Students’ Perceptions of Effective Math Learning Strategies
Abstract
1. Introduction
1.1. Evidence for Spaced and Interleaved Practice
1.2. Perceptions of Spaced and Interleaved Practice
1.3. Overview of the Present Studies
2. Study 1
2.1. Method
2.1.1. Participants
2.1.2. Materials
2.1.3. Procedure
2.2. Results and Discussion
3. Study 2
3.1. Method
3.1.1. Participants
3.1.2. Materials and Procedure
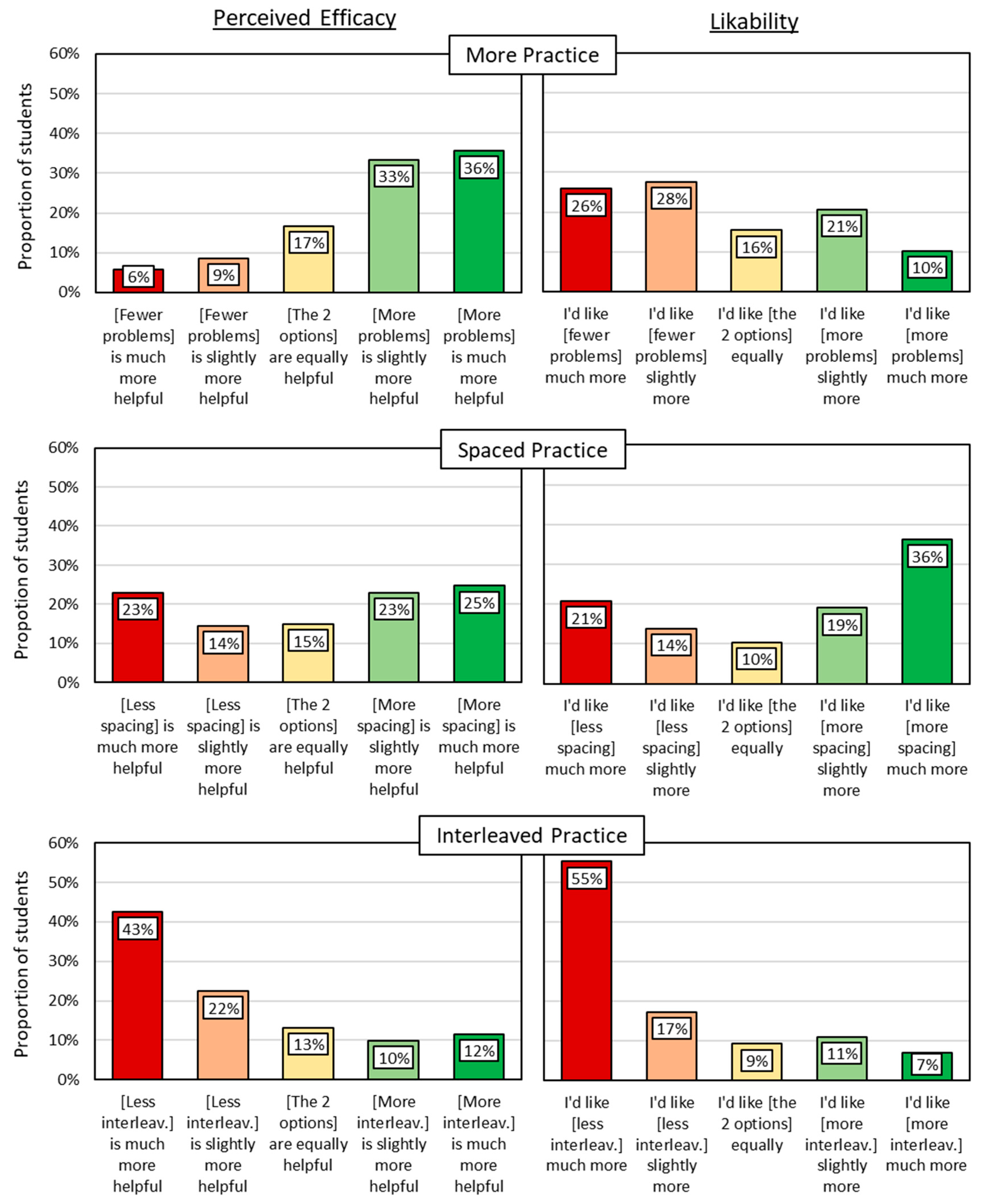
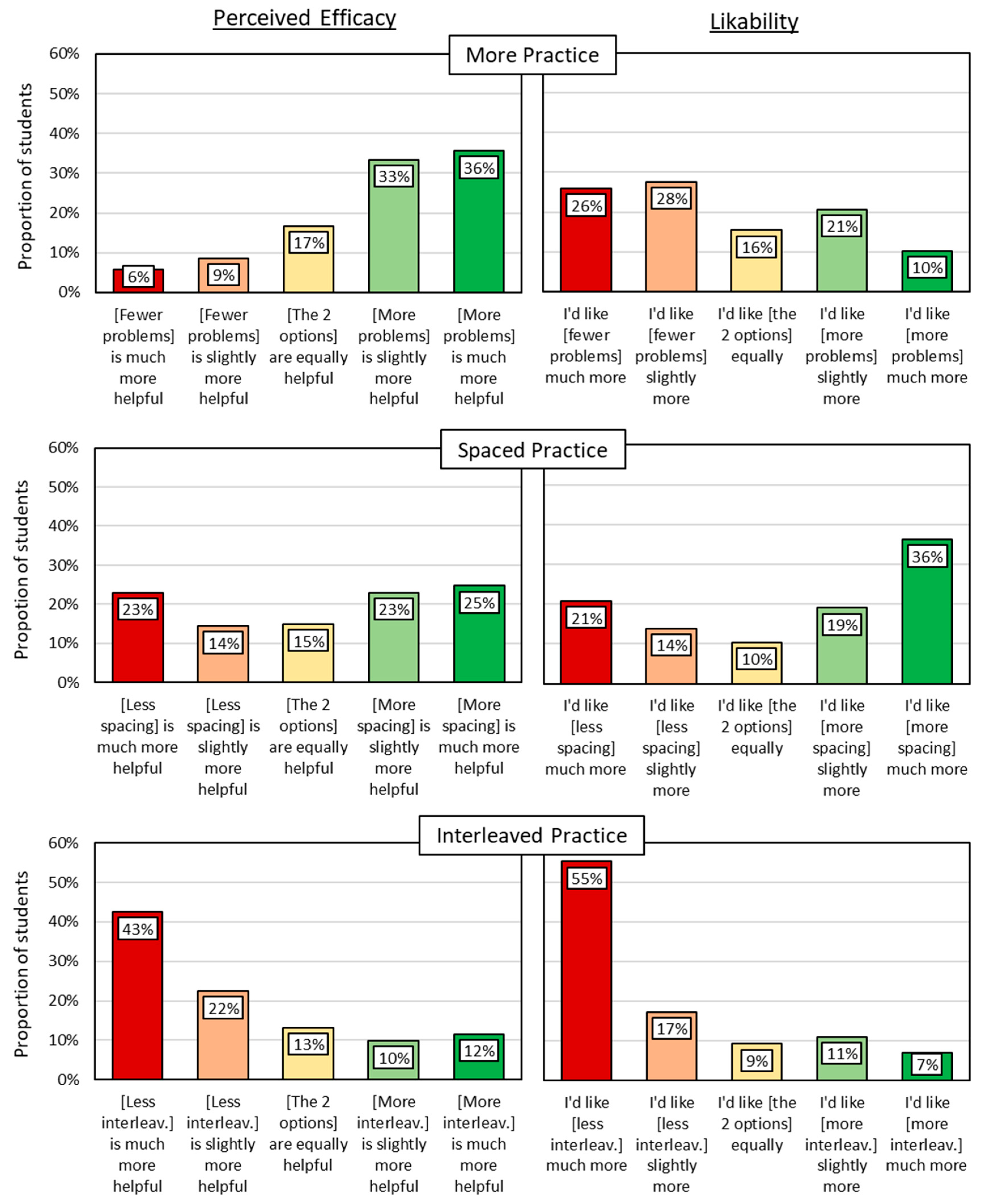
3.2. Results and Discussion
4. General Discussion
4.1. Limitations
4.2. Implications
Author Contributions
Funding
Institutional Review Board Statement
Informed Consent Statement
Data Availability Statement
Conflicts of Interest
| 1 | We note that the superiority of interleaved over blocked practice does not hold in all contexts. For example, blocking can outperform interleaving when learners must abstract and apply rules that define category membership, especially if within-category similarity is low (for further discussion, see Little & Nepangue, 2025; Noh et al., 2016). However, in classrooms, students are usually explicitly taught the rules that define to-be-learned concepts or categories rather than having to abstract them. Thus, for math learning in schools, which is the focus of this paper, we would expect the typical benefit of interleaved over blocked practice. | 
| 2 | Judgments of preference (Study 2) were considered comparable to judgments of liking (Study 1), though we acknowledge that preference might be shaped by other factors in addition to liking, including familiarity or other justifications for favorability. | 
| 3 | We inserted the name of a state standardized test that was familiar to the students in this study. | 
References
- Barzagar Nazari, K., & Ebersbach, M. (2019). Distributing mathematical practice of third and seventh graders: Applicability of the spacing effect in the classroom. Applied Cognitive Psychology, 33, 288–298. [Google Scholar] [CrossRef]
- Bjork, E. L., & Bjork, R. A. (2011). Making things hard on yourself, but in a good way: Creating desirable difficulties to enhance learning. In M. A. Gernsbacher, R. W. Pew, L. M. Hough, & J. R. Pomerantz (Eds.), Psychology and the real world: Essays illustrating fundamental contributions to society (pp. 56–64). Worth Publishers. [Google Scholar]
- Bjork, R. A., Dunlosky, J., & Kornell, N. (2013). Self-regulated learning: Beliefs, techniques, and illusions. Annual Review of Psychology, 64, 417–444. [Google Scholar] [CrossRef]
- Blasiman, R. N., Dunlosky, J., & Rawson, K. A. (2017). The what, how much, and when of study strategies: Comparing intended versus actual study behaviour. Memory, 25, 784–792. [Google Scholar] [CrossRef]
- Carpenter, S. K. (2014). Spacing and interleaving of study and practice. In V. A. Benassi, C. E. Overson, & C. M. Hakala (Eds.), Applying the science of learning in education: Infusing psychological science into the curriculum (pp. 131–141). American Psychological Association. [Google Scholar]
- Carpenter, S. K., Cepeda, N. J., Rohrer, D., Kang, S. H. K., & Pashler, H. (2012). Using spacing to enhance diverse forms of learning: Review of recent research and implications for instruction. Educational Psychology Review, 24, 369–378. [Google Scholar] [CrossRef]
- Carpenter, S. K., Pan, S. C., & Butler, A. C. (2022). The science of effective learning with spacing and retrieval practice. Nature Reviews Psychology, 1, 496–511. [Google Scholar] [CrossRef]
- Cepeda, N. J., Pashler, H., Vul, E., Wixted, J. T., & Rohrer, D. (2006). Distributed practice in verbal recall tasks: A review and quantitative synthesis. Psychological Bulletin, 132, 354–380. [Google Scholar] [CrossRef] [PubMed]
- Cohen, M. S., Yan, V. X., Halamish, V., & Bjork, R. A. (2013). Do students think that difficult or valuable materials should be restudied sooner rather than later? Journal of Experimental Psychology: Learning, Memory, and Cognition, 39, 1682–1696. [Google Scholar] [CrossRef] [PubMed]
- Delaney, P. F., Verkoeijen, P. P. J. L., & Spirgel, A. (2010). Spacing and testing effects: A deeply critical, lengthy, and at times discursive review of the literature. Psychology of Learning and Motivation, 53, 63–147. [Google Scholar] [CrossRef]
- Dunlosky, J. (2013). Strengthening the student toolbox: Study strategies to boost learning. American Educator, 37(3), 12–21. [Google Scholar]
- Dunlosky, J., Rawson, K. A., Marsh, E. J., Nathan, M. J., & Willingham, D. T. (2013). Improving students’ learning with effective learning techniques: Promising directions from cognitive and educational psychology. Psychological Science in the Public Interest, 14, 4–58. [Google Scholar] [CrossRef]
- Eglington, L. G., & Kang, S. H. K. (2017). Interleaved presentation benefits science category learning. Journal of Applied Research in Memory and Cognition, 6, 475–485. [Google Scholar] [CrossRef]
- Emeny, W. G., Hartwig, M. K., & Rohrer, D. (2021). Spaced mathematics practice improves test scores and reduces overconfidence. Applied Cognitive Psychology, 35, 1082–1089. [Google Scholar] [CrossRef]
- Firth, J., Rivers, I., & Boyle, J. (2021). A systematic review of interleaving as a concept learning strategy. Review of Education, 9, 642–684. [Google Scholar] [CrossRef]
- Foster, N. L., Mueller, M. L., Was, C., Rawson, K. A., & Dunlosky, J. (2019). Why does interleaving improve math learning? The contributions of discriminative contrast and distributed practice. Memory & Cognition, 47, 1088–1101. [Google Scholar] [CrossRef]
- Gay, L. R. (1973). Temporal position of reviews and its effect on the retention of mathematical rules. Journal of Educational Psychology, 64, 171–182. [Google Scholar] [CrossRef]
- Halamish, V. (2018). Pre-service and in-service teachers’ metacognitive knowledge of learning strategies. Frontiers in Psychology, 9, 2152. [Google Scholar] [CrossRef]
- Hartwig, M. K., Rohrer, D., & Dedrick, R. F. (2022). Scheduling math practice: Students’ underappreciation of spacing and interleaving. Journal of Experimental Psychology: Applied, 28, 100–113. [Google Scholar] [CrossRef] [PubMed]
- Hopkins, R. F., Lyle, K. B., Hieb, J. L., & Ralston, P. A. (2016). Spaced retrieval practice increases college students’ short- and long-term retention of mathematics knowledge. Educational Psychology Review, 28, 853–873. [Google Scholar] [CrossRef]
- Kang, S. H. (2016). Spaced repetition promotes efficient and effective learning: Policy implications for instruction. Policy Insights from the Behavioral and Brain Sciences, 3, 12–19. [Google Scholar] [CrossRef]
- Kirk-Johnson, A., Galla, B. M., & Fraundorf, S. H. (2019). Perceiving effort as poor learning: The misinterpreted-effort hypothesis of how experienced effort and perceived learning relate to study strategy choice. Cognitive Psychology, 115, 101237. [Google Scholar] [CrossRef]
- Kornell, N., & Bjork, R. A. (2008). Learning concepts and categories: Is spacing the “enemy of induction”? Psychological Science, 19, 585–592. [Google Scholar] [CrossRef]
- Kornell, N., Castel, A. D., Eich, T. S., & Bjork, R. A. (2010). Spacing as the friend of both memory and induction in young and older adults. Psychology and Aging, 25, 498–503. [Google Scholar] [CrossRef] [PubMed]
- Little, J. L., & Nepangue, J. A. (2025). Whether interleaving or blocking is more effective for long-term learning depends on one’s learning strategy. Behavioral Sciences, 15, 662. [Google Scholar] [CrossRef] [PubMed]
- Lyle, K. B., Bego, C. R., Hopkins, R. F., Hieb, J. L., & Ralston, P. A. S. (2020). How the amount and spacing of retrieval practice affect the short- and long-term retention of mathematics knowledge. Educational Psychology Review, 32, 277–295. [Google Scholar] [CrossRef]
- Mayfield, K. H., & Chase, P. N. (2002). The effects of cumulative practice on mathematics problem solving. Journal of Applied Behavior Analysis, 35, 105–123. [Google Scholar] [CrossRef]
- McCabe, J. (2011). Metacognitive awareness of learning strategies in undergraduates. Memory & Cognition, 39, 462–476. [Google Scholar] [CrossRef]
- McDaniel, M. A., & Einstein, G. O. (2020). Training learning strategies to promote self-regulation and transfer: The knowledge, belief, commitment, and planning framework. Perspectives on Psychological Science, 15, 1363–1381. [Google Scholar] [CrossRef]
- Morehead, K., Rhodes, M. G., & DeLozier, S. (2016). Instructor and student knowledge of study strategies. Memory, 24, 257–271. [Google Scholar] [CrossRef]
- Noh, S. M., Yan, V. X., Bjork, R. A., & Maddox, W. T. (2016). Optimal sequencing during category learning: Testing a dual-learning systems perspective. Cognition, 155, 23–29. [Google Scholar] [CrossRef]
- Obergriesser, S., & Stoeger, H. (2020). Students’ emotions of enjoyment and boredom and their use of cognitive learning strategies—How do they affect one another? Learning and Instruction, 66, 101285. [Google Scholar] [CrossRef]
- Pan, S. C. (2015). The interleaving effect: Mixing it up boosts learning. Scientific American Mind, 313(2). Available online: https://www.scientificamerican.com/article/the-interleaving-effect-mixing-it-up-boosts-learning/ (accessed on 29 July 2025).
- Pan, S. C., Tajran, J., Lovelett, J., Osuna, J., & Rickard, T. C. (2019). Does interleaved practice enhance foreign language learning? The effects of training schedule on Spanish verb conjugation skills. Journal of Educational Psychology, 111, 1172–1188. [Google Scholar] [CrossRef]
- Panadero, E. (2017). A review of self-regulated learning: Six models and four directions for research. Frontiers in Psychology, 8, 422. [Google Scholar] [CrossRef]
- Rau, M. A., Aleven, V., & Rummel, N. (2013). Interleaved practice in multi-dimensional learning tasks: Which dimension should we interleave? Learning and Instruction, 23, 98–114. [Google Scholar] [CrossRef]
- Rea, S. D., Wang, L., Muenks, K., & Yan, V. X. (2022). Students can (mostly) recognize effective learning, so why do they not do it? Journal of Intelligence, 10, 127. [Google Scholar] [CrossRef]
- Roediger, H. L., & Pyc, M. A. (2012). Inexpensive techniques to improve education: Applying cognitive psychology to enhance educational practice. Journal of Applied Research in Memory and Cognition, 1, 242–248. [Google Scholar] [CrossRef]
- Rohrer, D. (2012). Interleaving helps students distinguish among similar concepts. Educational Psychology Review, 24, 355–367. [Google Scholar] [CrossRef]
- Rohrer, D. (2015). Student instruction should be distributed over long time periods. Educational Psychology Review 27, 635–643. [Google Scholar] [CrossRef]
- Rohrer, D., Dedrick, R. F., & Burgess, K. (2014). The benefit of interleaved mathematics practice is not limited to superficially similar kinds of problems. Psychonomic Bulletin & Review, 21, 1323–1330. [Google Scholar] [CrossRef]
- Rohrer, D., Dedrick, R. F., & Hartwig, M. K. (2020a). The scarcity of interleaved practice in mathematics textbooks. Educational Psychology Review, 32, 873–883. [Google Scholar] [CrossRef]
- Rohrer, D., Dedrick, R. F., Hartwig, M. K., & Cheung, C.-N. (2020b). A randomized controlled trial of interleaved mathematics practice. Journal of Educational Psychology, 112, 40–52. [Google Scholar] [CrossRef]
- Rohrer, D., Dedrick, R. F., & Stershic, S. (2015). Interleaved practice improves mathematics learning. Journal of Educational Psychology, 107, 900–908. [Google Scholar] [CrossRef]
- Rohrer, D., & Taylor, K. (2006). The effects of overlearning and distributed practice on the retention of mathematics knowledge. Applied Cognitive Psychology, 20, 1209–1224. [Google Scholar] [CrossRef]
- Rohrer, D., & Taylor, K. (2007). The shuffling of mathematics practice problems boosts learning. Instructional Science, 35, 481–498. [Google Scholar] [CrossRef]
- Sana, F., Yan, V. X., & Kim, J. A. (2017). Study sequence matters for the inductive learning of cognitive concepts. Journal of Educational Psychology, 109, 84–98. [Google Scholar] [CrossRef]
- Schneider, W. (2008). The development of metacognitive knowledge in children and adolescents: Major trends and implications for education. Mind, Brain, and Education, 2, 114–121. [Google Scholar] [CrossRef]
- Schutte, G. M., Duhon, G. J., Solomon, B. G., Poncy, B. C., Moore, K., & Story, B. (2015). A comparative analysis of massed vs. distributed practice on basic math fact fluency growth rates. Journal of School Psychology, 53, 149–159. [Google Scholar] [CrossRef] [PubMed]
- Son, L. K., & Simon, D. A. (2012). Distributed learning: Data, metacognition, and educational implications. Educational Psychology Review, 24, 379–399. [Google Scholar] [CrossRef]
- Susser, J. A., & McCabe, J. (2013). From the lab to the dorm room: Metacognitive awareness and use of spaced study. Instructional Science, 41, 345–363. [Google Scholar] [CrossRef]
- Taraban, R., Maki, W. S., & Rynearson, K. (1999). Measuring study time distributions: Implications for designing computer-based courses. Behavioral Research Methods, Instruments, and Computers, 31, 263–269. [Google Scholar] [CrossRef]
- Taylor, K., & Rohrer, D. (2010). The effect of interleaving practice. Applied Cognitive Psychology, 24, 837–848. [Google Scholar] [CrossRef]
- Weinstein, Y., Madan, C. R., & Sumeracki, M. A. (2018). Teaching the science of learning. Cognitive Research: Principles and Implications, 3, 2. [Google Scholar] [CrossRef]
- Wissman, K. T., Rawson, K. A., & Pyc, M. A. (2012). How and when do students use flashcards? Memory, 20, 568–579. [Google Scholar] [CrossRef]
- Yan, V. X., Bjork, E. L., & Bjork, R. A. (2016). On the difficulty of mending metacognitive illusions: A priori theories, fluency effects, and misattributions of the interleaving benefit. Journal of Experimental Psychology: General, 145, 918–933. [Google Scholar] [CrossRef]
- Yan, V. X., & Sana, F. (2021). Does the interleaving effect extend to unrelated concepts? Learners’ beliefs versus empirical evidence. Journal of Educational Psychology, 113, 125–137. [Google Scholar] [CrossRef]
- Yan, V. X., Soderstrom, N. C., Seneviratna, G. S., Bjork, E. L., & Bjork, R. A. (2017). How should exemplars be sequenced in inductive learning? Empirical evidence versus learners’ opinions. Journal of Experimental Psychology: Applied, 23, 403–416. [Google Scholar] [CrossRef] [PubMed]
- Zepeda, C. D., Martin, R. S., & Butler, A. C. (2020). Motivational strategies to engage learners in desirable difficulties. Journal of Applied Research in Memory and Cognition, 9, 468–474. [Google Scholar] [CrossRef]
- Ziegler, E., & Stern, E. (2014). Delayed benefits of learning elementary algebraic transformations through contrasted comparisons. Learning and Instruction, 33, 131–146. [Google Scholar] [CrossRef]
- Zimmerman, B. J. (2000). Attaining self-regulation: A social cognitive perspective. In M. Boekaerts, P. R. Pintrich, & M. Zeidner (Eds.), Handbook of self-regulation (pp. 13–39). Academic Press. [Google Scholar] [CrossRef]






| Perceptions | 1 | 2 | 3 | 4 | 5 | 
|---|---|---|---|---|---|
| 1. Time Required | – | ||||
| 2. Difficulty | 0.66 * | – | |||
| 3. Interest | −0.30 * | −0.41 * | – | ||
| 4. Efficacy | −0.30 * | −0.28 * | 0.33 * | – | |
| 5. Preference | −0.57 * | −0.61 * | 0.51 * | 0.48 * | – | 
| Disclaimer/Publisher’s Note: The statements, opinions and data contained in all publications are solely those of the individual author(s) and contributor(s) and not of MDPI and/or the editor(s). MDPI and/or the editor(s) disclaim responsibility for any injury to people or property resulting from any ideas, methods, instructions or products referred to in the content. | 
© 2025 by the authors. Licensee MDPI, Basel, Switzerland. This article is an open access article distributed under the terms and conditions of the Creative Commons Attribution (CC BY) license (https://creativecommons.org/licenses/by/4.0/).
Share and Cite
Hartwig, M.K.; Rohrer, D. Students’ Perceptions of Effective Math Learning Strategies. Behav. Sci. 2025, 15, 1047. https://doi.org/10.3390/bs15081047
Hartwig MK, Rohrer D. Students’ Perceptions of Effective Math Learning Strategies. Behavioral Sciences. 2025; 15(8):1047. https://doi.org/10.3390/bs15081047
Chicago/Turabian StyleHartwig, Marissa K., and Doug Rohrer. 2025. "Students’ Perceptions of Effective Math Learning Strategies" Behavioral Sciences 15, no. 8: 1047. https://doi.org/10.3390/bs15081047
APA StyleHartwig, M. K., & Rohrer, D. (2025). Students’ Perceptions of Effective Math Learning Strategies. Behavioral Sciences, 15(8), 1047. https://doi.org/10.3390/bs15081047
 
        
 
                                                

 
       