Comparison of Mental Health and Quality of Life Symptom Networks in Adolescents Exposed and Not Exposed to Cyberbullying: Evidence from Chinese High School Students
Abstract
1. Introduction
2. Materials and Methods
2.1. Study Design and Setting
2.2. Participants
2.3. Measures
2.3.1. Cyberbullying
2.3.2. Mental Health
2.3.3. Quality of Life
2.3.4. Covariates
2.4. Statistical Analyses
2.5. Ethical Considerations
3. Results
3.1. Participant Descriptive Statistics Before and After PSM
3.2. Network Structure
3.3. Centrality Estimation
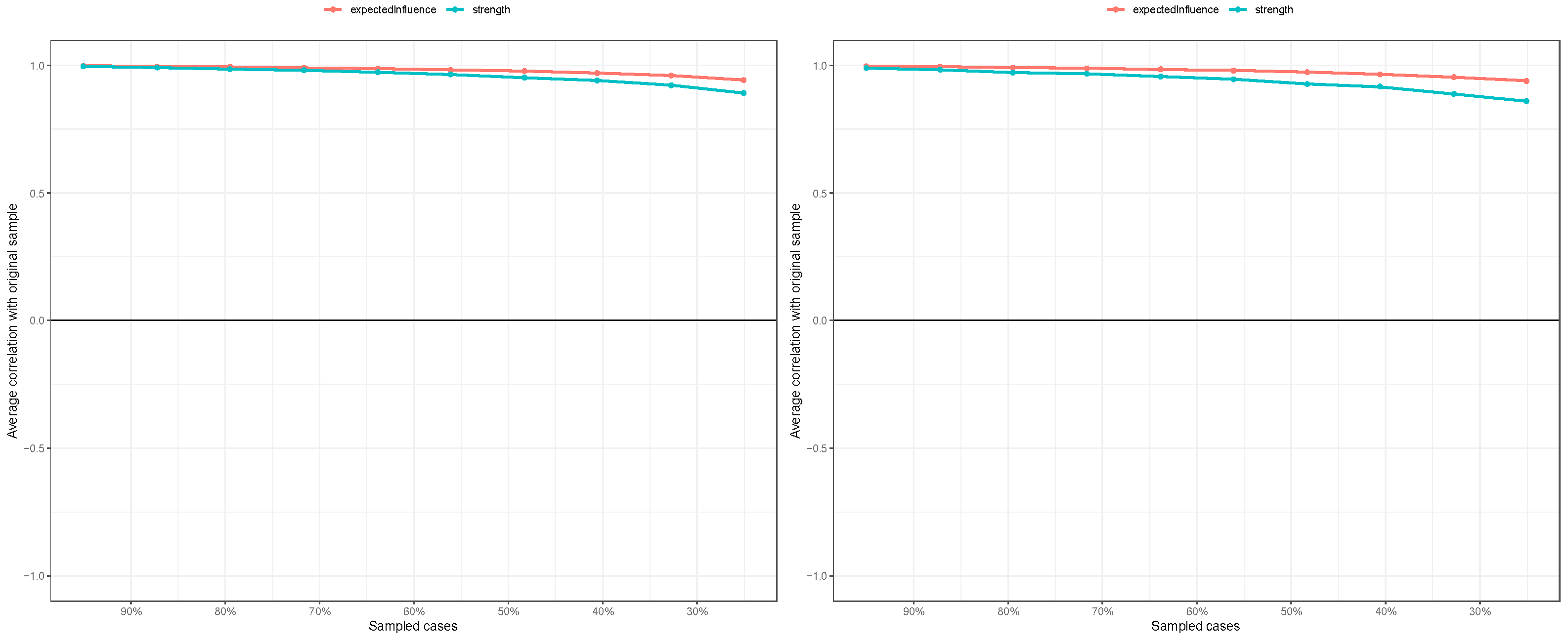
3.4. Estimation of Network Accuracy and Stability
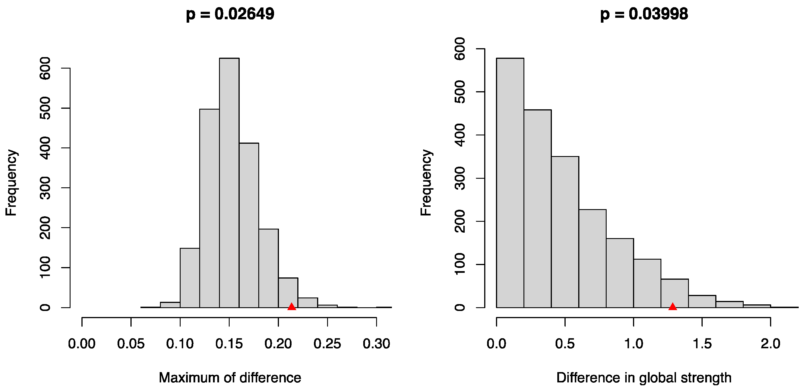
3.5. Network Comparison
4. Discussion
5. Conclusions
Author Contributions
Funding
Institutional Review Board Statement
Informed Consent Statement
Data Availability Statement
Conflicts of Interest
References
- Agustiningsih, N., Yusuf, A., Ahsan, A., & Fanani, Q. (2024). The impact of bullying and cyberbullying on mental health: A systematic review. International Journal of Public Health Science (IJPHS), 13(2), 513. [Google Scholar] [CrossRef]
- Anthony, R., Young, H., Hewitt, G., Sloan, L., Moore, G., Murphy, S., & Cook, S. (2022). Young people’s online communication and its association with mental well--being: Results from the 2019 student health and well--being survey. Child and Adolescent Mental Health, 28(1), 4–11. [Google Scholar] [CrossRef]
- Borsboom, D., Robinaugh, D. J., Rhemtulla, M., & Cramer, A. O. J. (2018). Robustness and replicability of psychopathology networks. World Psychiatry: Official Journal of the World Psychiatric Association (WPA), 17(2), 143–144. [Google Scholar] [CrossRef]
- Bottino, S. M. B., Bottino, C. M. C., Regina, C. G., Correia, A. V. L., & Ribeiro, W. S. (2015). Cyberbullying and adolescent mental health: Systematic review. Cadernos de Saúde Pública, 31(3), 463–475. [Google Scholar] [CrossRef] [PubMed]
- Campbell, M., Spears, B., Slee, P., Butler, D., & Kift, S. (2012). Victims’ perceptions of traditional and cyberbullying, and the psychosocial correlates of their victimisation. Emotional and Behavioural Difficulties, 17(3–4), 389–401. [Google Scholar] [CrossRef]
- Chang, F., Lee, C., Chiu, C., Hsi, W., Huang, T., & Pan, Y. (2013). Relationships among cyberbullying, school bullying, and mental health in taiwanese adolescents. Journal of School Health, 83(6), 454–462. [Google Scholar] [CrossRef]
- Chen, C., Yang, C., Nie, Q., & Teng, Z. (2023). The association between bullying victimization and problematic internet use: The role of social-emotional learning (SEL) competencies. School Psychology Review, 53(5), 459–474. [Google Scholar] [CrossRef]
- Ejaz, S., & Khaliq, H. M. H. (2025). Mental health in the age of hyperconnectivity: A crisis hidden in plain sight. Pakistan Journal of Medicine and Dentistry, 14(3). [Google Scholar] [CrossRef]
- Epskamp, S., van Borkulo, C. D., van der Veen, D. C., Servaas, M. N., Isvoranu, A.-M., Riese, H., & Cramer, A. O. J. (2018). Personalized network modeling in psychopathology: The importance of contemporaneous and temporal connections. Clinical Psychological Science, 6(3), 416–427. [Google Scholar] [CrossRef] [PubMed]
- Eyuboglu, M., Eyuboglu, D., Pala, S. C., Oktar, D., Demirtas, Z., Arslantas, D., & Unsal, A. (2021). Traditional school bullying and cyberbullying: Prevalence, the effect on mental health problems and self-harm behavior. Psychiatry Research, 297, 113730. [Google Scholar] [CrossRef]
- Fahy, A. E., Stansfeld, S. A., Smuk, M., Smith, N. R., Cummins, S., & Clark, C. (2016). Longitudinal associations between cyberbullying involvement and adolescent mental health. Journal of Adolescent Health, 59(5), 502–509. [Google Scholar] [CrossRef] [PubMed]
- Fan, Y., Yuan, C., Gu, W., & Wang, Z. (2024). A detailed hierarchical model of psychopathology in Chinese clinical sample: Based on the SCL-90-R measure. Journal of Affective Disorders, 354, 725–734. [Google Scholar] [CrossRef]
- Hinduja, S., & Patchin, J. W. (2010). Bullying, cyberbullying, and suicide. Archives of Suicide Research, 14(3), 206–221. [Google Scholar] [CrossRef]
- Hutson, E., Kelly, S., & Militello, L. K. (2017). Systematic review of cyberbullying interventions for youth and parents with implications for evidence--based practice. Worldviews on Evidence-Based Nursing, 15(1), 72–79. [Google Scholar] [CrossRef]
- Jones, P. J., Ma, R., & McNally, R. J. (2019). Bridge centrality: A network approach to understanding comorbidity. Multivariate Behavioral Research, 56(2), 353–367. [Google Scholar] [CrossRef]
- Kowalski, R. M., Giumetti, G. W., Schroeder, A. N., & Lattanner, M. R. (2014). Bullying in the digital age: A critical review and meta-analysis of cyberbullying research among youth. Psychological Bulletin, 140(4), 1073–1137. [Google Scholar] [CrossRef] [PubMed]
- Lee, J., Choo, H., Zhang, Y., Cheung, H. S., Zhang, Q., & Ang, R. P. (2025). Cyberbullying victimization and mental health symptoms among children and adolescents: A meta-analysis of longitudinal studies. Trauma, Violence, & Abuse. [Google Scholar] [CrossRef]
- Li, X., Feng, X., Li, L., Luo, S., Hu, W., Xu, D., Li, J., Chen, W., & Guo, V. Y. (2025). Comparison of depressive and anxiety symptom networks in maltreated and non-maltreated adolescents. Journal of Affective Disorders, 390, 119786. [Google Scholar] [CrossRef]
- Maurya, C., Muhammad, T., Dhillon, P., & Maurya, P. (2022). The effects of cyberbullying victimization on depression and suicidal ideation among adolescents and young adults: A three year cohort study from India. BMC Psychiatry, 22(1). [Google Scholar] [CrossRef]
- McLoughlin, L. T., Simcock, G., Schwenn, P., Beaudequin, D., Driver, C., Kannis-Dymand, L., Lagopoulos, J., & Hermens, D. F. (2022). Cyberbullying, metacognition, and quality of life: Preliminary findings from the Longitudinal Adolescent Brain Study (LABS). Discover Psychology, 2(1). [Google Scholar] [CrossRef]
- Moura Carias, P., Almeida do Nascimento, E., Almeida Cabral dos Santos Lugão, M., Pedro Rocha Morozini, J., Leite Bicalho, R., Garcia Lima, C., Henrique Braga, P., Fernanda Santos, E., Luiza Cerutti Dutra, A., Bandeira Lima, J., Costa Pignaton, M., Stein de Siqueira Varejão, A., Ventorim Giurizatto, C., Agrizzi Morais, I., & Carolina de Oliveira Gomes, M. (2024). Impact of the use of social networks on the development of anxiety and depression disorders in young adults. Health and Society, 4(06), 157–165. [Google Scholar] [CrossRef]
- Nagata, J. M., Shim, J., Balasubramanian, P., Leong, A. W., Smith-Russack, Z., Shao, I. Y., Al-Shoaibi, A. A. A., Helmer, C. K., Ganson, K. T., Testa, A., Kiss, O., He, J., Groves, A. K., Baird, S., & Baker, F. C. (2025). Cyberbullying, mental health, and substance use experimentation among early adolescents: A prospective cohort study. The Lancet Regional Health—Americas, 46, 101002. [Google Scholar] [CrossRef] [PubMed]
- Patchin, J. W., & Hinduja, S. (2015). Measuring cyberbullying: Implications for research. Aggression and Violent Behavior, 23, 69–74. [Google Scholar] [CrossRef]
- Prkno, D., Grafe, N., Schulz, M. S., Kiess, W., & Poulain, T. (2025). Children’s and adolescents’ negative internet experiences and the association with quality of life and behavioural difficulties: A cross-sectional study. BMJ Paediatrics Open, 9(1), e003135. [Google Scholar] [CrossRef]
- Rai, S., Needham, D. M., Brown, R., Neeman, T., Sundararajan, K., Rajamani, A., Panwar, R., Nourse, M., van Haren, F. M. P., & Mitchell, I. (2025). Psychological symptoms, quality of life and dyadic relations in family members of intensive care survivors: A multicentre, prospective longitudinal cohort study. Annals of Intensive Care, 15(1). [Google Scholar] [CrossRef]
- Ravens-Sieberer, U., Kaman, A., Erhart, M., Devine, J., Schlack, R., & Otto, C. (2021). Impact of the COVID-19 pandemic on quality of life and mental health in children and adolescents in Germany. European Child & Adolescent Psychiatry, 31(6), 879–889. [Google Scholar] [CrossRef]
- Reynales-Shigematsu, L. M., Rivera-Rivera, L., Séris-Martínez, M., & Saenz-de-Miera, B. (2024). A cross-sectional analysis of parental behavior and adolescent mental health in mexico: Insights into excessive alcohol intake, tobacco use, suicidal behavior, and depressive symptomatology. Healthcare, 12(6), 641. [Google Scholar] [CrossRef]
- Robinaugh, D. J., Millner, A. J., & McNally, R. J. (2016). Identifying highly influential nodes in the complicated grief network. Journal of Abnormal Psychology, 125(6), 747–757. [Google Scholar] [CrossRef]
- Rodriguez-Rivas, M. E., Varela, J. J., González, C., & Chuecas, M. J. (2022). The role of family support and conflict in cyberbullying and subjective well-being among Chilean adolescents during the COVID-19 period. Heliyon, 8(4), e09243. [Google Scholar] [CrossRef] [PubMed]
- Schneider, S. K., O’Donnell, L., Stueve, A., & Coulter, R. W. S. (2012). Cyberbullying, school bullying, and psychological distress: A regional census of high school students. American Journal of Public Health, 102(1), 171–177. [Google Scholar] [CrossRef]
- Shengfa, Z., Wei, L., Xiaosheng, D., Wenxin, C., Xiangren, Y., Wei, Z., Yue, Z., & Yuanzhi, Z. (2022). A dataset on the status quo of health and health-related behaviors of chinese youth: A longitudinal large-scale survey in the secondary school students of shandong province. Chinese Medical Sciences Journal, 37(1), 60–66. [Google Scholar] [CrossRef] [PubMed]
- Singh, S., & Balhara, Y. P. S. (2021). “Screen-time” for children and adolescents in COVID-19 times: Need to have the contextually informed perspective. Indian Journal of Psychiatry, 63(2), 192–195. [Google Scholar] [CrossRef]
- Stea, T. H., Bonsaksen, T., Smith, P., Kleppang, A. L., Steigen, A. M., Leonhardt, M., Lien, L., & Vettore, M. V. (2024). Are social pressure, bullying and low social support associated with depressive symptoms, self-harm and self-directed violence among adolescents? A cross-sectional study using a structural equation modeling approach. BMC Psychiatry, 24(1). [Google Scholar] [CrossRef]
- Tokunaga, R. S. (2010). Following you home from school: A critical review and synthesis of research on cyberbullying victimization. Computers in Human Behavior, 26(3), 277–287. [Google Scholar] [CrossRef]
- van Borkulo, C. D., van Bork, R., Boschloo, L., Kossakowski, J. J., Tio, P., Schoevers, R. A., Borsboom, D., & Waldorp, L. J. (2023). Comparing network structures on three aspects: A permutation test. Psychological Methods, 28(6), 1273–1285. [Google Scholar] [CrossRef] [PubMed]
- Wang, R., Su, H., Xu, T., Jiang, W., Liu, H., Wang, W., Chen, C., Ma, X., Chen, Y., & Wang, W. (2024). The association between urbanization and depression in the elderly: A network analysis from the complexity science perspective. Journal of Affective Disorders, 356, 72–79. [Google Scholar] [CrossRef]
- Wang, S., Yu, M., Zhang, X., Huang, W., Wang, T., Liu, K., & Xiang, B. (2025). Comparison of mental health networks across different educational stages. European Child & Adolescent Psychiatry. [Google Scholar] [CrossRef]
- Wasserman, D., Arango, C., Fiorillo, A., Levin, S., Peters, A., Rao, P., Sanchez--Villanueva, T., & Sylla, A. (2023). Improving mental health through fostering healthy lifestyles in young people: One of the targets in the ¡scp¿WPA¡/scp¿ Action Plan 2023--2026. World Psychiatry: Official Journal of the World Psychiatric Association (WPA), 22(3), 488–489. [Google Scholar] [CrossRef] [PubMed]
- Wiederhold, B. K. (2024). The dark side of the digital age: How to address cyberbullying among adolescents. Cyberpsychology, Behavior, and Social Networking, 27(3), 169–171. [Google Scholar] [CrossRef]
- Yang, M., Si, S., Zhang, K., Xi, M., & Zhang, W. (2024). Bridging the relationship between physical exercise and mental health in adolescents based on network analysis. PsyCh Journal, 13(5), 835–848. [Google Scholar] [CrossRef] [PubMed]
- Yin, H., Han, Z., & Li, Y. (2024). Traditional bullying, cyberbullying, and quality of life among adolescents in 35 countries: Do cultural values matter? Social Science & Medicine, 340, 116499. [Google Scholar] [CrossRef]
- Youth League Central Committee, Department for Youth Rights Protection & China Internet Network Information Center (CNNIC). (2023, December). The 5th national survey on internet usage by minors in China. CNNIC. [Google Scholar]
- Zhang, J., Liu, C., An, P., Chen, M., Wei, Y., Li, J., Zeng, S., Xiang, D., Cai, Y., Li, J., Chen, B., Cui, L., Qian, J., Liu, Z., Jiang, C., Shi, J., Wu, K., & Dong, W. (2024). Psychological symptoms and quality of life in patients with inflammatory bowel disease in China: A multicenter study. United European Gastroenterology Journal, 12(3), 374–389. [Google Scholar] [CrossRef]
- Zhu, K., & Xue, S. (2025). Gender differences in mental health among late adolescents: A cross-lagged panel network analysis. Journal of Affective Disorders, 388, 119595. [Google Scholar] [CrossRef] [PubMed]








| Variable | Non-Cyberbullying (n = 8300) | Cyberbullying (n = 766) | p-Value |
|---|---|---|---|
| Age (year), mean (sd) | 16.13 ± 1.24 | 16.23 ± 1.25 | 0.027 |
| Sex, n (%) | <0.001 | ||
| Girls | 4041 (48.7) | 415 (54.2) | |
| Boys | 4259 (51.3) | 351 (45.8) | |
| Household registration type | 0.022 | ||
| This city | 4041 (48.7) | 415 (54.2) | |
| This township | 3451 (41.6) | 293 (38.3) | |
| Other cities | 529 (6.4) | 39 (5.1) | |
| Other province | 279 (3.4) | 19 (2.5) | |
| Only child | <0.001 | ||
| No | 4041 (48.7) | 415 (54.2) | |
| Yes | 4259 (51.3) | 351 (45.8) | |
| Father drunkenness | <0.001 | ||
| No | 7483 (90.2) | 646 (84.3) | |
| Yes | 817 (9.8) | 120 (15.7) |
| Variable | Non-Cyberbullying (n = 766) | Cyberbullying (n = 766) | p-Value |
|---|---|---|---|
| Age (year), mean (sd) | 16.21 ± 1.22 | 16.23 ± 1.25 | 0.756 |
| Sex, n (%) | 1 | ||
| Girls | 341 (44.5) | 341 (44.5) | |
| Boys | 425 (55.5) | 425 (55.5) | |
| Household registration type | 0.999 | ||
| This city | 415 (54.2) | 415 (54.2) | |
| This township | 292 (38.1) | 293 (38.3) | |
| Other cities | 39 (5.1) | 39 (5.1) | |
| Other province | 20 (2.6) | 19 (2.5) | |
| Only child | 0.918 | ||
| No | 436 (56.9) | 439 (57.3) | |
| Yes | 330 (43.1) | 427 (42.7) | |
| Father drunkenness | 1 | ||
| No | 647 (84.5) | 657 (84.3) | |
| Yes | 119 (15.5) | 120 (15.7) | |
| Somatization | 15.98 (6.29) | 21.41 (10.18) | <0.001 |
| Obsessive–compulsive | 16.64 (6.85) | 20.09 (9.04) | <0.001 |
| Interpersonal sensitivity | 13.83 (5.94) | 17.62 (8.37) | <0.001 |
| Depression | 19.06 (8.28) | 25.08 (12.26) | <0.001 |
| Anxiety | 14.36 (6.21) | 18.82 (9.27) | <0.001 |
| Hostility | 8.15 (3.35) | 11.16 (5.65) | <0.001 |
| Phobic anxiety | 9.32 (3.94) | 12.43 (6.25) | <0.001 |
| Paranoid ideation | 8.40 (3.46) | 11.14 (5.42) | <0.001 |
| Psychoticism | 13.80 (5.45) | 18.18 (8.51) | <0.001 |
| Teacher student relationship | 16.15 (2.82) | 13.52 (4.14) | <0.001 |
| Peer relationship | 15.96 (2.85) | 13.54 (4.10) | <0.001 |
| Parent child relationship | 12.32 (2.53) | 10.45 (3.28) | <0.001 |
| Learning ability attitude | 7.97 (1.61) | 7.30 (1.47) | <0.001 |
| Self concept | 10.80 (2.56) | 9.63 (3.04) | <0.001 |
| Somatic sensation | 14.62 (2.94) | 13.42 (3.91) | <0.001 |
| Negative emotion | 11.00 (2.46) | 10.48 (3.04) | <0.001 |
| Homework attitude | 8.66 (1.72) | 8.16 (2.23) | <0.001 |
| Life convenience | 6.69 (1.24) | 5.69 (1.80) | <0.001 |
| Activity opportunity | 7.83 (2.10) | 6.94 (2.44) | <0.001 |
| Sports ability | 8.39 (2.22) | 7.29 (2.49) | <0.001 |
| Self Satisfaction | 17.86 (3.66) | 15.14 (4.76) | <0.001 |
| Others | 5.44 (1.02) | 5.04 (1.54) | <0.001 |
| Edge Between | p-Value | |
|---|---|---|
| SCL3 | QOL7 | 0.0009 |
| QOL6 | QOL7 | 0.0009 |
Disclaimer/Publisher’s Note: The statements, opinions and data contained in all publications are solely those of the individual author(s) and contributor(s) and not of MDPI and/or the editor(s). MDPI and/or the editor(s) disclaim responsibility for any injury to people or property resulting from any ideas, methods, instructions or products referred to in the content. |
© 2025 by the authors. Licensee MDPI, Basel, Switzerland. This article is an open access article distributed under the terms and conditions of the Creative Commons Attribution (CC BY) license (https://creativecommons.org/licenses/by/4.0/).
Share and Cite
Zhang, Y.; Han, Y.; Guan, K. Comparison of Mental Health and Quality of Life Symptom Networks in Adolescents Exposed and Not Exposed to Cyberbullying: Evidence from Chinese High School Students. Behav. Sci. 2025, 15, 1498. https://doi.org/10.3390/bs15111498
Zhang Y, Han Y, Guan K. Comparison of Mental Health and Quality of Life Symptom Networks in Adolescents Exposed and Not Exposed to Cyberbullying: Evidence from Chinese High School Students. Behavioral Sciences. 2025; 15(11):1498. https://doi.org/10.3390/bs15111498
Chicago/Turabian StyleZhang, Yanzhe, Yushun Han, and Kaiyu Guan. 2025. "Comparison of Mental Health and Quality of Life Symptom Networks in Adolescents Exposed and Not Exposed to Cyberbullying: Evidence from Chinese High School Students" Behavioral Sciences 15, no. 11: 1498. https://doi.org/10.3390/bs15111498
APA StyleZhang, Y., Han, Y., & Guan, K. (2025). Comparison of Mental Health and Quality of Life Symptom Networks in Adolescents Exposed and Not Exposed to Cyberbullying: Evidence from Chinese High School Students. Behavioral Sciences, 15(11), 1498. https://doi.org/10.3390/bs15111498

