a two-factor theory of cognitive control. The psychology of Learning and Motivation: Advances in Research and Theory, 44, 145–199. [Google Scholar]
- Ersche, K. D., Clark, L., London, M., Robbins, T. W., & Sahakian, B. J. (2006). Profile of executive and memory function associated with amphetamine and opiate dependence. Neuropsychopharmacology, 31(5), 1036–1047. [Google Scholar] [CrossRef]
- Everitt, B. J., & Robbins, T. W. (2016). Drug addiction: Updating actions to habits to compulsions ten years on. Annual Review of Psychology, 67, 23–50. [Google Scholar] [CrossRef]
- Feil, J., Sheppard, D., Fitzgerald, P. B., Yücel, M., Lubman, D. I., & Bradshaw, J. L. (2010). Addiction, compulsive drug seeking, and the role of frontostriatal mechanisms in regulating inhibitory control. Neuroscience & Biobehavioral Reviews, 35(2), 248–275. [Google Scholar] [CrossRef]
- Frazer, K. M., Richards, Q., & Keith, D. R. (2018). The long-term effects of cocaine use on cognitive functioning: A systematic critical review. Behavioural Brain Research, 348, 241–262. [Google Scholar] [CrossRef] [PubMed]
- Friedman, N. P., & Miyake, A. (2004). The relations among inhibition and interference control functions: A la-tent-variable analysis. Journal of Experimental Psychology: General, 133(1), 101–135. [Google Scholar] [CrossRef]
- Friedman, N. P., & Miyake, A. (2017). Unity and diversity of executive functions: Individual differences as a window on cognitive structure. Cortex, 86, 186–204. [Google Scholar] [CrossRef] [PubMed]
- Friedman, N. P., & Robbins, T. W. (2022). The role of prefrontal cortex in cognitive control and executive function. Neuropsychopharmacology, 47(1), 72–89. [Google Scholar] [CrossRef]
- Gavazzi, G., Giovannelli, F., Currò, T., Mascalchi, M., & Viggiano, M. P. (2021). Contiguity of proactive and reactive inhibitory brain areas: A cognitive model based on ALE meta-analyses. Brain Imaging and Behavior, 15(4), 2199–2214. [Google Scholar] [CrossRef] [PubMed]
- Gavazzi, G., Giovannelli, F., Noferini, C., Cincotta, M., Cavaliere, C., Salvatore, M., Mascalchi, M., & Viggiano, M. P. (2023a). Subregional prefrontal cortex recruitment as a function of inhibitory demand: An fMRI metanalysis. Neuroscience & Biobehavioral Reviews, 152, 105285. [Google Scholar] [CrossRef]
- Gavazzi, G., Noferini, C., Benedetti, V., Cotugno, M., Giovannelli, F., Caldara, R., Mascalchi, M., & Viggiano, M. P. (2023b). Cultural differences in inhibitory control: An ALE meta-analysis. Brain Sciences, 13(6), 907. [Google Scholar] [CrossRef]
- Gavazzi, G., Orsolini, S., Salvadori, E., Bianchi, A., Rossi, A., Donnini, I., Rinnoci, V., Pescini, F., Diciotti, S., Viggiano, M. P., Mascalchi, M., & Pantoni, L. (2019). Functional magnetic resonance imaging of inhibitory control reveals decreased blood oxygen level dependent effect in cerebral autosomal dominant arteriopathy with subcortical infarcts and leukoencephalopathy. Stroke, 50(1), 69–75. [Google Scholar] [CrossRef]
- Goldstein, R. Z., & Volkow, N. D. (2011). Dysfunction of the prefrontal cortex in addiction: Neuroimaging findings and clinical implications. Nature Reviews Neuroscience, 12(11), 652–669. [Google Scholar] [CrossRef]
- Grant, J. E., Potenza, M. N., Weinstein, A., & Gorelick, D. A. (2010). Introduction to behavioral addictions. The American Journal of Drug and Alcohol Abuse, 36(5), 233–241. [Google Scholar] [CrossRef]
- Jentsch, J. D., & Pennington, Z. T. (2014). Reward, interrupted: Inhibitory control and its relevance to addictions. Neuropharmacology, 76, 479–486. [Google Scholar] [CrossRef] [PubMed]
- Kane, M. J., & Engle, R. W. (2002). The role of prefrontal cortex in working-memory capacity, executive attention, and general fluid intelligence: An individual-differences perspective. Psychonomic Bulletin & Review, 9(4), 637–671. [Google Scholar] [CrossRef]
- Koob, G. F., & Volkow, N. D. (2010). Neurocircuitry of addiction. Neuropsychopharmacology, 35(1), 217–238. [Google Scholar] [CrossRef]
- Kuss, D. J., & Griffiths, M. D. (2012). Internet gaming addiction: A systematic review of empirical research. International Journal of Mental Health and Addiction, 10(2), 278–296. [Google Scholar] [CrossRef]
- Kuss, D. J., & Griffiths, M. D. (2017). Social networking sites and addiction: Ten lessons learned. International Journal of Environmental Research and Public Health, 14(3), 311. [Google Scholar] [CrossRef]
- Liesefeld, H. R., & Janczyk, M. (2019). Combining speed and accuracy to control for speed-accuracy trade-offs. Behavior Research Methods, 51(1), 40–60. [Google Scholar] [CrossRef]
- Miller, E. K., & Cohen, J. D. (2001). An integrative theory of prefrontal cortex function. Annual Review of Neuroscience, 24, 167–202. [Google Scholar] [CrossRef] [PubMed]
- Miyake, A., & Friedman, N. P. (2012). The nature and organization of individual differences in executive functions: Four general conclusions. Current Directions in Psychological Science, 21(1), 8–14. [Google Scholar] [CrossRef]
- Miyake, A., Friedman, N. P., Emerson, M. J., Witzki, A. H., Howerter, A., & Wager, T. D. (2000). The unity and diversity of executive functions and their contributions to complex “Frontal Lobe” tasks: A latent variable analysis. Cognitive Psychology, 41(1), 49–100. [Google Scholar] [CrossRef]
- Moccia, L., Pettorruso, M., De Crescenzo, F., De Risio, L., Di Nuzzo, L., Martinotti, G., Bifone, A., Janiri, L., & Di Nicola, M. (2017). Neural correlates of cognitive control in gambling disorder: A systematic review of fMRI studies. Neuroscience & Biobehavioral Reviews, 78, 104–116. [Google Scholar] [CrossRef] [PubMed]
- Montag, C., Becker, B., & Gan, C. (2018). The multipurpose application WeChat: A review on recent research. Frontiers in Psychology, 9, 2247. [Google Scholar] [CrossRef] [PubMed]
- Moorman, D. E. (2018). The role of the orbitofrontal cortex in alcohol use, abuse, and dependence. Progress in Neuro-Psychopharmacology and Biological Psychiatry, 87, 85–107. [Google Scholar] [CrossRef]
- Nigg, J. T. (2000). On inhibition/disinhibition in developmental psychopathology: Views from cognitive and personality psychology and a working inhibition taxonomy. Psychological Bulletin, 126(2), 220–246. [Google Scholar] [CrossRef] [PubMed]
- Pelli, D. G. (1997). The VideoToolbox software for visual psychophysics: Transforming numbers into movies. Spatial Vision, 10(4), 437–442. [Google Scholar] [CrossRef]
- Potenza, M. N. (2006). Should addictive disorders include non-substance-related conditions? Addiction, 101, 142–151. [Google Scholar] [CrossRef] [PubMed]
- Ratcliff, R. (1993). Methods for dealing with reaction time outliers. Psychological Bulletin, 114(3), 510–532. [Google Scholar] [CrossRef]
- Redick, T. S. (2014). Cognitive control in context: Working memory capacity and proactive control. Acta Psychologica, 145, 1–9. [Google Scholar] [CrossRef]
- Robbins, T. W., & Clark, L. (2015). Behavioral addictions. Current Opinion in Neurobiology, 30, 66–72. [Google Scholar] [CrossRef]
- Robbins, T. W., & Everitt, B. J. (1996). Neurobehavioural mechanisms of reward and motivation. Current Opinion in Neurobiology, 6(2), 228–236. [Google Scholar] [CrossRef] [PubMed]
- Rousseeuw, P. J., & Croux, C. (1993). Alternatives to the median absolute deviation. Journal of the American Statistical Association, 88(424), 1273–1283. [Google Scholar] [CrossRef]
- Rubenis, A. J., Fitzpatrick, R. E., Lubman, D. I., & Verdejo-Garcia, A. (2018). Impulsivity predicts poorer improvement in quality of life during early treatment for people with methamphetamine dependence. Addiction, 113(4), 668–676. [Google Scholar] [CrossRef]
- Ryman, S. G., El Shaikh, A. A., Shaff, N. A., Hanlon, F. M., Dodd, A. B., Wertz, C. J., Ling, J. M., Barch, D. M., Stromberg, S. F., Lin, D. S., Abrams, S., & Mayer, A. R. (2019). Proactive and reactive cognitive control rely on flexible use of the ventrolateral prefrontal cortex. Human Brain Mapping, 40(3), 955–966. [Google Scholar] [CrossRef]
- Schröder, E., Ingels, A., Dumitrescu, A., Kornreich, C., & Campanella, S. (2024). Proactive and reactive inhibitory control strategies: Exploring the impact of interindividual variables on an ERP Continuous Performance Task (AX-CPT). Clinical EEG and Neuroscience, 55(3), 317–328. [Google Scholar] [CrossRef]
- Sherman, L. E., Hernandez, L. M., Greenfield, P. M., & Dapretto, M. (2018). What the brain ‘Likes’: Neural correlates of providing feedback on social media. Social Cognitive and Affective Neuroscience, 13(7), 699–707. [Google Scholar] [CrossRef] [PubMed]
- Sinha, R. (2001). How does stress increase risk of drug abuse and relapse? Psychopharmacology, 158(4), 343–359. [Google Scholar] [CrossRef] [PubMed]
- Tiffany, S. T., & Conklin, C. A. (2000). A cognitive processing model of alcohol craving and compulsive alcohol use. Addiction, 95(8s2), 145–153. [Google Scholar] [CrossRef]
- Unsworth, N., & Spillers, G. J. (2010). Working memory capacity: Attention control, secondary memory, or both? A direct test of the dual-component model. Journal of Memory and Language, 62(4), 392–406. [Google Scholar] [CrossRef]
- Verhaeghen, P., & Cerella, J. (2002). Aging, executive control, and attention: A review of meta-analyses. Neuroscience & Biobehavioral Reviews, 26(7), 849–857. [Google Scholar] [CrossRef]
- Volkow, N. D., Fowler, J. S., Wang, G. J., & Swanson, J. M. (2003). The addicted human brain: Insights from imaging studies. Journal of Clinical Investigation, 111(10), 1444–1451. [Google Scholar] [CrossRef]
- Volkow, N. D., & Morales, M. (2015). The brain on drugs: From reward to addiction. Cell, 162(4), 712–725. [Google Scholar] [CrossRef] [PubMed]
- Volkow, N. D., Wang, G.-J., Fowler, J. S., Tomasi, D., & Telang, F. (2011). Addiction: Beyond dopamine reward circuitry. Proceedings of the National Academy of Sciences of the United States of America, 108(37), 15037–15042. [Google Scholar] [CrossRef] [PubMed]
- Wiemers, E. A., & Redick, T. S. (2018). Working memory capacity and intra-individual variability of proactive control. Acta Psychologica, 182, 21–31. [Google Scholar] [CrossRef] [PubMed]
- Winstanley, C. A. (2007). The orbitofrontal cortex, impulsivity, and addiction: Probing orbitofrontal dysfunction at the neural, neurochemical, and molecular level. Annals of the New York Academy of Sciences, 1121(1), 639–655. [Google Scholar] [CrossRef]
- Young, K. S. (2004). Internet addiction: A new clinical phenomenon and its consequences. American Behavioral Scientist, 48(4), 402–415. [Google Scholar] [CrossRef]







| MDG a | MCG a | SMG a | SCG a | |
|---|---|---|---|---|
| Sample Size | 43 | 43 | 40 | 73 |
| Gender | all males | all males | 19 males 21 females | 43 males 30 females |
| Age | 35.30 (4.93) | 24.12 (2.36) | 18.93 (0.13) | 19.10 (0.15) |
| Years of Education | 11.43 (1.93) | 13.24 (1.23) | 13.11 (1.62) | 14.01 (1.35) |
| Duration of Drug Use (years) | 10.20 (4.52) | / | / | / |
| Monthly drug use (g) | 9.19 (8.05) | / | / | / |
| Adapted IAT score | / | / | 74.53 (0.80) | 36.73 (0.87) |
| Adapted BFAS score | / | / | 66.05 (1.09) | 30.48 (0.73) |
| MDG a | MCG a | SMG a | SCG a | |
|---|---|---|---|---|
| Sample Size | 43 | 38 | 42 | 55 |
| Gender | all males | all males | 11 males 31 females | 38 males 17 females |
| Age | 34.10 (6.43) | 19.45 (1.57) | 19.16 (1.46) | 19.06 (1.11) |
| Years of Education | 11.12 (1.63) | 13.33 (1.21) | 13.47 (1.32) | 13.89 (1.15) |
| Duration of Drug Use (years) | 7.59 (3.81) | / | / | / |
| Monthly drug use (g) | 7.58 (9.09) | / | / | / |
| Adapted IAT score | / | / | 72.59 (5.32) | 37.50 (6.81) |
| Adapted BFAS score | / | / | 65.01 (7.17) | 30.69 (6.40) |
| Key Press | Practice Trials | Pass Standard | Total Trials | Proportion of Formal Experiment | Indices | |
|---|---|---|---|---|---|---|
| AX | J | 8 | 6 | 196 | 70.00% | Index of habituated response |
| AY | K | 3 | 2 | 21 | 7.50% | Index of reactive control |
| BX | K | 3 | 2 | 21 | 7.50% | Index of proactive control |
| BY | K | 3 | 2 | 21 | 7.50% | Index of baseline response levels |
| BZ | J | 3 | 2 | 21 | 7.50% | Index of strategy avoidance supplementation |
Disclaimer/Publisher’s Note: The statements, opinions and data contained in all publications are solely those of the individual author(s) and contributor(s) and not of MDPI and/or the editor(s). MDPI and/or the editor(s) disclaim responsibility for any injury to people or property resulting from any ideas, methods, instructions or products referred to in the content. |
© 2025 by the authors. Licensee MDPI, Basel, Switzerland. This article is an open access article distributed under the terms and conditions of the Creative Commons Attribution (CC BY) license (https://creativecommons.org/licenses/by/4.0/).
Share and Cite
Zhang, M.; Zhang, X.; Xu, T.; Zhou, J.; Shen, M. Differential Impact of Methamphetamine Dependence and Social Media Overuse on Cognitive Control: Based on the Dual Mechanisms of Control Theory. Behav. Sci. 2025, 15, 1086. https://doi.org/10.3390/bs15081086
Zhang M, Zhang X, Xu T, Zhou J, Shen M. Differential Impact of Methamphetamine Dependence and Social Media Overuse on Cognitive Control: Based on the Dual Mechanisms of Control Theory. Behavioral Sciences. 2025; 15(8):1086. https://doi.org/10.3390/bs15081086
Chicago/Turabian StyleZhang, Meng, Xikun Zhang, Tiange Xu, Jifan Zhou, and Mowei Shen. 2025. "Differential Impact of Methamphetamine Dependence and Social Media Overuse on Cognitive Control: Based on the Dual Mechanisms of Control Theory" Behavioral Sciences 15, no. 8: 1086. https://doi.org/10.3390/bs15081086
APA StyleZhang, M., Zhang, X., Xu, T., Zhou, J., & Shen, M. (2025). Differential Impact of Methamphetamine Dependence and Social Media Overuse on Cognitive Control: Based on the Dual Mechanisms of Control Theory. Behavioral Sciences, 15(8), 1086. https://doi.org/10.3390/bs15081086

