Is It Possible to Improve the Perceived Quality of Life of Overweight or Obese Older People through a Multicomponent Physical Exercise Program?
Abstract
1. Introduction
2. Materials and Methods
2.1. Study Design
2.2. Participants
2.3. Instruments
2.3.1. Sociodemographic Data
2.3.2. Anthropometric and Body Composition Measurements
2.3.3. Adapted World Health Organization Quality of Life Questionnaire (WHOQOL-BREF)
2.3.4. Intervention Program
2.4. Procedure
2.5. Statistical Analysis
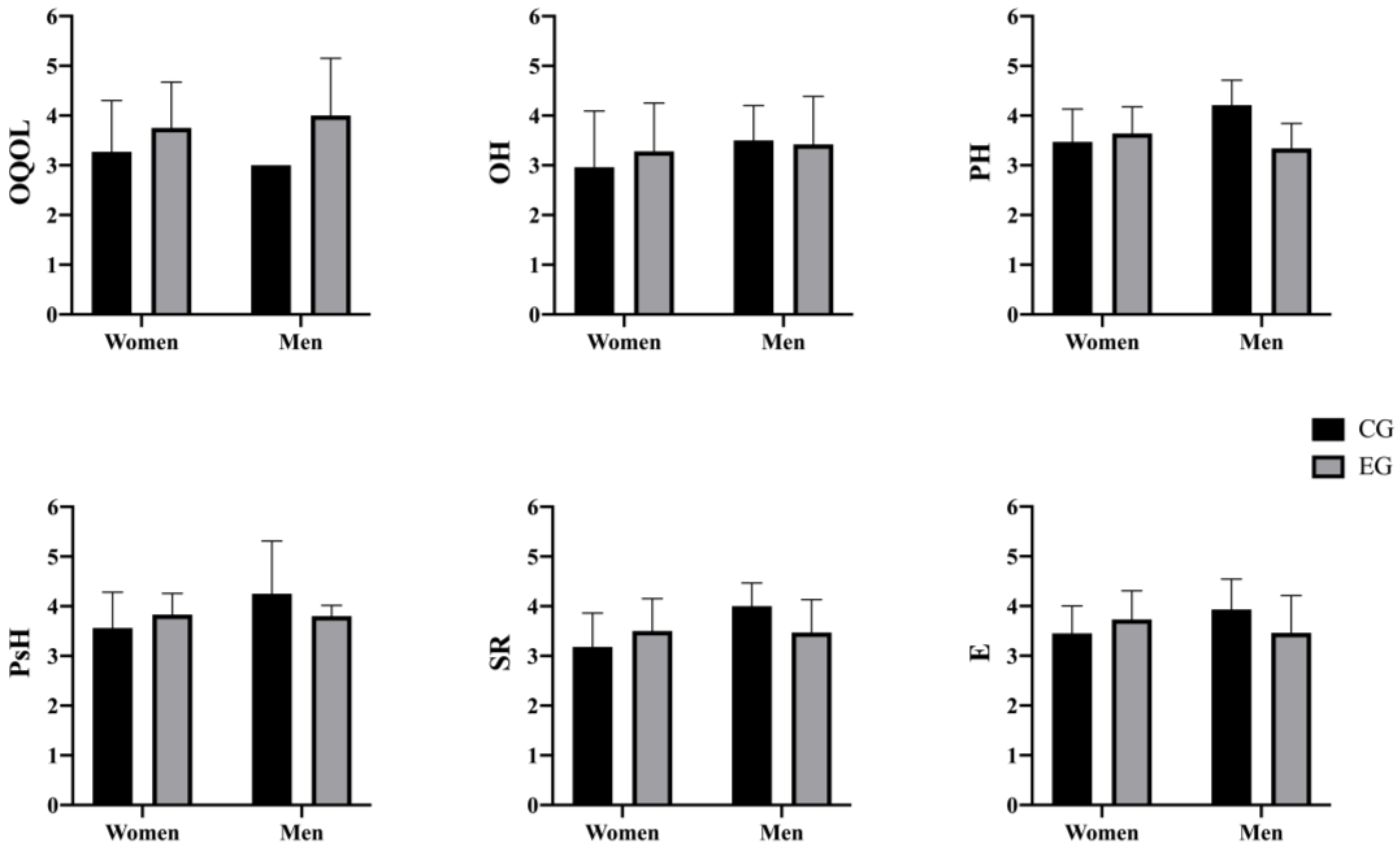
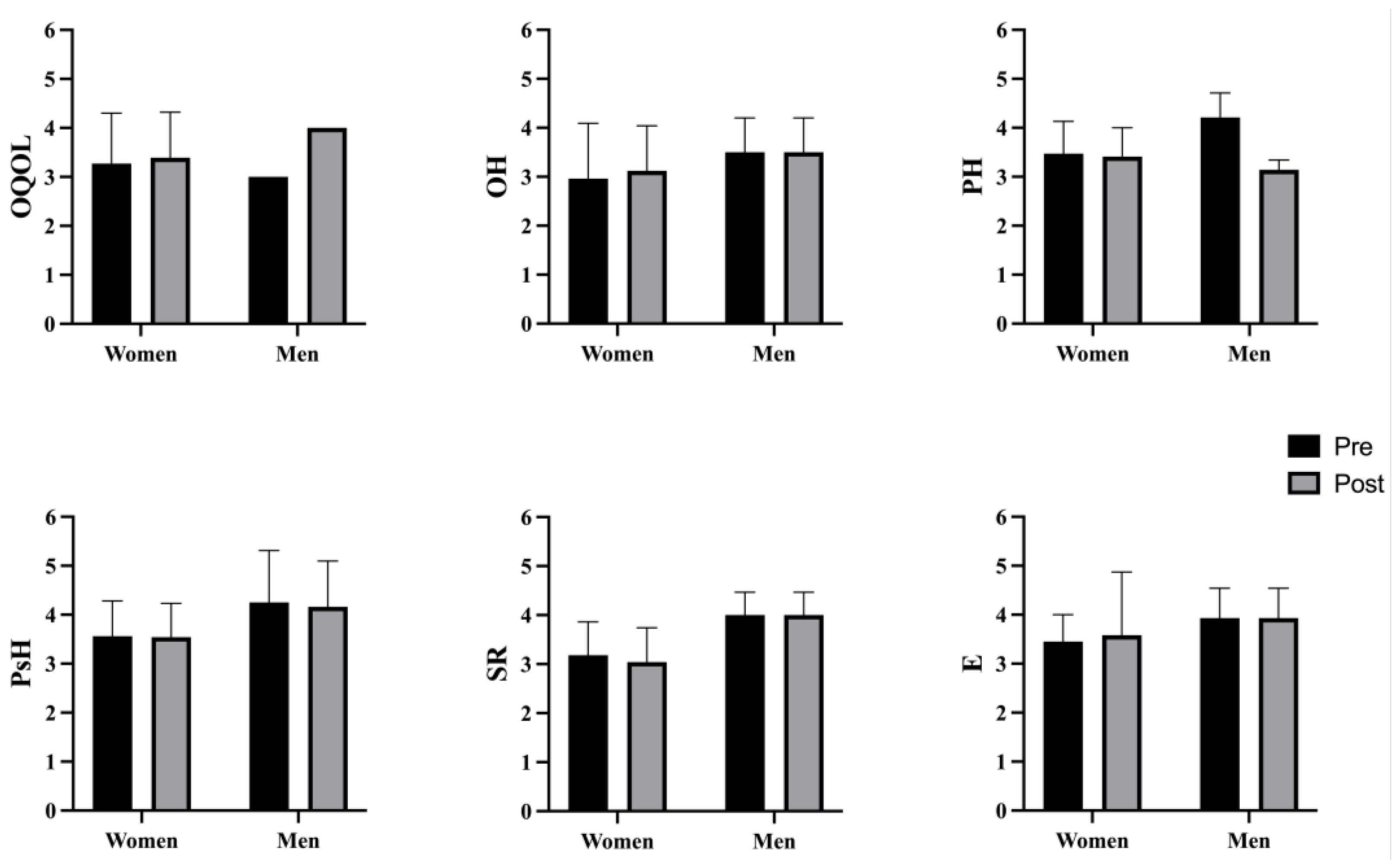
3. Results
3.1. CG and EG Pre-Intervention Comparison
3.2. Control Group Results
3.3. Experimental Group Results
3.4. CG vs. EG Post-Intervention Results
4. Discussion
5. Limitations
6. Conclusions
Author Contributions
Funding
Institutional Review Board Statement
Informed Consent Statement
Data Availability Statement
Conflicts of Interest
References
- Ribera Casado, J.M. Investigación sobre el envejecimiento: Una agenda más allá de la biogerontología—Anales RANM. An. De. La. Real. Acad. Nac. De. Med. De. España 2019, 135, 281–285. [Google Scholar] [CrossRef]
- Sánchez-Rodríguez, M. Envejecimiento En México (ENASEM). Una Herramienta Para El Estudio Del Envejecimiento Saludable. Casos Y Revis. De. Salud 2022, 4, 39–56. [Google Scholar] [CrossRef]
- Marcos-Pardo, P.J.; González-Gálvez, N.; Vaquero-Cristóbal, R.; Sagarra-Romero, L.; López-Vivancos, A.; Velázquez-Díaz, D.; Gea García, G.M.; Ponce-González, J.G.; Esteban-Cornejo, I.; Jiménez-Pavón, D.; et al. Programa de Intervención Multidominio Healthy-Age: Recomendaciones para un envejecimiento saludable: Por la red Healthy-Age. Cult. Cienc. Deporte 2021, 16, 311–320. [Google Scholar] [CrossRef]
- Agudelo-Cuéllar, L.M.; Lancheros-López, F.N. Entorno familiar, social y estado de salud de los adultos mayores: Una revisión sistemática desde el cuidado de enfermería. Boletín Semillero De. Investig. En. Fam. 2021, 3, e807. [Google Scholar] [CrossRef]
- Vázquez, L.Á.; Navarro-Patón, R.; Ramos-Álvarez, O.; Mecías-Calvo, M.; Lago-Fuentes, C. Actividad Física y Calidad de Vida de Adultos Mayores En Argentina: Un Estudio Transversal (Physical Activity and Quality of Life in Argentinian Older Adults: A Cross-Sectional Study). Retos 2023, 48, 86–93. [Google Scholar] [CrossRef]
- Molina Napurí, A.; Cambillo Moyano, E. Validación del Módulo WHOQOL-OLD en personas atendidas en Organizaciones para el Adulto Mayor. Pesquimat 2021, 24, 9–22. [Google Scholar] [CrossRef]
- Queirolo Ore, S.A.; Barboza Palomino, M.; Ventura-León, J. Medición de La Calidad de Vida En Adultos Mayores Institucionalizados de Lima (Perú). Enfermería Glob. 2020, 19, 259–288. [Google Scholar] [CrossRef]
- Rojas, A.; De León, E.; Juárez, A. Actividad Física y Calidad de Vida En El Adulto Mayor. Eur. Sci. J. ESJ 2022, 11, 365–373. [Google Scholar] [CrossRef]
- Bouaziz, W.; Lang, P.O.; Schmitt, E.; Kaltenbach, G.; Geny, B.; Vogel, T. Health Benefits of Multicomponent Training Programmes in Seniors: A Systematic Review. Int. J. Clin. Pr. 2016, 70, 520–536. [Google Scholar] [CrossRef]
- Hammami, N.; Mechraoui, A.; Hattabi, S.; Forte, P.; Sampaio, T.; Sortwell, A.; Teixeira, J.E.; Branquinho, L.; Ferraz, R.; Bouassida, A. Concentric Isokinetic Strengthening Program’s Impact on Knee Biomechanical Parameters, Physical Performance and Quality of Life in Overweight/Obese Women with Chronic Meniscal Lesions. Healthcare 2023, 11, 2079. [Google Scholar] [CrossRef]
- Ballin, M.; Lundberg, E.; Sörlén, N.; Nordström, P.; Hult, A.; Nordström, A. Effects of Interval Training on Quality of Life and Cardiometabolic Risk Markers in Older Adults: A Randomized Controlled Trial. Clin. Interv. Aging 2019, 14, 1589–1599. [Google Scholar] [CrossRef] [PubMed]
- Rezaeipour, M. Investigation of Pool Workouts on Weight, Body Composition, Resting Energy Expenditure, and Quality of Life among Sedentary Obese Older Women. Montenegrin J. Sports Sci. Med. 2020, 9, 67–72. [Google Scholar] [CrossRef]
- Fritz, N.B.; Gargallo, P.; Juesas, A.; Flandez, J.; Furtado, G.E.; Teixeira, A.M.; Colado, J.C. High-and Moderate-Intensity Resistance Training Provokes Different Effects on Body Composition, Functionality, and Well-Being in Elderly. J. Hum. Sport. Exerc. 2021, 16, S335–S352. [Google Scholar] [CrossRef]
- Rezaeipour, M.; Apanasenko, G.L.; Banparvari, M. Weight-Loss Parameters and Quality of Life in Obese Aged Women Using WATERinMOTION. Health Scope 2021, 10, e109478. [Google Scholar] [CrossRef]
- Pleticosic-Ramírez, Y.; Mecías Calvo, M.; Navarro-Patón, R. Efectos de Programas de Ejercicio Físico En La Composición Corporal, Condición Física y Calidad de Vida de Personas Mayores Con Sobrepeso u Obesidad: Una Revisión Sistemática (Effects of Physical Exercise Programs on Body Composition, Physical Fitness And. Retos 2024, 56, 47–62. [Google Scholar] [CrossRef]
- Jofré-Saldía, E.; Villalobos-Gorigoitía, Á.; Cofré-Bolados, C.; Ferrari, G.; Gea-García, G.M. Multicomponent Training in Progressive Phases Improves Functional Capacity, Physical Capacity, Quality of Life, and Exercise Motivation in Community-Dwelling Older Adults: A Randomized Clinical Trial. Int. J. Environ. Res. Public Health 2023, 20, 2755. [Google Scholar] [CrossRef] [PubMed]
- De Resende-Neto, A.; do Nascimento, M.A.; Da Silva, D.; Netto, R.; De Santana, J.; Silva, M. Effects of Multicomponent Training on Functional Fitness and Quality of Life in Older Women: A Randomized Controlled Trial. Int. J. Sport. Exerc. Med. 2019, 5, 2469–5718. [Google Scholar] [CrossRef]
- Stolarz, I.; Baszak, E.M.; Zawadka, M.; Majcher, P. Functional Status, Quality of Life, and Physical Activity of Senior Club Members—A Cross-Sectional Study. Int. J. Environ. Res. Public Health 2022, 19, 1900. [Google Scholar] [CrossRef] [PubMed]
- Kim, Y.-J.; Park, H.; Park, J.H.; Park, K.W.; Lee, K.; Kim, S.; Chae, K.; Park, M.H.; Koh, S.-H.; Na, H.R. Effects of Multicomponent Exercise on Cognitive Function in Elderly Korean Individuals. J. Clin. Neurol. 2020, 16, 612–623. [Google Scholar] [CrossRef]
- Cancela, J.M.; Vila, M.H.; Sanchez-Lastra, M.A.; Varela, S. La Socialización Mejora La Adherencia, Pero No La Fuerza, En Programas de Ejercicio Físico Con Componente de Fuerza En Personas Mayores. Rev. Andal. Med. Deport. 2021, 14, 103–107. [Google Scholar] [CrossRef]
- Ato, M.; López-García, J.J.; Benavente, A. A Classification System for Research Designs in Psychology. Ann. Psychol. 2013, 29, 1038–1059. [Google Scholar] [CrossRef]
- Skevington, S.M.; Lotfy, M.; O’Connell, K.A. The World Health Organization’s WHOQOL-BREF Quality of Life Assessment: Psychometric Properties and Results of the International Field Trial. A Report from the WHOQOL Group. Qual. Life Res. 2004, 13, 299–310. [Google Scholar] [CrossRef] [PubMed]
- Espinoza, I.; Osorio, P.; Torrejón, M.J.; Lucas-Carrasco, R.; Bunout, D. Validación Del Cuestionario de Calidad de Vida (WHOQOL-BREF) En Adultos Mayores Chilenos. Rev. Med. Chil. 2011, 139, 579–586. [Google Scholar] [CrossRef] [PubMed]
- World Health Organization Obesity and Overweight. Available online: https://www.who.int/news-room/fact-sheets/detail/obesity-and-overweight (accessed on 28 April 2024).
- Sociedad Internacional para el Avance de la Kinantropometría. Estándares Internacionales Para La Valoración; Biblioteca Nacional de Australia: Canberra, ACT, Australia, 2001. [Google Scholar]
- Araque-Martínez, M.Á.; Ruiz-Montero, P.J.; Artés-Rodríguez, E.M. Efectos de Un Programa de Ejercicio Físico Multicomponente Sobre La Condición Física, La Autoestima, La Ansiedad y La Depresión de Personas Adultas-Mayores (Effects of a Multicomponent Physical Exercise Program on Fitness, Self-Esteem, Anxiety and Depres. Retos 2020, 1024–1028. [Google Scholar] [CrossRef]
- Villarreal Angeles, M.A.; Moncada Jiménez, J.; Ochoa Martínez, P.Y.; Hall López, J.A. Percepción de La Calidad de Vida Del Adulto Mayor En México (Perception of the Quality of Life of Mexican Older Adults). Retos 2021, 41, 480–484. [Google Scholar] [CrossRef]
- Jiménez-Gómez, S.; Sánchez Rojas, I.A.; Castro-Jiménez, L.E.; Rubiano-Espinosa, O.F.; Carrillo-Ramírez, C.E.; Garavito-Peña, F.R.; Barrera-Cobos, N.F. Calidad de Vida En Asistentes a Un Programa de Actividad Física En Bogotá, Colombia. Rev. Iberoam. De. Cienc. De. La. Act. Física Y El Deporte 2021, 10, 95–111. [Google Scholar] [CrossRef]
- Vivaldi, F.; Barra, E. Bienestar Psicológico, Apoyo Social Percibido y Percepción de Salud En Adultos Mayores. Ter. Psicológica 2012, 30, 23–29. [Google Scholar] [CrossRef]
- Rodrigues, M.M.; Quintella Fernandes, R.Á. Calidad de Vida y Morbilidad Referida a Mujeres Productivamente Activas. Enfermería Glob. 2017, 16, 246–280. [Google Scholar] [CrossRef][Green Version]
- Tricco, A.C.; Thomas, S.M.; Veroniki, A.A.; Hamid, J.S.; Cogo, E.; Strifler, L.; Khan, P.A.; Robson, R.; Sibley, K.M.; MacDonald, H.; et al. Comparisons of Interventions for Preventing Falls in Older Adults: A Systematic Review and Meta-Analysis. JAMA 2017, 318, 1687–1699. [Google Scholar] [CrossRef]
- Villareal, D.T.; Aguirre, L.; Gurney, A.B.; Waters, D.L.; Sinacore, D.R.; Colombo, E.; Armamento-Villareal, R.; Qualls, C. Aerobic or Resistance Exercise, or Both, in Dieting Obese Older Adults. N. Engl. J. Med. 2017, 376, 1943–1955. [Google Scholar] [CrossRef]
- Puciato, D.; Borysiuk, Z.; Rozpara, M. Quality of Life and Physical Activity in an Older Working-Age Population. Clin. Interv. Aging 2017, 12, 1627–1634. [Google Scholar] [CrossRef] [PubMed]
- Maung, T.M.; Jain, T.; Madhanagopal, J.; Naidu, S.R.L.R.; Phyu, H.P.; Oo, W.M. Impact of Aerobic and Strengthening Exercise on Quality of Life (QOL), Mental Health and Physical Performance of Elderly People Residing at Old Age Homes. Sustainability 2022, 14, 10881. [Google Scholar] [CrossRef]
- McAuley, E.; Konopack, J.F.; Motl, R.W.; Morris, K.S.; Doerksen, S.E.; Rosengren, K.R. Physical Activity and Quality of Life in Older Adults: Influence of Health Status and Self-Efficacy. Ann. Behav. Med. 2006, 31, 99–103. [Google Scholar] [CrossRef] [PubMed]
- Pernambuco, C.S.; Rodrigues, B.M.; Bezerra, J.C.P.; Carrielo, A.; Fernandes, A.D.d.O.; Vale, R.G.d.S.; Dantas, E.H.M. Quality of Life, Elderly and Physical Activity. Health 2012, 4, 88–93. [Google Scholar] [CrossRef][Green Version]
- Roberts, C.E.; Phillips, L.H.; Cooper, C.L.; Gray, S.; Allan, J.L. Effect of Different Types of Physical Activity on Activities of Daily Living in Older Adults: Systematic Review and Meta-Analysis. J. Aging Phys. Act. 2017, 25, 653–670. [Google Scholar] [CrossRef] [PubMed]
- Whitehurst, M.A.; Johnson, B.L.; Parker, C.M.; Brown, L.E.; Ford, A.M. The Benefits of a Functional Exercise Circuit for Older Adults. J. Strength. Cond. Res. 2005, 19, 647–651. [Google Scholar] [CrossRef]
- Atad, O.I.; Caspi, D. Exercise and Perceived Quality of Life among Frail Older Adults. Qual. Ageing Older Adults 2020, 21, 29–38. [Google Scholar] [CrossRef]





| Control Group | Experimental Group | |
|---|---|---|
| Variables | ||
| Average age (years) | 72.54 ± 5.55 | 73.77 ± 6.32 |
| Sex | ||
| Man | 2 (72.2%) | 7 (27.8%) |
| Woman | 33 (27.8%) | 28 (72.2%) |
| Average height (m) | 1.538 ± 7.16 | 1.530 ± 9.16 |
| Average weight (kg) | 72.51 ± 11.99 | 74.80 ± 12.75 |
| Average BMI (kg/m2) | 30.71 ± 4.075 | 31.88 ± 3.73 |
| Degree of overweight-obesity | ||
| Overweight | 17 (24.3%) | 11 (15.7%) |
| Type I Obesity | 13 (18.6%) | 17 (24.3%) |
| Type II Obesity | 4 (5.7%) | 6 (8.6%) |
| Type III Obesity | 1 (1.4%) | 1 (1.4%) |
| Variable | CG Pre (n = 35) | EG Pre (n = 35) | CG Post (n = 35) | EG Post (n = 35) |
|---|---|---|---|---|
| Quality of Life | 3.25 ± 1.01 | 3.80 ± 0.96 | 3.42 ± 0.91 | 4.22 ± 0.80 |
| Overall Health | 3.00 ± 1.11 | 3.31 ± 0.96 | 3.14 ± 0.91 | 3.62 ± 0.80 |
| Physical Health | 3.51 ± 0.67 | 3.58 ± 0.54 | 3.46 ± 0.59 | 3.93 ± 0.51 |
| Psychological Health | 3.60 ± 0.74 | 3.82 ± 0.39 | 3.58 ± 0.71 | 4.10 ± 0.52 |
| Social Relations | 3.22 ± 0.69 | 3.49 ± 0.64 | 3.09 ± 0.72 | 3.80 ± 0.52 |
| Environment | 3.47 ± 0.55 | 3.68 ± 0.61 | 3.60 ± 1.26 | 3.96 ± 0.56 |
Disclaimer/Publisher’s Note: The statements, opinions and data contained in all publications are solely those of the individual author(s) and contributor(s) and not of MDPI and/or the editor(s). MDPI and/or the editor(s) disclaim responsibility for any injury to people or property resulting from any ideas, methods, instructions or products referred to in the content. |
© 2024 by the authors. Licensee MDPI, Basel, Switzerland. This article is an open access article distributed under the terms and conditions of the Creative Commons Attribution (CC BY) license (https://creativecommons.org/licenses/by/4.0/).
Share and Cite
Pleticosic-Ramírez, Y.; Arufe-Giráldez, V.; Rodríguez-Negro, J.; Mecías-Calvo, M.; Navarro-Patón, R. Is It Possible to Improve the Perceived Quality of Life of Overweight or Obese Older People through a Multicomponent Physical Exercise Program? Behav. Sci. 2024, 14, 618. https://doi.org/10.3390/bs14070618
Pleticosic-Ramírez Y, Arufe-Giráldez V, Rodríguez-Negro J, Mecías-Calvo M, Navarro-Patón R. Is It Possible to Improve the Perceived Quality of Life of Overweight or Obese Older People through a Multicomponent Physical Exercise Program? Behavioral Sciences. 2024; 14(7):618. https://doi.org/10.3390/bs14070618
Chicago/Turabian StylePleticosic-Ramírez, Yazmina, Víctor Arufe-Giráldez, Josune Rodríguez-Negro, Marcos Mecías-Calvo, and Rubén Navarro-Patón. 2024. "Is It Possible to Improve the Perceived Quality of Life of Overweight or Obese Older People through a Multicomponent Physical Exercise Program?" Behavioral Sciences 14, no. 7: 618. https://doi.org/10.3390/bs14070618
APA StylePleticosic-Ramírez, Y., Arufe-Giráldez, V., Rodríguez-Negro, J., Mecías-Calvo, M., & Navarro-Patón, R. (2024). Is It Possible to Improve the Perceived Quality of Life of Overweight or Obese Older People through a Multicomponent Physical Exercise Program? Behavioral Sciences, 14(7), 618. https://doi.org/10.3390/bs14070618

