Promoting Individual and Organizational OCBs: The Mediating Role of Work Engagement
Abstract
1. Introduction
2. Theoretical Framework and Hypotheses
2.1. Job Satisfaction as an Antecedent of Work Engagement and OCBs in the SET
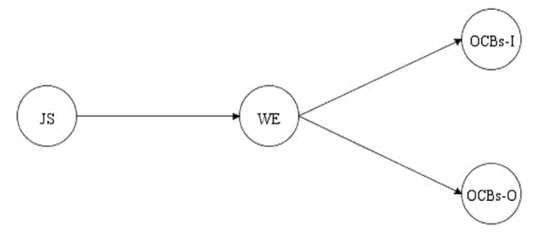
2.2. The Mediating Role of Work Engagement
3. Research Methodology
3.1. Sample and Procedures
3.2. Measures
3.2.1. Job Satisfaction
3.2.2. Work Engagement
3.2.3. Organizational Citizenship Behaviors
3.2.4. Control Variables
4. Results
4.1. Data Analyses
4.1.1. Descriptive Statistics
4.1.2. Measurement Model
4.1.3. Mediational Model
5. Discussions
6. Conclusions
Author Contributions
Funding
Conflicts of Interest
References
- Borman, W.C.; Motowidlo, S.J. Expanding the criterion domain to include elements of contextual performance. In Personnel Selection in Organizations; Schmitt, N., Borman, W.C., Eds.; Jossey-Bass: San Francisco, CA, USA, 1993; pp. 71–98. [Google Scholar]
- Bateman, T.S.; Organ, D.W. Job satisfaction and the Good Soldier: The relationship Between Affect and Employee “Citizenship”. Acad. Manag. J. 1983, 26, 587–595. [Google Scholar]
- Smith, C.A.; Organ, D.W.; Near, J.P. Organizational citizenship behavior: Its nature and antecedents. J. Appl. Psychol. 1983, 68, 653–663. [Google Scholar] [CrossRef]
- Organ, D.W. Organizational citizenship behavior: It’s construct clean-up time. Hum. Perform. 1997, 10, 85–97. [Google Scholar] [CrossRef]
- Hoffman, B.J.; Blair, C.A.; Meriac, J.P.; Woehr, D.J. Expanding the criterion domain? A quantitative review of the OCB literature. J. Appl. Psychol. 2007, 92, 555–566. [Google Scholar] [CrossRef]
- Williams, L.J.; Anderson, S.E. Job Satisfaction and Organizational Commitment as Predictors of Organizational Citizenship and In-Role Behaviors. J. Manag. 1991, 17, 601–607. [Google Scholar] [CrossRef]
- Podsakoff, N.P.; Whiting, S.W.; Podsakoff, P.M.; Blume, B.D. Individual- and organizational-level consequences of organizational citizenship behaviors: A meta-analysis. J. Appl. Psychol. 2009, 94, 122–141. [Google Scholar] [CrossRef] [PubMed]
- Ocampo, L.; Acedillo, V.; Bacunador, A.M.; Balo, C.C.; Lagdameo, Y.J.; Tupa, N.S. A historical review of the development of organizational citizenship behavior (OCB) and its implications for the twenty-first century. Pers. Rev. 2018, 47, 821–862. [Google Scholar] [CrossRef]
- LePine, J.A.; Erez, A.; Johnson, D.E. The nature and dimensionality of organizational citizenship behavior: A critical review and meta-analysis. J. Appl. Psychol. 2002, 87, 52–65. [Google Scholar] [CrossRef]
- Blau, P.M. Exchange and Power in Social Life; Wiley: New York, NY, USA, 1964; pp. 89–115. [Google Scholar]
- Hobfoll, S.E. Conservation of resources. A new attempt at conceptualizing stress. Am. Psychol. 1989, 44, 513–524. [Google Scholar] [CrossRef]
- Spector, P. Job Satisfaction: Application, Assessment, Causes and Consequences; Sage: San Francisco, CA, USA, 1997; pp. 55–68. [Google Scholar]
- Locke, E.A. The nature and causes of job satisfaction. In Handbook of Industrial and Organizational Psychology; Dunnette, M.D., Ed.; Rand McNally: Chicago, IL, USA, 1976; pp. 1297–1349. [Google Scholar]
- Abraham, S. Job satisfaction as an Antecedent to Employee Engagement. J. Manag. 2012, 8, 27–36. [Google Scholar]
- Turkyilmaz, A.; Akman, G.; Ozkan, C.; Pastuszak, Z. Empirical study of public sector employee loyalty and satisfaction. Ind. Manag. Data Syst. 2011, 111, 675–696. [Google Scholar] [CrossRef]
- Chou, R.J.-A.; Robert, S.A. Workplace Support, Role Overload, and Job satisfaction of Direct Care Workers in Assisted Living. J. Health Soc. Behav. 2008, 49, 208–222. [Google Scholar] [CrossRef]
- Cowin, L.S.; Johnson, M.; Craven, R.G.; Marsh, H.W. Causal modelling of self-concept, job satisfaction and retention of nurses. Int. J. Nurs. Stud. 2008, 45, 1449–1459. [Google Scholar] [CrossRef]
- Weiss, D.J.; Dawis, R.V.; England, G.W. Manual for the Minnesota Satisfaction Questionnaire. Minn. Stud. Vocat. Rehab. 1967, 22, 120. [Google Scholar]
- Moorman, R.H. The influence of cognitive and affective based job satisfaction measures on the relationship between satisfaction and organizational citizenship behavior. Hum. Relat. 1993, 46, 759–776. [Google Scholar] [CrossRef]
- Herzberg, F. Work and the Nature of Man; World Publishing Company: New York, NY, USA, 1966; pp. 1–203. [Google Scholar]
- Stone, R.P.; Leuty, M.E.; Rayburn, R.; Wu, B.H. Person–environment fit at work: Relationships with workplace behaviours. Aust. J. Career Dev. 2019, 28, 234–244. [Google Scholar] [CrossRef]
- Koys, D.J. The effects of employee satisfaction, organizational citizenship behavior, and turnover on organizational effectiveness: A unit-level, longitudinal study. Pers. Psychol. 2001, 54, 101–114. [Google Scholar] [CrossRef]
- Yee, R.W.Y.; Yeung, A.C.L. The impact of employee satisfaction on quality and profitability in high-contact service industries. J. Oper. Manag. 2008, 26, 651–668. [Google Scholar] [CrossRef]
- Alotaibi, A.G. Antecedents of Organizational Citizenship Behavior: A Study of Public Personnel in Kuwait. Public Pers. Manag. 2001, 30, 363–376. [Google Scholar] [CrossRef]
- Kim, S. Public service motivation and organizational citizenship behavior in Korea. Int. J. Manpow. 2006, 27, 722–740. [Google Scholar] [CrossRef]
- Organ, D.W. Personality and Organizational Citizenship Behavior. J. Manag. 1994, 20, 465–478. [Google Scholar] [CrossRef]
- Organ, D.W.; Ryan, K. A meta-analytic review of attitudinal and dispositional predictors of organizational citizenship behavior. Pers. Psychol. 1995, 48, 775–802. [Google Scholar] [CrossRef]
- Podsakoff, P.M.; MacKenzie, S.B.; Paine, J.B.; Bachrach, D.G. Organizational citizenship behaviors: A critical review of the theoretical and empirical literature and suggestions for future research. J. Manag. 2000, 26, 513–563. [Google Scholar] [CrossRef]
- Flakenburg, K.; Schyns, B. Work satisfaction, organizational commitment and withdrawal behavior. Manag. Res. Rev. 2007, 30, 708–723. [Google Scholar]
- Zeinabadi, H. Job satisfaction and organizational commitment as antecedents of Organizational Citizenship Behavior (OCB) of teachers. Procedia Soc. Behav. Sci. 2010, 5, 998–1003. [Google Scholar] [CrossRef]
- Alarcon, G.M.; Lyons, J.B. The Relationship of Engagement and Job Satisfaction in Working Samples. J. Psychol. 2011, 145, 463–480. [Google Scholar] [CrossRef]
- Barnes, D.C.; Collier, J.E. Investigating work engagement in the service environment. J. Serv. Mark. 2013, 27, 485–499. [Google Scholar] [CrossRef]
- Schaufeli, W.B.; Salanova, M.; González-romà, V.; Bakker, A.B. The Measurement of Engagement and Burnout: A Two Sample Confirmatory Factor Analytic Approach. J. Happiness Stud. 2002, 3, 71–92. [Google Scholar] [CrossRef]
- Schaufeli, W.B.; Salanova, M. Efficacy or inefficacy, that’s the question: Burnout and work engagement, and their relationships with efficacy beliefs. Anxiety Stress Coping 2007, 20, 177–196. [Google Scholar] [CrossRef]
- Hobfoll, S.E. Social and Psychological Resources and Adaptation. Rev. Gen. Psychol. 2002, 6, 307–324. [Google Scholar] [CrossRef]
- Halbesleben, J.R.B.; Neveu, J.-P.; Paustian-Underdahl, S.C.; Westman, M. Getting to the “COR”: Understanding the Role of Resources in Conservation of Resource Theory. J. Manag. 2014, 40, 1334–1364. [Google Scholar] [CrossRef]
- Pološki Vokić, N.P.; Hernaus, T. The triad of job satisfaction, work engagement and employee loyalty—The interplay among the concepts. EFZG 2015, 33, 1–13. [Google Scholar]
- Brunetto, Y.; Teo, S.T.-T.; Shacklock, K.; Farr-Wharton, R. Emotional intelligence, job satisfaction, well-being and engagement: Explaining organisational commitment and turnover intentions in policing. Hum. Resour. Manag. J. 2012, 22, 428–441. [Google Scholar] [CrossRef]
- Yalabik, Z.Y.; Popaitoon, P.; Chowne, J.A.; Rayton, B.A. Work engagement as a mediator between employee attitudes and outcomes. Int. J. Hum. Resour. Manag. 2013, 24, 2799–2823. [Google Scholar] [CrossRef]
- Warr, P.; Inceoglu, I. Job engagement, job satisfaction, and contrasting associations with person-job fit. J. Occup. Health Psychol. 2012, 17, 129–138. [Google Scholar] [CrossRef]
- Yagil, D. The mediating role of engagement and burnout in the relationship between employees’ emotion regulation strategies and customer outcomes. Eur. J. Work Organ. Psychol. 2012, 21, 150–168. [Google Scholar] [CrossRef]
- Borman, W.C.; Motowidlo, S.J. Task Performance and Contextual Performance: The Meaning for Personnel Selection Research. Hum. Perform. 1997, 10, 99–109. [Google Scholar] [CrossRef]
- Ginu, G.; Binoy, J. A study on the relationship between Employee engagement and organizational citizenship with reference to employees working in travel organizations. J. Tour. Stud. 2015, 10, 33–44. [Google Scholar]
- Motowidlo, S.J.; Van Scotter, J.R. Evidence that task performance should be distinguished from contextual performance. J. Appl. Psychol. 1994, 79, 475–480. [Google Scholar] [CrossRef]
- Saks, A.M. Antecedents and consequences of employee engagement. J. Manag. Psychol. 2006, 21, 600–619. [Google Scholar] [CrossRef]
- Bakker, A.B.; Schaufeli, W.B.; Leiter, M.P.; Taris, T.W. Work engagement: An emerging concept in occupational health psychology. Work Stress 2008, 22, 187–200. [Google Scholar] [CrossRef]
- Chugthai, A.A.; Buckley, F. Work engagement: Antecedents, the mediating role of learning goal orientation and job performance. Career Dev. Int. 2011, 16, 684–705. [Google Scholar] [CrossRef]
- Bakker, A.B.; Demerouti, E. Towards a model of work engagement. Career Dev. Int. 2008, 113, 209–223. [Google Scholar] [CrossRef]
- Ng, L.-P.; Choong, Y.-O.; Kuar, L.-S.; Tan, C.-E.; Teoh, S.-Y. Job satisfaction and organizational citizenship behaviour amongst health professionals: The mediating role of work engagement. J. Healthc. Manag. 2019, 1, 1–8. [Google Scholar] [CrossRef]
- Barbaranelli, C.; Bortone, I.; Di Matteo, F. La misura della soddisfazione lavorativa: Contributo empirico. G. Ital. di Psicol. 2010, 27, 159–180. [Google Scholar]
- Balducci, C.; Fraccaroli, F.; Schaufeli, W.B. Psychometric properties of the Italian version of the Utrecht Work Engagement Scale (UWES-9): A cross-cultural analysis. Eur. J. Psychol. Assess. 2010, 26, 143–149. [Google Scholar] [CrossRef]
- Schaufeli, W.B.; Bakker, A.B.; Salanova, M. The Measurement of Work Engagement with a Short Questionnaire: A Cross-National Study. Educ. Psychol. Meas. 2006, 66, 701–716. [Google Scholar] [CrossRef]
- Lee, K.; Allen, N.J. Organizational citizenship behavior and workplace deviance: The role of affect and cognition. J. Appl. Psychol. 2002, 87, 131–142. [Google Scholar] [CrossRef]
- Little, T.D.; Rhemtulla, M.; Gibson, K.; Schoemann, A.M. Why the items versus parcels controversy needn’t be one. Psychol. Methods 2013, 18, 285–300. [Google Scholar] [CrossRef]
- Zhang, M.F.; Dawson, J.F.; Kline, R.B. Evaluating the Use of Covariance-Based Structural Equation Modelling with Reflective Measurement in Organizational and Management Research: A Review and Recommendations for Best Practice. Br. J. Manag. 2020, 1–16. [Google Scholar] [CrossRef]
- James, L.R.; Mulaik, S.A.; Brett, J.M. A tale of two methods. Organ. Res. Methods 2006, 9, 233–244. [Google Scholar] [CrossRef]
- Bentler, P.M. Comparative fit indexes in structural models. Psychol. Bull. 1990, 107, 238–246. [Google Scholar] [CrossRef] [PubMed]
- Byrne, D.S. Complexity Theory and the Social Sciences: An Introduction; Routledge: London, UK, 1998; pp. 1–199. [Google Scholar]
- Hooper, D.; Coughlan, J.; Mullen, M. Evaluating Model Fit: A Synthesis of the Structural Equation Modelling Literature. In Proceedings of the European Conference on Research Methods: ECRM, London, UK, 19–20 June 2008; Brown, A., Ed.; Academic Publishing Limited: London, UK, 2008; pp. 195–200. [Google Scholar]
- Preacher, K.J.; Hayes, A.F. Asymptotic and resampling strategies for assessing and comparing indirect effects in multiple mediator models. Behav. Res. Methods 2008, 40, 879–891. [Google Scholar] [CrossRef]
- MacKinnon, D.P.; Fritz, M.S.; Williams, J. Distribution of the product confidence limits for the indirect effect: Program PRODCLIN. Behav. Res. Methods 2007, 39, 384–389. [Google Scholar] [CrossRef]
- Mathieu, J.E.; DeShon, R.P.; Bergh, D.D. Mediational Inferences in Organizational Research: Then, Now, and Beyond. Organ. Res. Methods 2008, 11, 203–223. [Google Scholar] [CrossRef]
- Bakker, A.B.; Demerouti, E. Job demands–resources theory: Taking stock and looking forward. J. Occup. Health Psychol. 2017, 22, 273–285. [Google Scholar] [CrossRef] [PubMed]


| M | SD | 2 | 3 | 4 | 5 | 6 | 7 | 8 | |
|---|---|---|---|---|---|---|---|---|---|
| 1. Gender | - | - | 0.10 * | 0.04 | −0.03 | 0.00 | 0.13 ** | 0.08 * | 0.03 |
| 2. Age | 38.42 | 10.91 | - | 0.76** | −0.61 ** | 0.19 ** | 0.15 ** | 0.20 ** | 0.16 ** |
| 3. Tenure | 9.05 | 9.42 | - | −0.55 ** | 0.16 ** | 0.04 | 0.10 ** | 0.79 | |
| 4. Contract type | - | - | - | −0.17 ** | −0.04 | −0.10 * | −0.13 ** | ||
| 5. JS | 3.49 | 0.68 | (0.88) | 0.61 ** | 0.34 ** | 0.42 ** | |||
| 6. WE | 4.61 | 1.33 | (0.87) | 0.36 ** | 0.46 ** | ||||
| 7. OCBs-I | 4.72 | 1.30 | (0.87) | 0.62 ** | |||||
| 8. OCBs-O | 4.51 | 1.41 | (0.88) |
| Model | CFI | TLI | RMSEA | SRMR | χ2 | Df | Δχ2 (M…−M1) | Δdf (df…−df1) |
|---|---|---|---|---|---|---|---|---|
| M1 | 0.985 | 0.975 | 0.063 | 0.022 | 81.692 | 21 | - | - |
| M2 | 0.910 | 0.866 | 0.146 | 0.046 | 392.516 | 24 | 310.824 ** | 3 |
| M3 | 0.821 | 0.753 | 0.198 | 0.066 | 761.199 | 26 | 607.507 ** | 5 |
| M4 | 0.609 | 0.479 | 0.288 | 0.131 | 1635.430 | 27 | 1553.738 ** | 6 |
© 2020 by the authors. Licensee MDPI, Basel, Switzerland. This article is an open access article distributed under the terms and conditions of the Creative Commons Attribution (CC BY) license (http://creativecommons.org/licenses/by/4.0/).
Share and Cite
Urbini, F.; Chirumbolo, A.; Callea, A. Promoting Individual and Organizational OCBs: The Mediating Role of Work Engagement. Behav. Sci. 2020, 10, 138. https://doi.org/10.3390/bs10090138
Urbini F, Chirumbolo A, Callea A. Promoting Individual and Organizational OCBs: The Mediating Role of Work Engagement. Behavioral Sciences. 2020; 10(9):138. https://doi.org/10.3390/bs10090138
Chicago/Turabian StyleUrbini, Flavio, Antonio Chirumbolo, and Antonino Callea. 2020. "Promoting Individual and Organizational OCBs: The Mediating Role of Work Engagement" Behavioral Sciences 10, no. 9: 138. https://doi.org/10.3390/bs10090138
APA StyleUrbini, F., Chirumbolo, A., & Callea, A. (2020). Promoting Individual and Organizational OCBs: The Mediating Role of Work Engagement. Behavioral Sciences, 10(9), 138. https://doi.org/10.3390/bs10090138

