Predicting Leadership Status Through Trait Emotional Intelligence and Cognitive Ability
Abstract
1. Introduction
Present Study
- Age, given the results of prior studies and the role of job experience and age preference for managerial appointments (Chaturvedi et al., 2012; Cuppello et al., 2024);
- Gender, considering the well-documented gender gap in leadership attainment (Carli & Eagly, 2011);
- Educational attainment, respective of the role of leadership training in educational programs and the requirement of educational credentials for many managerial positions (Hanna et al., 2020);
- Employment status, i.e., full-time or part-time employment, due to differences in responsibilities between the two modalities of management (McDonald et al., 2009).
2. Methods
2.1. Participants
2.2. Measures
2.3. Procedure
2.4. Data Cleaning
2.5. Data Analysis Plan
3. Results
3.1. Logistic Regression
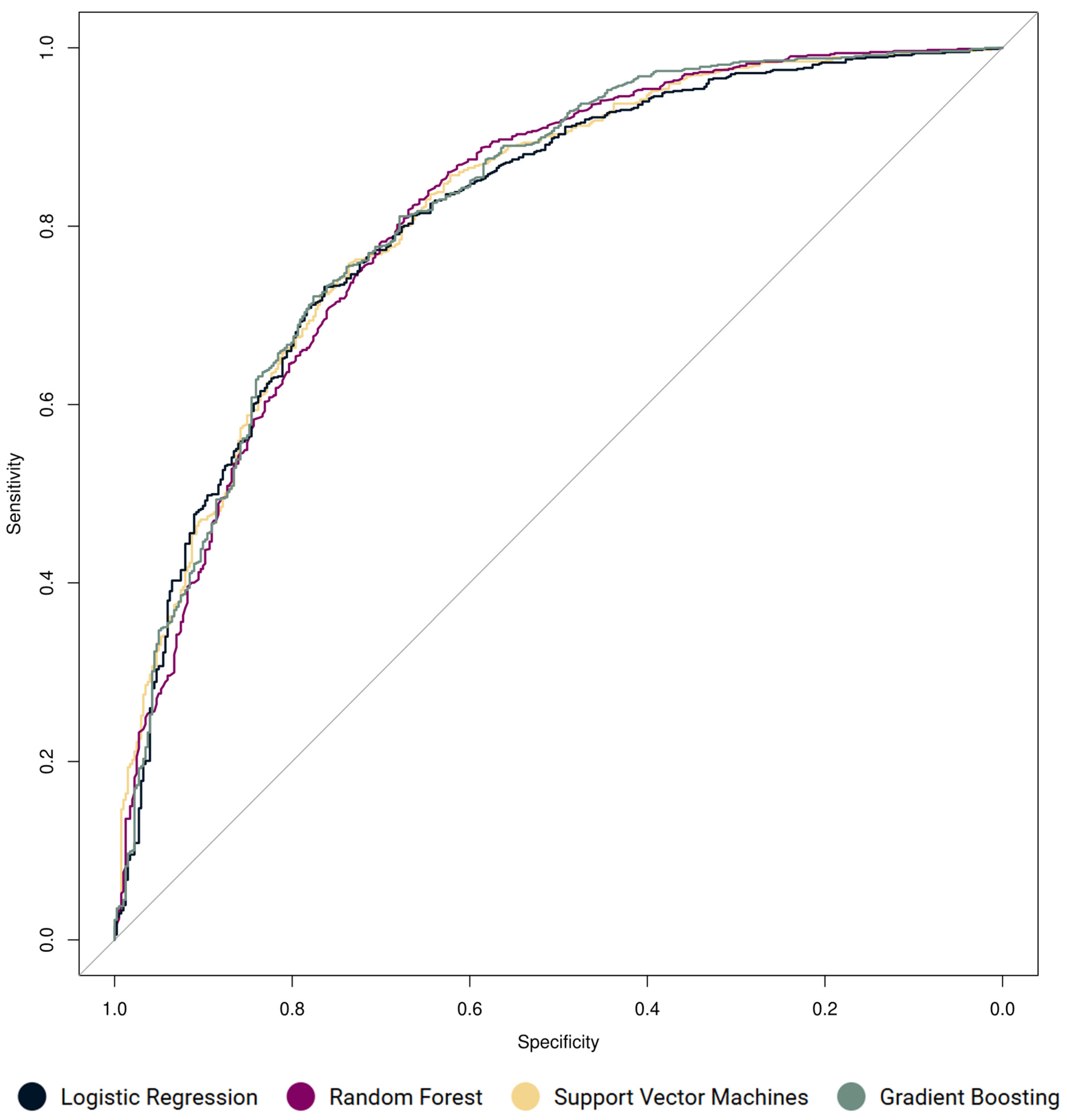
3.2. Machine Learning Algorithm Comparison
3.3. Analysis of the Selected Machine Learning Model
4. Discussion
4.1. The Isolated Effects of Trait Emotional Intelligence and Cognitive Ability on Leadership Status
4.2. Venturing Beyond Linear Effects
4.3. Digging Deeper: Permutation Analysis and Interactive Effects
4.4. Limitations and Future Directions
4.5. Conclusions
Author Contributions
Funding
Institutional Review Board Statement
Informed Consent Statement
Data Availability Statement
Conflicts of Interest
Appendix A
| Variable | M | SD | 1 | 2 | 3 | 4 | 5 | 6 | 7 | 8 | 9 | 10 | 11 | 12 | 13 | 14 |
|---|---|---|---|---|---|---|---|---|---|---|---|---|---|---|---|---|
| 1. Age | 37.93 | 10.12 | - | |||||||||||||
| 2. Gender | 0.63 | 0.48 | 0.13 ** | - | ||||||||||||
| 3. Educational attainment | 0.90 | 0.88 | 0.12 ** | −0.05 ** | - | |||||||||||
| 4. Employment status | 0.94 | 0.24 | 0.08 ** | 0.16 ** | −0.03 ** | - | ||||||||||
| 5. Leadership status | 0.65 | 0.48 | 0.40 ** | 0.15 ** | 0.15 ** | 0.14 ** | - | |||||||||
| 6. GIA VR | 39.88 | 8.68 | −0.15 ** | −0.04 ** | 0.04 ** | 0.00 | −0.04 ** | (0.70) | ||||||||
| 7. GIA PS | 42.79 | 6.39 | −0.14 ** | 0.03 * | 0.05 ** | 0.02 | −0.02 | 0.47 ** | (0.70) | |||||||
| 8. GIA ND | 14.69 | 6.00 | −0.11 ** | 0.21 ** | 0.10 ** | 0.02 | 0.02 | 0.42 ** | 0.41 ** | (0.71) | ||||||
| 9. GIA WM | 30.19 | 5.35 | 0.12 ** | 0.01 | 0.15 ** | 0.02 | 0.09 ** | 0.50 ** | 0.42 ** | 0.36 ** | (0.71) | |||||
| 10. GIA SV | 10.14 | 5.10 | 0.02 | 0.15 ** | 0.06 ** | 0.05 ** | 0.03 * | 0.30 ** | 0.34 ** | 0.39 ** | 0.32 ** | (0.74) | ||||
| 11. TEIQue WB | 5.83 | 0.63 | 0.05 ** | −0.04 ** | 0.06 ** | −0.01 | 0.09 ** | −0.04 ** | −0.02 | −0.03 * | −0.05 ** | −0.04 ** | (0.72) | |||
| 12. TEIQue SC | 5.33 | 0.73 | 0.17 ** | 0.15 ** | 0.05 ** | 0.03 * | 0.15 ** | −0.09 ** | −0.04 ** | −0.05 ** | −0.08 ** | −0.00 | 0.53 ** | (0.79) | ||
| 13. TEIQue Emo | 5.62 | 0.65 | 0.05 ** | −0.18 ** | 0.04 ** | −0.04 ** | 0.04 ** | −0.04 ** | −0.02 | −0.11 ** | −0.03 * | −0.05 ** | 0.60 ** | 0.47 ** | (0.75) | |
| 14. TEIQue Soc | 5.46 | 0.60 | 0.13 ** | 0.13 ** | 0.03 * | 0.07 ** | 0.24 ** | 0.01 | −0.02 | 0.03 * | 0.02 | −0.00 | 0.56 ** | 0.42 ** | 0.50 ** | (0.77) |
| Variable | 1 | 2 | 3 | 4 | 5 | 6 | 7 | 8 | 9 | 10 | 11 | 12 | 13 |
|---|---|---|---|---|---|---|---|---|---|---|---|---|---|
| 1. Age | - | ||||||||||||
| 2. Gender | 0.07 | - | |||||||||||
| 3. Educational attainment | 0.16 | 0.08 | - | ||||||||||
| 4. Employment status | 0.07 | 0.03 | 0.04 | - | |||||||||
| 5. GIA Verbal Reasoning | 0.03 | 0.03 | 0.04 | 0.02 | - | ||||||||
| 6. GIA Perceptual Speed | 0.03 | 0.03 | 0.03 | 0.02 | 0.01 | - | |||||||
| 7. GIA Number Speed and Accuracy | 0.03 | 0.04 | 0.04 | 0.03 | 0.01 | 0.01 | - | ||||||
| 8. GIA Word Meaning | 0.04 | 0.03 | 0.03 | 0.03 | 0.02 | 0.01 | 0.01 | - | |||||
| 9. GIA Spatial Visualization | 0.04 | 0.04 | 0.03 | 0.02 | 0.01 | 0.01 | 0.01 | 0.02 | - | ||||
| 10. TEIQue Well-Being | 0.05 | 0.03 | 0.04 | 0.03 | 0.02 | 0.01 | 0.01 | 0.01 | 0.01 | - | |||
| 11. TEIQue Self-Control | 0.04 | 0.04 | 0.04 | 0.03 | 0.02 | 0.01 | 0.02 | 0.02 | 0.02 | 0.02 | - | ||
| 12. TEIQue Emotionality | 0.04 | 0.04 | 0.03 | 0.04 | 0.01 | 0.01 | 0.02 | 0.02 | 0.02 | 0.03 | 0.02 | - | |
| 13. TEIQue Sociability | 0.09 | 0.04 | 0.05 | 0.03 | 0.03 | 0.02 | 0.03 | 0.02 | 0.03 | 0.04 | 0.04 | 0.04 | - |
References
- Acton, B. P., Foti, R. J., Lord, R. G., & Gladfelter, J. A. (2019). Putting emergence back in leadership emergence: A dynamic, multilevel, process-oriented framework. The Leadership Quarterly, 30(1), 145–164. [Google Scholar] [CrossRef]
- Afshartous, D., & Preston, R. A. (2011). Key results of interaction models with centering. Journal of Statistics Education, 19(3), 1–24. [Google Scholar] [CrossRef]
- Agrawal, T. (2021). Hyperparameter optimization in machine learning: Make your machine learning and deep learning models more efficient (1st ed.). Apress. [Google Scholar] [CrossRef]
- Alon, I., Lankut, E., Gunkel, M., Munim, Z. H., Taras, V., & Richter, N. F. (2023). Predicting leadership emergence in global virtual teams. Entrepreneurial Business and Economics Review, 11(3), 7–23. [Google Scholar] [CrossRef]
- Amagoh, F. (2009). Leadership development and leadership effectiveness. Management Decision, 47(6), 989–999. [Google Scholar] [CrossRef]
- Ames, D. R., & Flynn, F. J. (2007). What breaks a leader: The curvilinear relation between assertiveness and leadership. Journal of Personality and Social Psychology, 92(2), 307–324. [Google Scholar] [CrossRef]
- Ang, S., & van Dyne, L. (2008). Social intelligence, emotional intelligence, and cultural intelligence: An integrative perspective. In S. Ang, & L. van Dyne (Eds.), Handbook of cultural intelligence: Theory, measurement, and applications. Routledge. [Google Scholar]
- Anne Bardoel, E., Morgan, L., & Santos, C. (2007). ‘Quality’ part-time work in Australian organizations: Implications for HRD. Human Resource Development International, 10(3), 281–299. [Google Scholar] [CrossRef]
- Antonakis, J. (2011). Predictors of leadership: The usual suspects and the suspect traits. In A. Bryman, D. Collinson, K. Grint, B. Jackson, & M. Uhl-Bien (Eds.), Sage handbook of leadership (1st ed., pp. 269–286). Sage Publications. [Google Scholar]
- Antonakis, J., House, R. J., & Simonton, D. K. (2017). Can super smart leaders suffer from too much of a good thing? The curvilinear effect of intelligence on perceived leadership behavior. Journal of Applied Psychology, 102, 1003–1021. [Google Scholar] [CrossRef]
- Badura, K. L., Galvin, B. M., & Lee, M. Y. (2022). Leadership emergence: An integrative review. Journal of Applied Psychology, 107(11), 2069–2100. [Google Scholar] [CrossRef]
- Barrick, M. R., Mount, M. K., & Judge, T. A. (2001). Personality and performance at the beginning of the new millennium: What do we know and where do we go next? International Journal of Selection and Assessment, 9(1–2), 9–30. [Google Scholar] [CrossRef]
- Bartash, J. (2024, September 9). Full-time jobs are vanishing and forcing more people into part-time work. Morningstar. [Google Scholar]
- Baruch, Y., & Peiperl, M. (2000). The impact of an MBA on graduate careers. Human Resource Management Journal, 10(2), 69–90. [Google Scholar] [CrossRef]
- Benson, R., Fearon, C., McLaughlin, H., & Garratt, S. (2013). Investigating trait emotional intelligence among school leaders: Demonstrating a useful self-assessment approach. School Leadership & Management, 34(2), 201–222. [Google Scholar] [CrossRef]
- Bi, Q., Goodman, K. E., Kaminsky, J., & Lessler, J. (2019). What is machine learning? A primer for the epidemiologist. American Journal of Epidemiology, 188(12), 2222–2239. [Google Scholar] [CrossRef] [PubMed]
- Birknerová, Z., Zbihlejová, L., & Frankovský, M. (2021). The emotional and social intelligence of Slovak managers. In L. Kaliská, & J. Pellitteri (Eds.), Eastern european perspectives on emotional intelligence (1st ed.). Routledge. [Google Scholar]
- Breiman, L. (2001). Random forests. Machine Learning, 45(1), 5–32. [Google Scholar] [CrossRef]
- Budler, L. C., Gosak, L., Vrbnjak, D., Pajnkihar, M., & Štiglic, G. (2022). Emotional intelligence among nursing students: Fndings from a longitudinal study. Healthcare, 10(10), 2032. [Google Scholar] [CrossRef] [PubMed]
- Carli, L. L., & Eagly, A. H. (2011). Gender and leadership. In A. Bryman, K. Grint, & D. Collinson (Eds.), The SAGE handbook of leadership (pp. 103–117). Sage Publications. [Google Scholar]
- Chaturvedi, S., Zyphur, M. J., Arvey, R. D., Avolio, B. J., & Larsson, G. (2012). The heritability of emergent leadership: Age and gender as moderating factors. The Leadership Quarterly, 23, 219–232. [Google Scholar] [CrossRef]
- Conger, J. A., & Kanungo, R. N. (1994). Charismatic leadership in organizations: Perceived behavioral attributes and their measurement. Journal of Organizational Behavior, 15(5), 439–452. [Google Scholar] [CrossRef]
- Connelly, M. S., Gilbert, J. A., Zaccaro, S. J., Threlfall, K. V., Marks, M. A., & Mumford, M. D. (2000). Exploring the relationship of leadership skills and knowledge to leader performance. The Leadership Quarterly, 11(1), 65–86. [Google Scholar] [CrossRef]
- Cook, A., Zill, A., & Meyer, B. (2021). Perceiving leadership structures in teams: Effects of cognitive schemas and perceived communication. Small Group Research, 52(3), 251–287. [Google Scholar] [CrossRef]
- Cronshaw, S. F., & Lord, R. G. (1987). Effects of categorization, attribution, and encoding processes on leadership perceptions. Journal of Applied Psychology, 72(1), 97–106. [Google Scholar] [CrossRef]
- Crowne, K. A. (2009). The relationships among social intelligence, emotional intelligence and cultural intelligence. Organization Management Journal, 6(3), 148–163. [Google Scholar] [CrossRef]
- Cuppello, S., Treglown, L., & Furnham, A. (2023). Personality and management level: Traits that get you to the top. Personality and Individual Differences, 206, 112108. [Google Scholar] [CrossRef]
- Cuppello, S., Treglown, L., & Furnham, A. (2024). Intelligence, personality, and management level. Consulting Psychology Journal, 76(4), 331–347. [Google Scholar] [CrossRef]
- Daly, M., Egan, M., & O’Reilly, F. (2015). Childhood general cognitive ability predicts leadership role occupancy across life: Evidence from 17,000 cohort study participants. The Leadership Quarterly, 26(3), 323–341. [Google Scholar] [CrossRef]
- Dann, P. (2015). The General Intelligence Assessment (GIA) technical manual. Thomas International Limited. [Google Scholar]
- Deane-Mayer, Z. A. (2024). caretEnsemble: Ensembles of caret models (Version R package version 4.0.1). Available online: https://github.com/zachmayer/caretEnsemble (accessed on 21 September 2024).
- Delgado, R., & Tibau, X.-A. (2019). Why Cohen’s Kappa should be avoided as performance measure in classification. PLoS ONE, 14(9), e0222916. [Google Scholar] [CrossRef]
- DeRue, D. S., & Ashford, S. J. (2010). Who will lead and who will follow? A social process of leadership identity construction in organizations. Academy of Management Review, 35(4), 627–647. [Google Scholar] [CrossRef]
- de Vries, R. E. (2012). Personality predictors of leadership styles and the self–other agreement problem. The Leadership Quarterly, 23(5), 809–821. [Google Scholar] [CrossRef]
- Dipboye, R. L. (Ed.). (2018). Leader emergence and effectiveness in organizations. In The emerald review of industrial and organizational psychology (pp. 441–493). Emerald Publishing. [Google Scholar] [CrossRef]
- Díaz-Uriarte, R., & Alvarez de Andrés, S. (2006). Gene selection and classification of microarray data using random forest. BMC Bioinformatics, 7, 3. [Google Scholar] [CrossRef]
- Do, M. H., & Minbashian, A. (2020). Higher-order personality factors and leadership outcomes: A meta-analysis. Personality and Individual Differences, 163, 110058. [Google Scholar] [CrossRef]
- Doǧru, Ç. (2022). A meta-analysis of the relationships between emotional intelligence and employee outcomes. Frontiers in Psychology, 13, 611348. [Google Scholar] [CrossRef]
- Doornenbal, B. M., Spisak, B. R., & van der Laken, P. A. (2022). Opening the black box: Uncovering the leader trait paradigm through machine learning. The Leadership Quarterly, 33(5), 101515. [Google Scholar] [CrossRef]
- Drzewiecka, M., & Roczniewska, M. (2018). The relationship between perceived leadership styles and organisational constraints: An empirical study in Goleman’s typology. European Review of Applied Psychology, 68(4–5), 161–169. [Google Scholar] [CrossRef]
- Dwyer, D. B., Falkai, P., & Koutsouleris, N. (2018). Machine learning approaches for clinical psychology and psychiatry. Annual Review of Clinical Psychology, 14, 91–118. [Google Scholar] [CrossRef]
- Elen, A., Baş, S., & Közkurt, C. (2022). An adaptive gaussian kernel for support vector machine. Arabian Journal for Science and Engineering, 47(8), 10579–10588. [Google Scholar] [CrossRef]
- Evans, K., & Greenway, D. (2023). Beyond role expectations: Gender, leadership emergence, and the changing nature of work. In S. K. Dhiman (Ed.), The routledge companion to leadership and change (1st ed., pp. 327–337). Routledge. [Google Scholar] [CrossRef]
- Fagan, C., Norman, H., Smith, M., & González Menéndez, M. C. (2014). In search of good quality part-time employment. Conditions of Work and Employment, Issue. I. L. Organization. [Google Scholar]
- Farh, C. I. C. C., Seo, M.-G., & Tesluk, P. E. (2012). Emotional intelligence, teamwork effectiveness, and job performance: The moderating role of job context. Journal of Applied Psychology, 97(4), 890–900. [Google Scholar] [CrossRef]
- Ferguson, E. D., Hagaman, J., Grice, J. W., & Peng, K. (2006). From leadership to parenthood: The applicability of leadership styles to parenting styles. Group Dynamics: Theory, Research, and Practice, 10(1), 43–55. [Google Scholar] [CrossRef]
- Fischer, T., Dietz, J., & Antonakis, J. (2016). Leadership process models: A review and synthesis. Journal of Management, 43(6), 1726–1753. [Google Scholar] [CrossRef]
- Fischer, T., & Sitkin, S. B. (2023). Leadership styles: A comprehensive assessment and way forward. Academy of Management Annals, 17(1), 331–372. [Google Scholar] [CrossRef]
- Friedman, J. H., & Popescu, B. E. (2008). Predictive learning via rule ensembles. The Annals of Applied Statistics, 2(3), 916–954. [Google Scholar] [CrossRef]
- Fry, R., & Braga, D. (2023). Older workers are growing in number and earning higher wages. Available online: https://www.pewresearch.org/wp-content/uploads/sites/20/2023/12/ST_2023.12.14_Older-Workers_Report.pdf (accessed on 15 November 2024).
- Funk, S., & Warning, S. (2024). The leadership gap between full-time and part-time female employees. European Management Journal. [Google Scholar] [CrossRef]
- Galvin, B. M., Badura, K., LePine, J., & LePine, M. (2023). A theoretical integration of leader emergence and leadership effectiveness: Over, under, and congruent emergence. Journal of Organizational Behavior, 45(2), 295–312. [Google Scholar] [CrossRef]
- Gardner, W. L., Hanna, A. A., Noghani, F., & Cogliser, C. C. (2024). Leadership emergence: Answering the “how” and “why” questions by considering levels of analysis and form of emergence. Annual Review of Organizational Psychology and Organizational Behavior, 11, 139–164. [Google Scholar] [CrossRef]
- Gigliarano, C., Figini, S., & Muliere, P. (2014). Making classifier performance comparisons when ROC curves intersect. Computational Statistics and Data Analysis, 77, 300–312. [Google Scholar] [CrossRef]
- Goleman, D. (2000). Leadership that gets results. Harvard Business Review, 78(2), 78–90. [Google Scholar]
- Gough, H. G. (1990). Testing for leadership with the California Psychological Inventory. In K. Clark, & M. Clark (Eds.), Measures of leadership (pp. 355–379). Center for Creative Leadership. [Google Scholar]
- Grabo, A., Spisak, B. R., & van Vugt, M. (2017). Charisma as signal: An evolutionary perspective on charismatic leadership. The Leadership Quarterly, 28(4), 473–485. [Google Scholar] [CrossRef]
- Gruda, D., McCleskey, J., Karanatsiou, D., & Vakali, A. (2021). I’m simply the best, better than all the rest: Narcissistic leaders and corporate fundraising success. Personality and Individual Differences, 168, 110317. [Google Scholar] [CrossRef]
- Gulliksen, J., Lilliesköld, J., & Stenbom, S. (2023). The ‘new’ new normal—Digitalization and hybridization of work and education before, during and after the COVID-19 pandemic. Interacting with Computers, 35(5), 691–706. [Google Scholar] [CrossRef]
- Hanna, A. A., Smith, T. A., Kirkman, B. L., & Griffin, R. W. (2020). The emergence of emergent leadership: A comprehensive framework and directions for future research. Journal of Management, 47(1), 76–104. [Google Scholar] [CrossRef]
- Hong, K. C., Bin Shibghatullah, A. S., Ling, T. C., & Sarsam, S. M. (2024). Generative AI-powered predictive analytics model: Leveraging synthetic datasets to determine erp adoption success through critical success factors. International Journal of Advanced Computer Science and Applications, 15(5), 469–482. [Google Scholar] [CrossRef]
- Hosmer, D. W., Jr., Lemeshow, S., & Sturdivant, R. X. (2013). Applied logistic regression. John Wiley and Sons. [Google Scholar]
- Hutter, F., Lücke, J., & Schmidt-Thieme, L. (2015). Beyond manual tuning of hyperparameters. Künstliche Intelligenz, 29, 329–337. [Google Scholar] [CrossRef]
- Ibáñez, Z. (2011). Part-time in skilled jobs: The case of teachers in the UK, Spain and the Netherlands. In S. Drobnič, & A. M. Guillén (Eds.), Work-life balance in Europe: The role of job quality (pp. 149–173). Palgrave Macmillan UK. [Google Scholar] [CrossRef]
- Ilies, R., Gerhardt, M. W., & Le, H. (2004). Individual differences in leadership emergence: Integrating meta-analytic findings and behavioral genetics estimates. International Journal of Selection and Assessment, 12(3), 207–219. [Google Scholar] [CrossRef]
- Inglis, A., Parnell, A., & Hurley, C. B. (2022). Visualizing variable importance and variable interaction effects in machine learning models. Journal of Computational and Graphical Statistics, 31(3), 1–13. [Google Scholar] [CrossRef]
- Janitza, S., Tutz, G., & Boulesteix, A.-L. (2016). Random forest for ordinal responses: Prediction and variable selection. Computational Statistics and Data Analysis, 96, 57–73. [Google Scholar] [CrossRef]
- Jiang, T., Gradus, J. L., & Rosellini, A. J. (2020). Supervised machine learning: A brief primer. Behavior Therapy, 51(5), 675–687. [Google Scholar] [CrossRef]
- Joseph, V. R. (2022). Optimal ratio for data splitting. Statistical Analysis and Data Mining: The ASA Data Science Journal, 15(4), 531–538. [Google Scholar] [CrossRef]
- Judge, T. A., Bono, J. E., Ilies, R., & Gerhardt, M. W. (2002). Personality and leadership: A qualitative and quantitative review. Journal of Applied Psychology, 87, 765–780. [Google Scholar] [CrossRef] [PubMed]
- Judge, T. A., Colbert, A. E., & Ilies, R. (2004). Intelligence and leadership: A quantitative review and test of theoretical propositions. Journal of Applied Psychology, 89(3), 542–552. [Google Scholar] [CrossRef]
- Jumin, E., Zaini, N., Ahmed, A. N., Abdullah, S., Ismail, M., Sherif, M., Sefelnasr, A., & El-Shafie, A. (2020). Machine learning versus linear regression modelling approach for accurate ozone concentrations prediction. Engineering Applications of Computational Fluid Mechanics, 14(1), 713–725. [Google Scholar] [CrossRef]
- Kaiser, R. B., & Craig, S. B. (2011). Do the behaviors related to managerial effectiveness really change with organizational level? An empirical test. The Psychologist-Manager Journal, 14(2), 92–119. [Google Scholar] [CrossRef]
- Karlshaus, A. (2020). Implementing part-time leadership as instrument for sustainable HR management. International Journal of Corporate Social Responsibility, 5(1), 9. [Google Scholar] [CrossRef]
- Khan, M., Minbashian, A., & MacCann, C. (2021). College students in the western world are becoming less emotionally intelligent: A cross-temporal meta-analysis of trait emotional intelligence. Journal of Personality, 89(6), 1176–1190. [Google Scholar] [CrossRef]
- Kim, K., Kim, J., Antonio, J., & Laws, J. (2021). Emotional intelligence, trust, and functional behavior: Longitudinal study of achievement approach to leadership emergence. Journal of Organizational Psychology, 21(4), 181–192. [Google Scholar]
- Koul, A., Becchio, C., & Cavalllo, A. (2018). Cross-validation approaches for replicability in psychology. Frontiers in Psychology, 9, 1117. [Google Scholar] [CrossRef]
- Krauss, C., Do, X. A., & Huck, N. (2017). Deep neural networks, gradient-boosted trees, random forests: Statistical arbitrage on the S&P 500. European Journal of Operational Research, 259(2), 689–702. [Google Scholar] [CrossRef]
- Kuhn, M. (2008). Building predictive models in R using the caret package. Journal of Statistical Software, 28(5), 1–26. [Google Scholar] [CrossRef]
- Leary, T. G., Green, R., Denson, K., Schoenfeld, G., Henley, T., & Langford, H. (2013). The relationship among dysfunctional leadership dispositions, employee engagement, job satisfaction, and burnout. The Psychologist-Manager Journal, 16(2), 112–130. [Google Scholar] [CrossRef]
- Lee, A., Inceoglu, I., Hauser, O., & Greene, M. (2022). Determining causal relationships in leadership research using machine Learning: The powerful synergy of experiments and data science. The Leadership Quarterly, 33(5), 101426. [Google Scholar] [CrossRef]
- Lestari, S. D., & Sawitri, D. R. (2017). Correlation between emotional intelligence and work engagement of special need school teachers. Advanced Science Letters, 23(4), 3480–3482. [Google Scholar] [CrossRef][Green Version]
- Lobo, J. M., Jiménez-Valverde, A., & Real, R. (2008). AUC: A misleading measure of the performance of predictive distribution models. Global Ecology and Biogeography, 17(2), 145–151. [Google Scholar] [CrossRef]
- Malakouti, S. M. (2023). Babysitting hyperparameter optimization and 10-fold-cross-validation to enhance the performance of ML methods in predicting wind speed and energy generation. Intelligent Systems with Applications, 19, 200248. [Google Scholar] [CrossRef]
- McCarthy, R. V., McCarthy, M. M., Ceccucci, W., & Halawi, L. (2019). Predictive models using decision trees. In Applying predictive analytics: Finding value in data (pp. 123–144). Springer International Publishing. [Google Scholar] [CrossRef]
- McDonald, P., Bradley, L., & Brown, K. (2009). ‘Full-time is a given here’: Part-time versus full-time job quality. British Journal of Management, 20(2), 143–157. [Google Scholar] [CrossRef]
- Miao, C., Humphrey, R. H., & Qian, S. (2016). A meta-analysis of emotional intelligence and work attitudes. Journal of Occupational and Organizational Psychology, 90(2), 177–202. [Google Scholar] [CrossRef]
- Mihail, D. M., & Kloutsiniotis, P. V. (2014). The impact of an MBA on managerial skills and career advancement: The Greek case. The International Journal of Management Education, 12(3), 212–222. [Google Scholar] [CrossRef]
- Morfaki, C. (2022). Trait emotional intelligence among hierarchical levels of leadership. Organizatsionnaya Psikhologiya, 12(4), 69–85. [Google Scholar] [CrossRef]
- Nasteski, V. (2017). An overview of the supervised machine learning methods. Horizons Series B, 4, 51–62. [Google Scholar] [CrossRef]
- Natekin, A., & Knoll, A. (2013). Gradient boosting machines, a tutorial. Frontiers in Neurorobotics, 7, 21. [Google Scholar] [CrossRef] [PubMed]
- Nesbit, P. L. (2006). The utilization of part-time and casual work for managers, professionals, general and administrative staff in large Australian organizations. Management Research News, 29(6), 326–333. [Google Scholar] [CrossRef]
- Ng, T. W. H., Eby, L. T., Sorensen, K. L., & Feldman, D. C. (2005). Predictors of objective and subjective career success. A meta-analysis. Personnel Psychology, 58(2), 367–408. [Google Scholar] [CrossRef]
- Noble, W. (2006). What is a support vector machine? Nature Biotechnology, 24, 1565–1567. [Google Scholar] [CrossRef]
- Paoletti, J., Gilberto, J. M., Beier, M. E., & Salas, E. (2020). The role of aging, age diversity, and age heterogeneity within teams. In S. J. Czaja, J. Sharit, & J. B. James (Eds.), Current and emerging trends in aging and work (1st ed., pp. 319–336). Springer. [Google Scholar] [CrossRef]
- Pargent, F., Schoedel, R., & Stachl, C. (2023). Best practices in supervised machine learning: A tutorial for psychologists. Advances in Methods and Practices in Psychological Science, 6(3), 25152459231162559. [Google Scholar] [CrossRef]
- Perifanis, N.-A., & Kitsios, F. (2023). Investigating the influence of artificial intelligence on business value in the digital era of strategy: A literature review. Information, 14(2), 85. [Google Scholar] [CrossRef]
- Petrides, K. V. (2009). Technical manual for the Trait Emotional Intelligence Questionnaires (TEIQue) (1st ed.). London Psychometric Laboratory. [Google Scholar]
- Petrides, K. V. (2011). Ability and trait emotional intelligence. In T. Chamorro-Premuzic, S. von Stumm, & A. Furnham (Eds.), The Wiley-Blackwell handbook of individual differences (1st ed., pp. 656–678). Wiley Blackwell. [Google Scholar] [CrossRef]
- Petrides, K. V., & Furnham, A. (2006). The role of trait emotional intelligence in a gender-specific model of organizational variables. Journal of Applied Social Psychology, 36(2), 552–569. [Google Scholar] [CrossRef]
- Petrides, K. V., Pita, R., & Kokkinaki, F. (2007). The location of trait emotional intelligence in personality factor space. British Journal of Psychology, 98, 273–289. [Google Scholar] [CrossRef]
- Petrides, K. V., Vernon, P. A., Schermer, J. A., Ligthart, L., Boomsma, D. I., & Veselka, L. (2010). Relationships between trait emotional intelligence and the Big Five in the Netherlands. Personality and Individual Differences, 48(8), 906–910. [Google Scholar] [CrossRef]
- Polley, E., LeDell, E., Kennedy, C., Lendle, S., & van der Laan, M. (2024). SuperLearner: Super learner prediction (Version R package version 2.0-29). University of Chicago. Available online: https://cran.r-project.org/web/packages/SuperLearner/ (accessed on 14 September 2024).
- Rajah, R., Song, Z., & Arvey, R. D. (2011). Emotionality and leadership: Taking stock of the past decade of research. The Leadership Quarterly, 22(6), 1107–1119. [Google Scholar] [CrossRef]
- R Core Team. (2021). R: A language and environment for statistical computing. R Foundation for Statistical Computing. Available online: https://www.R-project.org/ (accessed on 24 July 2024).
- Roth, P. (2022). How social context impacts the emergence of leadership structures. Leadership, 18(4), 539–562. [Google Scholar] [CrossRef]
- Roy, D. K., Biswas, S. K., Haque, M. P., Paul, C. R., Munmun, T. H., & Datta, B. (2024). Multiscale groundwater level forecasts with multi-model ensemble approaches: Combining machine learning models using decision theories and bayesian model averaging. Groundwater for Sustainable Development, 27, 101347. [Google Scholar] [CrossRef]
- R Studio Team. (2020). RStudio: Integrated development for R. RStudio, PBC. Available online: http://www.rstudio.com/ (accessed on 24 July 2024).
- Russ, S., Perazzo, M. F., & V., P. K. (2023). The role of trait emotional intelligence in healthcare leadership. In N. Chambers (Ed.), Research handbook on leadership in healthcare (pp. 188–203). Edward Elgar Publishing. [Google Scholar] [CrossRef]
- Saha, S., Das, R., Lim, W. M., Kumar, S., Malik, A., & Chillakuri, B. (2023). Emotional intelligence and leadership: Insights for leading by feeling in the future of work. International Journal of Manpower, 44(4), 671–701. [Google Scholar] [CrossRef]
- Schneider, M., & Brühl, R. (2023). Disentangling the black box around CEO and financial information-based accounting fraud detection: Machine learning-based evidence from publicly listed U.S. firms. Journal of Business Economics, 93, 1591–1628. [Google Scholar] [CrossRef]
- Schreyer, H., Plouffe, R. A., Wilson, C. A., & Saklofske, D. H. (2023). What makes a leader? Trait emotional intelligence and Dark Tetrad traits predict transformational leadership beyond HEXACO personality factors. Current Psychology, 42(3), 2077–2086. [Google Scholar] [CrossRef]
- Shamir, B., & Howell, J. M. (1999). Organizational and contextual influences on the emergence and effectiveness of charismatic leadership. The Leadership Quarterly, 10(2), 257–283. [Google Scholar] [CrossRef]
- Shetty, S. H., Shetty, S., Singh, C., & Rao, A. (2022). Supervised machine learning: Algorithms and applications. In P. Singh (Ed.), Fundamentals and methods of machine and deep learning: Algorithms, tools and applications (1st ed., pp. 1–16). Wiley-Scrivener. [Google Scholar]
- Siegling, A. B., Nielsen, C., & Petrides, K. V. (2014). Trait emotional intelligence and leadership in a European multinational company. Personality and Individual Differences, 65, 65–68. [Google Scholar] [CrossRef]
- Silva, A. (2016). What is Leadership? Journal of Business Studies Quarterly, 8(1), 1–5. [Google Scholar]
- Statnikov, A., & Aliferis, C. F. (2007). Are random forests better than support vector machines for microarray-based cancer classification? AMIA Annual Symposium Proceedings, 2007, 686–690. [Google Scholar]
- Stoltzfus, J. C. (2011). Logistic regression: A brief primer. Academic Emergency Medicine, 18(10), 1099–1104. [Google Scholar] [CrossRef]
- Tabassum, M., Raziq, M. M., & Sarwar, N. (2023). Toward an overarching multi-level conceptualization of emergent leadership: Perspectives from social identity, and implicit leadership theories. Human Resource Management Review, 33(2), 100951. [Google Scholar] [CrossRef]
- Treglown, L., & Furnham, A. (2023a). Age, sex, education, emotional intelligence, cognitive intelligence, and management level: A study from great britain. Journal of General Management, 48(3), 320–329. [Google Scholar] [CrossRef]
- Treglown, L., & Furnham, A. (2023b). Are EQ and IQ negatively related? The relationship between trait emotional intelligence and fluid cognitive ability. Psychology, 14, 1136–1151. [Google Scholar] [CrossRef]
- Uhrich, B. B., Heggestad, E. D., & Shanock, L. R. (2021). Smarts or trait emotional intelligence? The role of trait emotional intelligence in enhancing the relationship between cognitive ability and performance. The Psychologist-Manager Journal, 24(1), 23–47. [Google Scholar] [CrossRef]
- van Doorn, L., & van Vliet, O. (2024). Wishing for more: Technological change, the rise of involuntary part-time employment and the role of active labour market policies. Journal of Social Policy, 53(3), 751–771. [Google Scholar] [CrossRef]
- Vatcheva, K. P., Lee, M., McCormick, J. B., & Rahbar, M. H. (2016). Multicollinearity in regression analyses conducted in epidemiologic studies. Epidemiology, 6(2), 227. [Google Scholar] [CrossRef] [PubMed]
- Vaulet, T., Al-Memar, M., Fourie, H., Bobdiwala, S., Saso, S., Pipi, M., Stalder, C., Bennett, P., Timmerman, D., Bourne, T., & De Moor, B. (2022). Gradient boosted trees with individual explanations: An alternative to logistic regression for viability prediction in the first trimester of pregnancy. Computer Methods and Programs in Biomedicine, 213, 106520. [Google Scholar] [CrossRef] [PubMed]
- Villanueva, J. J., & Sánchez, J. C. (2007). Trait emotional intelligence and leadership self-efficacy: Their relationship with collective efficacy. Spanish Journal of Psychology, 10(2), 349–357. [Google Scholar] [CrossRef]
- Walter, F., Cole, M. S., & Humphrey, R. H. (2011). Emotional intelligence: Sine qua non of leadership or folderol? Academy of Management Perspectives, 25(1), 45–59. [Google Scholar] [CrossRef]
- Winton, B. G., & Sabol, M. A. (2024). Opening up to innovation: Emotional intelligence as an intrapersonal resource. European Journal of Innovation Management, 27(1), 27–42. [Google Scholar] [CrossRef]
- Ying, X. (2019). An overview of overfitting and its solutions. Journal of Physics: Conference Series, 1168(2), 022022. [Google Scholar] [CrossRef]
- Yukl, G. (2010). Leadership in organizations (7th ed.). Prentice Hall. [Google Scholar]
- Zaccaro, S. J. (2007). Trait-based perspectives of leadership. American Psychologist, 62(1), 6–16. [Google Scholar] [CrossRef]
- Zadorozhny, B. S., Petrides, K. V., Jongerling, J., Cuppello, S., & van der Linden, D. (2024). Assessing the temporal stability of a measure of trait emotional intelligence: Systematic review and empirical analysis. Personality and Individual Differences, 217, 112467. [Google Scholar] [CrossRef]
- Zhang, Y., Xiong, P., Zhou, W., Sun, L., & Cheng, E. T. C. (2022). Exploring the longitudinal effects of emotional intelligence and cultural intelligence on knowledge management processes. Asia Pacific Journal of Management, 40, 1555–1578. [Google Scholar] [CrossRef]
- Zhao, J., Hosseini, S., Chen, Q., & Armaghani, D. J. (2023). Super learner ensemble model: A novel approach for predicting monthly copper price in future. Resources Policy, 85, 103903. [Google Scholar] [CrossRef]
- Zhou, L., Pan, S., Wang, J., & Vasilakos, A. V. (2017). Machine learning on big data: Opportunities and challenges. Neurocomputing, 237, 350–361. [Google Scholar] [CrossRef]








| Variable | B | SE | OR 1 | 95% CI 1 | p-Value |
|---|---|---|---|---|---|
| Age | 0.09 | 0.004 | 1.09 | 1.09, 1.10 | <0.001 |
| Gender | |||||
| Female | — | — | — | — | — |
| Male | 0.19 | 0.078 | 1.22 | 1.04, 1.42 | 0.012 |
| Educational attainment | |||||
| Bachelor | — | — | — | — | — |
| High school or lower | −0.40 | 0.076 | 0.67 | 0.58, 0.78 | <0.001 |
| Other master’s degree | 0.38 | 0.102 | 1.47 | 1.20, 1.79 | <0.001 |
| MBA | 1.20 | 0.285 | 3.19 | 1.89, 5.80 | <0.001 |
| Doctorate | 0.01 | 0.355 | 1.01 | 0.51, 2.08 | >0.90 |
| Employment status | |||||
| Full-time | — | — | — | — | — |
| Part-time | −1.10 | 0.150 | 0.33 | 0.25, 0.44 | <0.001 |
| GIA Verbal Reasoning | −0.01 | 0.005 | 0.99 | 0.98, 1.00 | 0.20 |
| GIA Perceptual Speed | 0.01 | 0.006 | 1.01 | 1.00, 1.02 | 0.08 |
| GIA Number Speed and Accuracy | 0.01 | 0.007 | 1.01 | 1.00, 1.02 | 0.20 |
| GIA Word Meaning | 0.01 | 0.008 | 1.01 | 0.99, 1.02 | 0.40 |
| GIA Spatial Visualization | −0.01 | 0.008 | 0.99 | 0.98, 1.01 | 0.30 |
| TEIQue Well-Being | −0.11 | 0.074 | 0.90 | 0.78, 1.04 | 0.14 |
| TEIQue Self-Control | 0.13 | 0.059 | 1.13 | 1.01, 1.27 | 0.032 |
| TEIQue Emotionality | −0.34 | 0.073 | 0.71 | 0.61, 0.82 | <0.001 |
| TEIQue Sociability | 1.00 | 0.075 | 2.73 | 2.36, 3.17 | <0.001 |
| Model | Balanced Accuracy | AUC | Sensitivity | Specificity | Precision | Cohen’s Kappa |
|---|---|---|---|---|---|---|
| Training Data | ||||||
| Logistic Regression (Baseline) | 0.699 | 0.792 | 0.857 | 0.541 | 0.770 | 0.417 |
| Random Forest (RF) | 0.702 | 0.792 | 0.871 | 0.532 | 0.770 | 0.426 |
| Support Vector Machines with Radial Kernel (SVM) | 0.717 | 0.811 | 0.872 | 0.561 | 0.781 | 0.454 |
| Gradient Boosting (GB) | 0.718 | 0.818 | 0.862 | 0.575 | 0.785 | 0.454 |
| Testing Data | ||||||
| Logistic Regression (Baseline) | 0.710 | 0.811 | 0.875 | 0.545 | 0.802 | 0.442 |
| Random Forest (RF) | 0.736 | 0.814 | 0.889 | 0.582 | 0.818 | 0.495 |
| Support Vector Machines with Radial Kernel (SVM) | 0.723 | 0.817 | 0.882 | 0.565 | 0.810 | 0.470 |
| Gradient Boosting (GB) | 0.728 | 0.818 | 0.876 | 0.580 | 0.815 | 0.476 |
Disclaimer/Publisher’s Note: The statements, opinions and data contained in all publications are solely those of the individual author(s) and contributor(s) and not of MDPI and/or the editor(s). MDPI and/or the editor(s) disclaim responsibility for any injury to people or property resulting from any ideas, methods, instructions or products referred to in the content. |
© 2025 by the authors. Licensee MDPI, Basel, Switzerland. This article is an open access article distributed under the terms and conditions of the Creative Commons Attribution (CC BY) license (https://creativecommons.org/licenses/by/4.0/).
Share and Cite
Zadorozhny, B.S.; Petrides, K.V.; Cheng, Y.; Cuppello, S.; van der Linden, D. Predicting Leadership Status Through Trait Emotional Intelligence and Cognitive Ability. Behav. Sci. 2025, 15, 345. https://doi.org/10.3390/bs15030345
Zadorozhny BS, Petrides KV, Cheng Y, Cuppello S, van der Linden D. Predicting Leadership Status Through Trait Emotional Intelligence and Cognitive Ability. Behavioral Sciences. 2025; 15(3):345. https://doi.org/10.3390/bs15030345
Chicago/Turabian StyleZadorozhny, Bogdan S., K. V. Petrides, Yongtian Cheng, Stephen Cuppello, and Dimitri van der Linden. 2025. "Predicting Leadership Status Through Trait Emotional Intelligence and Cognitive Ability" Behavioral Sciences 15, no. 3: 345. https://doi.org/10.3390/bs15030345
APA StyleZadorozhny, B. S., Petrides, K. V., Cheng, Y., Cuppello, S., & van der Linden, D. (2025). Predicting Leadership Status Through Trait Emotional Intelligence and Cognitive Ability. Behavioral Sciences, 15(3), 345. https://doi.org/10.3390/bs15030345

