The Correlation between Motor Skill Proficiency and Academic Performance in High School Students
Abstract
1. Introduction
2. Materials and Methods
2.1. Design
2.2. Participants
2.3. Procedures
2.4. Statistical Analysis
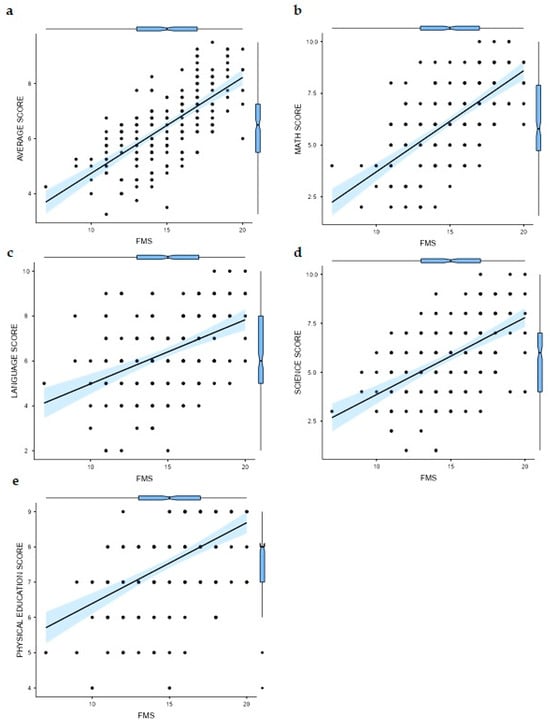
3. Results
4. Discussion
Limitations, Practical Application, and Future Research Directions
5. Conclusions
Author Contributions
Funding
Institutional Review Board Statement
Informed Consent Statement
Data Availability Statement
Conflicts of Interest
References
- Redondo-Flórez, L.; Ramos-Campo, D.J.; Clemente-Suárez, V.J. Body Composition, Psychological, Cardiovascular, and Physical Activity Factors Related with Academic School Performance. Sustainability 2021, 13, 8775. [Google Scholar] [CrossRef]
- Redondo-Flórez, L.; Ramos-Campo, D.J.; Clemente-Suárez, V.J. Relationship between physical fitness and academic performance in university students. Int. J. Environ. Res. Public Health 2022, 19, 14750. [Google Scholar] [CrossRef] [PubMed]
- Beltrán-Velasco, A.I.; Diaz-Manzano, M.; Clemente-Suárez, V.J. Psychophysiological stress markers of students and academic performance. Physiol. Behav. 2021, 234, 113385. [Google Scholar] [CrossRef] [PubMed]
- Beltrán-Velasco, A.I.; Donoso-González, M.; Clemente-Suárez, V.J. Analysis of perceptual, psychological, and behavioral factors that affect the academic performance of education university students. Physiol. Behav. 2021, 238, 113497. [Google Scholar] [CrossRef]
- Singh, A.; Uijtdewilligen, L.; Twisk, J.W.; van Mechelen, W.; Chinapaw, M.J. Physical activity and performance at school: A systematic review of the literature including a methodological quality assessment. Arch. Pediatr. Adolesc. Med. 2012, 166, 49–55. [Google Scholar] [CrossRef]
- Cook, G.; Burton, L.; Hoogenboom, B. Pre-participation screening: The use of fundamental movements as an assessment of function—Part 1. N. Am. J. Sports Phys. Ther. 2006, 1, 62–72. [Google Scholar] [PubMed]
- Vehrs, P.R.; Uvacsek, M.; Johnson, A.W. Assessment of Dysfunctional Movements and Asymmetries in Children and Adolescents Using the Functional Movement Screen—A Narrative Review. Int. J. Environ. Res. Public Health 2021, 18, 12501. [Google Scholar] [CrossRef]
- Lubans, D.R.; Morgan, P.J.; Cliff, D.P.; Barnett, L.M.; Okely, A.D. Fundamental movement skills in children and adolescents: Review of associated health benefits. Sports Med. 2010, 40, 1019–1035. [Google Scholar] [CrossRef]
- Haapala, E.A. Cardiorespiratory fitness and motor skills in relation to cognition and academic performance in children—A review. J. Hum. Kinet. 2013, 36, 55–68. [Google Scholar] [CrossRef]
- Schmidt, M.; Egger, F.; Conzelmann, A. Delayed positive effects of an acute bout of coordinative exercise on children’s attention. Percept. Mot. Ski. 2015, 121, 431–446. [Google Scholar] [CrossRef]
- Cairney, J.; Kwan, M.Y.; Hay, J.A.; Faught, B.E. Developmental Coordination Disorder, gender, and body weight: Examining the impact of participation in active play. Res. Dev. Disabil. 2012, 33, 1566–1573. [Google Scholar] [CrossRef] [PubMed]
- Macdonald, K.; Milne, N.; Orr, R.; Pope, R. Relationships between Motor Proficiency and Academic Performance in Mathematics and Reading in School-Aged Children and Adolescents: A Systematic Review. Int. J. Environ. Res. Public Health 2018, 15, 1603. [Google Scholar] [CrossRef] [PubMed]
- Tomporowski, P.D.; Lambourne, K.; Okumura, M.S. Physical activity interventions and children’s mental function: An introduction and overview. Prev. Med. 2011, 52 (Suppl. S1), S3–S9. [Google Scholar] [CrossRef] [PubMed]
- Donnelly, J.E.; Hillman, C.H.; Castelli, D.; Etnier, J.L.; Lee, S.; Tomporowski, P.; Lambourne, K.; Szabo-Reed, A.N. Physical Activity, Fitness, Cognitive Function, and Academic Achievement in Children: A Systematic Review. Med. Sci. Sports Exerc. 2016, 48, 1223–1224. [Google Scholar] [CrossRef] [PubMed]
- Pesce, C.; Crova, C.; Cereatti, L.; Casella, R.; Bellucci, M. Physical activity and mental performance in preadolescents: Effects of acute exercise on free-recall memory. Ment. Health Phys. Act. 2009, 2, 16–22. [Google Scholar] [CrossRef]
- Fedewa, A.L.; Ahn, S. The effects of physical activity and physical fitness on children’s achievement and cognitive outcomes: A meta-analysis. Res. Q. Exerc. Sport. 2011, 82, 521–535. [Google Scholar] [CrossRef] [PubMed]
- Cook, G.; Burton, L.; Kiesel, K.; Rose, G.; Bryant, M. Functional Movement Systems: Screening, Assessment, Corrective Strategies; On Target Publications: Aptos, CA, USA, 2010. [Google Scholar]
- Moran, R.W.; Schneiders, A.G.; Major, K.M.; Sullivan, S.J. How reliable are Functional Movement Screening scores? A systematic review of rater reliability. Br. J. Sports Med. 2016, 50, 527–536. [Google Scholar] [CrossRef] [PubMed]
- Parenteau-G, E.; Gaudreault, N.; Chambers, S.; Boisvert, C.; Grenier, A.; Gagné, G.; Balg, F. Functional movement screen test: A reliable screening test for young elite ice hockey players. Phys. Ther. Sport 2014, 15, 169–175. [Google Scholar] [CrossRef] [PubMed]
- Teyhen, D.S.; Shaffer, S.W.; Lorenson, C.L.; Halfpap, J.P.; Donofry, D.F.; Walker, M.J.; Dugan, J.L.; Childs, J.D. The functional movement screen: A reliability study. J. Orthop. Sports Phys. Ther. 2012, 42, 530–540. [Google Scholar] [CrossRef]
- Frost, D.M.; Beach, T.A.; Callaghan, J.P.; McGill, S.M. FMS scores change with performers’ knowledge of the grading criteria—Are general whole-body movement screens capturing “Dysfunction”? J. Strength Cond. Res. 2015, 29, 3037–3044. [Google Scholar] [CrossRef]
- Taylor, S.D.; Williamson, J. Evidence and Cognition. Erkenntnis 2024, 89, 1927–1948. [Google Scholar] [CrossRef]
- Lakes, K.D.; Hoyt, W.T. Promoting self-regulation through school-based martial arts training. J. Appl. Dev. Psychol. 2004, 25, 283–302. [Google Scholar] [CrossRef]
- Ünal, E.; Papafragou, A. Relations Between Language and Cognition: Evidentiality and Sources of Knowledge. Top. Cogn. Sci. 2020, 12, 115–135. [Google Scholar] [CrossRef]
- Minick, K.I.; Kiesel, K.B.; Burton, L.; Taylor, A.; Plisky, P.; Butler, R.J. Interrater reliability of the functional movement screen. J. Strength Cond. Res. 2010, 24, 479–486. [Google Scholar] [CrossRef] [PubMed]
- Okada, T.; Huxel, K.C.; Nesser, T.W. Relationship between core stability, functional movement, and performance. J. Strength Cond. Res. 2011, 25, 252–261. [Google Scholar] [CrossRef]
- Aadland, K.N.; Moe, V.F.; Aadland, E.; Anderssen, S.A.; Resaland, G.K.; Ommundsen, Y. Relationships between physical activity, sedentary time, aerobic fitness, motor skills and executive function and academic performance in children. Ment. Health Phys. Act. 2017, 12, 10–18. [Google Scholar] [CrossRef]
- Vabø, K.B.; Aadland, K.N.; Howard, S.J.; Aadland, E. The multivariate physical activity signatures associated with self-regulation, executive function, and early academic learning in 3–5-year-old children. Front. Psychol. 2022, 13, 842271. [Google Scholar] [CrossRef]
- Phillips, C. Brain-derived neurotrophic factor, depression, and physical activity: Making the neuroplastic connection. Neural Plast. 2017, 2017, 7260130. [Google Scholar] [CrossRef]
- Batez, M.; Milošević, Ž.; Mikulić, I.; Sporiš, G.; Mačak, D.; Trajković, N. Relationship between Motor Competence, Physical Fitness, and Academic Achievement in Young School-Aged Children. Biomed. Res. Int. 2021, 2021, 6631365. [Google Scholar] [CrossRef]
- Dana, A.; Ranjbari, S.; Chaharbaghi, Z.; Ghorbani, S. Association between Physical Activity and Motor Proficiency among Primary School Children. Int. J. Sch. Health 2023, 10, 128–135. [Google Scholar] [CrossRef]
- Lin, T.-W.; Tsai, S.-F.; Kuo, Y.-M. Physical exercise enhances neuroplasticity and delays Alzheimer’s disease. Brain Plast. 2018, 4, 95–110. [Google Scholar] [CrossRef] [PubMed]
- de Sousa Fernandes, M.S.; Ordônio, T.F.; Santos, G.C.J.; Santos, L.E.R.; Calazans, C.T.; Gomes, D.A.; Santos, T.M. Effects of physical exercise on neuroplasticity and brain function: A systematic review in human and animal studies. Neural Plast. 2020, 2020, 8856621. [Google Scholar] [CrossRef] [PubMed]
- Hötting, K.; Röder, B. Beneficial effects of physical exercise on neuroplasticity and cognition. Neurosci. Biobehav. Rev. 2013, 37, 2243–2257. [Google Scholar] [CrossRef] [PubMed]
- Pickersgill, J.W.; Turco, C.V.; Ramdeo, K.; Rehsi, R.S.; Foglia, S.D.; Nelson, A.J. The combined influences of exercise, diet and sleep on neuroplasticity. Front. Psychol. 2022, 13, 831819. [Google Scholar] [CrossRef] [PubMed]
- Tomporowski, P.D.; Davis, C.L.; Miller, P.H.; Naglieri, J.A. Exercise and children’s intelligence, cognition, and academic achievement. Educ. Psychol. Rev. 2008, 20, 111–131. [Google Scholar] [CrossRef] [PubMed]
- Diamond, A.; Lee, K. Interventions shown to aid executive function development in children 4 to 12 years old. Science 2011, 333, 959–964. [Google Scholar] [CrossRef] [PubMed]
- Phillips, N.L.H.; Roth, T.L. Animal models and their contribution to our understanding of the relationship between environments, epigenetic modifications, and behavior. Genes 2019, 10, 47. [Google Scholar] [CrossRef] [PubMed]
- Cortés Pascual, A.; Moyano Muñoz, N.; Quílez Robres, A. The relationship between executive functions and academic performance in primary education: Review and meta-analysis. Front. Psychol. 2019, 10, 449759. [Google Scholar] [CrossRef] [PubMed]
- Davis, C.L.; Tomporowski, P.D.; McDowell, J.E.; Austin, B.P.; Miller, P.H.; Yanasak, N.E.; Allison, J.D.; Naglieri, J.A. Exercise improves executive function and achievement and alters brain activation in overweight children: A randomized, controlled trial. Health Psychol. 2011, 30, 91–98. [Google Scholar] [CrossRef]
- Ben-Arieh, A.; Casas, F.; Frønes, I.; Korbin, J.E. Multifaceted concept of child well-being. In Handbook of Child Well-Being; Springer: Dordrecht, The Netherlands, 2014; Volume 1, pp. 1–27. [Google Scholar]
- Alvarez-Bueno, C.; Pesce, C.; Cavero-Redondo, I.; Sanchez-Lopez, M.; Martínez-Hortelano, J.A.; Martinez-Vizcaino, V. The effect of physical activity interventions on children’s cognition and metacognition: A systematic review and meta-analysis. J. Am. Acad. Child Adolesc. Psychiatry 2017, 56, 729–738. [Google Scholar] [CrossRef]
- Jylänki, P.; Mbay, T.; Hakkarainen, A.; Sääkslahti, A.; Aunio, P. The effects of motor skill and physical activity interventions on preschoolers’ cognitive and academic skills: A systematic review. Prev. Med. 2022, 155, 106948. [Google Scholar] [CrossRef]
- Jylänki, P.; Mbay, T.; Byman, A.; Hakkarainen, A.; Sääkslahti, A.; Aunio, P. Cognitive and academic outcomes of fundamental motor skill and physical activity interventions designed for children with special educational needs: A systematic review. Brain Sci. 2022, 12, 1001. [Google Scholar] [CrossRef] [PubMed]
- Chaddock-Heyman, L.; Hillman, C.H.; Cohen, N.J.; Kramer, A.F., III. The importance of physical activity and aerobic fitness for cognitive control and memory in children. Monogr. Soc. Res. Child Dev. 2014, 79, 25–50. [Google Scholar] [CrossRef] [PubMed]
- Martín-Rodríguez, A.; Bustamante-Sánchez, Á.; Martínez-Guardado, I.; Navarro-Jiménez, E.; Plata-SanJuan, E.; Tornero-Aguilera, J.F.; Clemente-Suárez, V.J. Infancy dietary patterns, development, and health: An extensive narrative review. Children 2022, 9, 1072. [Google Scholar] [CrossRef] [PubMed]
- Chang, M.; Gu, X. The role of executive function in linking fundamental motor skills and reading proficiency in socioeconomically disadvantaged kindergarteners. Learn. Individ. Differ. 2018, 61, 250–255. [Google Scholar] [CrossRef]
- Marchetti, R.; Forte, R.; Borzacchini, M.; Vazou, S.; Tomporowski, P.D.; Pesce, C. Physical and motor fitness, sport skills and executive function in adolescents: A moderated prediction model. Psychology 2015, 6, 1915–1929. [Google Scholar] [CrossRef]
- Latino, F.; Tafuri, F. Physical Activity and Cognitive Functioning. Medicina 2024, 60, 216. [Google Scholar] [CrossRef]
- Whitebread, D.; Grau, V.; Kumpulainen, K.; McClelland, M.; Perry, N.; Pino-Pasternak, D. The SAGE Handbook of Developmental Psychology and Early Childhood Education; SAGE Publications Ltd.: London, UK, 2019. [Google Scholar] [CrossRef]

| Outcome | LAP (n = 101) | HAP (n = 100) | T | p Value | Mean Difference | Effect Size (d) |
|---|---|---|---|---|---|---|
| Average Score | 5.4 ± 0.7 | 7.5 ± 0.8 | −19.68 | <0.001 | −2.15 | −2.78 |
| Mathematics Score | 4.7 ± 1.4 | 7.5 ± 1.3 | −15.13 | <0.001 | −2.88 | −2.13 |
| Language Score | 5.5 ± 1.5 | 7.3 ± 1.4 | −9.06 | <0.001 | −1.84 | −1.28 |
| Science Score | 4.4 ± 1.3 | 7.2 ± 1.4 | −14.38 | <0.001 | −2.74 | −2.03 |
| Physical Education Score | 7.0 ± 1.2 | 8.1 ± 0.9 | −7.81 | <0.001 | −1.14 | −1.10 |
| FMS Score | 13.3 ± 2.2 | 16.4 ± 2.1 | −10.36 | <0.001 | −3.10 | −1.46 |
Disclaimer/Publisher’s Note: The statements, opinions and data contained in all publications are solely those of the individual author(s) and contributor(s) and not of MDPI and/or the editor(s). MDPI and/or the editor(s) disclaim responsibility for any injury to people or property resulting from any ideas, methods, instructions or products referred to in the content. |
© 2024 by the authors. Licensee MDPI, Basel, Switzerland. This article is an open access article distributed under the terms and conditions of the Creative Commons Attribution (CC BY) license (https://creativecommons.org/licenses/by/4.0/).
Share and Cite
Ramos-Campo, D.J.; Clemente-Suárez, V.J. The Correlation between Motor Skill Proficiency and Academic Performance in High School Students. Behav. Sci. 2024, 14, 592. https://doi.org/10.3390/bs14070592
Ramos-Campo DJ, Clemente-Suárez VJ. The Correlation between Motor Skill Proficiency and Academic Performance in High School Students. Behavioral Sciences. 2024; 14(7):592. https://doi.org/10.3390/bs14070592
Chicago/Turabian StyleRamos-Campo, Domingo Jesús, and Vicente Javier Clemente-Suárez. 2024. "The Correlation between Motor Skill Proficiency and Academic Performance in High School Students" Behavioral Sciences 14, no. 7: 592. https://doi.org/10.3390/bs14070592
APA StyleRamos-Campo, D. J., & Clemente-Suárez, V. J. (2024). The Correlation between Motor Skill Proficiency and Academic Performance in High School Students. Behavioral Sciences, 14(7), 592. https://doi.org/10.3390/bs14070592
