Temporal Trends in Cardiovascular Health Metrics in Italy, 2015–2024: A Ten-Year Report from the Longevity Check-Up (Lookup) 8+ Study
Abstract
1. Introduction
2. Materials and Methods
2.1. Study Design and Sample Selection
2.2. Data Collection
2.3. Definition of Ideal Cardiovascular Health Metrics
2.4. Statistical Analysis
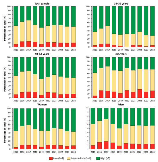
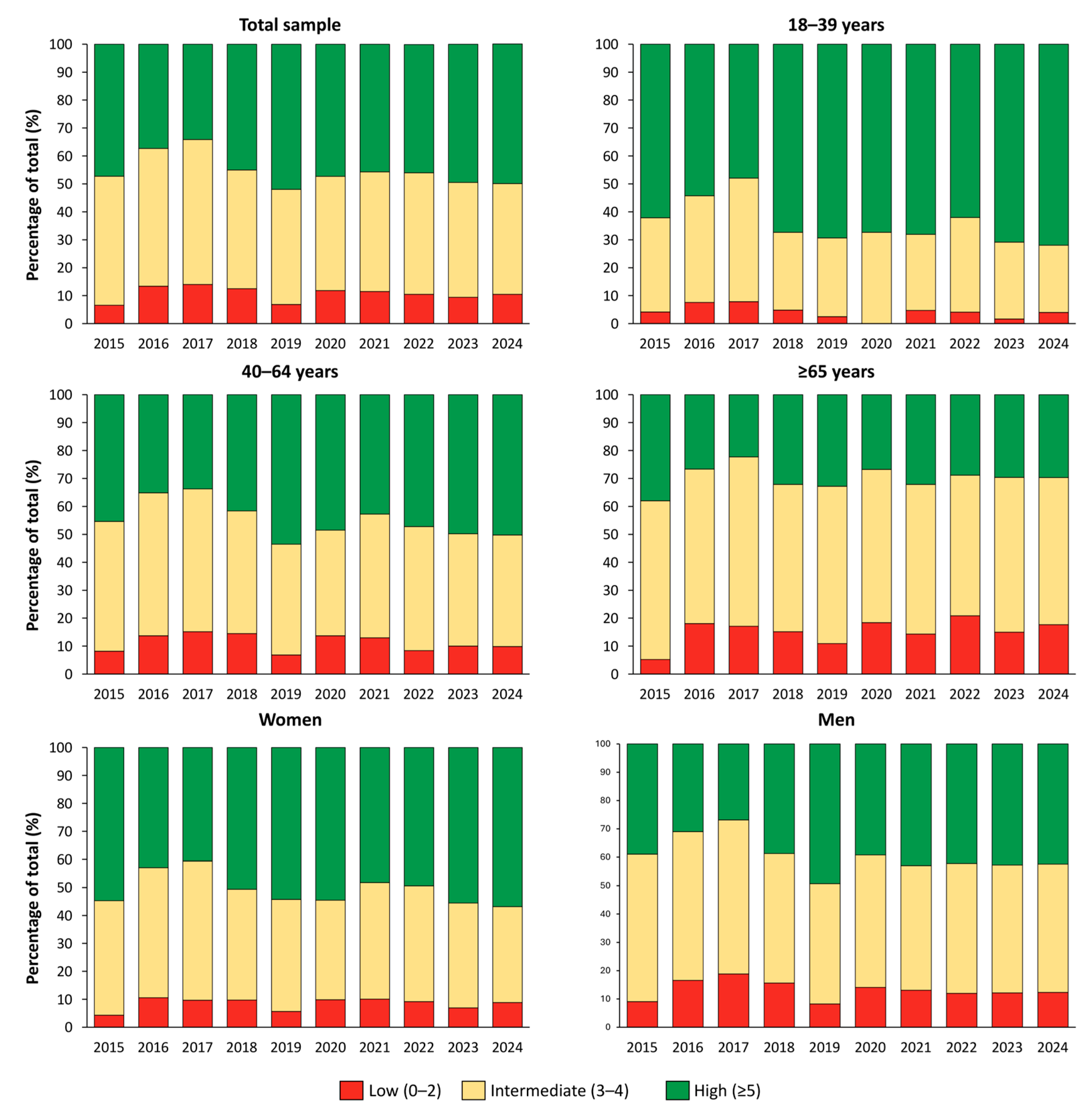
3. Results
4. Discussion
Study Limitations
5. Conclusions
Supplementary Materials
Author Contributions
Funding
Institutional Review Board Statement
Informed Consent Statement
Data Availability Statement
Acknowledgments
Conflicts of Interest
References
- Roth, G.A.; Mensah, G.A.; Johnson, C.O.; Addolorato, G.; Ammirati, E.; Baddour, L.M.; Barengo, N.C.; Beaton, A.Z.; Benjamin, E.J.; Benziger, C.P.; et al. Global Burden of Cardiovascular Diseases and Risk Factors, 1990-2019: Update From the GBD 2019 Study. J. Am. Coll. Cardiol. 2020, 76, 2982–3021. [Google Scholar] [CrossRef] [PubMed]
- Global Cardiovascular Risk, C.; Magnussen, C.; Ojeda, F.M.; Leong, D.P.; Alegre-Diaz, J.; Amouyel, P.; Aviles-Santa, L.; De Bacquer, D.; Ballantyne, C.M.; Bernabe-Ortiz, A.; et al. Global Effect of Modifiable Risk Factors on Cardiovascular Disease and Mortality. N. Engl. J. Med. 2023, 389, 1273–1285. [Google Scholar] [CrossRef]
- Lloyd-Jones, D.M.; Hong, Y.; Labarthe, D.; Mozaffarian, D.; Appel, L.J.; Van Horn, L.; Greenlund, K.; Daniels, S.; Nichol, G.; Tomaselli, G.F.; et al. Defining and setting national goals for cardiovascular health promotion and disease reduction: The American Heart Association’s strategic Impact Goal through 2020 and beyond. Circulation 2010, 121, 586–613. [Google Scholar] [CrossRef]
- Lloyd-Jones, D.M.; Allen, N.B.; Anderson, C.A.M.; Black, T.; Brewer, L.C.; Foraker, R.E.; Grandner, M.A.; Lavretsky, H.; Perak, A.M.; Sharma, G.; et al. Life’s Essential 8: Updating and Enhancing the American Heart Association’s Construct of Cardiovascular Health: A Presidential Advisory From the American Heart Association. Circulation 2022, 146, e18–e43. [Google Scholar] [CrossRef]
- Aguayo, L.; Cotoc, C.; Guo, J.W.; Labarthe, D.R.; Allen, N.B.; Marino, B.S.; Davis, M.M.; Uttal, S.; Lloyd-Jones, D.M.; Perak, A.M. Cardiovascular Health, 2010 to 2020: A Systematic Review of a Decade of Research on Life’s Simple 7. J. Am. Heart Assoc. 2025, 14, e038566. [Google Scholar] [CrossRef] [PubMed]
- Diaz, C.L.; Shah, N.S.; Lloyd-Jones, D.M.; Khan, S.S. State of the Nation’s Cardiovascular Health and Targeting Health Equity in the United States: A Narrative Review. JAMA Cardiol. 2021, 6, 963–970. [Google Scholar] [CrossRef]
- Possenti, V.; Minardi, V.; Contoli, B.; Gallo, R.; Lana, S.; Bertozzi, N.; Campostrini, S.; Carrozzi, G.; Cristofori, M.; D’Argenzio, A.; et al. The two behavioural risk factor surveillances on the adult and elderly populations as information systems for leveraging data on health-related sustainable development goals in Italy. Int. J. Med. Inform. 2021, 152, 104443. [Google Scholar] [CrossRef]
- Palmer, K.; Monaco, A.; Kivipelto, M.; Onder, G.; Maggi, S.; Michel, J.P.; Prieto, R.; Sykara, G.; Donde, S. The potential long-term impact of the COVID-19 outbreak on patients with non-communicable diseases in Europe: Consequences for healthy ageing. Aging Clin. Exp. Res. 2020, 32, 1189–1194. [Google Scholar] [CrossRef]
- Landi, F.; Calvani, R.; Picca, A.; Tosato, M.; Martone, A.M.; Ortolani, E.; Salini, S.; Pafundi, T.; Savera, G.; Pantanelli, C.; et al. Cardiovascular health metrics, muscle mass and function among Italian community-dwellers: The Lookup 7+ project. Eur. J. Public Health 2018, 28, 766–772. [Google Scholar] [CrossRef] [PubMed]
- Cacciatore, S.; Calvani, R.; Mancini, J.; Ciciarello, F.; Galluzzo, V.; Tosato, M.; Marzetti, E.; Landi, F.; Lookup Study, G. Poor sleep quality is associated with probable sarcopenia in community-dwelling older adults: Results from the longevity check-up (lookup) 8. Exp. Gerontol. 2025, 200, 112666. [Google Scholar] [CrossRef]
- Martinelli, M.; Maggiorotti, M.; Costanzo, C.R.; Businaro, R. Concerns about haemolysis after oxygen-ozone therapy. Int. Immunopharmacol. 2025, 149, 114191. [Google Scholar] [CrossRef] [PubMed]
- Coelho-Junior, H.J.; Calvani, R.; Picca, A.; Tosato, M.; Savera, G.; Landi, F.; Marzetti, E. Protein Intake Is Associated with Blood Pressure and Cholesterol Levels in Italian Older Adults: A Cross-Sectional Study. Metabolites 2023, 13, 431. [Google Scholar] [CrossRef] [PubMed]
- Società Italiana di Nutrizione Umana (SINU). Available online: https://sinu.it/larn/ (accessed on 6 August 2025).
- Tcymbal, A.; Messing, S.; Mait, R.; Perez, R.G.; Akter, T.; Rakovac, I.; Gelius, P.; Abu-Omar, K. Validity, reliability, and readability of single-item and short physical activity questionnaires for use in surveillance: A systematic review. PLoS ONE 2024, 19, e0300003. [Google Scholar] [CrossRef] [PubMed]
- Vetrano, D.L.; Martone, A.M.; Mastropaolo, S.; Tosato, M.; Colloca, G.; Marzetti, E.; Onder, G.; Bernabei, R.; Landi, F. Prevalence of the seven cardiovascular health metrics in a Mediterranean country: Results from a cross-sectional study. Eur. J. Public Health 2013, 23, 858–862. [Google Scholar] [CrossRef]
- Winter, J.E.; MacInnis, R.J.; Wattanapenpaiboon, N.; Nowson, C.A. BMI and all-cause mortality in older adults: A meta-analysis. Am. J. Clin. Nutr. 2014, 99, 875–890. [Google Scholar] [CrossRef]
- World Health Organization. Diet, Nutrition and the Prevention of Chronic Diseases: Report of a Joint WHO/FAO Expert Consultation; World Health Organization: Geneva, Switzerland, 2003.
- Giampaoli, S.; Palmieri, L.; Donfrancesco, C.; Lo Noce, C.; Pilotto, L.; Vanuzzo, D. Osservatorio Epidemiologico Cardiovascolare/Health Examination Survey Research, G. Cardiovascular health in Italy. Ten-year surveillance of cardiovascular diseases and risk factors: Osservatorio Epidemiologico Cardiovascolare/Health Examination Survey 1998-2012. Eur. J. Prev. Cardiol. 2015, 22, 9–37. [Google Scholar] [CrossRef]
- Donfrancesco, C.; Di Lonardo, A.; Lo Noce, C.; Buttari, B.; Profumo, E.; Vespasiano, F.; Vannucchi, S.; Galletti, F.; Onder, G.; Gulizia, M.M.; et al. Trends of blood pressure, raised blood pressure, hypertension and its control among Italian adults: CUORE Project cross-sectional health examination surveys 1998/2008/2018. BMJ Open 2022, 12, e064270. [Google Scholar] [CrossRef]
- Donfrancesco, C.; Profumo, E.; Lo Noce, C.; Minutoli, D.; Di Lonardo, A.; Buttari, B.; Vespasiano, F.; Vannucchi, S.; Galletti, F.; Onder, G.; et al. Trends of overweight, obesity and anthropometric measurements among the adult population in Italy: The CUORE Project health examination surveys 1998, 2008, and 2018. PLoS ONE 2022, 17, e0264778. [Google Scholar] [CrossRef]
- Laccetti, R.; Pota, A.; Stranges, S.; Falconi, C.; Memoli, B.; Bardaro, L.; Guida, B. Evidence on the prevalence and geographic distribution of major cardiovascular risk factors in Italy. Public Health Nutr. 2013, 16, 305–315. [Google Scholar] [CrossRef]
- Shay, C.M.; Ning, H.; Allen, N.B.; Carnethon, M.R.; Chiuve, S.E.; Greenlund, K.J.; Daviglus, M.L.; Lloyd-Jones, D.M. Status of cardiovascular health in US adults: Prevalence estimates from the National Health and Nutrition Examination Surveys (NHANES) 2003-2008. Circulation 2012, 125, 45–56. [Google Scholar] [CrossRef]
- Lloyd-Jones, D.M.; Ning, H.; Labarthe, D.; Brewer, L.; Sharma, G.; Rosamond, W.; Foraker, R.E.; Black, T.; Grandner, M.A.; Allen, N.B.; et al. Status of Cardiovascular Health in US Adults and Children Using the American Heart Association’s New “Life’s Essential 8” Metrics: Prevalence Estimates From the National Health and Nutrition Examination Survey (NHANES), 2013 Through 2018. Circulation 2022, 146, 822–835. [Google Scholar] [CrossRef] [PubMed]
- Peng, Y.; Cao, S.; Yao, Z.; Wang, Z. Prevalence of the cardiovascular health status in adults: A systematic review and meta-analysis. Nutr. Metab. Cardiovasc. Dis. 2018, 28, 1197–1207. [Google Scholar] [CrossRef]
- Yang, H.; Huang, C.; Sawano, M.; Herrin, J.; Faridi, K.F.; Li, Z.; Spatz, E.; Krumholz, H.M.; Lu, Y. Trends and Key Factors Associated With Racial and Ethnic Differences in Life’s Essential 8 Scores. JAMA Netw. Open 2025, 8, e2516663. [Google Scholar] [CrossRef]
- Zhang, L.; Shen, Y.; Tang, Y.; Wu, Y.; Chen, D.; Liang, Z.; Hu, G. Trends in prevalence of health and cardiovascular risk factors based on Life’s Essential 8 among US adults, 2007–2020. Obesity 2025, 33, 1756–1764. [Google Scholar] [CrossRef]
- Sun, S.N.; Yao, M.D.; Liu, X.; Li, J.; Chen, X.L.; Huang, W.W.; Ni, S.H.; Ouyang, X.L.; Yang, Z.Q.; Li, Y.; et al. Trends in cardiovascular health among US adults by glycemic status based on Life’s Essential 8. Prev. Med. 2024, 185, 108042. [Google Scholar] [CrossRef]
- Walker, J.M.; Won, D.J.; Patel, R.S.; Ning, H.; Lloyd-Jones, D.M. Comparing the “Life’s Essential 8” Scores of Older Adults Living With Cardiovascular Diseases: NHANES, 2013 to 2018. J. Am. Heart Assoc. 2025, 14, e039659. [Google Scholar] [CrossRef]
- Li, X.; Ma, H.; Wang, X.; Feng, H.; Qi, L. Life’s Essential 8, Genetic Susceptibility, and Incident Cardiovascular Disease: A Prospective Study. Arterioscler. Thromb. Vasc. Biol. 2023, 43, 1324–1333. [Google Scholar] [CrossRef] [PubMed]
- Cifkova, R.; Bruthans, J.; Wohlfahrt, P.; Krajcoviechova, A.; Sulc, P.; Jozifova, M.; Eremiasova, L.; Pudil, J.; Linhart, A.; Widimsky, J., Jr.; et al. 30-year trends in major cardiovascular risk factors in the Czech population, Czech MONICA and Czech post-MONICA, 1985-2016/17. PLoS ONE 2020, 15, e0232845. [Google Scholar] [CrossRef]
- Cifkova, R.; Skodova, Z.; Bruthans, J.; Adamkova, V.; Jozifova, M.; Galovcova, M.; Wohlfahrt, P.; Krajcoviechova, A.; Poledne, R.; Stavek, P.; et al. Longitudinal trends in major cardiovascular risk factors in the Czech population between 1985 and 2007/8. Czech MONICA and Czech post-MONICA. Atherosclerosis 2010, 211, 676–681. [Google Scholar] [CrossRef] [PubMed]
- Evans, A.; Tolonen, H.; Hense, H.W.; Ferrario, M.; Sans, S.; Kuulasmaa, K.; Project, W.M. Trends in coronary risk factors in the WHO MONICA project. Int. J. Epidemiol. 2001, 30 (Suppl. S1), S35–S40. [Google Scholar] [CrossRef]
- Danesh, J.; Saracci, R.; Berglund, G.; Feskens, E.; Overvad, K.; Panico, S.; Thompson, S.; Fournier, A.; Clavel-Chapelon, F.; Canonico, M.; et al. EPIC-Heart: The cardiovascular component of a prospective study of nutritional, lifestyle and biological factors in 520,000 middle-aged participants from 10 European countries. Eur. J. Epidemiol. 2007, 22, 129–141. [Google Scholar] [CrossRef] [PubMed]
- Pana, T.A.; Luben, R.N.; Mamas, M.A.; Potter, J.F.; Wareham, N.J.; Khaw, K.T.; Myint, P.K. Long Term Prognostic Impact of Sex-specific Longitudinal Changes in Blood Pressure. The EPIC-Norfolk Prospective Population Cohort Study. Eur. J. Prev. Cardiol. 2022, 29, 180–191. [Google Scholar] [CrossRef] [PubMed]
- Ho, F.K.; Dale, C.; Mizani, M.A.; Bolton, T.; Pearson, E.R.; Valabhji, J.; Delles, C.; Welsh, P.; Nakada, S.; Mackay, D.; et al. Routine measurement of cardiometabolic disease risk factors in primary care in England before, during, and after the COVID-19 pandemic: A population-based cohort study. PLoS Med. 2024, 21, e1004485. [Google Scholar] [CrossRef]
- Makuvire, T.T.; Latif, Z.; Atwater, S.; Shah, M.K.; Lopez, J.; DeFilippis, E.M.; Ibrahim, N.E. Health care access and risk factor control in US adults with cardiovascular disease from 2015 to 2023. Am. Heart J. 2025, 290, 238–248. [Google Scholar] [CrossRef]
- Hooper, M.; Reinhart, M.; Dusetzina, S.B.; Walsh, C.; Griffith, K.N. Trends in U.S. self-reported health and self-care behaviors during the COVID-19 pandemic. PLoS ONE 2023, 18, e0291667. [Google Scholar] [CrossRef]
- Madan, J.; Blonquist, T.; Rao, E.; Marwaha, A.; Mehra, J.; Bharti, R.; Sharma, N.; Samaddar, R.; Pandey, S.; Mah, E.; et al. Effect of COVID-19 Pandemic-Induced Dietary and Lifestyle Changes and Their Associations with Perceived Health Status and Self-Reported Body Weight Changes in India: A Cross-Sectional Survey. Nutrients 2021, 13, 3682. [Google Scholar] [CrossRef]
- Dale, C.E.; Takhar, R.; Carragher, R.; Katsoulis, M.; Torabi, F.; Duffield, S.; Kent, S.; Mueller, T.; Kurdi, A.; Le Anh, T.N.; et al. The impact of the COVID-19 pandemic on cardiovascular disease prevention and management. Nat. Med. 2023, 29, 219–225. [Google Scholar] [CrossRef] [PubMed]
- Maddock, J.; Parsons, S.; Di Gessa, G.; Green, M.J.; Thompson, E.J.; Stevenson, A.J.; Kwong, A.S.; McElroy, E.; Santorelli, G.; Silverwood, R.J.; et al. Inequalities in healthcare disruptions during the COVID-19 pandemic: Evidence from 12 UK population-based longitudinal studies. BMJ Open 2022, 12, e064981. [Google Scholar] [CrossRef]
- Dai, X.; Gakidou, E.; Lopez, A.D. Evolution of the global smoking epidemic over the past half century: Strengthening the evidence base for policy action. Tob. Control 2022, 31, 129–137. [Google Scholar] [CrossRef]
- Gao, Y.; Isakadze, N.; Duffy, E.; Sheng, Q.; Ding, J.; MacFarlane, Z.T.; Sang, Y.; McClure, S.T.; Selvin, E.; Matsushita, K.; et al. Secular Trends in Risk Profiles Among Adults With Cardiovascular Disease in the United States. J. Am. Coll. Cardiol. 2022, 80, 126–137. [Google Scholar] [CrossRef]
- He, J.; Zhu, Z.; Bundy, J.D.; Dorans, K.S.; Chen, J.; Hamm, L.L. Trends in Cardiovascular Risk Factors in US Adults by Race and Ethnicity and Socioeconomic Status, 1999-2018. JAMA 2021, 326, 1286–1298. [Google Scholar] [CrossRef] [PubMed]
- Breda, J.; Jakovljevic, J.; Rathmes, G.; Mendes, R.; Fontaine, O.; Hollmann, S.; Rutten, A.; Gelius, P.; Kahlmeier, S.; Galea, G. Promoting health-enhancing physical activity in Europe: Current state of surveillance, policy development and implementation. Health Policy 2018, 122, 519–527. [Google Scholar] [CrossRef] [PubMed]
- Soric, M.; Meh, K.; Rocha, P.; Wendel-Vos, W.; de Hollander, E.; Jurak, G. An inventory of national surveillance systems assessing physical activity, sedentary behaviour and sport participation of adults in the European Union. BMC Public Health 2021, 21, 1797. [Google Scholar] [CrossRef]
- Cacciatore, S.; Mao, S.; Nunez, M.V.; Massaro, C.; Spadafora, L.; Bernardi, M.; Perone, F.; Sabouret, P.; Biondi-Zoccai, G.; Banach, M.; et al. Urban health inequities and healthy longevity: Traditional and emerging risk factors across the cities and policy implications. Aging Clin. Exp. Res. 2025, 37, 143. [Google Scholar] [CrossRef]
- Tabak, R.G.; Kandula, N.R.; Angell, S.Y.; Brewer, L.C.; Grandner, M.; Hayman, L.L.; Ing, C.; Joseph, J.J.; Moise, N.; Nelson, S.E.; et al. Implementation of Evidence-Based Behavioral Interventions for Cardiovascular Disease Prevention in Community Settings: A Scientific Statement From the American Heart Association. Circulation 2025, 152, e75–e87. [Google Scholar] [CrossRef]
- Leong, D.P.; Yusuf, R.; Iqbal, R.; Avezum, A.; Yusufali, A.; Rosengren, A.; Chifamba, J.; Lanas, F.; Diaz, M.L.; Miranda, J.J.; et al. The burden of cardiovascular events according to cardiovascular risk profile in adults from high-income, middle-income, and low-income countries (PURE): A cohort study. Lancet Glob. Health 2025, 13, e1406–e1414. [Google Scholar] [CrossRef]
- Foraker, R.E.; Benziger, C.P.; DeBarmore, B.M.; Cene, C.W.; Loustalot, F.; Khan, Y.; Anderson, C.A.M.; Roger, V.L.; American Heart Association Council on Epidemiology and Prevention; Council on Arteriosclerosis, Thrombosis and Vascular Biology; et al. Achieving Optimal Population Cardiovascular Health Requires an Interdisciplinary Team and a Learning Healthcare System: A Scientific Statement From the American Heart Association. Circulation 2021, 143, e9–e18. [Google Scholar] [CrossRef]
- Strath, S.J.; Kaminsky, L.A.; Ainsworth, B.E.; Ekelund, U.; Freedson, P.S.; Gary, R.A.; Richardson, C.R.; Smith, D.T.; Swartz, A.M.; American Heart Association Physical Activity Committee of the Council on Lifestyle; et al. Guide to the assessment of physical activity: Clinical and research applications: A scientific statement from the American Heart Association. Circulation 2013, 128, 2259–2279. [Google Scholar] [CrossRef] [PubMed]
- Cacciatore, S.; Marzetti, E.; Calvani, R.; Tosato, M.; Landi, F.; Lookup 8+ Study, G. Association between cardiovascular health metrics and self-reported walking difficulty in community-dwelling middle-aged and older adults: Results from the longevity check-up (Lookup) 8. Arch. Gerontol. Geriatr. 2025, 139, 106027. [Google Scholar] [CrossRef]
- Tourangeau, R.; Yan, T. Sensitive questions in surveys. Psychol. Bull. 2007, 133, 859–883. [Google Scholar] [CrossRef]




| 18–39 Years (N = 2599) | 40–64 Years (N = 10,242) | ≥65 Years (N = 5650) | Total Sample (N = 18,491) | |
|---|---|---|---|---|
| Age, years | 30.4 ± 6.1 | 53.5 ± 6.5 | 72.7 ± 5.9 | 56.1 ± 14.8 | 
| Sex, female | 1453 (55.9%) | 5750 (56.1%) | 3013 (53.3%) | 10,216 (55.2%) | 
| BMI, kg/m2 | 23.3 ± 3.9 | 25.0 ± 4.1 | 26.1 ± 4.0 | 25.1 ± 4.1 | 
| Systolic blood pressure, mmHg | 116.9 ± 13.4 | 123.7 ± 16.0 | 131.0 ± 16.6 | 125.0 ± 16.5 | 
| Diastolic blood pressure, mmHg | 72.3 ± 9.2 | 76.4 ± 10.0 | 76.2 ± 9.7 | 75.8 ± 9.9 | 
| On antihypertensive therapy | 45 (1.7%) | 1915 (18.7%) | 2958 (52.4%) | 4918 (26.6%) | 
| Total cholesterol, mg/dL | 189.7 ± 34.3 | 202.9 ± 37.0 | 196.2 ± 36.8 | 199.0 ± 36.9 | 
| On lipid-lowering therapy | 38 (1.5%) | 1337 (13.1%) | 1980 (35.0%) | 3355 (18.1%) | 
| Blood glucose, mg/dL | 98.5 ± 18.3 | 103.1 ± 21.9 | 110.4 ± 26.8 | 104.7 ± 23.4 | 
| On glucose-lowering therapy | 24 (0.9%) | 269 (2.6%) | 521 (9.2%) | 814 (4.4%) | 
| CVH score | 4.9 ± 1.3 | 4.2 ± 1.4 | 3.8 ± 1.3 | 4.2 ± 1.4 | 
| Low CVH score (0–2) | 113 (4.3%) | 1154 (11.3%) | 851 (15.1%) | 2118 (11.5%) | 
| Intermediate CVH score (3–4) | 824 (31.7%) | 4579 (44.7%) | 3129 (55.4%) | 8532 (46.1%) | 
| High CVH score (5–7) | 1662 (63.9%) | 4509 (44.0%) | 1670 (29.6%) | 7841 (42.4%) | 
| Model 1 OR (95% CI) | p | Model 2 OR (95% CI) | p | Model 3 OR (95% CI) | p | Model 4 OR (95% CI) | p | |
|---|---|---|---|---|---|---|---|---|
| Age | 0.97 (0.96–0.97) | <0.001 | 0.97 (0.97–0.97) | <0.001 | 0.97 (0.96–0.97) | <0.001 | 0.97 (0.97–0.97) | <0.001 | 
| Sex, female | 1.64 (1.55–1.75) | <0.001 | 2.25 (1.76–2.89) | <0.001 | 1.64 (1.54–1.81) | <0.001 | 2.28 (1.77–2.94) | <0.001 | 
| Post-COVID-19 | 1.32 (1.24–1.40) | <0.001 | 1.64 (1.54–1.75) | <0.001 | 1.34 (1.23–1.48) | <0.001 | 1.66 (1.53–1.80) | <0.001 | 
| Age × post-COVID-19 interaction | – | – | 0.99 (0.99–1.00) | <0.001 | – | – | 0.99 (0.99–1.00) | <0.001 | 
| Female sex × post-COVID-19 interaction | 0.97 (0.86–1.10) | 0.600 | 0.98 (0.86–1.11) | 0.700 | 
| Disclaimer/Publisher’s Note: The statements, opinions and data contained in all publications are solely those of the individual author(s) and contributor(s) and not of MDPI and/or the editor(s). MDPI and/or the editor(s) disclaim responsibility for any injury to people or property resulting from any ideas, methods, instructions or products referred to in the content. | 
© 2025 by the authors. Licensee MDPI, Basel, Switzerland. This article is an open access article distributed under the terms and conditions of the Creative Commons Attribution (CC BY) license (https://creativecommons.org/licenses/by/4.0/).
Share and Cite
Cacciatore, S.; Levati, E.; Calvani, R.; Tosato, M.; Ciciarello, F.; Galluzzo, V.; Salini, S.; Russo, A.; Marzetti, E.; Landi, F., on behalf of the Lookup 8+ Study Group. Temporal Trends in Cardiovascular Health Metrics in Italy, 2015–2024: A Ten-Year Report from the Longevity Check-Up (Lookup) 8+ Study. Med. Sci. 2025, 13, 251. https://doi.org/10.3390/medsci13040251
Cacciatore S, Levati E, Calvani R, Tosato M, Ciciarello F, Galluzzo V, Salini S, Russo A, Marzetti E, Landi F on behalf of the Lookup 8+ Study Group. Temporal Trends in Cardiovascular Health Metrics in Italy, 2015–2024: A Ten-Year Report from the Longevity Check-Up (Lookup) 8+ Study. Medical Sciences. 2025; 13(4):251. https://doi.org/10.3390/medsci13040251
Chicago/Turabian StyleCacciatore, Stefano, Elena Levati, Riccardo Calvani, Matteo Tosato, Francesca Ciciarello, Vincenzo Galluzzo, Sara Salini, Andrea Russo, Emanuele Marzetti, and Francesco Landi on behalf of the Lookup 8+ Study Group. 2025. "Temporal Trends in Cardiovascular Health Metrics in Italy, 2015–2024: A Ten-Year Report from the Longevity Check-Up (Lookup) 8+ Study" Medical Sciences 13, no. 4: 251. https://doi.org/10.3390/medsci13040251
APA StyleCacciatore, S., Levati, E., Calvani, R., Tosato, M., Ciciarello, F., Galluzzo, V., Salini, S., Russo, A., Marzetti, E., & Landi, F., on behalf of the Lookup 8+ Study Group. (2025). Temporal Trends in Cardiovascular Health Metrics in Italy, 2015–2024: A Ten-Year Report from the Longevity Check-Up (Lookup) 8+ Study. Medical Sciences, 13(4), 251. https://doi.org/10.3390/medsci13040251
 
         
                                                



 
       