Regional Climate Change Recorded in Moss Oxygen and Carbon Isotopes from a Late Holocene Peat Archive in the Western Antarctic Peninsula
Abstract
1. Introduction
Chorisodontium aciphyllum Cellulose Isotopes
2. Methods
Cellulose Isotope Analysis
3. Results
3.1. Carbon Isotope Results
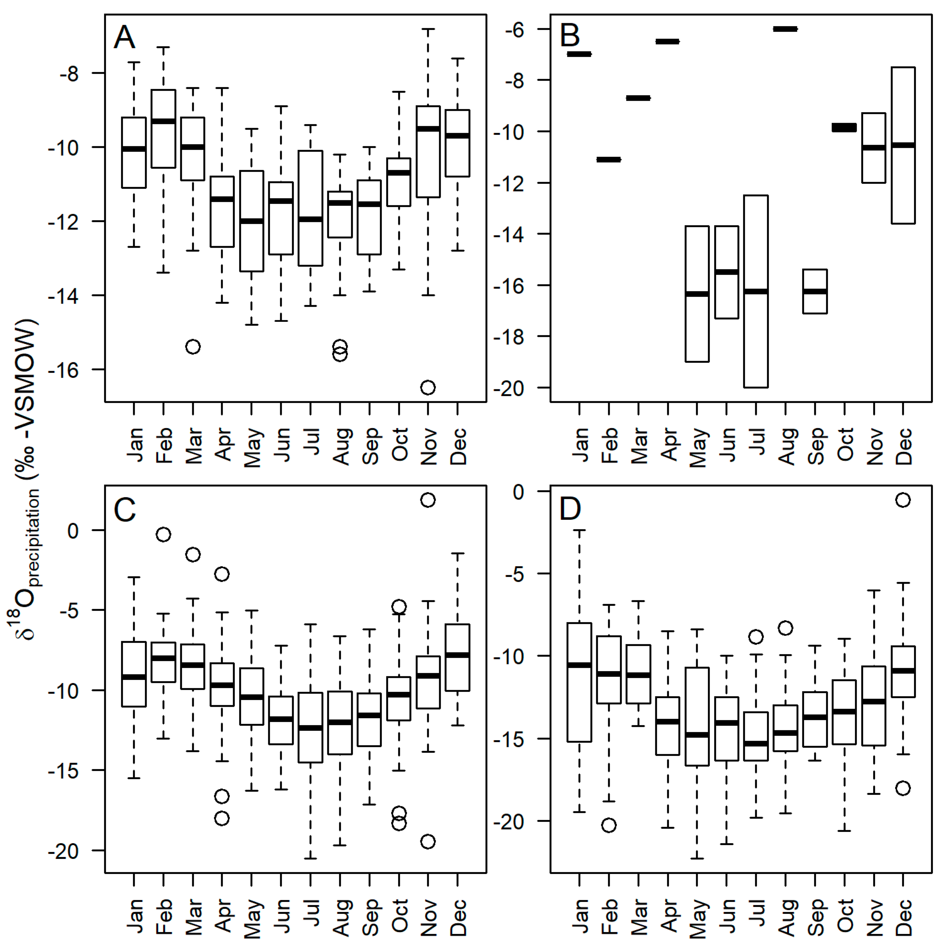
3.2. Oxygen Isotope Results
4. Discussion
4.1. Interpretations of Isotope Records in Moss Peatbanks
4.2. Wet and Warm Period at 1750–1350 cal yr BP (200–600 AD)
4.3. Cold and Dry Period at 1350–1100 cal yr BP (600–850 AD)
4.4. Brief Warming Interlude at 1100–900 cal yr BP (850–1050 AD)
4.5. Cold and Wet Period at 900–500 cal yr BP (1050–1450 AD)
4.6. Warm and Dry Period at 500–0 cal yr BP (1450–1950 AD)
4.7. Modern Period over the Last 60 Years (1950–2014 AD)
5. Conclusions
Supplementary Materials
Author Contributions
Funding
Acknowledgments
Conflicts of Interest
References
- Vaughan, D.G.; Marshall, G.J.; Connolley, W.M.; Parkinson, C.; Mulvaney, R.; Hodgson, D.A.; King, J.C.; Pudsey, C.J.; Turner, J. Recent rapid regional climate warming on the Antarctic Peninsula. Clim. Chang. 2003, 60, 243–274. [Google Scholar] [CrossRef]
- Turner, J.; Lu, H.; White, I.; King, J.C.; Phillips, T.; Hosking, J.S.; Bracegirdle, T.J.; Marshall, G.J.; Mulvaney, R.; Deb, P. Absence of 21st century warming on Antarctic Peninsula consistent with natural variability. Nature 2016, 535, 411–415. [Google Scholar] [CrossRef] [PubMed]
- Oliva, M.; Navarro, F.; Hrbáček, F.; Hernández, A.; Nývlt, D.; Pereira, P.; Ruiz-Fernández, J.; Trigo, R. Recent regional climate cooling on the Antarctic Peninsula and associated impacts on the cryosphere. Sci. Total Environ. 2017, 580, 210–223. [Google Scholar] [CrossRef] [PubMed]
- Gonzalez, S.; Vasallo, F.; Recio-Blitz, C.; Guijarro, J.A.; Riesco, J. Atmospheric patterns over the Antarctic Peninsula. J. Clim. 2018, 31, 3597–3608. [Google Scholar] [CrossRef]
- Jones, J.M.; Gille, S.T.; Goosse, H.; Abram, N.J.; Canziani, P.O.; Charman, D.J.; Clem, K.R.; Crosta, X.; de Lavergne, C.; Eisenman, I.; et al. Assessing recent trends in high-latitude southern hemisphere surface climate. Nat. Clim. Chang. 2016, 6, 917–926. [Google Scholar] [CrossRef]
- van Loon, H. The half-yearly oscillations in middle and high southern latitudes and the coreless winter. J. Atmos. Sci. 1967, 24, 472–486. [Google Scholar] [CrossRef]
- Clem, K.R.; Renwick, J.A.; McGregor, J.; Fogt, R.L. The relative influence of ENSO and SAM on Antarctic Peninsula climate. J. Geophys. Res. Atmos. 2016, 121, 9324–9341. [Google Scholar] [CrossRef]
- Thomas, Z.A.; Jones, R.T.; Fogwill, C.J.; Hatton, J.; Williams, A.N.; Hogg, A.; Mooney, S.; Jones, P.; Lister, D.; Mayewski, P.; et al. Evidence for increased expression of the Amundsen Sea Low over the South Atlantic during the late Holocene. Clim. Past 2018, 14, 1727–1738. [Google Scholar] [CrossRef]
- Abram, N.J.; Mulvaney, R.; Vimeux, F.; Phipps, S.J.; Turner, J.; England, M.H. Evolution of the Southern Annular Mode during the past millennium. Nat. Clim. Chang. 2014, 4, 564–569. [Google Scholar] [CrossRef]
- Dätwyler, C.; Neukom, R.; Abram, N.J.; Gallant, A.J.E.; Grosjean, M.; Jacques-Coper, M.; Karoly, D.J.; Villalba, R. Teleconnection stationarity, variability and trends of the Southern Annular Mode (SAM) during the last millennium. Clim. Dyn. 2018, 51, 2321–2339. [Google Scholar] [CrossRef]
- IAEA/WMO. The Global Network of Isotopes in Precipitation GNIP Database. Available online: https://nucleus.iaea.org/wiser (accessed on 25 June 2019).
- Arndt, J.E.; Schenke, H.W.; Jakobsson, M.; Nitsche, F.O.; Buys, G.; Goleby, B.; Rebesco, M.; Bohoyo, F.; Hong, J.; Black, J.; et al. The international bathymetric chart of the southern ocean (IBCSO) version 1.0—A new bathymetric compilation covering circum-Antarctic waters. Geophys. Res. Lett. 2013, 40, 3111–3117. [Google Scholar] [CrossRef]
- Howat, I.M.; Porter, C.; Smith, B.E.; Noh, M.-J.; Morin, P. The reference elevation model of Antarctica. Cryosphere 2019, 13, 665–674. [Google Scholar] [CrossRef]
- Mulvaney, R.; Abram, N.J.; Hindmarsh, R.C.A.; Arrowsmith, C.; Fleet, L.; Triest, J.; Sime, L.C.; Alemany, O.; Foord, S. Recent Antarctic Peninsula warming relative to Holocene climate and ice-shelf history. Nature 2012, 489, 141–144. [Google Scholar] [CrossRef] [PubMed]
- Domack, E.; Leventer, A.; Dunbar, R.; Taylor, F.; Brachfeld, S.; Sjunneskog, C. Chronology of the Palmer Deep site, Antarctic Peninsula: A Holocene palaeoenvironmental reference for the circum-Antarctic. Holocene 2001, 11, 1–9. [Google Scholar] [CrossRef]
- Shevenell, A.E.; Ingalls, A.E.; Domack, E.W.; Kelly, C. Holocene Southern Ocean surface temperature variability west of the Antarctic Peninsula. Nature 2011, 470, 250–254. [Google Scholar] [CrossRef] [PubMed]
- Christ, A.J.; Talaia-Murray, M.; Elking, N.; Domack, E.W.; Leventer, A.; Lavoie, C.; Brachfeld, S.; Yoo, K.-C.; Gilbert, R.; Jeong, S.-M.; et al. Late Holocene glacial advance and ice shelf growth in Barilari Bay, Graham Land, west Antarctic Peninsula. GSA Bull. 2015, 127, 297–315. [Google Scholar] [CrossRef]
- Kim, S.; Yoo, K.-C.; Lee, J.I.; Khim, B.-K.; Bak, Y.-S.; Lee, M.K.; Lee, J.; Domack, E.W.; Christ, A.J.; Yoon, H.I. Holocene paleoceanography of Bigo Bay, west Antarctic Peninsula: Connections between surface water productivity and nutrient utilization and its implication for surface-deep water mass exchange. Quat. Sci. Rev. 2018, 192, 59–70. [Google Scholar] [CrossRef]
- Björck, S.; Malmer, N.; Hjort, C.; Sandgren, P.; Ingólfsson, Ó.; Wallén, B.; Smith, R.I.L.; Jónsson, B.L. Stratigraphic and paleoclimatic studies of a 5500-year-old moss bank on Elephant Island, Antarctica. Arct. Alp. Res. 1991, 23, 361–374. [Google Scholar] [CrossRef]
- Royles, J.; Ogée, J.; Wingate, L.; Hodgson, D.A.; Convey, P.; Griffiths, H. Carbon isotope evidence for recent climate-related enhancement of CO2 assimilation and peat accumulation rates in Antarctica. Glob Chang. Biol. 2012, 18, 3112–3124. [Google Scholar] [CrossRef]
- Yu, Z.; Beilman, D.W.; Loisel, J. Transformations of landscape and peat-forming ecosystems in response to late Holocene climate change in the western Antarctic Peninsula. Geophys. Res. Lett. 2016, 43, 7186–7195. [Google Scholar] [CrossRef]
- Amesbury, M.J.; Roland, T.P.; Royles, J.; Hodgson, D.A.; Convey, P.; Griffiths, H.; Charman, D.J. Widespread biological response to rapid warming on the Antarctic Peninsula. Curr. Biol. 2017, 27, 1616–1622.e2. [Google Scholar] [CrossRef] [PubMed]
- Charman, D.J.; Amesbury, M.J.; Roland, T.P.; Royles, J.; Hodgson, D.A.; Convey, P.; Griffiths, H. Spatially coherent late Holocene Antarctic Peninsula surface air temperature variability. Geology 2018, 46, 1071–1074. [Google Scholar] [CrossRef]
- Kwok, R.; Comiso, J.C. Spatial patterns of variability in Antarctic surface temperature: Connections to the southern hemisphere annular mode and the Southern Oscillation. Geophys. Res. Lett. 2002, 29, 50-1–50-4. [Google Scholar] [CrossRef]
- Cook, A.J.; Holland, P.R.; Meredith, M.P.; Murray, T.; Luckman, A.; Vaughan, D.G. Ocean forcing of glacier retreat in the western Antarctic Peninsula. Science 2016, 353, 283–286. [Google Scholar] [CrossRef] [PubMed]
- Fenton, J.H.C.; Smith, R.L. Distribution, composition and general characteristics of the moss banks of the maritime Antarctic. Br. Antarct. Surv. Bull. 1982, 51, 215–236. [Google Scholar]
- Ochyra, R.; Lewis, S.; Bednarek-Ochyra, H. The Illustrated Moss Flora of Antarctica.; Cambridge University Press: Cambridge, UK, 2008; ISBN 0-521-81402-2. [Google Scholar]
- Longton, R.E. Vegetation in the maritime Antarctic. Philos. Trans. R. Soc. Lond. Ser. B Biol. Sci. 1967, 252, 213–235. [Google Scholar]
- Royles, J.; Horwath, A.B.; Griffiths, H. Interpreting bryophyte stable carbon isotope composition: Plants as temporal and spatial climate recorders. Geochem. Geophys. Geosyst. 2014, 15, 1462–1475. [Google Scholar] [CrossRef]
- Royles, J.; Griffiths, H. Invited review: Climate change impacts in polar regions: Lessons from Antarctic moss bank archives. Glob Chang. Biol. 2015, 21, 1041–1057. [Google Scholar] [CrossRef]
- Royles, J.; Amesbury, M.J.; Roland, T.P.; Jones, G.D.; Convey, P.; Griffiths, H.; Hodgson, D.A.; Charman, D.J. Moss stable isotopes (carbon-13, oxygen-18) and testate amoebae reflect environmental inputs and microclimate along a latitudinal gradient on the Antarctic Peninsula. Oecologia 2016, 181, 931–945. [Google Scholar] [CrossRef]
- Barbour, M.M. Stable oxygen isotope composition of plant tissue: A review. Funct. Plant Biol. 2007, 34, 83–94. [Google Scholar] [CrossRef]
- Sternberg, L.; Ellsworth, P.F.V. Divergent biochemical fractionation, not convergent temperature, explains cellulose oxygen isotope enrichment across latitudes. PLoS ONE 2011, 6, e28040. [Google Scholar] [CrossRef] [PubMed]
- Royles, J.; Sime, L.C.; Hodgson, D.A.; Convey, P.; Griffiths, H. Differing source water inputs, moderated by evaporative enrichment, determine the contrasting δ18OCELLULOSE signals in maritime Antarctic moss peat banks. J. Geophys. Res. 2013, 118, 184–194. [Google Scholar] [CrossRef]
- Ménot-Combes, G.; Burns, S.J.; Leuenberger, M. Variations of 18O/16O in plants from temperate peat bogs (Switzerland): Implications for paleoclimatic studies. Earth Planet. Sci. Lett. 2002, 202, 419–434. [Google Scholar] [CrossRef]
- Nichols, D.S.; Brown, J.M. Evaporation from a sphagnum moss surface. J. Hydrol. 1980, 48, 289–302. [Google Scholar] [CrossRef]
- Farquhar, G.D.; Barbour, M.M.; Henry, B.K. Interpretation of oxygen isotope composition of leaf material. In Stable Isotopes: Integration of Biological Ecological and Geochemical Processes; Griffiths, H., Ed.; Taylor & Francis, Inc.: Oxfordshire, UK, 1997. [Google Scholar]
- Bramley-Alves, J.; Wanek, W.; French, K.; Robinson, S.A. Moss δ13C: An accurate proxy for past water environments in polar regions. Glob. Chang. Biol. 2015, 21, 2454–2464. [Google Scholar] [CrossRef] [PubMed]
- Robinson, S.A.; King, D.H.; Bramley-Alves, J.; Waterman, M.J.; Ashcroft, M.B.; Wasley, J.; Turnbull, J.D.; Miller, R.E.; Ryan-Colton, E.; Benny, T.; et al. Rapid change in East Antarctic terrestrial vegetation in response to regional drying. Nat. Clim. Chang. 2018, 8, 879–884. [Google Scholar] [CrossRef]
- O’Leary, M.H. Carbon isotopes in photosynthesis. BioScience 1988, 38, 328–336. [Google Scholar] [CrossRef]
- Farquhar, G.D.; Ehleringer, J.R.; Hubick, K.T. Carbon isotope discrimination and photosynthesis. Ann. Rev. Plant Physiol. Plant Mol. Biol. 1989, 40, 503–537. [Google Scholar] [CrossRef]
- Stelling, J.M.; Yu, Z.; Loisel, J.; Beilman, D.W. Peatbank response to late Holocene temperature and hydroclimate change in the western Antarctic Peninsula. Quat. Sci. Rev. 2018, 188, 77–89. [Google Scholar] [CrossRef]
- Loader, N.J.; Robertson, I.; Barker, A.C.; Switsur, V.R.; Waterhouse, J.S. An improved technique for the batch processing of small wholewood samples to α-cellulose. Chem. Geol. 1997, 136, 313–317. [Google Scholar] [CrossRef]
- R Core Team. A Language and Environment for Statistical Computing; R Foundation for Statistical Computing: Vienna, Austria, 2015. [Google Scholar]
- Rubino, M.; Etheridge, D.M.; Trudinger, C.M.; Allison, C.E.; Battle, M.O.; Langenfelds, R.L.; Steele, L.P.; Curran, M.; Bender, M.; White, J.W.C.; et al. A revised 1000 year atmospheric δ13C-CO2 record from Law Dome and South Pole, Antarctica. J. Geophys. Res. Atmos. 2013, 118, 8482–8499. [Google Scholar] [CrossRef]
- Stenni, B.; Curran, M.A.J.; Abram, N.J.; Orsi, A.; Goursaud, S.; Masson-Delmotte, V.; Neukom, R.; Goosse, H.; Divine, D.; van Ommen, T.; et al. Antarctic climate variability on regional and continental scales over the last 2000 years. Clim. Past 2017, 13, 1609–1634. [Google Scholar] [CrossRef]
- Oppedal, L.T.; Bakke, J.; Paasche, Ø.; Werner, J.P.; van der Bilt, W.G.M. Cirque Glacier on South Georgia Shows Centennial Variability over the Last 7000 Years. Front. Earth Sci. 2018, 6, 2. [Google Scholar] [CrossRef]
- Hall, B.L.; Koffman, T.; Denton, G.H. Reduced ice extent on the western Antarctic Peninsula at 700–970 cal. yr B.P. Geology 2010, 38, 635–638. [Google Scholar] [CrossRef]
- van der Bilt, W.G.M.; Bakke, J.; Werner, J.P.; Paasche, Ø.; Rosqvist, G.; Vatle, S.S. Late Holocene glacier reconstruction reveals retreat behind present limits and two-stage Little Ice Age on subantarctic South Georgia. J. Quat. Sci. 2017, 32, 888–901. [Google Scholar] [CrossRef]
- Thomas, E.R.; van Wessem, J.M.; Roberts, J.; Isaksson, E.; Schlosser, E.; Fudge, T.J.; Vallelonga, P.; Medley, B.; Lenaerts, J.; Bertler, N.; et al. Regional Antarctic snow accumulation over the past 1000 years. Clim. Past 2017, 13, 1491–1513. [Google Scholar] [CrossRef]
- Medley, B.; Thomas, E.R. Increased snowfall over the Antarctic Ice Sheet mitigated twentieth-century sea-level rise. Nat. Clim. Chang. 2019, 9, 34. [Google Scholar] [CrossRef]





© 2019 by the authors. Licensee MDPI, Basel, Switzerland. This article is an open access article distributed under the terms and conditions of the Creative Commons Attribution (CC BY) license (http://creativecommons.org/licenses/by/4.0/).
Share and Cite
Stelling, J.M.; Yu, Z. Regional Climate Change Recorded in Moss Oxygen and Carbon Isotopes from a Late Holocene Peat Archive in the Western Antarctic Peninsula. Geosciences 2019, 9, 282. https://doi.org/10.3390/geosciences9070282
Stelling JM, Yu Z. Regional Climate Change Recorded in Moss Oxygen and Carbon Isotopes from a Late Holocene Peat Archive in the Western Antarctic Peninsula. Geosciences. 2019; 9(7):282. https://doi.org/10.3390/geosciences9070282
Chicago/Turabian StyleStelling, Jonathan M., and Zicheng Yu. 2019. "Regional Climate Change Recorded in Moss Oxygen and Carbon Isotopes from a Late Holocene Peat Archive in the Western Antarctic Peninsula" Geosciences 9, no. 7: 282. https://doi.org/10.3390/geosciences9070282
APA StyleStelling, J. M., & Yu, Z. (2019). Regional Climate Change Recorded in Moss Oxygen and Carbon Isotopes from a Late Holocene Peat Archive in the Western Antarctic Peninsula. Geosciences, 9(7), 282. https://doi.org/10.3390/geosciences9070282
