Undrained Cyclic Laboratory Behavior of Sandy Soils
Abstract
1. Introduction
2. Geology and Seismicity of the Area


3. Site Characterization Program and Basic Geotechnical Soil Properties
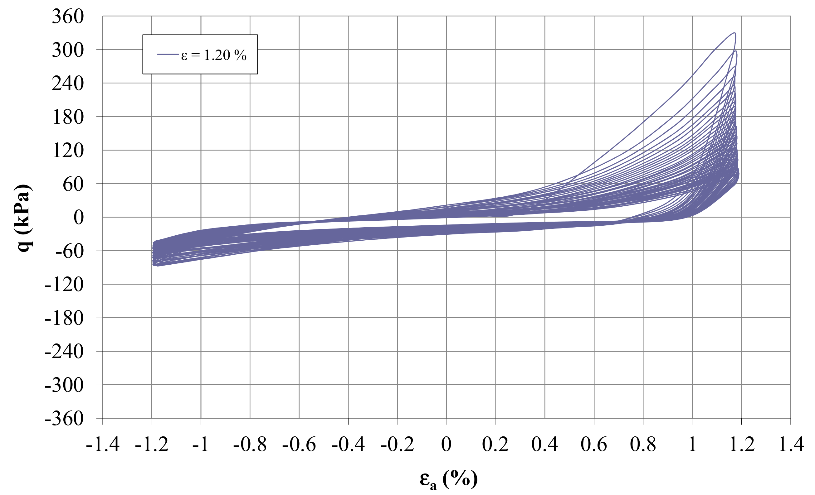
4. Soil Properties by Laboratory Tests
- —
- Non-linearity which governs the so-called hysteretic damping controlled by the current shear strain level. This kind of material damping is absent or negligible at very small strains.
- —
- Viscosity of the soil skeleton (creep), which is relevant at very small strain rates.
- —
- Viscosity of the pore fluid, which is relevant at very high frequencies.
5. Soil Properties by in Situ Tests
- —
- Id: Material index; gives information on soil type (sand, silt, clay).
- —
- M: Vertical drained constrained modulus.
- —
- Cu: Undrained shear strength.
- —
- Phi: Angle of shear resistance.
- —
- Kd: Horizontal stress index; the profile of Kd is similar in shape to the profile of the overconsolidation ratio OCR. Kd = 2 indicates in clays OCR = 1, Kd > 2 indicates overconsolidation. A first glance at the Kd profile is helpful to "understand" the deposit.
- —
- Vs: Shear wave velocity.
- (a)
- [72]
- (b)
- [57]
6. Analysis of the Effects on the Physical Environment
7. Conclusions
Author Contributions
Funding
Conflicts of Interest
References
- Seed, H.B.; Lee, K.L. Liquefaction of Saturated Sands During Cyclic Loading. J. Soil Mech. Found. 1966, 92, 105–134. [Google Scholar]
- Yoshimi, Y.; Tokimatsu, K.; Kaneko, O.; Makihara, Y. Undrained Cyclic Shear Strength of Dense Nigata Sand. Soils Found. 1984, 24, 131–145. [Google Scholar] [CrossRef]
- Sladen, J.A.; D’Hollander, R.D.; Krahn, J. The Liquefaction of Sands, a Collapse Surface Approach. Can. Geotech. J. 1985, 22, 564–578. [Google Scholar] [CrossRef]
- Vaid, Y.P.; Chern, J.; Tumi, H. Confining Pressure, Grain Angularity and Liquefaction. J. Geotech. Eng. 1985, 111, 1229–1235. [Google Scholar] [CrossRef]
- Michetti, A.M.; Esposito, E.; Guerrieri, L.; Porfido, S.; Serva, L.; Tatevossian, R.; Vittori, E.; Audemard, F.; Azuma, T.; Clague, J.; et al. Intensity Scale ESI 2007. Mem. Descr. Della Carta Geol. D’italia 2007, 74, 11–20. [Google Scholar]
- Giona-Bucci, M.; Villamor, P.; Almond, P.; Tuttle, M.; Stringer, M.; Ries, W.; Smith, C.; Hodge, M.; Watson, M. Associations between Sediment Architecture and Liquefaction Susceptibility in Fluvial Settings: The 2010–2011 Canterbury Earthquake Sequence, New Zealand. Eng. Geol. 2018, 237, 181–197. [Google Scholar] [CrossRef]
- Serva, L. History of the Environmental Seismic Intensity Scale ESI-07. Geosciences 2019, 9, 210. [Google Scholar] [CrossRef]
- Tuttle, M.P.; Hartleb, R.; Wolf, L.; Mayne, P.W. Paleoliquefaction Studies and the Evaluation of Seismic Hazard. Geosciences 2019, 9, 311. [Google Scholar] [CrossRef]
- Naik, S.P.; Kim, Y.; Kim, T.; Su-Ho, J. Geological and Structural Control on Localized Ground Effects within the Heunghae Basin during the Pohang Earthquake (MW 5.4, 15th November 2017), South Korea. Geosciences 2019, 9, 173. [Google Scholar] [CrossRef]
- Toki, S.; Tatsukoa, F.; Miura, S.; Yoshimi, Y.; Yasuda, S.; Makihara, Y. Cyclic Undrained Triaxial Strength of Sand by a Cooperative Test Program. Soils Found. 1986, 26, 117–128. [Google Scholar] [CrossRef]
- Flora, A.; Lirer, S.; Silvestri, F. Undrained Cyclic Resistance of Undisturbed Gravelly Soil. Soil Dyn. Earthq. Eng. 2012, 43, 366–379. [Google Scholar] [CrossRef]
- Lentini, V.; Castelli, F. Liquefaction Resistance of Sandy Soils from Undrained Cyclic Triaxial Tests. Geotech. Geol. Eng. 2019, 37, 201. [Google Scholar] [CrossRef]
- De Silva, F.; Sica, S.; Silvestri, F.; Aversa, S. Estimation of the ground shaking from the response of rigid bodies. Ann. Geophy. 2016, 59, 5. [Google Scholar] [CrossRef]
- Facciorusso, J.; Madiai, C.; Vannucchi, G. The 2012 Emilia earthquake (Italy): Geotechnical characterization and ground response analyses of the paleo-Reno river levees. Soil Dyn. Earthq. Eng. 2016, 86, 71–88. [Google Scholar] [CrossRef]
- Alessio, G.; Alfonsi, L.; Brunori, C.A.; Burrato, P.; Casula, G.; Cinti, F.R.; Civico, R.; Colini, L.; Cucci, L.; De Martini, P.M.; et al. Technologies and New Approaches Used by the INGV EMERGEO Working Group for Real-Time Data Sourcing and Processing During the Emilia Romagna (Northern Italy) 2012 Earthquake Sequence. Ann. Geophys. 2012, 55. [Google Scholar] [CrossRef]
- Emergeo Working Group. Liquefaction Phenomena Associated with the Emilia Earthquake Sequence of May–June 2012 (Northern Italy). Nat. Hazards Earth Syst. Sci. 2012, 13, 935–947.
- Monaco, P.; Marchetti, S.; Totani, G.; Marchetti, D. Interrelationship Beetween Small Strain Modulus Go and Operative Modulus. In Proceedings of the International Conference on Performance-Based Design in Earthquake Geotechnical Engineering (IS-Tokyo 2009), Tsukuba, Japan, 15–17 June 2009; Kokusho, T., Ed.; Taylor & Francis Group: London, UK, 2009; pp. 1315–1323. [Google Scholar]
- Santucci de Magistris, F.; d’Onofrio, A.; Evangelista, L.; Foti, S.; Maraschini, M.; Monaco, P.; Amoroso, S.; Totani, G.; Lanzo, G.; Pagliaroli, A.; et al. Geotechnical characterization of the Aterno valley for site response analyses. Rivista Italiana di Geotecnica 2013, 3, 23–43. [Google Scholar]
- Cavallaro, A.; Grasso, S.; Maugeri, M. Site Response Analysis for Tito Scalo Area (PZ) in the Basilicata Region, Italy. In Proceedings of the 4th Geotechnical Earthquake Engineering and Soil Dynamics Conference, Sacramento, CA, USA, 18–22 May 2008. [Google Scholar]
- Cavallaro, A.; Maugeri, M. Dynamic Characterization of Soils at Sellano for Seismic Microzonation. Riv. Ital. Geotec. 2001, 4, 70–78. [Google Scholar]
- Pino, N.A.; Piatanesi, A.; Valensise, G.; Boschi, E. The 28 December 1908, Messina Straits Earthquake (MW 7.1): A Great Earthquake through a Century of Seismology. Seismol. Res. Lett. 2008, 80, 243–259. [Google Scholar] [CrossRef]
- Comerci, V.; Blumetti, A.M.; Brustia, E.; Di Manna, P.; Guerrieri, L.; Lucarini, M.; Vittori, E. Landslides Induced by the 1908 Southern Calabria: Messina Earthquake (Southern Italy). In Landslide Science and Practice; Margottini, C., Canuti, P., Sassa, K., Eds.; Springer: Berlin, Germany, 2013; Volume 5. [Google Scholar]
- Comerci, V.; Vittori, E.; Blumetti, A.M.; Brustia, E.; Di Manna, P.; Guerrieri, L.; Lucarini, M.; Serva, L. Environmental Effects of the December 28, 1908, Southern Calabria–Messina (Southern Italy) Earthquake. Nat. Hazards 2015, 76, 1849–1891. [Google Scholar] [CrossRef]
- ISPRA Istituto Superiore per la Protezione e la Ricerca Ambientale. Available online: http://www.isprambiente.gov.it/Media/carg/sicilia.html (accessed on 8 December 2019).
- Istituto Nazionale di Geofisica e Vulcanologia INGV. Available online: https://emidius.mi.ingv.it/CPTI15-DBMI15/ (accessed on 8 December 2019).
- Guerrieri, L.; Tatevossian, R.; Vittori, E.; Comerci, V.; Esposito, E.; Michetti, A.M.; Porfido, S.; Serva, L. Earthquake Environmental Effects (EEE) and Intensity Assessment: The Inqua Scale Project. Boll. Soc. Geol. Ital. 2007, 126, 375–386. [Google Scholar]
- Meschis, M.; Roberts, G.P.; Mildon, Z.K.; Robertson JMichetti, A.M.; Faure Walker, J.P. Slip on a Mapped Normal Fault for the 28th December 1908 Messina Earthquake (Mw 7.1) in Italy. Sci. Rep. 2019, 9, 6481. [Google Scholar]
- Castelli, F.; Cavallaro, A.; Grasso, S.; Ferraro, A. In Situ and Laboratory Tests for Site Response Analysis in the Ancient City of Noto (Italy). In Proceedings of the 1st IMEKO TC4 International Workshop on Metrology for Geotechnics, Benevento, Italy, 17–18 March 2016; pp. 85–90. [Google Scholar]
- Castelli, F.; Cavallaro, A.; Grasso, S. SDMT Soil Testing for the Local Site Response Analysis. In Proceedings of the 1st IMEKO TC4 International Workshop on Metrology for Geotechnics, Benevento, Italy, 17–18 March 2016; pp. 143–148. [Google Scholar]
- Cavallaro, A.; Maugeri, M.; Ragusa, A. In Situ Tests for the Geotechnical Characterization of Airship Hangar Soils in the City of Augusta. In Proceedings of the 2nd International Conference on Geotechnical Site Characterization, Porto, Portugal, 20–22 September 2004; pp. 1053–1059. [Google Scholar]
- Cavallaro, A.; Capilleri, P.; Maugeri, M. Soil Characterisation of Catania Harbour by the Seismic Dilatometer Marchetti Test (SDMT). In Proceedings of the 3rd International Conference on the Flat Dilatometer, Roma, Italy, 15–17 June 2015. [Google Scholar]
- Cavallaro, A.; Maugeri, M.; Lo Presti, D.C.F.; Pallara, O. Characterising Shear Modulus and Damping from in Situ and Laboratory Tests for the Seismic Area of Catania. In Proceedings of the 2nd International Symposium on Pre-Failure Deformation Characteristics of Geomaterials, Torino, Italy, 28–30 September 1999; pp. 51–58. [Google Scholar]
- Lo Presti, D.C.F.; Jamiolkowski, M.; Cavallaro, A.; Pallara, O. Anisotropy of Small Strain Stiffness in Undisturbed and Reconstituted Clays. In Proceedings of the 2nd International Symposium on Pre-failure Deformation Characteristics of Geomaterials, Torino, Italy, 28–30 September 1999; pp. 3–10. [Google Scholar]
- Cavallaro, A.; Maugeri, M.; Ragusa, A. Design Parameters of a Cohesive Soil from Laboratory Tests. In Proceedings of the A. W. Skempton Memorial Conference, London, UK, 29–31 March 2004; pp. 381–392. [Google Scholar]
- Cavallaro, A.; Grasso, S.; Maugeri, M. Dynamic Clay Soils Behaviour by Different Laboratory and in Situ Tests. In Proceedings of the Geotechnical Symposium on Soil Stress-Strain Behavior: Measurement, Modelling and Analysis to Celebrate Prof. Tatsuoka’s 60th Birthday, Rome, Italy, 16–17 March 2006; Volume 146, pp. 583–594. [Google Scholar]
- Maugeri, M.; Cavallaro, A. Dynamic Characterisation of Soils from Laboratory Tests. In Proceedings of the 2nd International Conference on Earthquake Geotechnical Engineering, Lisbon, Portugal, 21–25 June 1999; pp. 863–868. [Google Scholar]
- Castelli, F.; Cavallaro, A.; Ferraro, A.; Grasso, S.; Lentini, V.; Massimino, M.R. Static and Dynamic Properties of Soils in Catania City (Italy). Ann. Geophys. 2018, 61, 221. [Google Scholar]
- Castelli, F.; Cavallaro, A.; Ferraro, A.; Grasso, S.; Lentini, V.; Massimino, M.R. Dynamic Characterisation of a Test Site in Messina (Italy). Ann. Geophys. 2018, 61, 222. [Google Scholar] [CrossRef]
- Grasso, S.; Castelli, F.; Massimino, M.R.; Lentini, V. In Situ Measurements for Evaluating Liquefaction Potential under Cyclic Loading. In Proceedings of the 1st IMEKO TC-4 International Workshop on Metrology for Geotechnics, Benevento, Italy, 17–18 March 2016; pp. 79–84. [Google Scholar]
- Castelli, F.; Lentini, V. Bearing capacity of shallow foundations on slopes: experimental analysis on reduced scale models. Poceedings of the 7th International Conference on Physical Modelling in Geotechnics, Zurich, Switzerland, 28 June–1 July 2010; Springman, L., Springman, S., Eds.; Taylor & Francis Group: London, UK; pp. 685–690, ISBN 978-0-415-59288-8. [Google Scholar]
- Castelli, F.; Maugeri, M. Experimental Analysis of Waste Compressibility. In GeoCongress 2008: Geotechnics of Waste Management and Remediation; GeoCongress: New Orleans, LA, USA, GSP 177.
- Capilleri, P.; Cavallaro, A.; Maugeri, M. Static and Dynamic Characterization of Soils at Roio Piano (AQ). Ital. Geotech. J. 2014, 35, 38–52. [Google Scholar]
- Cavallaro, A.; Massimino, M.R.; Maugeri, M. Noto Cathedral: Soil and Foundation Investigation. Constr. Build. Mater. 2003, 17, 533–541. [Google Scholar] [CrossRef]
- Cavallaro, A.; Cessari, L.; Gigliarelli, E. Site Characterization by in Situ and Laboratory Tests for the Structural & Architectural Restoration of Saint Nicholas Church, Nicosia, Cyprus. In Proceedings of the 2nd International Symposium on Geotechnical Engineering for the Preservation of Monuments and Historic Sites, Napoli, Italy, 30–31 May 2013; pp. 241–247. [Google Scholar]
- Castelli, F.; Cavallaro, A.; Ferraro, A.; Grasso, S.; Lentini, V. A Seismic Geotechnical Hazard Study in the Ancient City of Noto (Italy). In Proceedings of the 6th Italian Conference of Researchers in Geotechnical Engineering (CNRIG), Bologna, Italy, 22–23 September 2016; Volume 158, pp. 535–540. [Google Scholar]
- Cavallaro, A.; Grasso, S.; Maugeri, M. Volcanic Soil Characterisation and Site Response Analysis in the City of Catania. In Proceedings of the 8th National Conference on Earthquake Engineering, San Francisco, CA, USA, 18–22 April 2006; Volume 1290, pp. 835–844. [Google Scholar]
- Cavallaro, A.; Castelli, F.; Ferraro, A.; Grasso, S.; Lentini, V. Site Response Analysis for the Seismic Improvement of a Historical and Monumental Building: The Case Study of Augusta Hangar. Bull. Eng. Geol. Environ 2018, 77, 1217–1248. [Google Scholar] [CrossRef]
- Silvestri, F. Looking for objective Criteria in the Interpretation of Laboratory Stress-Strain Tests. In Proceedings of the 2nd International Symposium on Pre-failure Deformation Characteristics of Geomaterials, Torino, Italy, 28–30 September 1999; pp. 1305–1316. [Google Scholar]
- Hall, J.R., Jr.; Richart, F.E., Jr. Dissipation of Elastic Wave Energy in Granular Soils. J. Soil Mech. Found. Div. 1936, 89, 27–56. [Google Scholar]
- Drnevich, V.P.; Hardin, B.O.; Shippy, D.J. Modulus and Damping of Soils by Resonant Column Method. In Dynamic Geotechnical Testing; ASTM STP: West Conshohocken, PA, USA, 1978; Volume 654, pp. 91–125. [Google Scholar]
- Stokoe, K.H., II; Hoar, R.J. Variable Affecting in Situ Seismic Measurement. Proceeding of the Conference on Earthquake Engineering and Soil Dynamics, Pasadena, CA, USA, 19–21 1978; ASCE: Pasadena, CA, USA, 1978; Volume 2, pp. 919–939. [Google Scholar]
- Lo Presti, D.C.F. General Report: Measurement of Shear Deformation of Geomaterials in the Laboratory. In Proceedings of the Pre-failure Deformation of Geomaterials, Sapporo, Japan, 12–14 September 1994; pp. 1067–1088. [Google Scholar]
- Shibuya, S.; Mitachi, T.; Fukuda, F.; Degoshi, T. Strain Rate Effect on Shear Modulus and Damping of Normally Consolidated Clay. Geotech. Test. J. 1995, 18, 365–375. [Google Scholar]
- Tatsuoka, F.; Lo Presti, D.C.F.; Kohata, Y. Deformation Characteristics of Soils and Soft Rocks Under Monotonic and Cyclic Loads and Their Relations. In Proceedings of the 3rd International Conference on Recent Advances in Geotechnical Earthquake Engineering and Soil Dynamic, State of the Art 1, St. Louis, Missouri, 2–7 April 1995; Volume 2, pp. 851–879. [Google Scholar]
- Yokota, K.; Imai, T.; Konno, M. Dynamic Deformation Characteristics of Soils Determined by Laboratory Tests. Oyo Tec. Rep. 1981, 3, 13–37. [Google Scholar]
- Cavallaro, A.; Grasso, S.; Ferraro, A. A Geotechnical Engineering Study for the Safeguard, Restoration and Strengthening of Historical Heritage. In Proceedings of the 6th Italian Conference of Researchers in Geotechnical Engineering (CNRIG), Bologna, Italy, 22–23 September 2016; Volume 158, pp. 134–139. [Google Scholar]
- Jamiolkowski, M.; Lo Presti, D.C.F.; Pallara, O. Role of In-Situ Testing in Geotechnical earthquake Engineering. In Proceedings of the 3rd International Conference on Recent Advances in Geotechnical Earthquake Engineering and Soil Dynamic, State of the Art 7, St. Louis, MO, USA, 2–7 April 1995; Volume II, pp. 1523–1546. [Google Scholar]
- Marchetti, S.; Monaco, P.; Totani, G.; Marchetti, D. In Situ Tests by Seismic Dilatometer (SDMT). In From Research to Practice in Geotechnical Engineering; American Society of Civil Engineers: Reston, VA, USA, 2008; GSP 180. [Google Scholar] [CrossRef]
- Cavallaro, A.; Ferraro, A.; Grasso, S.; Maugeri, M. Topographic Effects of the Monte Po Hill in Catania. Soil Dyn. Earthq. Eng. 2012, 43, 97–113. [Google Scholar] [CrossRef]
- Cavallaro, A.; Grasso, S.; Maugeri, M.; Motta, E. An Innovative Low-Cost SDMT Marine Investigation for the Evaluation of the Liquefaction Potential in the Genova Harbour (Italy). In Proceedings of the 4th International Conference on Geotechnical and Geophysical Site Characterization (ISC’4), Porto de Galinhas, Brazil, 18–21 September 2012; Volume 1, pp. 415–422. [Google Scholar]
- Cavallaro, A.; Grasso, S.; Maugeri, M.; Motta, E. Site Characterisation by in Situ and Laboratory Tests of the Sea Bed in the Genova Harbour (Italy). In Proceedings of the 4th International Conference on Geotechnical and Geophysical Site Characterization (ISC’4), Porto de Galinhas, Brazilian, 18–21 September 2012; Volume 1, pp. 637–644. [Google Scholar]
- Hepton, P. Shear Wave Velocity Measurements during Penetration Testing. In Proceedings of the Geotechnology Conference Organized by the Institution of Civil Engineers, Birmingham, UK, 6–8 July 1988; pp. 275–278. [Google Scholar]
- Martin, G.K.; Mayne, P.W. Seismic Flat Dilatometers Tests in Connecticut Valley Vaeved Clay. Astm Geotech. Test. J. 1997, 20, 357–361. [Google Scholar]
- Martin, G.K.; Mayne, P.W. Seismic Flat Dilatometers Tests in Piedmont Residual Soils. Geotech. Site Charact. 1998, 2, 837–843. [Google Scholar]
- Mayne, P.W.; Schneider, J.A.; Martin, G.K. Small and Large Strain Soil Properties from Seismic Flat Dilatometer Tests. In Proceedings of the 2nd International Symposium on Pre-Failure Deformation Characteristics of Geomaterials, Torino, Italy, 28–30 September 1999; Volume 1, pp. 419–427. [Google Scholar]
- Marchetti, S. In Situ Tests by Flat Dilatometer. J. Geotech. Eng. Div. 1980, 106, 299–321. [Google Scholar]
- Cavallaro, A.; Grasso, S.; Maugeri, M. Dynamic Geotechnical Characterization of Sangiuliano di Puglia Seismic Area. In Proceedings of the 6th International Conference on Case Histories in Geotechnical Engineering, Arlington, WV, USA, 11–16 August 2008. [Google Scholar]
- Cavallaro, A.; Ferraro, A.; Grasso, S.; Maugeri, M. Site Response Analysis of the Monte Po Hill in the City of Catania. In Proceedings of the 2008 Seismic Engineering International Conference Commemorating the 1908 Messina and Reggio Calabria Earthquake MERCEA’08, Reggio Calabria, Italy, 8–11 July 2008; AIP Conference Proceedings. American Institute of Physics: College Park, MD, USA, 2008; Volume 1020, pp. 240–594. [Google Scholar]
- Cavallaro, A.; Grasso, S.; Ferraro, A. Study on Seismic Response Analysis in “Vincenzo Bellini” Garden Area by Seismic Dilatometer Marchetti Tests. In Proceedings of the 5th International Conference on Geotechnical and Geophysical Site Characterization (ISC’5), Queensland, Australian, 5–9 September 2016; Volume 2, pp. 1309–1314. [Google Scholar]
- Castelli, F.; Cavallaro, A.; Grasso, S.; Lentini, V. Seismic Microzoning from Synthetic Ground Motion Earthquake Scenarios Parameters: The Case Study of the City of Catania (Italy). Soil Dyn. Earthq. Eng. 2016, 88, 307–327. [Google Scholar] [CrossRef]
- Cavallaro, A.; Capilleri, P.; Grasso, S. Site Characterization by in Situ and Laboratory Tests for Liquefaction Potential Evaluation during Emilia Romagna Earthquake. Geosciences 2018, 8, 242. [Google Scholar] [CrossRef]
- Hryciw, R.D. Small Strain Shear Modulus of Soil by Dilatometer. JGED 1990, 116, 1700–1715. [Google Scholar]
- Shibuya, S.; Tanaka, H. Estimate of Elastic Shear Modulus in Holocene Soil Deposits. Soils Found. 1996, 36, 45–55. [Google Scholar] [CrossRef]
- Grasso, S.; Di Benedetto, C.; Ferraro, A.; Massimino, M.R.; Cavallaro, A. A comparative study on seismic response analysis of soils using different numerical codes. In Proceedings of the XVII ECSMGE-2019. Geotechnical Engineering Foundation of the Future, Reykjavík, Iceland, 1–6 September 2019; ISBN 978-9935-9436-1-3. [Google Scholar]





























| Boreholes | Type of Soil | H[m] | Gravel [%] | Sand [%] | Silt [%] | Clay [%] | dmax [mm] | D60 [mm] | D10 [mm] | Cu [-] | |
|---|---|---|---|---|---|---|---|---|---|---|---|
| S15C1 | A | 5.45 | 11.09 | 56.16 | 30.71 | 2.03 | <9.5 | 0.1898 | 0.0124 | 15.31 | Sand and gravelly silt of light gray color |
| S28C1 | A | 9.32 | 7.82 | 66.06 | 23.31 | 2.80 | <19.0 | 0.1120 | 0.0180 | 6.22 | Silty sand of light brown color |
| S28C2 | A | 15.30 | 0.35 | 54.35 | 44.67 | 0.63 | <9.5 | 0.0699 | 0.0115 | 6.08 | Sand and silt of dark gray color |
| S17C3 | B | 16.75 | 47.88 | 43.04 | 8.33 | 0.76 | <9.5 | 3.5520 | 0.0680 | 52.24 | Gravel and silty sand of dark brown color |
| S7C2 | B | 19.75 | 21.33 | 61.52 | 14.68 | 2.47 | <9.5 | 0.5730 | 0.0171 | 33.51 | Sand and silty gravel of dark gray color |
| S17C4 | B | 21.75 | 21.68 | 66.34 | 11.17 | 0.81 | <19.0 | 0.7360 | 0.0354 | 20.79 | Sand and silty gravel of dark brown color |
| S28C4 | B | 24.80 | 0.24 | 91.00 | 8.76 | 0.00 | <4.75 | 0.4957 | 0.0905 | 5.48 | Sand lightly silty of light gray color |
| S7C4 | B | 31.25 | 17.18 | 58.22 | 21.64 | 2.96 | <9.5 | 0.3532 | 0.0102 | 34.63 | Sand and silty of light gray color |
| S17C7 | B | 34.75 | 34.41 | 55.56 | 8.97 | 1.06 | <9.5 | 1.6010 | 0.0630 | 25.41 | Sand and silty gravel of dark brown color |
| Boreholes | Type of Soil | H [m] | γ [kN/m3] | D60 [mm] | Cu[-] | Gs[-] | eo [-] | emin [-] | emax [-] | Dr [%] | CF [%] |
|---|---|---|---|---|---|---|---|---|---|---|---|
| S15C1 | A | 5.45 | 16.08 | 0.19 | 15.3 | 2.67 | 0.63 | 0.39 | 0.68 | 17.24 | 2.03 |
| S28C1 | A | 9.32 | 18.24 | 0.11 | 6.2 | 2.80 | 0.57 | 0.44 | 0.69 | 48.00 | 2.80 |
| S28C2 | A | 15.30 | 20.71 | 0.07 | 6.1 | 2.62 | 0.59 | 0.49 | 0.71 | 54.55 | 0.63 |
| S17C3 | B | 16.75 | 15.18 | 3.55 | 52.2 | 2.49 | 0.64 | 0.52 | 0.72 | 40.00 | 0.76 |
| S7C2 | B | 19.75 | 16.43 | 0.57 | 33.5 | 2.67 | 0.63 | 0.41 | 0.84 | 48.84 | 2.47 |
| S17C4 | B | 21.75 | 16.80 | 0.74 | 20.8 | 2.75 | 0.64 | 0.51 | 0.70 | 31.58 | 0.81 |
| S28C4 | B | 24.80 | 16.50 | 0.49 | 5.5 | 2.60 | 0.64 | 0.53 | 0.80 | 59.26 | 0.00 |
| S7C4 | B | 31.25 | 16.97 | 0.35 | 34.6 | 2.69 | 0.67 | 0.37 | 0.79 | 28.57 | 2.96 |
| S17C7 | B | 34.75 | 17.03 | 1.60 | 25.4 | 2.69 | 0.58 | 0.49 | 0.65 | 43.75 | 1.06 |
| Boreholes | Type of Soil | H [m] | Test | Go (1) [MPa] | Go (2) [MPa] | Go (3) [MPa] | Eo [MPa] | Δumax [kPa] | |
|---|---|---|---|---|---|---|---|---|---|
| S15C1 | A | 5.45 | 100 | RCT–CLTST | 51 | 54 | 21 | - | - |
| S28C1 | A | 9.32 | 180 | RCT–CLTST | 105 | 83 | 324 | - | - |
| S28C1 | A | 9.32 | 400 | CLTxT | - | - | - | 102 | 134 |
| S28C2 | B | 15.30 | 180 | RCT–CLTST | 95 | 87 | 161 | - | - |
| S17C3 | B | 16.75 | 300 | RCT–CLTST | 123 | 107 | 163 | - | - |
| S7C2 | B | 19.75 | 300 | RCT–CLTST | 149 | 121 | 269 | - | - |
| S17C4 | B | 21.75 | 350 | CLTxT | - | - | - | 209 | 344 |
| S28C4 | B | 24.80 | 200 | RCT–CLTST | 109 | 99 | 378 | - | - |
| S7C4 | B | 31.25 | 600 | RCT–CLTST | 160 | 135 | - | - | - |
| S17C7 | B | 34.75 | 400 | RCT–CLTST | 158 | 142 | - | - | - |
| S17C7 | B | 34.75 | 400 | CLTxT | - | - | - | 74 | 381 |
| Test | Type of Soil | α [-] | β [-] | η [-] | λ [-] |
|---|---|---|---|---|---|
| RCT | A | 18 | 0.92 | 14.5 | 1.7 |
| RCT | B | 13 | 0.90 | 18 | 2.2 |
| CLTST | A | 11 | 0.97 | 45 | 3.1 |
| CLTST | B | 10 | 0.95 | 65 | 3.5 |
© 2019 by the authors. Licensee MDPI, Basel, Switzerland. This article is an open access article distributed under the terms and conditions of the Creative Commons Attribution (CC BY) license (http://creativecommons.org/licenses/by/4.0/).
Share and Cite
Castelli, F.; Cavallaro, A.; Grasso, S.; Lentini, V. Undrained Cyclic Laboratory Behavior of Sandy Soils. Geosciences 2019, 9, 512. https://doi.org/10.3390/geosciences9120512
Castelli F, Cavallaro A, Grasso S, Lentini V. Undrained Cyclic Laboratory Behavior of Sandy Soils. Geosciences. 2019; 9(12):512. https://doi.org/10.3390/geosciences9120512
Chicago/Turabian StyleCastelli, Francesco, Antonio Cavallaro, Salvatore Grasso, and Valentina Lentini. 2019. "Undrained Cyclic Laboratory Behavior of Sandy Soils" Geosciences 9, no. 12: 512. https://doi.org/10.3390/geosciences9120512
APA StyleCastelli, F., Cavallaro, A., Grasso, S., & Lentini, V. (2019). Undrained Cyclic Laboratory Behavior of Sandy Soils. Geosciences, 9(12), 512. https://doi.org/10.3390/geosciences9120512

