Development and Validation of a Rapid Tool to Measure Pragmatic Abilities: The Brief Assessment of Pragmatic Abilities and Cognitive Substrates (APACS Brief)
Abstract
1. Introduction
2. Methods
2.1. Participants
2.2. Design and Assessment
2.2.1. APACS Brief—Test Construction
- -
- Interview. A semi-structured interview assessing conversational abilities through two autobiographical topics (i.e., best friends and favorite games in youth), focusing on over- and under-informativeness and discourse flow. Max score: 4;
- -
- Narratives. Participants listen to a short story (i.e., a radio news about a wild boar in the city) and are asked to answer comprehension questions about both stated and implied aspects, including questions on figurative language (e.g., explaining the meaning of an idiom contained in the story, “take the bull by the horns”). The news-like story comprises 107 words across six sentences. With a Gulpease readability index score of 54 (Lucisano & Piemontese, 1988), the text is moderately challenging for readers with an educational background equivalent to eight years of schooling. Max score: 6;
- -
- Figurative Language 1. Participants are asked to select the correct figurative interpretation of three non-literal expressions presented in short contexts (e.g., Italian, “Adoro accarezzare le mie nipotine. Certe guance sono pesche”; English translation, “I love caressing my little nephews. Their cheeks are peaches”), choosing between three options, one correct (Italian, “Certe guance sono lisce e morbide”; English translation, “Some cheeks are smooth and soft”), one literal (Italian, “Certe guance sanno di frutta”; English translation, “Some cheeks taste peachy”), and one unrelated (Italian, “Certe guance sono rugose”; English translation, “Some cheeks are wrinkled”). Items include one idiom (with a familiarity rating of 6.29 and a literal plausibility of 6.6 on a 7-point scale, as per Tabossi et al., 2011), one metaphor (with a familiarity rating of 2.9 on a 5-point scale, according to Bambini et al., 2013), and one well-known proverb (documented in the itWaC corpus, based on Lambertini, 2016, 2022). Max score: 3;
- -
- Humor. Participants are asked to choose the punchline of two stories (e.g., Italian, “In un hotel in montagna un cliente si lamenta con l’albergatore: ‘Vuole duecento euro per la stanza? Ma quest’estate mi ha fatto pagare solo cento euro!’ E l’albergatore:”; English translation, “At a mountain hotel, a guest complains to the hotel owner: ‘You want 200 euros for the room? But this summer you only charged me 100 euros!’ The hotel owner replies:”) from three options, one unexpected and humorous (Italian, “Beh, qui in montagna d’inverno le notti sono più lunghe”; English translation, “Well, here in the mountains, winter nights are longer”), one literal and coherent (Italian, “Capirà, l’inverno è alta stagione”; English translation, “Well, winter is high season”), and one non-relevant and absurd (Italian, “Abbiamo un ampio parcheggio gratuito.”; English translation, “We offer a spacious free parking lot”). Items were drawn from previous works on the pragmatics of humor and are moderately witty (with a mean funniness of 3.89 on a 7-point scale, based on Canal et al., 2019). Max score: 2.
- -
- Figurative Language 2. Participants are asked to produce verbal explanations of figurative expressions presented in isolation (e.g., Italian, “L’occasione fa l’uomo ladro”; English translation “Opportunity makes the thief”). Items include one metaphor (with a familiarity rating of 3.33 on a 5-point scale, according to Bambini et al., 2013) and two proverbs (documented in the itWaC corpus, based on Lambertini, 2016, 2022). Max score: 3.
2.2.2. Further Pragmatic and Cognitive Assessment
2.3. Statistical Analysis
3. Results
3.1. Sample Characteristics
3.2. Internal Consistency
3.3. Inter-Rater Reliability
3.4. Test–Retest Reliability and Practice Effect
3.5. Alternate Form Reliability and Equivalence
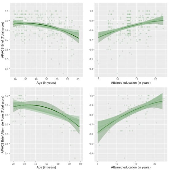
3.6. Effects of Demographics
3.7. Cut-Offs and Significant Change Thresholds
3.8. Discriminant Validity
3.9. Concurrent Validity, Cross-Classification Analysis, and Construct Validity
3.10. Equivalence of the APACS Brief in Presence and Remote Version
3.11. Debriefing
4. Discussion
Author Contributions
Funding
Institutional Review Board Statement
Informed Consent Statement
Data Availability Statement
Conflicts of Interest
| 1 | In running this set of analyses, we removed two subjects, each of whom represented a single observation for Education (i.e., 23 and 24 years) and biased the computation of estimates. The final models were run on 285 for the APACS Brief and 79 participants for the APACS Brief Alternate form. |
References
- Agostoni, G., Bambini, V., Bechi, M., Buonocore, M., Spangaro, M., Repaci, F., Cocchi, F., Bianchi, L., Guglielmino, C., Sapienza, J., Cavallaro, R., & Bosia, M. (2021). Communicative-pragmatic abilities mediate the relationship between cognition and daily functioning in schizophrenia. Neuropsychology, 35(1), 42–56. [Google Scholar] [CrossRef]
- Agostoni, G., Bischetti, L., Repaci, F., Bechi, M., Spangaro, M., Ceccato, I., Cavallini, E., Fiorentino, L., Martini, F., Sapienza, J., Buonocore, M., D’Incalci, M. F., Cocchi, F., Guglielmino, C., Cavallaro, R., Bosia, M., & Bambini, V. (2024). The cognitive architecture of verbal humor in schizophrenia. Neuroscience Letters, 818, 137541. [Google Scholar] [CrossRef] [PubMed]
- Aiello, E. N., Rimoldi, S., Bolognini, N., Appollonio, I., & Arcara, G. (2022). Psychometrics and diagnostics of Italian cognitive screening tests: A systematic review. Neurological Sciences, 43(2), 821–845. [Google Scholar] [CrossRef] [PubMed]
- Alduais, A., Alfadda, H., Allegretta, S., & Trivkovic, T. (2023). Pragmatic language impairment: A scientometric review. Applied Sciences, 13(16), 9308. [Google Scholar] [CrossRef]
- Angeleri, R., Bosco, F. M., Gabbatore, I., Bara, B. G., & Sacco, K. (2012). Assessment battery for communication (ABaCo): Normative data. Behavior Research Methods, 44(3), 845–861. [Google Scholar] [CrossRef]
- Arcara, G., & Bambini, V. (2016). A Test for the Assessment of Pragmatic Abilities and Cognitive Substrates (APACS): Normative Data and Psychometric Properties. Frontiers in Psychology, 7, 70. [Google Scholar] [CrossRef] [PubMed]
- Arcara, G., Burgio, F., Benavides-Varela, S., Toffano, R., Gindri, P., Tonini, E., Meneghello, F., & Semenza, C. (2019). Numerical Activities of Daily Living–Financial (NADL-F): A tool for the assessment of financial capacities. Neuropsychological Rehabilitation, 29(7), 1062–1084. [Google Scholar] [CrossRef]
- Arcara, G., Tonini, E., Muriago, G., Mondin, E., Sgarabottolo, E., Bertagnoni, G., Semenza, C., & Bambini, V. (2020). Pragmatics and figurative language in individuals with traumatic brain injury: Fine-grained assessment and relevance-theoretic considerations. Aphasiology, 34(8), 1070–1100. [Google Scholar] [CrossRef]
- Arvidsson, C., Pagmar, D., & Uddén, J. (2022). When did you stop speaking to yourself? Age-related differences in adolescents’ world knowledge-based audience design. Royal Society Open Science, 9, 220305. [Google Scholar] [CrossRef]
- Attardo, S. (2024). Linguistic theories of humor (2nd ed.). De Gruyter. [Google Scholar] [CrossRef]
- Bambini, V., Agostoni, G., Buonocore, M., Tonini, E., Bechi, M., Ferri, I., Sapienza, J., Martini, F., Cuoco, F., Cocchi, F., Bischetti, L., Cavallaro, R., & Bosia, M. (2022). It is time to address language disorders in schizophrenia: A RCT on the efficacy of a novel training targeting the pragmatics of communication (PragmaCom). Journal of Communication Disorders, 97, 106196. [Google Scholar] [CrossRef] [PubMed]
- Bambini, V., Arcara, G., Bechi, M., Buonocore, M., Cavallaro, R., & Bosia, M. (2016a). The communicative impairment as a core feature of schizophrenia: Frequency of pragmatic deficit, cognitive substrates, and relation with quality of life. Comprehensive Psychiatry, 71, 106–120. [Google Scholar] [CrossRef]
- Bambini, V., Arcara, G., Bosinelli, F., Buonocore, M., Bechi, M., Cavallaro, R., & Bosia, M. (2020a). A leopard cannot change its spots: A novel pragmatic account of concretism in schizophrenia. Neuropsychologia, 139, 107332. [Google Scholar] [CrossRef] [PubMed]
- Bambini, V., Arcara, G., Martinelli, I., Bernini, S., Alvisi, E., Moro, A., Cappa, S. F., & Ceroni, M. (2016b). Communication and pragmatic breakdowns in amyotrophic lateral sclerosis patients. Brain and Language, 153–154, 1–12. [Google Scholar] [CrossRef]
- Bambini, V., Bischetti, L., Bonomi, C. G., Arcara, G., Lecce, S., & Ceroni, M. (2020b). Beyond the motor account of amyotrophic lateral sclerosis: Verbal humour and its relationship with the cognitive and pragmatic profile. International Journal of Language and Communication Disorders, 55(5), 751–764. [Google Scholar] [CrossRef] [PubMed]
- Bambini, V., & Ceroni, M. (2021). Amyotrophic lateral sclerosis. In L. Cummings (Ed.), Handbook of pragmatic language disorders (pp. 435–459). Springer International Publishing. [Google Scholar] [CrossRef]
- Bambini, V., Frau, F., Bischetti, L., Agostoni, G., Mevio, C., Battaglini, C., Bechi, M., Buonocore, M., Sapienza, J., Spangaro, M., Guglielmino, C., Cocchi, F., Cavallaro, R., & Bosia, M. (2025). From semantic concreteness to concretism in schizophrenia: An automated linguistic analysis of speech produced in figurative language interpretation. Clinical Linguistics & Phonetics. [Google Scholar] [CrossRef]
- Bambini, V., Ghio, M., Moro, A., & Schumacher, P. B. (2013). Differentiating among pragmatic uses of words through timed sensicality judgments. Frontiers in Psychology, 4, 938. [Google Scholar] [CrossRef] [PubMed]
- Bambini, V., Tonini, E., Ceccato, I., Lecce, S., Marocchini, E., & Cavallini, E. (2020c). How to improve social communication in aging: Pragmatic and cognitive interventions. Brain and Language, 211, 104864. [Google Scholar] [CrossRef] [PubMed]
- Bambini, V., Van Looy, L., Demiddele, K., & Schaeken, W. (2021). What is the contribution of executive functions to communicative-pragmatic skills? Insights from aging and different types of pragmatic inference. Cognitive Processing, 22(3), 435–452. [Google Scholar] [CrossRef]
- Baraldi, M. A., & Domaneschi, F. (2024). Pragmatic skills in late adulthood. Journal of Psycholinguistic Research, 53(2), 20. [Google Scholar] [CrossRef] [PubMed]
- Bettelli, G., Giustolisi, B., & Panzeri, F. (2024). Cross-linguistic recognition of irony through visual and acoustic cues. Journal of Psycholinguistic Research, 53(6), 73. [Google Scholar] [CrossRef] [PubMed]
- Bischetti, L., Canal, P., & Bambini, V. (2021). Funny but aversive: A large-scale survey of the emotional response to COVID-19 humor in the Italian population during the lockdown. Lingua, 249, 102963. [Google Scholar] [CrossRef]
- Bischetti, L., Ceccato, I., Lecce, S., Cavallini, E., & Bambini, V. (2023). Pragmatics and theory of mind in older adults’ humor comprehension. Current Psychology, 42(19), 16191–16207. [Google Scholar] [CrossRef]
- Bischetti, L., Frau, F., & Bambini, V. (2024a). Neuropragmatics. In M. J. Ball, N. Müller, & E. Spencer (Eds.), The handbook of clinical linguistics (2nd ed., pp. 41–54). Wiley. [Google Scholar] [CrossRef]
- Bischetti, L., Pompei, C., Scalingi, B., Frau, F., Bosia, M., Arcara, G., & Bambini, V. (2024b). Assessment of pragmatic abilities and cognitive substrates (APACS) brief remote: A novel tool for the rapid and tele-evaluation of pragmatic skills in Italian. Language Resources and Evaluation, 58(3), 951–979. [Google Scholar] [CrossRef]
- Bland, M. J., & Altman, D. G. (1986). Statistical methods for assessing agreement between two methods of clinical measurement. The Lancet, 327(8476), 307–310. [Google Scholar] [CrossRef]
- Bosco, F. M., Angeleri, R., Zuffranieri, M., Bara, B. G., & Sacco, K. (2012). Assessment battery for communication: Development of two equivalent forms. Journal of Communication Disorders, 45(4), 290–303. [Google Scholar] [CrossRef]
- Bosco, F. M., Gabbatore, I., Gastaldo, L., & Sacco, K. (2016). Communicative-pragmatic treatment in schizophrenia: A pilot study. Frontiers in Psychology, 7, 166. [Google Scholar] [CrossRef] [PubMed]
- Bosco, F. M., Parola, A., Angeleri, R., Galetto, V., Zettin, M., & Gabbatore, I. (2018). Improvement of communication skills after traumatic brain injury: The efficacy of the cognitive pragmatic treatment program using the communicative activities of daily living. Archives of Clinical Neuropsychology, 33(7), 875–888. [Google Scholar] [CrossRef] [PubMed]
- Boux, I. P., Margiotoudi, K., Dreyer, F. R., Tomasello, R., & Pulvermüller, F. (2023). Cognitive features of indirect speech acts. Language, Cognition and Neuroscience, 38(1), 40–64. [Google Scholar] [CrossRef]
- Büttner-Kunert, J., Blöchinger, S., Falkowska, Z., Rieger, T., & Oslmeier, C. (2022). Interaction of discourse processing impairments, communicative participation, and verbal executive functions in people with chronic traumatic brain injury. Frontiers in Psychology, 13, 892216. [Google Scholar] [CrossRef]
- Canal, P., Bischetti, L., Di Paola, S., Bertini, C., Ricci, I., & Bambini, V. (2019). ‘Honey, shall I change the baby?–Well done, choose another one’: ERP and time-frequency correlates of humor processing. Brain and Cognition, 132, 41–55. [Google Scholar] [CrossRef] [PubMed]
- Carotenuto, A., Arcara, G., Orefice, G., Cerillo, I., Giannino, V., Rasulo, M., Iodice, R., & Bambini, V. (2018). Communication in multiple sclerosis: Pragmatic deficit and its relation with cognition and social cognition. Archives of Clinical Neuropsychology, 33(2), 194–205. [Google Scholar] [CrossRef]
- Carston, R. (2016). Relevance theory and metaphor. In E. Semino, & Z. Demjén (Eds.), The routledge handbook of metaphor and language (pp. 42–55). Taylor & Francis Group. [Google Scholar]
- Casarin, F. S., Pagliarin, K. C., Altmann, R. F., Parente, M. A. D. M. P., Ferré, P., Côté, H., Ska, B., Joanette, Y., & Fonseca, R. P. (2020). Montreal communication evaluation brief battery–MEC B: Reliability and validity. CoDAS, 32(1), e20180306. [Google Scholar] [CrossRef] [PubMed]
- Ceccato, I., Lecce, S., Bischetti, L., Mangiaterra, V., Barattieri di San Pietro, C., Cavallini, E., & Valentina, B. (2025). Aging and the division of labor of Theory of Mind skills in metaphor comprehension. Topics in Cognitive Science. [Google Scholar] [CrossRef]
- Colle, L., Angeleri, R., Vallana, M., Sacco, K., Bara, B. G., & Bosco, F. M. (2013). Understanding the communicative impairments in schizophrenia: A preliminary study. Journal of Communication Disorders, 46(3), 294–308. [Google Scholar] [CrossRef]
- Colombo, L., Sartori, G., & Brivio, C. (2002). Stima del quoziente intellettivo tramite l’applicazione del TIB (Test Breve di Intelligenza). Giornale Italiano Di Psicologia, 3, 613–638. [Google Scholar] [CrossRef]
- Crawford, J. R., & Garthwaite, P. H. (2006). Comparing patients’ predicted test scores from a regression equation with their obtained scores: A significance test and point estimate of abnormality with accompanying confidence limits. Neuropsychology, 20(3), 259–271. [Google Scholar] [CrossRef] [PubMed]
- Cummings, L. (2018). Speech and language therapy. Cambridge University Press. [Google Scholar] [CrossRef]
- Cummings, L. (Ed.). (2021). Pragmatic disorders in the twenty-first century. In Handbook of pragmatic language disorders (pp. 1–22). Springer. [Google Scholar] [CrossRef]
- Domaneschi, F., & Bambini, V. (2020). Pragmatic competence. In E. Fridland, & C. Pavese (Eds.), The routledge handbook of philosophy of skill and expertise (pp. 419–430). Routledge. [Google Scholar] [CrossRef]
- Douglas, J. M. (2021). Traumatic Brain Injury. In L. Cummings (Ed.), Handbook of pragmatic language disorders (pp. 495–528). Springer International Publishing. [Google Scholar] [CrossRef]
- Falkum, I. L. (2022). The development of non-literal uses of language: Sense conventions and pragmatic competence. Journal of Pragmatics, 188, 97–107. [Google Scholar] [CrossRef]
- Frau, F., Cerami, C., Dodich, A., Bosia, M., & Bambini, V. (2024a). Weighing the role of social cognition and executive functioning in pragmatics in the schizophrenia spectrum: A systematic review and meta-analysis. Brain and Language, 252, 105403. [Google Scholar] [CrossRef] [PubMed]
- Frau, F., Bosia, M., Bischetti, L., Cappelli, G., Carotenuto, A., Diamanti, L., Montemurro, S., Giulia, A., Bechi, M., D’imperio, D., Lago, S., Noccetti, S., Simi, N., Ceroni, M., Iodice, R., Signorini, M., Arcara, G., & Bambini, V. (2024b). Ten years of using the APACS test: A multistudy cross-diagnostic analysis of pragmatic profiles and their relationship with Theory of Mind. PsyArXiv. [Google Scholar] [CrossRef]
- Furr, R. M., & Bacharach, V. R. (2008). Psychometrics: An introduction. Sage Publications, Inc. [Google Scholar]
- Fussman, S., & Mashal, N. (2022). Initial validation for the assessment of pragmatic abilities and cognitive substrates (APACS) hebrew battery in adolescents and young adults with typical development. Frontiers in Communication, 6, 758384. [Google Scholar] [CrossRef]
- Gabbatore, I., Sacco, K., Angeleri, R., Zettin, M., Bara, B. G., & Bosco, F. M. (2015). Cognitive pragmatic treatment. Journal of Head Trauma Rehabilitation, 30(5), E14–E28. [Google Scholar] [CrossRef] [PubMed]
- Gotzner, N., & Scontras, G. (2024). On the role of loopholes in polite communication: Linking subjectivity and pragmatic inference. Open Mind, 8, 500–510. [Google Scholar] [CrossRef]
- Grima, R., & Franklin, S. (2016). A Maltese adaptation of the Boston naming test: A shortened version. Clinical Linguistics & Phonetics, 30(11), 871–887. [Google Scholar] [CrossRef][Green Version]
- Hartshorne, J. K., & Germine, L. T. (2015). When does cognitive functioning peak? The asynchronous rise and fall of different cognitive abilities across the life span. Psychological Science, 26(4), 433–443. [Google Scholar] [CrossRef] [PubMed]
- Honan, C. A., McDonald, S., Gowland, A., Fisher, A., & Randall, R. K. (2015). Deficits in comprehension of speech acts after TBI: The role of theory of mind and executive function. Brain and Language, 150, 69–79. [Google Scholar] [CrossRef]
- Ivanko, S. L., Pexman, P. M., & Olineck, K. M. (2004). How sarcastic are you? Journal of Language and Social Psychology, 23(3), 244–271. [Google Scholar] [CrossRef]
- Jagoe, C. (2017). Disruption of pragmatics in adulthood. In L. Cummings (Ed.), Research in clinical pragmatics (pp. 181–210). Springer. [Google Scholar] [CrossRef]
- Jagoe, C. (2020). Developing theoretically grounded approaches to pragmatic intervention in people with schizophrenia. In C. Jagoe, & I. Walsh (Eds.), Communication and mental health disorders: Developing theory, growing practice. J&R Publishing. [Google Scholar]
- Kay, S. R., Fiszbein, A., & Opler, L. A. (1987). The positive and negative syndrome scale (PANSS) for schizophrenia. Schizophrenia Bulletin, 13(2), 261–276. [Google Scholar] [CrossRef]
- Lago, S., Bevilacqua, F., Stabile, M. R., Scarpazza, C., Bambini, V., & Arcara, G. (2022). Case report: Pragmatic impairment in multiple sclerosis after worsening of clinical symptoms. Frontiers in Psychology, 13, 1028814. [Google Scholar] [CrossRef] [PubMed]
- Lakens, D., Scheel, A. M., & Isager, P. M. (2018). Equivalence testing for psychological research: A tutorial. Advances in Methods and Practices in Psychological Science, 1(2), 259–269. [Google Scholar] [CrossRef]
- Lambertini, V. (2016). Approccio linguistico e corpus-driven al proverbio italiano e francese: Alla ricerca della forma perduta [Doctoral thesis, Alma Mater Studiorum-Università di Bologna]. [Google Scholar] [CrossRef]
- Lambertini, V. (2022). Che cos’è un proverbio. Carocci Editore. [Google Scholar]
- Lucisano, P., & Piemontese, M. E. (1988). GULPEASE: Una formula per la predizione della difficoltà dei testi in lingua italiana. Scuola e Città, XXXIX(3), 110–124. [Google Scholar]
- Malloy, P. F., Cummings, J. L., Coffey, C. E., Duffy, J., Fink, M., Lauterbach, E. C., Lovell, M., Royall, D., & Salloway, S. (1997). Cognitive screening instruments in neuropsychiatry: A report of the committee on research of the American Neuropsychiatric Association. The Journal of Neuropsychiatry and Clinical Neurosciences, 9(2), 189–197. [Google Scholar] [CrossRef]
- Mazzaggio, G., Zappoli, A., & Mazzarella, D. (2023). Verbal irony and the implicitness of the echo. Pragmatics & Cognition, 30(2), 412–443. [Google Scholar] [CrossRef]
- Mazzarella, D., Trouche, E., Mercier, H., & Noveck, I. (2018). Believing what you’re told: Politeness and scalar inferences. Frontiers in Psychology, 9, 908. [Google Scholar] [CrossRef] [PubMed]
- Messer, R. H. (2015). Pragmatic language changes during normal aging: Implications for health care. Healthy Aging & Clinical Care in the Elderly, 7, 1–7. [Google Scholar] [CrossRef]
- Mondini, S., Montemurro, S., Pucci, V., Ravelli, A., Signorini, M., & Arcara, G. (2022). Global examination of mental state: An open tool for the brief evaluation of cognition. Brain and Behavior, 12, e2710. [Google Scholar] [CrossRef] [PubMed]
- Nippold, M. A., Uhden, L. D., & Schwarz, I. E. (1997). Proverb explanation through the lifespan. Journal of Speech, Language, and Hearing Research, 40(2), 245–253. [Google Scholar] [CrossRef]
- Nucci, M., Mondini, S., & Mapelli, D. (2012). Cognitive Reserve Index (CRI). Un questionario per la valutazione della riserva cognitiva. Giornale Italiano Di Psicologia, 1, 155–174. [Google Scholar] [CrossRef]
- Orsini, A., & Laicardi, C. (1997). WAIS-R: Contributo alla taratura italiana. Giunti O.S. [Google Scholar]
- Parola, A., Salvini, R., Gabbatore, I., Colle, L., Berardinelli, L., & Bosco, F. M. (2020). Pragmatics, theory of mind and executive functions in schizophrenia: Disentangling the puzzle using machine learning. PLoS ONE, 15(3), e0229603. [Google Scholar] [CrossRef] [PubMed]
- Patel, N., Peterson, K. A., Ingram, R. U., Storey, I., Cappa, S. F., Catricala, E., Halai, A., Patterson, K. E., Lambon Ralph, M. A., Rowe, J. B., & Garrard, P. (2022). A ‘mini linguistic state examination’ to classify primary progressive aphasia. Brain Communications, 4(2), fcab299. [Google Scholar] [CrossRef] [PubMed]
- Petit, N., Bambini, V., Bischetti, L., Prado, J., & Noveck, I. (2024). How do theory of mind and formal language skills impact metaphoric reference comprehension during children’s school-age years. Journal of Experimental Psychology: Learning, Memory, and Cognition. [Google Scholar] [CrossRef]
- Petit, N., Mengarelli, F., Geoffray, M. M., Bodet, J., Roux, J., Voisin, M., Arcara, G., & Bambini, V. (2025). When do pragmatic abilities peak? APACS-Fr psychometric properties across the life-span. PsyArXiv. [Google Scholar] [CrossRef]
- Pfeifer, V. A., & Pexman, P. M. (2024). When it pays to be insincere: On the benefits of verbal irony. Current Directions in Psychological Science, 33(1), 43–50. [Google Scholar] [CrossRef]
- Plass, J. L., Moreno, R., & Brünken, R. (2010). Cognitive Load Theory. Cambridge University Press. [Google Scholar]
- Prutting, C. A., & Kittchner, D. M. (1987). A clinical appraisal of the pragmatic aspects of language. Journal of Speech and Hearing Disorders, 52(2), 105–119. [Google Scholar] [CrossRef] [PubMed]
- R Core Team. (2022). R: A language and environment for statistical computing (3.6.2). R Foundation for Statistical Computing. [Google Scholar]
- Roalf, D. R., Moore, T. M., Wolk, D. A., Arnold, S. E., Mechanic-Hamilton, D., Rick, J., Kabadi, S., Ruparel, K., Chen-Plotkin, A. S., Chahine, L. M., Dahodwala, N. A., Duda, J. E., Weintraub, D. A., & Moberg, P. J. (2016). Defining and validating a short form montreal cognitive assessment (s-MoCA) for use in neurodegenerative disease. Journal of Neurology, Neurosurgery & Psychiatry, 87(12), 1303–1310. [Google Scholar] [CrossRef]
- Robinson, G. A., Phillips, M., Byrne, J., Chow, J., Ford, L., & Gibson, E. (2022). Validation of a novel cognitive screen in acute stroke: The brief executive language screen. PsyArXiv. [Google Scholar] [CrossRef]
- Roebuck-Spencer, T. M., Glen, T., Puente, A. E., Denney, R. L., Ruff, R. M., Hostetter, G., & Bianchini, K. J. (2017). Cognitive screening tests versus comprehensive neuropsychological test batteries: A national academy of neuropsychology education paper. Archives of Clinical Neuropsychology, 32(4), 491–498. [Google Scholar] [CrossRef] [PubMed]
- Ruffman, T., Murray, J., Halberstadt, J., & Taumoepeau, M. (2010). Verbosity and emotion recognition in older adults. Psychology and Aging, 25(2), 492–497. [Google Scholar] [CrossRef] [PubMed]
- Saa, J. P., Doherty, M., Young, A., Spiers, M., Leary, E., & Wolf, T. J. (2017). Development and alternate form reliability of the complex task performance assessment (CTPA) for people with mild stroke. The American Journal of Occupational Therapy, 71(3), 7103190030p1–7103190030p7. [Google Scholar] [CrossRef]
- Sacco, K., Bara, B. G., Colle, L., Mate, D., Angeleri, R., & Bosco, F. M. (2008). Assessment battery for communication—ABaCo: A new Instrument for the evaluation of pragmatic abilities. Journal of Cognitive Science, 9(2), 111–157. [Google Scholar] [CrossRef]
- Sherman, J. C., Henderson, C. R., Flynn, S., Gair, J. W., & Lust, B. (2021). Language decline characterizes amnestic mild cognitive impairment independent of cognitive decline. Journal of Speech, Language, and Hearing Research, 64(11), 4287–4307. [Google Scholar] [CrossRef] [PubMed]
- Snow, P. C., & Douglas, J. (2017). Psychosocial aspects of pragmatic disorders. In L. Cummings (Ed.), Research in clinical pragmatics (pp. 617–649). Springer. [Google Scholar] [CrossRef]
- Snyder, P. J., Jackson, C. E., Petersen, R. C., Khachaturian, A. S., Kaye, J., Albert, M. S., & Weintraub, S. (2011). Assessment of cognition in mild cognitive impairment: A comparative study. Alzheimer’s & Dementia, 7(3), 338–355. [Google Scholar] [CrossRef]
- Sperber, D., & Wilson, D. B. (2005). Pragmatics. In F. Jackson, & M. Smith (Eds.), Oxford handbook of contemporary philosophy (pp. 468–501). Oxford University Press. [Google Scholar]
- Strauss, E., Sherman, E. M., & Spreen, O. (2006). A compendium of neuropsychological tests: Administration, norms, and commentary. Oxford University Press. [Google Scholar]
- Surian, L. (1996). Are children with autism deaf to gricean maxims? Cognitive Neuropsychiatry, 1(1), 55–72. [Google Scholar] [CrossRef]
- Tabossi, P., Arduino, L., & Fanari, R. (2011). Descriptive norms for 245 Italian idiomatic expressions. Behavior Research Methods, 43(1), 110–123. [Google Scholar] [CrossRef] [PubMed]
- Tavano, A., Còtè, H., Ferrè, P., Ska, B., & Joanette, Y. (2013). Protocollo MEC: Protocollo montréal per la valutazione delle abilità comunicative. Springer-Verlag Italia. [Google Scholar]
- Tonini, E., Bischetti, L., Del Sette, P., Tosi, E., Lecce, S., & Bambini, V. (2023). The relationship between metaphor skills and theory of mind in middle childhood: Task and developmental effects. Cognition, 238, 105504. [Google Scholar] [CrossRef]
- Turkstra, L. S., Clark, A., Burgess, S., Hengst, J. A., Wertheimer, J. C., & Paul, D. (2017). Pragmatic communication abilities in children and adults: Implications for rehabilitation professionals. Disability and Rehabilitation, 39(18), 1872–1885. [Google Scholar] [CrossRef] [PubMed]
- Varga, E., Schnell, Z., Tényi, T., Simon, M., Hajnal, A., Németh, N., & Herold, R. (2013). Impaired decoding of the flouting of the gricean maxims mong schizophrenia patients. European Psychiatry, 28, 1. [Google Scholar] [CrossRef]
- Verhoeks, C., Bus, B., Tendolkar, I., & Rijnen, S. (2024). Cognitive communication disorders after brain injury: A systematic COSMIN review of measurement instruments. Annals of Physical and Rehabilitation Medicine, 67(6), 101870. [Google Scholar] [CrossRef]
- Wechsler, D. (1981). Manual for the wechsler adult intelligence scale-revised. Psychological Corp. [Google Scholar]



| Mean | SD | Median | Min | Max | Kurtosis | Skewness | Q1 | Q3 | |
|---|---|---|---|---|---|---|---|---|---|
| Age | 43.94 | 17.04 | 43 | 18 | 81 | 1.77 | 0.22 | 27 | 57.5 |
| Education | 14.01 | 3.81 | 13 | 5 | 24 | 2.43 | −0.07 | 13 | 17 |
| APACS Brief Total [0–1] | 0.84 | 0.11 | 0.87 | 0.35 | 1 | 4.78 | −1.05 | 0.77 | 0.93 |
| Interview [0–4] | 3.76 | 0.49 | 4 | 2 | 4 | 5.83 | −1.91 | 4 | 4 |
| Narratives [0–6] | 4.70 | 0.97 | 5 | 1 | 6 | 3.11 | −0.57 | 4 | 5 |
| Figurative Language 1 [0–3] | 2.89 | 0.36 | 3 | 0 | 3 | 20.55 | −3.71 | 3 | 3 |
| Humor [0–2] | 1.78 | 0.44 | 2 | 0 | 2 | 4.89 | −1.72 | 2 | 2 |
| Figurative Language 2 [0–3] | 1.90 | 0.93 | 2 | 0 | 3 | 2.22 | −0.39 | 2 | 3 |
| Interview (prop.) [0–1] | 0.94 | 0.11 | 1 | 0.50 | 1 | 5.83 | −1.91 | 1 | 1 |
| Narratives (prop.) [0–1] | 0.78 | 0.16 | 0.83 | 0.17 | 1 | 3.11 | −0.57 | 0.67 | 0.83 |
| Figurative Language 1 (prop.) [0–1] | 0.96 | 0.12 | 1 | 0 | 1 | 20.55 | −3.71 | 1 | 1 |
| Humor (prop.) [0–1] | 0.89 | 0.22 | 1 | 0 | 1 | 4.89 | −1.72 | 1 | 1 |
| Figurative Language 2 (prop.) [0–1] | 0.63 | 0.31 | 0.67 | 0 | 1 | 2.22 | −0.39 | 0.33 | 1 |
| APACS Total [0–1] | 0.94 | 0.04 | 0.94 | 0.81 | 1 | 4.22 | −1.12 | 0.92 | 0.96 |
| APACS Brief Remote Total [0–1] | 0.86 | 0.11 | 0.90 | 0.63 | 1 | 2.69 | −0.62 | 0.80 | 0.93 |
| WAIS-R Vocabulary subtest (raw score) [0–70] | 50.73 | 9.63 | 51 | 25 | 69 | 2.44 | −0.30 | 44 | 58 |
| GEMS (adjusted score) [0–100] | 83.36 | 8.02 | 84.2 | 47.95 | 95 | 6.07 | −1.48 | 80.23 | 89.15 |
| TIB (Total IQ) | 109.60 | 5.52 | 110.16 | 90.50 | 121.16 | 3.22 | −0.57 | 106.45 | 113.62 |
| Verbal IQ | 109.28 | 5.45 | 109.90 | 89.63 | 120.41 | 3.48 | −0.67 | 106.20 | 112.85 |
| Performance IQ | 109.37 | 5.66 | 109.58 | 92.79 | 120.58 | 2.69 | −0.23 | 105.62 | 113.54 |
| CRIq | 112.91 | 20.05 | 110 | 74 | 165 | 2.56 | 0.57 | 97 | 126 |
| CRI school | 105.15 | 13.48 | 104 | 75 | 154 | 3.64 | 0.69 | 96 | 112.5 |
| CRI work | 103.71 | 12.68 | 101 | 72 | 147 | 2.95 | 0.54 | 93.5 | 1140 |
| CRI leisure time | 120.14 | 28.26 | 112 | 72 | 194 | 2.53 | 0.77 | 97 | 138.5 |
Disclaimer/Publisher’s Note: The statements, opinions and data contained in all publications are solely those of the individual author(s) and contributor(s) and not of MDPI and/or the editor(s). MDPI and/or the editor(s) disclaim responsibility for any injury to people or property resulting from any ideas, methods, instructions or products referred to in the content. |
© 2025 by the authors. Licensee MDPI, Basel, Switzerland. This article is an open access article distributed under the terms and conditions of the Creative Commons Attribution (CC BY) license (https://creativecommons.org/licenses/by/4.0/).
Share and Cite
Bischetti, L.; Frau, F.; Pucci, V.; Agostoni, G.; Pompei, C.; Mangiaterra, V.; Barattieri di San Pietro, C.; Scalingi, B.; Dall’Igna, F.; Mangiaracina, N.; et al. Development and Validation of a Rapid Tool to Measure Pragmatic Abilities: The Brief Assessment of Pragmatic Abilities and Cognitive Substrates (APACS Brief). Behav. Sci. 2025, 15, 107. https://doi.org/10.3390/bs15020107
Bischetti L, Frau F, Pucci V, Agostoni G, Pompei C, Mangiaterra V, Barattieri di San Pietro C, Scalingi B, Dall’Igna F, Mangiaracina N, et al. Development and Validation of a Rapid Tool to Measure Pragmatic Abilities: The Brief Assessment of Pragmatic Abilities and Cognitive Substrates (APACS Brief). Behavioral Sciences. 2025; 15(2):107. https://doi.org/10.3390/bs15020107
Chicago/Turabian StyleBischetti, Luca, Federico Frau, Veronica Pucci, Giulia Agostoni, Chiara Pompei, Veronica Mangiaterra, Chiara Barattieri di San Pietro, Biagio Scalingi, Francesca Dall’Igna, Ninni Mangiaracina, and et al. 2025. "Development and Validation of a Rapid Tool to Measure Pragmatic Abilities: The Brief Assessment of Pragmatic Abilities and Cognitive Substrates (APACS Brief)" Behavioral Sciences 15, no. 2: 107. https://doi.org/10.3390/bs15020107
APA StyleBischetti, L., Frau, F., Pucci, V., Agostoni, G., Pompei, C., Mangiaterra, V., Barattieri di San Pietro, C., Scalingi, B., Dall’Igna, F., Mangiaracina, N., Lago, S., Montemurro, S., Mondini, S., Bosia, M., Arcara, G., & Bambini, V. (2025). Development and Validation of a Rapid Tool to Measure Pragmatic Abilities: The Brief Assessment of Pragmatic Abilities and Cognitive Substrates (APACS Brief). Behavioral Sciences, 15(2), 107. https://doi.org/10.3390/bs15020107

