Validation of Stratification-Driven Phytoplankton Biomass and Nutrient Concentrations in the Northeast Atlantic Ocean as Simulated by EC-Earth
Abstract
1. Introduction
2. Methodology
2.1. Stratiphyt Cruises
2.2. The NEMO-PISCES Model
3. Results
3.1. Temperature, Salinity, Mixed Layer Depth
3.2. Surface Nitrate Concentrations
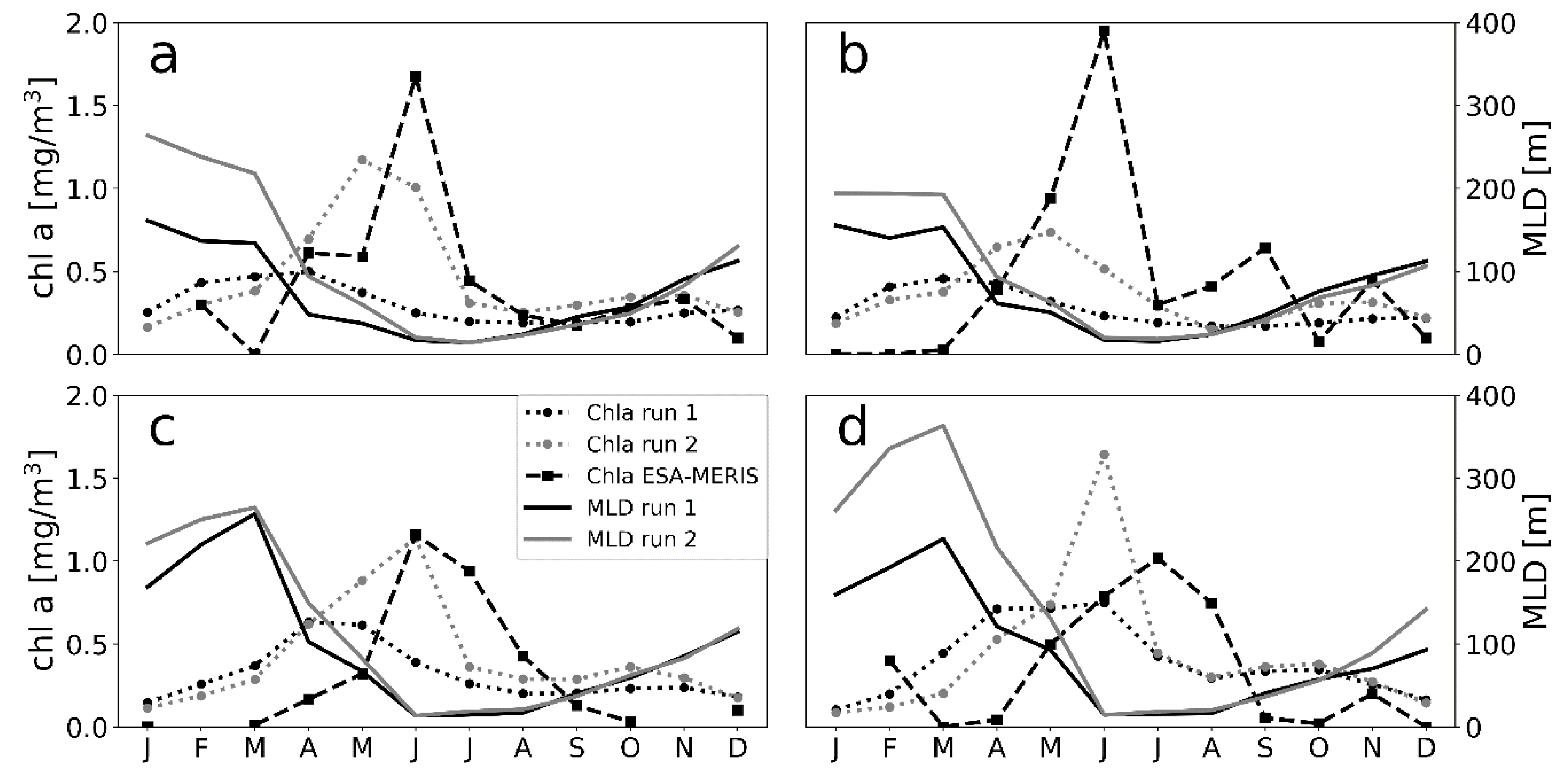
3.3. Chlorophyll a
4. Discussion
Author Contributions
Funding
Acknowledgments
Conflicts of Interest
References
- Sabine, C.L.; Feely, R.A.; Gruber, N.; Key, R.M.; Lee, K.; Bullister, J.L.; Wanninkhof, R.; Wong, C.S.; Wallace, D.W.R.; Tilbrook, B.; et al. The Oceanic Sink for Anthropogenic CO2. Science 2004, 305, 367–371. [Google Scholar] [CrossRef] [PubMed]
- Falkowski, P.G. The role of phytoplankton photosynthesis in global biogeochemical cycles. Photosynth. Res. 1994, 39, 235–258. [Google Scholar] [CrossRef] [PubMed]
- Behrenfeld, M.J.; O’Malley, R.T.; Siegel, D.A.; McClain, C.R.; Sarmiento, J.L.; Feldman, G.C.; Milligan, A.J.; Falkowski, P.G.; Letelier, R.M.; Boss, E.S. Climate-driven trends in contemporary ocean productivity. Nature 2006, 444, 752–755. [Google Scholar] [CrossRef] [PubMed]
- Osman, M.B.; Das, S.B.; Trusel, L.D.; Evans, M.J.; Fischer, H.; Grieman, M.M.; Kipfstuhl, S.; McConnell, J.R.; Saltzman, E.S. Industrial-era decline in subarctic Atlantic productivity. Nature 2019, 569, 551–555. [Google Scholar] [CrossRef] [PubMed]
- Van De Poll, W.H.; Kulk, G.; Timmermans, K.R.; Brussaard, C.P.D.; Van Der Woerd, H.J.; Kehoe, M.J.; Mojica, K.D.A.; Visser, R.J.W.; Rozema, P.D.; Buma, A.G.J.; et al. Phytoplankton chlorophyll a biomass, composition, and productivity along a temperature and stratification gradient in the northeast Atlantic Ocean. Biogeosciences 2013, 10, 4227–4240. [Google Scholar] [CrossRef]
- Hahn-Woernle, L.; Dijkstra, H.A.; Van Der Woerd, H.J. Sensitivity of phytoplankton distributions to vertical mixing along a North Atlantic transect. Ocean Sci. 2014, 10, 993–1011. [Google Scholar] [CrossRef]
- Kristina, D.A.M.; Jef, H.; Steven, W.W.; Corina, P.D.B. Latitudinal variation in virus-induced mortality of phytoplankton across the North Atlantic Ocean. ISME J. 2016, 10, 500–513. [Google Scholar] [CrossRef]
- Behrenfeld, M.J.; Boss, E.S. Student’s tutorial on bloom hypotheses in the context of phytoplankton annual cycles. Glob. Chang. Boil. 2017, 24, 55–77. [Google Scholar] [CrossRef]
- Jurado, E.; Dijkstra, H.A.; Van Der Woerd, H.J. Microstructure observations during the spring 2011 STRATIPHYT-II cruise in the northeast Atlantic. Ocean Sci. 2012, 8, 945–957. [Google Scholar] [CrossRef]
- Mignot, A.; Ferrari, R.; Claustre, H. Floats with bio-optical sensors reveal what processes trigger the North Atlantic bloom. Nat. Commun. 2018, 9, 190. [Google Scholar] [CrossRef]
- Taylor, J.R.; Ferrari, R. Shutdown of turbulent convection as a new criterion for the onset of spring phytoplankton blooms. Limnol. Oceanogr. 2011, 56, 2293–2307. [Google Scholar] [CrossRef]
- Behrenfeld, M.J. Abandoning Sverdrup’s Critical Depth Hypothesis on phytoplankton blooms. F1000 - Post-publication peer review of the biomedical literature 2010, 91, 977–989. [Google Scholar] [CrossRef] [PubMed]
- Somavilla, R.; Rodriguez, C.; Lavín, A.; Viloria, A.; Marcos, E.; Cano, D. Atmospheric Control of Deep Chlorophyll Maximum Development. Geoscience 2019, 9, 178. [Google Scholar] [CrossRef]
- Mignot, A.; Claustre, H.; Uitz, J.; Poteau, A.; D’Ortenzio, F.; Xing, X. Understanding the seasonal dynamics of phytoplankton biomass and the deep chlorophyll maximum in oligotrophic environments: A Bio-Argo float investigation. Glob. Biogeochem. Cycles 2014, 28, 856–876. [Google Scholar] [CrossRef]
- Hazeleger, W.; Wang, X.; Severijns, C.; Ştefǎnescu, S.; Bintanja, R.; Sterl, A.; van der Wiel, K. EC-Earth V2.2: Description and validation of a new seamless earth system prediction model. Clim. Dyn. 2012, 39, 2611–2629. [Google Scholar] [CrossRef]
- Griffies, S.M.; Danabasoglu, G.; Durack, P.J.; Adcroft, A.J.; Balaji, V.; Böning, C.W.; Chassignet, E.P.; Curchitser, E.; Deshayes, J.; Drange, H.; et al. OMIP contribution to CMIP6: experimental and diagnostic protocol for the physical component of the Ocean Model Intercomparison Project. Geosci. Model Dev. 2016, 9, 3231–3296. [Google Scholar] [CrossRef]
- Garcia, H.E.; Locarnini, R.A.; Boyer, T.P.; Antonov, J.I.; Baranova, O.K.; Zweng, M.M.; Johnson, D.R. World Ocean Atlas 2009, Volume 4: Nutrients (Phosphate, Nitrate, Silicate); US Government Printing Office: Washington, DC, USA, 2010; p. 398.
- Ilyina, T.; Six, K.D.; Segschneider, J.; Maier, R.E.; Li, H.; Núñez, R.I. The global ocean biogeochemistry model HAMOCC: Model architecture and performance as component of the MPI-Earth System Model in different CMIP5 experimental realizations. J. Adv. Modeling Earth Syst. 2013, 5, 287–315. [Google Scholar] [CrossRef]
- Aumont, O.; Ethe, C.; Tagliabue, A.; Bopp, L.; Gehlen, M. PISCES-v2: an ocean biogeochemical model for carbon and ecosystem studies. Geosci. Model Dev. 2015, 8, 2465–2513. [Google Scholar] [CrossRef]
- Richard, H.; Stephanie, H.; Marja, K.; Christina, L.D.L.R.; Stuart, C.P.; Alex, J.P.; Jennifer, R.; Baris, S.; Andy, V.; Andrew, Y.; et al. The Biological Carbon Pump in the North Atlantic. Prog. Oceanogr. Part B 2014, 129, 200–218. [Google Scholar]
- Fu, W.; Randerson, J.T.; Moore, J.K. Climate change impacts on net primary production (NPP) and export production (EP) regulated by increasing stratification and phytoplankton community structure in the CMIP5 models. Biogeosciences 2016, 13, 5151–5170. [Google Scholar] [CrossRef]
- Mojica, K.D.A.; Van De Poll, W.H.; Kehoe, M.; Huisman, J.; Timmermans, K.R.; Buma, A.G.J.; Van Der Woerd, H.J.; Hahn-Woernle, L.; Dijkstra, H.A.; Brussaard, C.P.D.; et al. Phytoplankton community structure in relation to vertical stratification along a north-south gradient in the Northeast Atlantic Ocean. Limnol. Oceanogr. 2015, 60, 1498–1521. [Google Scholar] [CrossRef]
- NEMO Ocean Engine. Available online: https://www.google.com.hk/url?sa=t&rct=j&q=&esrc=s&source=web&cd=1&ved=2ahUKEwilia_vuaPlAhUwyYsBHZlcCuAQFjAAegQIAxAC&url=https%3A%2F%2Fwww.nemo-ocean.eu%2Fwp-content%2Fuploads%2FNEMO_book.pdf&usg=AOvVaw04Y9keaaF2GIljVijhCKfY (accessed on 21 October 2019).
- Large, W.G.; Yeager, S.G. The global climatology of an interannually varying air-Sea flux data set. Clim. Dyn. 2009, 33, 341–364. [Google Scholar] [CrossRef]
- Griffies, S.M.; Biastoch, A.; Böning, C.; Bryan, F.; Danabasoglu, G.; Chassignet, E.P.; England, M.H.; Gerdes, R.; Haak, H.; Hallberg, R.W.; et al. Coordinated Ocean-ice Reference Experiments (COREs). Ocean Model. 2009, 26, 1–46. [Google Scholar] [CrossRef]
- Dai, A.; Trenberth, K.E. Estimates of Freshwater Discharge from Continents: Latitudinal and Seasonal Variations. J. Hydrometeorol. 2002, 3, 660–687. [Google Scholar] [CrossRef]
- Dai, A.; Qian, T.; Trenberth, K.E.; Milliman, J.D. Changes in Continental Freshwater Discharge from 1948 to 2004. J. Clim. 2009, 22, 2773–2792. [Google Scholar] [CrossRef]
- Bintanja, R.; Selten, F.M. Future increases in Arctic precipitation linked to local evaporation and sea-ice retreat. Nature 2014, 509, 479–482. [Google Scholar] [CrossRef]
- de Steur, L.; Peralta-Ferriz, C.; Pavlova, O. Freshwater Export in the East Greenland Current Freshens the North Atlantic. Geophysical Res. Let. 2018, 45, 13359–13366. [Google Scholar] [CrossRef]
- Carmack, E.; Yamamoto-Kawai, M.; Haine, T.; Bacon, S.; Bluhm, B.; Lique, C.; Melling, H.; Polyakov, I.; Straneo, F.; Timmermans, M.-L.; et al. Freshwater and its role in the Arctic Marine System: Sources, disposition, storage, export, and physical and biogeochemical consequences in the Arctic and global oceans. J. Geophys. Res. Biogeosciences 2016, 121, 675–717. [Google Scholar] [CrossRef]
- Bintanja, R.; Andry, O. Towards a rain-dominated Arctic. Nat. Clim. Chang. 2017, 7, 263–267. [Google Scholar] [CrossRef]
- Steinacher, M.; Joos, F.; Frölicher, T.L.; Bopp, L.; Cadule, P.; Cocco, V.; Doney, S.C.; Gehlen, M.; Lindsay, K.; Moore, J.K.; et al. Projected 21st century decrease in marine productivity: a multi-model analysis. Biogeosciences 2010, 7, 979–1005. [Google Scholar] [CrossRef]
- Coupel, P.; Ruiz-Pino, D.; Sicre, M.; Chen, J.; Lee, S.; Schiffrine, N.; Li, H.; Gascard, J. The impact of freshening on phytoplankton production in the Pacific Arctic Ocean. Prog. Oceanogr. 2015, 131, 113–125. [Google Scholar] [CrossRef]
- Koné, V.; Aumont, O.; Lévy, M.; Resplandy, L.; Wiggert, J.D.; Hood, R.R.; Naqvi, S.W.A.; Brink, K.H.; Smith, S.L. Physical and biogeochemical controls of the phytoplankton seasonal cycle in the Indian Ocean: A modeling study. Extreme Events 2009, 185, 147–166. [Google Scholar] [CrossRef]







| A: Sea Surface Temperature | ||||||
| Latitude | Spring | run 1 | run 2 | Summer | run 1 | run 2 |
| < 52° N | 0.49 | 1.00 | 0.63 | 0.47 | ||
| > 52° N | 0.48 | 0.62 | 0.70 | 0.69 | ||
| B: Sea Surface Salinity | ||||||
| Latitude | Spring | run 1 | run 2 | Summer | run 1 | run 2 |
| < 52° N | 0.54 | 0.27 | 0.47 | 0.16 | ||
| > 52° N | 0.77 | 0.30 | 0.77 | 0.34 | ||
| C: Mixed Layer Depth | ||||||
| Latitude | Spring | run 1 | run 2 | Summer | run 1 | run 2 |
| < 52° N | 12.9 | 16.7 | 10.4 | 8.8 | ||
| > 52° N | 76.9 | 85.8 | 5.3 | 4.5 | ||
© 2019 by the authors. Licensee MDPI, Basel, Switzerland. This article is an open access article distributed under the terms and conditions of the Creative Commons Attribution (CC BY) license (http://creativecommons.org/licenses/by/4.0/).
Share and Cite
Skyllas, N.; Bintanja, R.; Buma, A.G.J.; Brussaard, C.P.D.; Gröger, M.; Hieronymus, J.; van de Poll, W.H. Validation of Stratification-Driven Phytoplankton Biomass and Nutrient Concentrations in the Northeast Atlantic Ocean as Simulated by EC-Earth. Geosciences 2019, 9, 450. https://doi.org/10.3390/geosciences9100450
Skyllas N, Bintanja R, Buma AGJ, Brussaard CPD, Gröger M, Hieronymus J, van de Poll WH. Validation of Stratification-Driven Phytoplankton Biomass and Nutrient Concentrations in the Northeast Atlantic Ocean as Simulated by EC-Earth. Geosciences. 2019; 9(10):450. https://doi.org/10.3390/geosciences9100450
Chicago/Turabian StyleSkyllas, Nomikos, Richard Bintanja, Anita G. J. Buma, Corina P. D. Brussaard, Matthias Gröger, Jenny Hieronymus, and Willem H. van de Poll. 2019. "Validation of Stratification-Driven Phytoplankton Biomass and Nutrient Concentrations in the Northeast Atlantic Ocean as Simulated by EC-Earth" Geosciences 9, no. 10: 450. https://doi.org/10.3390/geosciences9100450
APA StyleSkyllas, N., Bintanja, R., Buma, A. G. J., Brussaard, C. P. D., Gröger, M., Hieronymus, J., & van de Poll, W. H. (2019). Validation of Stratification-Driven Phytoplankton Biomass and Nutrient Concentrations in the Northeast Atlantic Ocean as Simulated by EC-Earth. Geosciences, 9(10), 450. https://doi.org/10.3390/geosciences9100450

