Non-Suicidal Self-Injury and Emotion Regulation Strategies Among Secondary School and University Students: A Network Analysis Perspective
Abstract
1. Introduction
The Current Study
2. Methods
2.1. Participants and Procedures
2.2. Measures
2.2.1. Non-Suicidal Self-Injury
2.2.2. Emotion Regulation Strategies
2.3. Data Analysis
3. Results
3.1. The Network Models of NSSI and Emotion Regulation Strategies
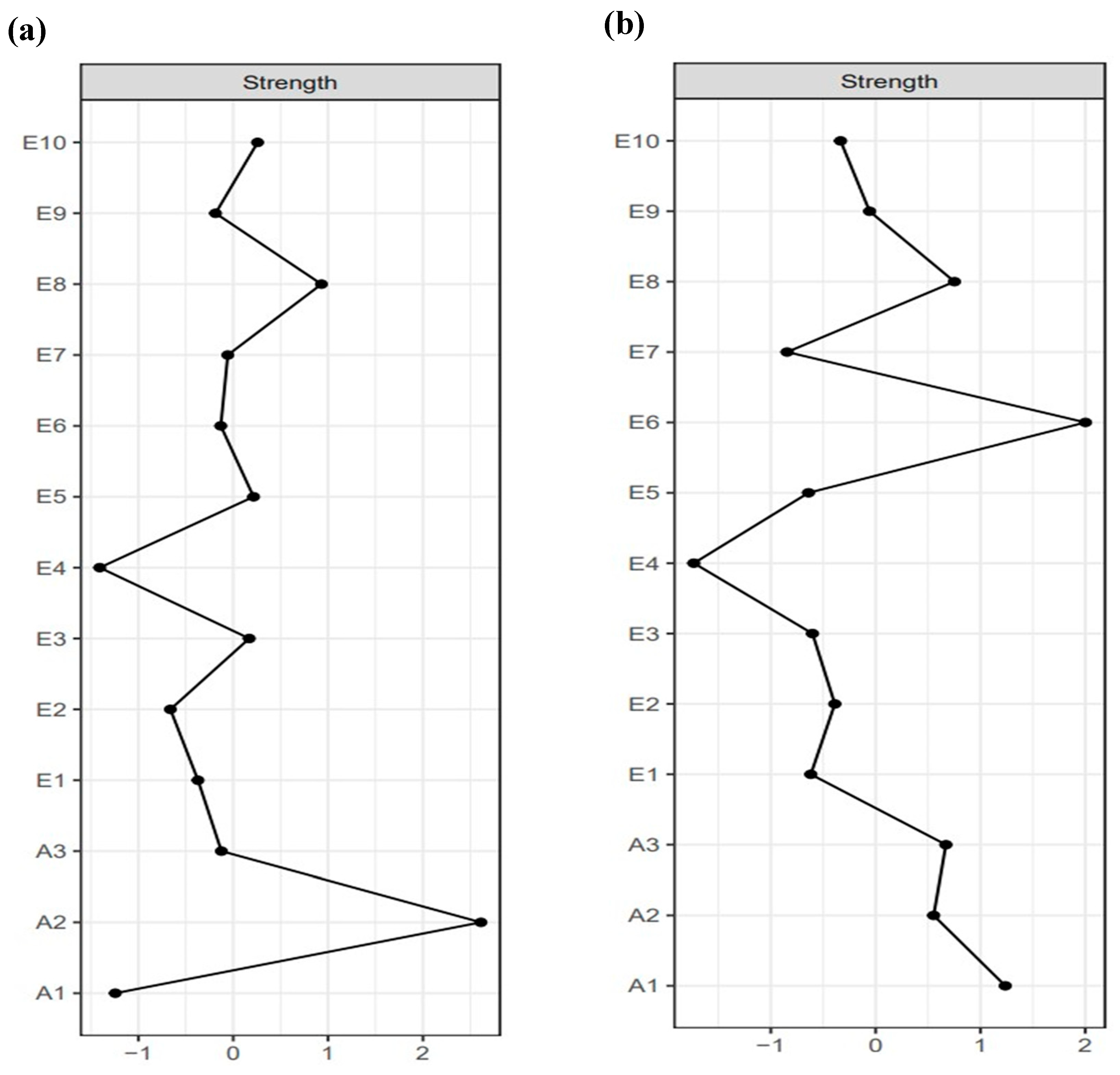
3.2. The Central Nodes in the Networks of NSSI and Emotion Regulation Strategies
3.3. The Bridging Nodes in the Networks of NSSI and Emotion Regulation Strategies
4. Discussion
5. Limitations and Future Directions
6. Conclusions
Author Contributions
Funding
Institutional Review Board Statement
Informed Consent Statement
Data Availability Statement
Acknowledgments
Conflicts of Interest
References
- Aldao, A., & Nolen-Hoeksema, S. (2013). One versus many: Capturing the use of multiple emotion regulation strategies in response to an emotion-eliciting stimulus. Cognition & Emotion, 27(4), 753–760. [Google Scholar] [CrossRef]
- Ammerman, B. A., Jacobucci, R., Kleiman, E. M., Muehlenkamp, J. J., & Mccloskey, M. S. (2016). Development and validation of empirically derived frequency criteria for NSSI disorder using exploratory data mining. Psychological Assessment, 29, 221–231. [Google Scholar] [CrossRef] [PubMed]
- Blanken, T. F., Van Der Zweerde, T., Van Straten, A., Van Someren, E. J. W., Borsboom, D., & Lancee, J. (2019). Introducing network intervention analysis to investigate sequential, symptom-specific treatment effects: A demonstration in co-occurring insomnia and depression. Psychotherapy and Psychosomatics, 88(1), 52–54. [Google Scholar] [CrossRef]
- Borsboom, D., & Cramer, A. O. J. (2013). Network analysis: An integrative approach to the structure of psychopathology. Annual Review of Clinical Psychology, 9(1), 91–121. [Google Scholar] [CrossRef]
- Boyes, M. E., Wilmot, A., & Hasking, P. A. (2020). Nonsuicidal self-injury-related differences in the experience of negative and positive emotion. Suicide & Life-Threatening Behavior, 50(2), 437–448. [Google Scholar] [CrossRef]
- Brans, K., Koval, P., Verduyn, P., Lim, Y. L., & Kuppens, P. (2013). The regulation of negative and positive affect in daily life. Emotion, 13(5), 926–939. [Google Scholar] [CrossRef]
- Brausch, A. M., & Gutierrez, P. M. (2010). Differences in non-suicidal self-injury and suicide attempts in adolescents. Journal of Youth and Adolescence, 39(3), 233–242. [Google Scholar] [CrossRef]
- Bringmann, L. F., Elmer, T., Epskamp, S., Krause, R. W., Schoch, D., Wichers, M., Wigman, J. T. W., & Snippe, E. (2019). What do centrality measures measure in psychological networks? Journal of Abnormal Psychology, 128(8), 892–903. [Google Scholar] [CrossRef] [PubMed]
- Brown, M. Z., Comtois, K. A., & Linehan, M. M. (2002). Reasons for suicide attempts and nonsuicidal self-injury in women with borderline personality disorder. Journal of Abnormal Psychology, 111, 198–202. [Google Scholar] [CrossRef]
- Cai, Y. Q., Dong, S. Y., Yuan, S., & Hu, C. P. (2020). Network analysis and its applications in psychology. Advances in Psychological Science, 28(1), 178–190. [Google Scholar] [CrossRef]
- Chapman, A. L., Gratz, K. L., & Brown, M. Z. (2006). Solving the puzzle of deliberate self-harm: The experiential avoidance model. Behaviour Research & Therapy, 44(3), 371–394. [Google Scholar] [CrossRef]
- Chen, Z. X., Li, J. W., Wang, Y. M., & Liu, X. (2023). The relationship between cumulative environmental risk and non-suicidal self-injury among college students: The effects of emotion regulation strategies. Psychological Development and Education, 39(1), 109–120. [Google Scholar] [CrossRef]
- Cheng, L., Yuan, J. J., He, Y. Y., & Li, H. (2009). Emotion regulation strategies: Cognitive reappraisal is more effective than expressive suppression. Advances in Psychological Science, 17(04), 730–735. [Google Scholar]
- Chu, W. (2005). Analysis about the feature and training of self- consciousness in modern college students. Medicine and Philosophy, 26(5), 54–55. [Google Scholar]
- Epskamp, S., Borsboom, D., & Fried, E. I. (2018). Estimating psychological networks and their accuracy: A tutorial paper. Behavior Research Methods, 50(1), 195–212. [Google Scholar] [CrossRef]
- Epskamp, S., Cramer, A. O. J., Waldorp, L. J., Schmittmann, V. D., & Borsboom, D. (2012). Qgraph: Network visualizations of relationships in psychometric data. Journal of Statistical Software, 48(4), 1–18. [Google Scholar] [CrossRef]
- Epskamp, S., & Fried, E. I. (2018). A tutorial on regularized partial correlation networks. Psychological Methods, 23(4), 617. [Google Scholar] [CrossRef]
- Feng, Y. (2008). The relation of adolescents’ self-harm behaviors, individual emotion characteristics and family environment factors. Central China Normal University. Postgraduate Program. [Google Scholar] [CrossRef]
- Garabiles, M. R., Lao, C. K., Xiong, Y., & Hall, B. J. (2019). Exploring comorbidity between anxiety and depression among migrant Filipino domestic workers: A network approach. Journal of Affective Disorders, 250, 85–93. [Google Scholar] [CrossRef] [PubMed]
- Gratz, K. L. (2001). Measurement of deliberate self-harm: Preliminary data on the deliberate self-harm inventory. Journal of Psychopathology & Behavioral Assessment, 23(4), 253–263. [Google Scholar] [CrossRef]
- Gross, J. J. (1998a). The emerging field of emotion regulation: An integrative review. Review of General Psychology, 2(3), 271–299. [Google Scholar] [CrossRef]
- Gross, J. J. (1998b). Antecedent- and response-focused emotion regulation: Divergent consequences for experience, expression, and physiology. Journal of Personality and Social Psychology, 74(1), 224–237. [Google Scholar] [CrossRef]
- Gross, J. J. (2002). Emotion regulation: Affective, cognitive, and social consequences. Psychophysiology, 39(3), 281–291. [Google Scholar] [CrossRef] [PubMed]
- Gross, J. J., & John, O. P. (2003). Individual differences in two emotion regulation processes: Implications for affect, relationships, and well-being. Journal of Personality and Social Psychology, 85(2), 348–362. [Google Scholar] [CrossRef] [PubMed]
- Gu, H. L., Ding, Z. Y., Xia, T. S., & Wang, L. Z. (2022). Self-criticism and adolescent non-suicidal self-injury: Moderated mediation effect. Psychological Development and Education, 38(3), 418–426. [Google Scholar] [CrossRef]
- Han, A. Z., Xu, G., & Su, P. Y. (2017). A meta-analysis of characteristics of non-suicidal self-injury among middle school students in mainland China. Chinese Journal of School Health, 38(11), 1665–1670. [Google Scholar] [CrossRef]
- Hasking, P. A., Coric, S. J., Swannell, S., Martin, G., Thompson, H. K., & Frost, A. D. J. (2010). Brief report: Emotion regulation and coping as moderators in the relationship between personality and self-injury. Journal of Adolescence, 33, 767–773. [Google Scholar] [CrossRef] [PubMed]
- Johnson, J., Oconnor, D. B., Jones, C. E., Jackson, C., Hughes, G., & Ferguson, E. (2016). Reappraisal buffers the association between stress and negative mood measured over 14 days: Implications for understanding psychological resilience. European Journal of Personality, 30(6), 608–617. [Google Scholar] [CrossRef]
- Lin, C. D. (2009). Developmental psychology. People’s Education Press. [Google Scholar]
- Lin, L., He, H. P., Liu, Y., Yang, Y., Mo, J. C., Wang, C. X., & Liu, T. (2019). Many times and how many ways: The impact of number of the impacts of negative emotion on suicide risk: The mediating effect of self –injury. Heilongjiang Researches on Higher Education, 37(5), 83–87. [Google Scholar] [CrossRef]
- Liu, Z. J., Zhou, F., Zheng, Z. W., Li, J. Y., Xiong, Y. N., & Huang, P. (2022). Relationships between being bullied and non-suicidal self-injury among 2040 middle school students: The mediating role of emotion regulation strategies. Injury Medicine (Electronic Edition), 11(2), 47–52. Available online: https://academic.hep.com.cn/im/CN/Y2022/V11/I2/47 (accessed on 2 November 2025).
- Mao, C., Li, Y. Y., Zhang, Y. X., Xie, Z. H., & Li, P. (2021). The relationship between alexithymia and cognitive emotion regulation strategies in nursing college students: A network analysis model. Chinese Journal of Clinical Psychology, 29(4), 753–757. [Google Scholar] [CrossRef]
- Nock, M. K., & Favazza, A. R. (2009). Nonsuicidal self-injury: Definition and classification. In M. K. Nock (Ed.), Understanding non-suicidal self-injury: Origins, assessment and treatment (pp. 9–18). American Psychological Association. [Google Scholar] [CrossRef]
- Pan, Z., Mao, S. J., Tang, H. M., Fu, Y. Y., Sun, W. X., Liao, Z. L., Li, J. N., Qiu, H. H., Zhu, J. Y., & Huang, P. (2016). Meta-analysis on non-suicidal self-injury among college students in China. Chinese Journal of School Health, 37(6), 878–881. [Google Scholar] [CrossRef]
- Perini, I., Zetterqvist, M., & Mayo, L. M. (2021). Beyond distress: A role for positive affect in nonsuicidal self-injury. Current Opinion in Behavioral Sciences, 39, 209–215. [Google Scholar] [CrossRef]
- Richmond, S., Hasking, P., & Meaney, R. (2017). Psychological distress and non-suicidal self-injury: The mediating roles of rumination, cognitive reappraisal, and expressive suppression. Archives of Suicide Research, 21(1), 62–72. [Google Scholar] [CrossRef] [PubMed]
- Selby, E. A., Bender, T. W., Gordon, K. H., Nock, M. K., & Joiner, T. E. (2012). Non-suicidal self-injury (NSSI) disorder: A preliminary study. Personality Disorders, 3, 167–175. [Google Scholar] [CrossRef]
- Sinclair, J. M. A., Hawton, K., & Gray, A. (2010). Six year follow-up of a clinical sample of self-harm patients. Journal of Affective Disorders, 121, 247–252. [Google Scholar] [CrossRef] [PubMed]
- Swannell, S. V., Martin, G. E., Page, A., Hasking, P., & St John, N. J. (2014). Prevalence of nonsuicidal self-injury in nonclinical samples: Systematic review, meta-analysis and meta-regression. Suicide and Life-Threatening Behavior, 44(3), 273–303. [Google Scholar] [CrossRef] [PubMed]
- Tan, H. X., Lin, S. Y., Long, Y. C., & Zeng, C. (2023). Relationship between childhood emotional abuse and self-harm behavior in adolescents: A moderated mediation analysis. Psychological Exploration, 43(4), 329–335. [Google Scholar]
- Van den Bergh, N., Marchetti, I., & Koster, E. H. W. (2021). Bridges over troubled waters: Mapping the interplay between anxiety, depression and stress through network analysis of the DASS-21. Cognitive Therapy and Research, 45(1), 46–60. [Google Scholar] [CrossRef]
- Voon, D., Hasking, P., & Martin, G. (2014). Change in emotion regulation strategy use and its impact on adolescent nonsuicidal self-injury: A three year longitudinal analysis using latent growth modeling. Journal of Abnormal Psychology, 123(3), 487–498. [Google Scholar] [CrossRef]
- Wang, L., Liu, H. C., Li, Z. Q., & Du, W. (2007). Reliability and validity study of the Chinese version of emotion regulation questionnaire. Chinese Journal of Health Psychology, 15(6), 503–505. [Google Scholar]
- Wang, Y. L., Chen, H. L., & Yuan, Y. (2020). The impact of social exclusion on adolescent self-harm: The mediating role of shame and the moderating role of cognitive reappraisal. Psychological Science, 43(2), 333–339. [Google Scholar]
- Whitlock, J., Muehlenkamp, J., Purington, A., Eckenrode, J., Barreira, P., Baral Abrams, G., Marchell, T., Kress, V., Girard, K., Chin, C., & Knox, K. (2011). Nonsuicidal self-injury in a college population: General trends and sex differences. Journal of American College Health, 59(8), 691–698. [Google Scholar] [CrossRef] [PubMed]
- Xiong, Q., Shen, X. Y., Yang, H., Wang, X. H., Yi, J. Y., & Zhu, X. Z. (2023). Alexithymia and adolescents’ non-suicidal self-injury: The chain mediating of maladaptive emotion regulation and depression. Chinese Journal of Clinical Psychology, 31(3), 574–577+582. [Google Scholar] [CrossRef]
- Zeng, C., Yu, C., Pu, W. D., & Liao, S. Q. (2024). The impact of parent-child alienation on adolescents’non-suicidal self-injury: A moderated mediating model. Chinese Journal of Clinical Psychology, 32(03), 566–570+498. [Google Scholar] [CrossRef]
- Zhao, T. X., Zhong, Y. J., Wei, Y. J., Su, Y. L., Dang, Y. H., & Wu, X. L. (2021). Emotion regulation strategies and family function in non-suicidal self-injury adolescents. Chinese Journal of Child Health Care, 29(9), 946–949. [Google Scholar] [CrossRef]
- Zheng, Y. (2006). Epidemiologic investigation of self-mutilation behavior among adolescents in Wuhan and its functional model. Central China Normal University. Postgraduate Program. [Google Scholar] [CrossRef]



| Participant Information | Secondary School Student (n = 378) | High School Student (n = 593) | |||
|---|---|---|---|---|---|
| n | % | n | % | ||
| Sex | Female | 176 | 46.56 | 145 | 24.45 |
| Male | 199 | 52.65 | 448 | 75.55 | |
| Missing | 3 | 0.79 | 0 | 0 | |
| Location | City | 246 | 65.07 | 447 | 75.37 |
| Town | 99 | 26.19 | 78 | 13.15 | |
| Village | 27 | 7.14 | 68 | 11.47 | |
| Missing | 6 | 1.59 | 0 | 0 | |
| Family structure | Nuclear family | 257 | 67.99 | 421 | 70.99 |
| Extended family | 67 | 17.72 | 112 | 18.89 | |
| Not living with parents | 17 | 4.50 | 11 | 1.85 | |
| Single-parent family | 31 | 8.20 | 49 | 8.26 | |
| Missing | 6 | 1.59 | 0 | 0 | |
| Economic status | High | 60 | 15.87 | 67 | 11.13 |
| Average | 268 | 70.90 | 100 | 67.45 | |
| Low | 38 | 10.06 | 127 | 21.42 | |
| Missing | 12 | 3.17 | 0 | 0 | |
Disclaimer/Publisher’s Note: The statements, opinions and data contained in all publications are solely those of the individual author(s) and contributor(s) and not of MDPI and/or the editor(s). MDPI and/or the editor(s) disclaim responsibility for any injury to people or property resulting from any ideas, methods, instructions or products referred to in the content. |
© 2025 by the authors. Licensee MDPI, Basel, Switzerland. This article is an open access article distributed under the terms and conditions of the Creative Commons Attribution (CC BY) license (https://creativecommons.org/licenses/by/4.0/).
Share and Cite
Yang, Y.; Ji, T.; Liu, Y.; Tian, M.; Yang, Y.; Zhang, Y.; Lin, L. Non-Suicidal Self-Injury and Emotion Regulation Strategies Among Secondary School and University Students: A Network Analysis Perspective. Behav. Sci. 2025, 15, 1517. https://doi.org/10.3390/bs15111517
Yang Y, Ji T, Liu Y, Tian M, Yang Y, Zhang Y, Lin L. Non-Suicidal Self-Injury and Emotion Regulation Strategies Among Secondary School and University Students: A Network Analysis Perspective. Behavioral Sciences. 2025; 15(11):1517. https://doi.org/10.3390/bs15111517
Chicago/Turabian StyleYang, Yang, Tianyuan Ji, Yu Liu, Mingyangjia Tian, Yanan Yang, Yunyun Zhang, and Lin Lin. 2025. "Non-Suicidal Self-Injury and Emotion Regulation Strategies Among Secondary School and University Students: A Network Analysis Perspective" Behavioral Sciences 15, no. 11: 1517. https://doi.org/10.3390/bs15111517
APA StyleYang, Y., Ji, T., Liu, Y., Tian, M., Yang, Y., Zhang, Y., & Lin, L. (2025). Non-Suicidal Self-Injury and Emotion Regulation Strategies Among Secondary School and University Students: A Network Analysis Perspective. Behavioral Sciences, 15(11), 1517. https://doi.org/10.3390/bs15111517

