Estimating Earthquake-Induced Pore Water Pressure: Hierarchy of Existing Methods
Abstract
1. Introduction
2. Hierarchy of Approaches for Excess Pore Water Pressure Prediction
- ‘Decoupled’ approach, where the computation of excess pore pressure is performed after the end of the calculations, i.e., hand-made calculations of the safety factor against liquefaction or ground response analysis in total stress (e.g., [58]). In both cases, the seismic demand used in the calculations does not account for the generation of pore water pressure.
- ‘Coupled’ approach, which consists of non-linear dynamic analyses in effective stress by using either a simplified or an advanced soil constitutive model [39,59]. In this second case, the seismic demand used in the calculation of the excess pore water time history is progressively affected by pore pressure generation.
- 1.1.
- ‘Synthetic’ methods can provide an overall estimate of the expected pore pressure build-up, independently of time;
- 1.2.
- ‘Simplified’ methods are able to provide the history of the excess pore pressure by adopting one of the pore pressure generation models, such as reported by Hashash et al. [39]. This method can be adopted after the execution of total stress ground response analysis.
- 2.1.
- ‘Approximate’ methods or ‘loosely coupled’ analyses that can predict pore pressures by utilizing pore pressure generation models in conjunction with cyclic response models formulated in total stress [60,61]. The crucial aspect that guarantees the coupling between the previous two ingredients of the analysis is the adoption of a degradation model, i.e., how the generated pore pressure models affect the cyclic soil response. The most common degradation models have been proposed by [62].
- 2.2.
- ‘Rigorous’ methods or ‘fully coupled’ analyses that employ advanced soil constitutive models that are intrinsically formulated within the effective stress framework. These models simultaneously and fully predict both the stress–strain response and the pore pressure response of the soil, addressing the coupled nature of the soil skeleton and pore–fluid interaction [63,64,65].

3. Synthetic Methods
- Level A or a, respectively, for CSR and CRR: where the minimum effort is requested in terms of both experimentation and calculation to define FS. This is the most immediate and largely adopted level in codes and guidelines;
- Level B or b, respectively, for CSR and CRR: where a bigger effort is required compared to level A/a to define FS in terms of both experimentation and calculation.

- Level A: hand-made calculation according to the simplified expression:
- Level B: the results of total stress ground response analysis, processed according to the equation:
- Level a: empirical equations that correlate the CRR to the results of normalized mechanical soil parameters as obtained from in situ tests, e.g., Cone Penetration Test—CPT [68,70], Standard Penetration Test—SPT [68], Flat Dilatometer Test—DMT [73], and shear wave velocity measurement [74,75]. An example of an empirical relationship between CRR for the reference conditions (Mw = 7.5; σ’v0 = 1 atm) and the normalized corrected blow count, (N1)60cs, as measured during SPT, or the normalized and corrected cone tip resistance of CPT, qc1NCS, is proposed by [68] as follows:
- Level b: direct estimation of the cyclic soil resistance via the cyclic resistance curve, i.e., the relationship between the cyclic resistance ratio and the number of cycles necessary to induce liquefaction as measured by cyclic simple shear or cyclic triaxial tests. However, laboratory tests have some limitations to reproduce the site conditions and consequently some corrections need to be applied prior to using the curve for engineering applications [69,76,77,78].
3.1. Level Aa: Safety Factor Calculated by Using the Semi-Empirical Equation for CSR and Empirical Charts for CRR
Example Application for Level Aa
3.2. Level Ba: Safety Factor Calculated by Using Dynamic Total Stress Analysis for CSR and Empirical Charts for CRR
3.3. Level Bb: Safety Factor Calculated by Using Dynamic Total Stress Analysis for CSR and Cyclic Resistance Curve for CRR
3.4. Level Ab: Safety Factor Calculated via the Semi-Empirical Equation for CSR and the Cyclic Resistance Curve for CRR
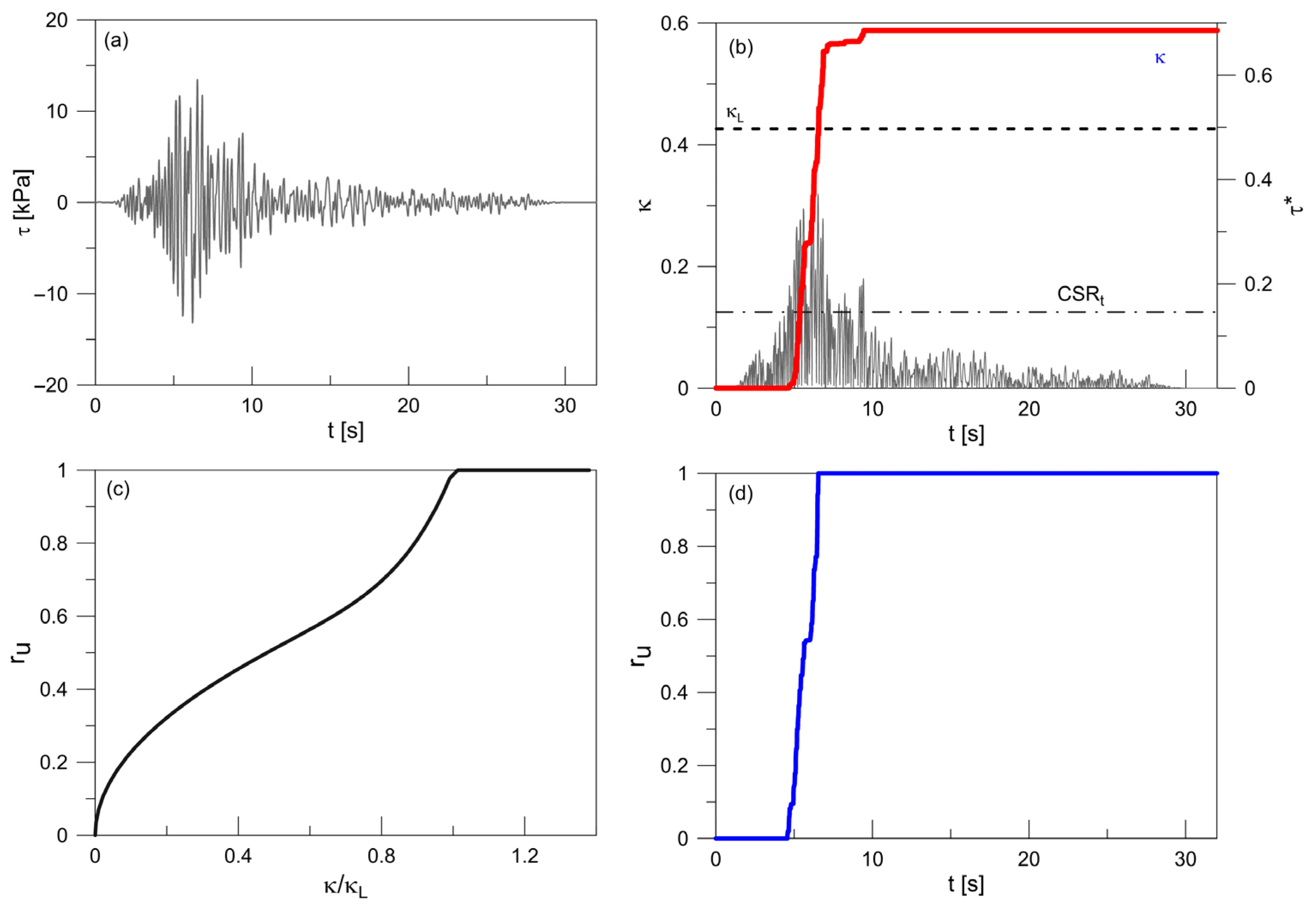
4. Simplified Methods
5. Approximate Methods
6. Rigorous Methods
7. Application of Hierarchical Methods to a Case Study
7.1. Synthetic Methods Application
7.2. Simplified Method Application
7.3. Approximate Method Application
7.4. Rigorous Methods Application
8. Utility of the Excess Pore Water Pressure Predictions
- Estimation of the free-field consolidation settlements [102];
- Degraded bearing capacity of shallow foundations [103];
- Evaluating the influence of excess pore water pressure on permanent slope displacement during seismic action [106];
- Assessment of the uplift response of underground structures [107];
- Mapping vulnerability indexes of the liquefaction potential [108].
9. Discussion and Conclusions
Supplementary Materials
Funding
Data Availability Statement
Acknowledgments
Conflicts of Interest
Abbreviations
| PWP | Pore Water Pressure |
| CSR | Cyclic Stress Ratio |
| CRR | Cyclic Resistance Ratio |
| PGA | Peak Ground Acceleration |
| FS | Factor of Safety |
| SPT | Standard Penetration Test |
| CPTU | Cone Penetration Test with pore water pressure measurement |
| CPT | Cone Penetration Test |
| SBT | Soil Behavior Type |
| PI | Plasticity Index |
| MSF | Magnitude Scaling Factor |
| FC | Fines Content |
| GSS | Grey Silty Sand |
| SS | Silty Sand |
| CH | Cross-Hole test |
| NS | North–South |
| Symbol | Unit | Description |
| ru | - | Excess pore pressure ratio |
| σ’v0 | kPa | Initial effective vertical stress |
| σ’v | kPa | Effective vertical stress |
| σv | kPa | Total vertical stress |
| Δu | kPa | Excess pore pressure |
| CSRt | - | Horizontal asymptote of Equation (4) |
| CSRr | - | Reference point of Equation (4) |
| α | - | Exponent of Equation (4) |
| a | - | First coefficient of Equation (2) |
| b | - | First exponent of Equation (2) |
| c | - | Second coefficient of Equation (2) |
| d | - | Second exponent of Equation (2) |
| qc1Ncs | - | Normalized and corrected cone tip resistance |
| (N1)60cs | - | Normalized and corrected number of blow count |
| Δqc1N | - | CPT cone tip resistance increment due the FC |
| Δ(N1)60 | - | SPT blow count increment due to FC |
| Dr | % | Relative density |
| PI | - | Plasticity index |
| amax | g | Maximum acceleration |
| z | m | Depth |
| Kσ | - | Overburden stress correction factor of Equation (14) |
| Kα | - | Initial static shear stress correction factor of Equation (14) |
| PVR | % | Probability of exceedance in the reference period VR |
| TR | years | Return period |
| Mw | - | Moment Magnitude |
| VS | m/s | Shear wave velocity |
| ρ | Kg/m3 | Soil density |
| γ | % | Shear strain |
| G/G0 | - | Shear modulus normalized to the initial value |
| D | % | Damping ratio |
| N | - | Number of cycles |
| DR | - | Apparent relative density of PM4Sand model |
| Go | - | Shear modulus coefficient of PM4Sand/Silt model |
| hpo | - | Contraction rate parameter of PM4Sand/Silt model |
| su/σ’v | - | PM4Silt parameter |
| τ | kPa | Shear stress |
| τmax | kPa | Maximum shear stress |
| τ* | - | Normalized shear stress |
| NL | - | Number of cycles causing liquefaction |
| Neq | - | Equivalent number of cycles |
| rd | - | Depth reduction factor of Equation (10) |
| β | - | Exponent of Equations (1) and (15) |
| b | - | Exponent of Equation (15) |
| CFC | - | Correction factor of Equation (20) |
Appendix A
Appendix A.1. Example Application for Simplified Method


Appendix A.2. Example Application for Approximate Methods

Appendix A.3. Example Application for Rigorous Methods

References
- Doi, I.; Kamai, T. Relationship between earthquake-induced excess pore water pressure and strong ground motion observed in a monitored fill slope. Eng. Geol. 2020, 266, 105391. [Google Scholar] [CrossRef]
- Kamura, A.; Kikumoto, M.; Unno, T.; Matsumaru, T.; Yoshida, S. Monitoring excess pore water pressure during seismic events to assess liquefaction potential in reclaimed land. Jpn. Geotech. Soc. Spec. Publ. 2024, 10, 546–551. [Google Scholar] [CrossRef]
- Jin, D.; Wang, W.; Wei, W.; Liu, W.; Wang, B.; Lu, X. Impact shaking test on excess pore pressure development and water film generation in layered sands. Soil. Dyn. Earthq. Eng. 2024, 184, 108826. [Google Scholar] [CrossRef]
- Özener, P.T.; Özaydin, K.; Berilgen, M. Numerical and physical modeling of liquefaction mechanisms in layered sands. In Geotechnical Earthquake Engineering and Soil Dynamics IV; ASCE: Reston, VA, USA, 2008; pp. 1–12. [Google Scholar]
- Ecemis, N. Experimental and numerical modeling on the liquefaction potential and ground settlement of silt-interlayered stratified sands. Soil. Dyn. Earthq. Eng. 2021, 144, 106691. [Google Scholar] [CrossRef]
- Dashti, S.; Bray, J.D.; Pestana, J.M.; Riemer, M.; Wilson, D. Centrifuge Testing to Evaluate and Mitigate Liquefaction-Induced Building Settlement Mechanisms. J. Geotech. Geoenviron. Eng. 2010, 136, 918–929. [Google Scholar] [CrossRef]
- Dashti, S.; Bray, J.D.; Pestana, J.M.; Riemer, M.; Wilson, D. Mechanisms of Seismically Induced Settlement of Buildings with Shallow Foundations on Liquefiable Soil. J. Geotech. Geoenviron. Eng. 2010, 136, 151–164. [Google Scholar] [CrossRef]
- Bertalot, D.; Brennan, A.J. Influence of initial stress distribution on liquefaction-induced settlement of shallow foundations. Géotechnique 2015, 65, 418–428. [Google Scholar] [CrossRef]
- Bullock, Z.; Karimi, Z.; Dashti, S.; Porter, K.; Liel, A.B.; Franke, K.W. A physics-informed semi-empirical probabilistic model for the settlement of shallow-founded structures on liquefiable ground. Géotechnique 2018, 69, 406–419. [Google Scholar] [CrossRef]
- Adamidis, O.; Madabhushi, S.P.G. Experimental investigation of drainage during earthquake-induced liquefaction. Géotechnique 2018, 68, 655–665. [Google Scholar] [CrossRef]
- Kuo, Y.S.; Chong, K.J.; Tseng, Y.H.; Hsu, H.T. Excess pore water pressure response of soil inside the mini bucket embedded in saturated soil under seismic loading. Soil. Dyn. Earthq. Eng. 2024, 182, 108751. [Google Scholar] [CrossRef]
- Adamidis, O.; Madabhushi, G.S.P. Post-liquefaction reconsolidation of sand. Proc. R. Soc. A Math. Phys. Eng. Sci. 2016, 472, 20150745. [Google Scholar] [CrossRef]
- Darby, K.M.; Boulanger, R.W.; DeJong, J.T. Effect of partial drainage on cyclic strengths of saturated sands in dynamic centrifuge tests. J. Geotech. Geoenviron. Eng. 2019, 145, 4019089. [Google Scholar] [CrossRef]
- Darby, K.M.; Boulanger, R.W.; DeJong, J.T.; Bronner, J.D. Progressive Changes in Liquefaction and Cone Penetration Resistance across Multiple Shaking Events in Centrifuge Tests. J. Geotech. Geoenviron. Eng. 2019, 145, 04018112. [Google Scholar] [CrossRef]
- Ghazy, M.E.; Abdoun, T.; Dobry, R.; El-Sekelly, W. Centrifuge modeling-of-models investigation on earthquake-induced excess pore pressure behavior of silty sand. Soil. Dyn. Earthq. Eng. 2024, 185, 108906. [Google Scholar] [CrossRef]
- Sinha, S.K.; Ziotopoulou, K.; Kutter, B.L. Effects of excess pore pressure redistribution in liquefiable layers. J. Geotech. Geoenviron. Eng. 2024, 150, 4024014. [Google Scholar] [CrossRef]
- Ma, H.-L.; Feng, X.-L.; Liu, L.-L.; Zhang, A.; Wang, D. Changes in the effective absolute permeability of hydrate-bearing sands during isotropic loading and unloading. Pet. Sci. 2025, in press. [Google Scholar] [CrossRef]
- Cubrinovski, M.; Rhodes, A.; Ntritsos, N.; Van Ballegooy, S. System response of liquefiable deposits. Soil Dyn. Earthq. Eng. 2018, 124, 212–229. [Google Scholar] [CrossRef]
- Choi, Y.; Kumar, K. A machine learning approach to predicting pore pressure response in liquefiable sands under cyclic loading. In Geo-Congress 2023; ASCE: Reston, VA, USA, 2023; pp. 202–210. [Google Scholar]
- Biondi, G. Instabilità Sismica Dei Pendii Sabbiosi Causata da Incrementi di Pressione Interstiziale. Ph.D. Thesis, University of Catania, Catania, Italy, 2002. [Google Scholar]
- Seed, H.B.; Martin, P.P.; Lysmer, J. Pore-water pressure changes during soil liquefaction. J. Geotech. Eng. Div. 1976, 102, 323–346. [Google Scholar] [CrossRef]
- Seed, H.B.; Booker, J.R. Stabilization of potentially liquefiable sand deposits using gravel drains. J. Geotech. Eng. Div. 1977, 103, 757–768. [Google Scholar] [CrossRef]
- Fardis, M.N.; Veneziano, D. Statistical analysis of sand liquefaction. J. Geotech. Eng. Div. 1981, 107, 1361–1377. [Google Scholar] [CrossRef]
- Chang, C.S.; Kuo, C.L.; Selig, E.T. Pore pressure development during cyclic loading. J. Geotech. Eng. 1983, 109, 103–107. [Google Scholar] [CrossRef]
- Pierce, W.G. Constitutive Relations for Saturated Sand Under Undrained Cyclic Loading (Pore Pressure, Plasticity); Rensselaer Polytechnic Institute: Troy, NY, USA, 1985. [Google Scholar]
- Mitchell, R.J.; Dubin, B.I. Pore pressure generation and dissipation in dense sands under cyclic loading. Can. Geotech. J. 1986, 23, 393–398. [Google Scholar] [CrossRef]
- Egglezos, D.N.; Bouckovalas, G.D. Analytical relationships for earthquake induced pore pressure in sand, clay and silt. In Proceedings of the 11th European Conference on Earthquake Engineering, Paris, France, 6–11 September 1998. [Google Scholar]
- Martin, G.R.; Seed, H.B.; Finn, W.D.L. Fundamentals of liquefaction under cyclic loading. J. Geotech. Eng. Div. 1975, 101, 423–438. [Google Scholar] [CrossRef]
- Nemat-Nasser, S.; Shokooh, A. A unified approach to densification and liquefaction of cohesionless sand in cyclic shearing. Can. Geotech. J. 1979, 16, 659–678. [Google Scholar] [CrossRef]
- Tsatsanifos, C.P.; Sarma, S.K. Pore pressure rise during cyclic loading of sands. J. Geotech. Eng. Div. 1982, 108, 315–319. [Google Scholar] [CrossRef]
- Booker, J.R.; Rahman, M.S.; Seed, H.B. GADFLEA: A Computer Program for the Analysis of Pore Pressure Generation and Dissipation During Cyclic or Earthquake Loading; Earthquake Engineering Research Center, California University: Berkeley, CA, USA, 1976. [Google Scholar]
- Pan, K.; Yang, Z.X. Effects of initial static shear on cyclic resistance and pore pressure generation of saturated sand. Acta Geotech. 2018, 13, 473–487. [Google Scholar] [CrossRef]
- Seed, H.B. Representation of Irregular Stress Time Histories by Equivalent Uniform Stress Series in Liquefaction Analyses; College of Engineering, University of California: Berkeley, CA, USA, 1975. [Google Scholar]
- Annaki, M.; Lee, K.L. Equivalent uniform cycle concept for soil dynamics. J. Geotech. Eng. Div. 1977, 103, 549–564. [Google Scholar] [CrossRef]
- Liu, A.H.; Stewart, J.P.; Abrahamson, N.A.; Moriwaki, Y. Equivalent number of uniform stress cycles for soil liquefaction analysis. J. Geotech. Geoenviron. Eng. 2001, 127, 1017–1026. [Google Scholar] [CrossRef]
- Green, R.A.; Terri, G.A. Number of equivalent cycles concept for liquefaction evaluations—Revisited. J. Geotech. Geoenviron. Eng. 2005, 131, 477–488. [Google Scholar] [CrossRef]
- Keshty, Y.; Carey, T.J. Optimizing Magnitude Scaling Relationships in Simplified Liquefaction Triggering Procedures Using Ground Motion Intensity Measures. J. Geotech. Geoenviron. Eng. 2025, 151, 4025119. [Google Scholar] [CrossRef]
- Biondi, G.; Cascone, E.; Di Filippo, G. Affidabilità di alcune correlazioni empiriche per la stima del numero di cicli di carico equivalente. Riv. Ital. Geotec. 2012, 46, 9–39. [Google Scholar]
- Hashash, Y.; Phillips, C.; Groholski, D.R. Recent advances in non-linear site response analysis. In Proceedings of the 5th International Conference on Recent Advances in Geotechnical Earthquake Engineering and Soil Dynamics, San Diego, CA, USA, 24–29 May 2010. [Google Scholar]
- Dobry, R.; Pierce, W.G.; Dyvik, R.; Thomas, G.E.; Ladd, R.S. Pore Pressure Model for Cyclic Straining of Sand; Rensselaer Polytech Institute: Troy, NY, USA, 1985. [Google Scholar]
- Youd, T.L. Compaction of sands by repeated shear straining. J. Soil. Mech. Found. Div. 1972, 98, 709–725. [Google Scholar] [CrossRef]
- Green, R.A.; Mitchell, J.K.; Polito, C.P. An energy-based excess pore pressure generation model for cohesionless soils. In Proceedings of the John Booker Memorial Symposium, Sidney Australia; AA Balkema Publishers: Rotterdam, The Netherlands, 2000. [Google Scholar]
- Chen, G.; Zhao, D.; Chen, W.; Juang, C.H. Excess pore-water pressure generation in cyclic undrained testing. J. Geotech. Geoenviron. Eng. 2019, 145, 4019022. [Google Scholar] [CrossRef]
- Chiaradonna, A.; Tropeano, G.; d’Onofrio, A.; Silvestri, F. A Simplified Method for Pore Pressure Buildup Prediction: From Laboratory Cyclic Tests to the 1D Soil Response Analysis in Effective Stress Conditions. Procedia Eng. 2016, 158, 302–307. [Google Scholar] [CrossRef]
- Chiaradonna, A.; Tropeano, G.; d’Onofrio, A.; Silvestri, F. Development of a simplified model for pore water pressure build-up induced by cyclic loading. Bull. Earthq. Eng. 2018, 16, 3627–3652. [Google Scholar] [CrossRef]
- Park, T.; Park, D.; Ahn, J.K. Pore pressure model based on accumulated stress. Bull. Earthq. Eng. 2015, 13, 1913–1926. [Google Scholar] [CrossRef]
- Chiaradonna, A.; Flora, A.; d’Onofrio, A.; Bilotta, E. A pore water pressure model calibration based on in-situ test results. Soils Found. 2020, 60, 327–341. [Google Scholar] [CrossRef]
- Beaty, M.H.; Byrne, P.M. UBCSAND Constitutive Model Version 904aR. Documentation Report: UBCSAND Constitutive Model on Itasca UDM Web Site. Documentation Report. 2011; 69(3), 27. Available online: https://www.researchgate.net/profile/Dinesh-Natarajan-2/post/Anyone_have_UBCSand_dll_in_FLAC2D_version_7/attachment/5b5753474cde265cb6513b51/AS%3A651955059822602%401532449607724/download/UBCSand.zip (accessed on 23 January 2026).
- Elgamal, A.; Yang, Z.; Parra, E. Computational modeling of cyclic mobility and post liquefaction site response. Soil. Dyn. Earthq. Eng. 2002, 22, 259–271. [Google Scholar] [CrossRef]
- Dafalias, Y.F.; Manzari, M.T. Simple plasticity sand model accounting for fabric change effects. J. Eng. Mech. 2004, 130, 622–634. [Google Scholar] [CrossRef]
- Boulanger, R.; Ziotopoulou, K. PM4Sand (Version 2): A Sand Plasticity Model for Earthquake Engineering Applications; UCD/CGM-12, 1; Center for Geotechnical Modeling, University of California: Davis, CA, USA, 2012. [Google Scholar]
- Dobry, R.; Ladd, R.S.; Yokel, F.Y.; Chung, R.M.; Powell, D. Prediction of Pore Water Pressure Buildup and Liquefaction of Sands During Earthquakes by the Cyclic Strain Method: Building Science Series; National Bureau of Standards: Washington, DC, USA, 1982. [Google Scholar]
- de Cristofaro, M.; Olivares, L.; Orense, R.P.; Asadi, M.S.; Netti, N. Liquefaction of Volcanic Soils: Undrained Behavior under Monotonic and Cyclic Loading. J. Geotech. Geoenviron. Eng. 2022, 148, 04021176. [Google Scholar] [CrossRef]
- Scott, R.F. Principles of Soil Mechanics; Addison-Wesley: Boston, MA, USA, 1963. [Google Scholar]
- Lambe, T.W.; Whitman, R.V. Soil Mechanics SI Version; John Wiley & Sons: Hoboken, NJ, USA, 2008. [Google Scholar]
- Polito, C.P.; Green, R.A.; Lee, J. Pore Pressure Generation Models for Sands and Silty Soils Subjected to Cyclic Loading. J. Geotech. Geoenviron. Eng. 2008, 134, 1490–1500. [Google Scholar] [CrossRef]
- Ramirez, J.; Barrero, A.R.; Chen, L.; Dashti, S.; Ghofrani, A.; Taiebat, M.; Arduino, P. Supplemental data. Site Response in a Layered Liquefiable Deposit: Evaluation of Different Numerical Tools and Methodologies with Centrifuge Experimental Results. J. Geotech. Geoenviron. Eng. 2018, 144, 04018073. [Google Scholar] [CrossRef]
- Boccieri, G.; Gaudio, D.; Conti, R. An uncoupled approach for estimating seismic-induced pore water pressures in liquefiable sandy soils. Comput. Geotech. 2024, 170, 106266. [Google Scholar] [CrossRef]
- Matasovic, N.; Hashash, Y.M.A. Practices and Procedures for Site-Specific Evaluations of Earthquake Ground Motions; National Academies of Sciences and Medicine: Washington, DC, USA, 2012. [Google Scholar]
- Dobry, R.; El-Sekelly, W.; Abdoun, T. Calibration of non-linear effective stress code for seismic analysis of excess pore pressures and liquefaction in the free field. Soil. Dyn. Earthq. Eng. 2018, 107, 374–389. [Google Scholar] [CrossRef]
- He, H.; Miao, Y.; Wang, S. Reproducing nonlinear ground response and pore pressure variations using in-situ soil properties. Soil. Dyn. Earthq. Eng. 2025, 194, 109380. [Google Scholar] [CrossRef]
- Matasović, N.; Vucetic, M. Cyclic characterization of liquefiable sands. J. Geotech. Eng. 1993, 119, 1805–1822. [Google Scholar] [CrossRef]
- Montoya-Noguera, S.; Lopez-Caballero, F. Effect of coupling excess pore pressure and deformation on nonlinear seismic soil response. Acta Geotech. 2016, 11, 191–207. [Google Scholar] [CrossRef]
- Chen, G.; Wang, Y.; Zhao, D.; Zhao, K.; Yang, J. A new effective stress method for nonlinear site response analyses. Earthq. Eng. Struct. Dyn. 2021, 50, 1595–1611. [Google Scholar] [CrossRef]
- Castelli, F.; Grasso, S.; Lentini, V.; Sammito, M. Calibration of the UBC3D-PLM soil model from Dilatometer Marchetti Test (DMT) for the liquefaction behaviour and cyclic resistance ratio (CRR) of sandy soils. Soil. Dyn. Earthq. Eng. 2024, 187, 109002. [Google Scholar] [CrossRef]
- Seed, H.B.; Idriss, I.M. Simplified procedure for evaluating soil liquefaction potential. J. Soil. Mech. Found. Div. 1971, 97, 1249–1273. [Google Scholar] [CrossRef]
- Committee on State of the Art and Practice in Earthquake Induced Soil Liquefaction Assessment, Board on Earth Sciences and Resources, Division on Earth and Life Studies, National Academies of Sciences, Engineering, and Medicine. State of the Art and Practice in the Assessment of Earthquake-Induced Soil Liquefaction and Its Consequences; National Academies Press: Washington, DC, USA, 2016. [Google Scholar]
- Boulanger, R.W.; Idriss, I.M. CPT and SPT Based Liquefaction Triggering Procedures; UCD/CGM-14 1; University of California: Davis, CA, USA, 2014. [Google Scholar]
- Idriss, I.M.; Boulanger, R.W. Soil Liquefaction During Earthquakes; Earthquake Engineering Research Institute: Oakland, CA, USA, 2008. [Google Scholar]
- Robertson, P.K.; Wride, C.E. Evaluating cyclic liquefaction potential using the cone penetration test. Can. Geotech. J. 1998, 35, 442–459. [Google Scholar] [CrossRef]
- Olson, S.M.; Mei, X.; Hashash, Y.M.A. Nonlinear site response analysis with pore-water pressure generation for liquefaction triggering evaluation. J. Geotech. Geoenviron. Eng. 2020, 146, 4019128. [Google Scholar] [CrossRef]
- NTC. Aggiornamento Delle Norme Tecniche per le Costruzioni; Official Journal of the Italian Republic: Rome, Italy, 2018. [Google Scholar]
- Chiaradonna, A.; Monaco, P. DMT-based liquefaction triggering procedure accounting for the fines content effect. Soil. Dyn. Earthq. Eng. 2025, 199, 109668. [Google Scholar] [CrossRef]
- Andrus, R.D.; Stokoe, K.H., II. Liquefaction resistance of soils from shear-wave velocity. J. Geotech. Geoenviron. Eng. 2000, 126, 1015–1025. [Google Scholar] [CrossRef]
- Kayen, R.E.; Mitchell, J.K.; Seed, R.B.; Lodge, A.; Nishio, S.Y.; Coutinho, R. Evaluation of SPT-, CPT-, and shear wave-based methods for liquefaction potential assessment using Loma Prieta data. In Technical Report NCEER; US National Center for Earthquake Engineering Research: Buffalo, NY, USA, 1992; pp. 177–204. [Google Scholar]
- Castro, G. Liquefaction and cyclic mobility of saturated sands. J. Geotech. Eng. Div. 1975, 101, 551–569. [Google Scholar] [CrossRef]
- Kramer, S.L. Geotechnical Earthquake Engineering; Pearson Education India: Bengaluru, India, 1996. [Google Scholar]
- Kramer, S.L.; Stewart, J.P. Geotechnical Earthquake Engineering; CRC Press: Boca Raton, FL, USA, 2024. [Google Scholar]
- Iwasaki, T.; Arakawa, T.; Tokida, K. Simplified Procedures for Assesing Soil Liquefaction During Earthquakes. Soil. Dyn. Earthq. Eng. 1984, 3, 49–58. [Google Scholar]
- Marcuson, W.F., III; Hynes, M.E.; Franklin, A.G. Evaluation and use of residual strength in seismic safety analysis of embankments. Earthq. Spectra 1990, 6, 529–572. [Google Scholar] [CrossRef]
- Chiaradonna, A.; Flora, A. On the estimate of seismically induced pore-water pressure increments before liquefaction. Geotech. Lett. 2020, 10, 128–134. [Google Scholar] [CrossRef]
- Chiaradonna, A.; Monaco, P.; Karakan, E.; Lanzo, G.; Sezer, A.; Karray, M. Geotechnical Assessment of the Pore Water Pressure Build-Up in Izmir During the October 30, 2020, Samos Earthquake. In Proceedings of the International Conference on Natural Hazards and Infrastructure, Athens, Greece, 5–7 July 2022. [Google Scholar]
- Chiaradonna, A. Valutazione del Potenziale di liquefazione dei terreni. Metodi di analisi e applicazioni. In Collection of Books: Argomenti di Ingegneria Geotecnica 32; Hevelius Edizioni: Benevento, Italy, 2020; 150p, ISBN 978-88-86977-97-5. (In Italian) [Google Scholar]
- Tropeano, G.; Chiaradonna, A.; d’Onofrio, A.; Silvestri, F. A Numerical Model for Non-Linear Coupled Analysis on Seismic Response of Liquefiable Soils. Comput. Geotech. 2019, 105, 211–227. [Google Scholar] [CrossRef]
- Minarelli, L.; Amoroso, S.; Civico, R.; De Martini, P.M.; Lugli, S.; Martelli, L.; Molisso, F.; Rollins, K.M.; Salocchi, A.; Stefani, M.; et al. Liquefied sites of the 2012 Emilia earthquake: A comprehensive database of the geological and geotechnical features (Quaternary alluvial Po plain, Italy). Bull. Earthq. Eng. 2022, 20, 3659–3697. [Google Scholar] [CrossRef]
- Flora, A.; Bilotta, E.; Chiaradonna, A.; Lirer, S.; Mele, L.; Pingue, L. A field trial to test the efficiency of induced partial saturation and horizontal drains to mitigate the susceptibility of soils to liquefaction. Bull. Earthq. Eng. 2021, 19, 3835–3864. [Google Scholar] [CrossRef]
- Flora, A.; Chiaradonna, A.; Bilotta, E.; Fasano, G.; Mele, L.; Lirer, S.; Pingue, L.; Fanti, F. Field tests to assess the effectiveness of ground improvement for liquefaction mitigation. In Earthquake Geotechnical Engineering for Protection and Development of Environment and Constructions; CRC Press: Boca Raton, FL, USA, 2019; pp. 740–752. [Google Scholar]
- Chiaradonna, A.; Lirer, S.; Flora, A. A liquefaction potential integral index based on pore pressure build-up. Eng. Geol. 2020, 272, 105620. [Google Scholar] [CrossRef]
- Pacor, F.; Paolucci, R.; Luzi, L.; Sabetta, F.; Spinelli, A.; Gorini, A.; Nicoletti, M.; Marcucci, S.; Filippi, L.; Dolce, M. Overview of the Italian strong motion database ITACA 1.0. Bull. Earthq. Eng. 2011, 9, 1723–1739. [Google Scholar] [CrossRef]
- Kottke, A.R.; Wang, X.; Rathje, E.M. Strata Technical Manual; Pacific Earthquake Engineering Research Center: Berkeley, CA, USA, 2018. [Google Scholar]
- Meletti, C.; Montaldo, V.; Stucchi, M.; Martinelli, F. Database Della Pericolosità Sismica MPS04; Istituto Nazionale di Geofisica e Vulcanologia (INGV): Roma, Italy, 2006. [Google Scholar]
- Stucchi, M.; Meletti, C.; Montaldo, V.; Crowley, H.; Calvi, G.M.; Boschi, E. Seismic hazard assessment (2003–2009) for the Italian building code. Bull. Seismol. Soc. Am. 2011, 101, 1885–1911. [Google Scholar] [CrossRef]
- Tonni, L.; Gottardi, G.; Amoroso, S.; Bardotti, R.; Bonzi, L.; Chiaradonna, A.; d’Onofrio, A.; Fioravante, V.; Ghinelli, A.; Giretti, D.; et al. Analisi dei fenomeni deformativi indotti dalla sequenza sismica emiliana del 2012 su un tratto di argine del Canale Diversivo di Burana. Riv. Ital. Di Geotec. 2015, 49, 28–58. [Google Scholar]
- Chiaradonna, A.; Tropeano, G.; d’Onofrio, A.; Silvestri, F. Interpreting the deformation phenomena of a levee damaged during the 2012 Emilia earthquake. Soil Dyn. Earthq. Eng. 2019, 124, 389–398. [Google Scholar] [CrossRef]
- Idriss, I.M. An update to the Seed-Idriss simplified procedure for evaluating liquefaction potential. In Proceedings: TRB Worshop on New Approaches to Liquefaction; Pubbl. n. FHWA-RD-99-165; Federal Highway Administration: Washington, DC, USA, 1999. [Google Scholar]
- Itasca Consulting Group. An Introduction to FLAC 8 and a Guide to Its Practical Application in Geotechnical Engineering-Online Manual. 2015. Available online: https://itasca-downloads.s3.amazonaws.com/documents/software/manuals/FLAC8Basics.pdf (accessed on 23 January 2026).
- Boulanger, R.W.; Ziotopoulou, K. PM4Sand (Version 3.1): A Sand Plasticity Model for Earthquake Engineering Applications; UCD/CGM-17/01; Center for Geotechnical Modelling, Department of Civil and Environmental Engineering, University of California: Davis, CA, USA, 2017; 108p. [Google Scholar]
- Boulanger, R.W.; Ziotopoulou, K. PM4Silt (Version 1): A Silt Plasticity Model for Earthquake Engineering Applications; Report No. UCD/CGM-18/01; Center for Geotechnical Modelling, Department of Civil and Environmental Engineering; University of California: Davis, CA, USA, 2018. [Google Scholar]
- Hutabarat, D.; Bray, J.D. Effective stress analysis of liquefiable sites to estimate the severity of sediment ejecta. J. Geotech. Geoenviron. Eng. 2021, 147, 4021024. [Google Scholar] [CrossRef]
- Hutabarat, D.; Bray, J.D. Estimating the severity of liquefaction ejecta using the cone penetration test. J. Geotech. Geoenviron. Eng. 2022, 148, 4021195. [Google Scholar] [CrossRef]
- Dhakal, R.; Ntritsos, N.; Cubrinovski, M. Evaluation of liquefaction ejecta potential from case histories and insights from nonlinear dynamic analyses. J. Geotech. Geoenviron. Eng. 2026, 152, 4025174. [Google Scholar] [CrossRef]
- Chiaradonna, A.; d’Onofrio, A.; Bilotta, E. Assessment of post-liquefaction consolidation settlement. Bull. Earthq. Eng. 2019, 17, 5825–5848. [Google Scholar] [CrossRef]
- Cascone, E.; Biondi, G.; Casablanca, O. Influence of earthquake-induced excess pore water pressures on seismic bearing capacity of shallow foundations. In Earthquake Geotechnical Engineering for Protection and Development of Environment and Constructions; CRC Press: Boca Raton, FL, USA, 2019; pp. 566–581. [Google Scholar]
- Noda, T.; Yamada, S.; Nonaka, T.; Tashiro, M. Study on the pore water pressure dissipation method as a liquefaction countermeasure using soil–water coupled finite deformation analysis equipped with a macro-element method. Soils Found. 2015, 55, 1129–1138. [Google Scholar] [CrossRef]
- Chian, S.C.; Du, S. Understanding Excess Pore Water Dissipation in Soil Liquefaction Mitigation. In Conference on Performance-Based Design in Earthquake. Geotechnical Engineering; Springer: Berlin/Heidelberg, Germany, 2022; pp. 353–362. [Google Scholar]
- Huang, S.; Zhai, S.; Liu, Y.; Liu, C.; Goda, K.; Mou, B. Seismic behavior analysis of the bank slope considering the effect of earthquake-induced excess pore water pressure. Front. Earth Sci. 2021, 9, 799612. [Google Scholar] [CrossRef]
- Hu, J.; Chen, Q.; Liu, H. Relationship between earthquake-induced uplift of rectangular underground structures and the excess pore water pressure ratio in saturated sandy soils. Tunn. Undergr. Space Technol. 2018, 79, 35–51. [Google Scholar] [CrossRef]
- Maurer, B.W.; Green, R.A.; Cubrinovski, M.; Bradley, B.A. Evaluation of the liquefaction potential index for assessing liquefaction hazard in Christchurch, New Zealand. J. Geotech. Geoenviron. Eng. 2014, 140, 4014032. [Google Scholar] [CrossRef]
- Ziotopoulou, K.; Boulanger, R.W. Calibration and implementation of a sand plasticity plane-strain model for earthquake engineering applications. Soil. Dyn. Earthq. Eng. 2013, 53, 268–280. [Google Scholar] [CrossRef]
- Ntritsos, N.; Cubrinovski, M. A CPT-based effective stress analysis procedure for liquefaction assessment. Soil. Dyn. Earthq. Eng. 2020, 131, 106063. [Google Scholar] [CrossRef]
- Merli, A.; Dezi, F.; Tropeano, G.; Chiaradonna, A.; d’Onofrio, A. Site response analysis in effective stress of a coastal area in the North-Western Adriatic region (Italy). In Earthquake Geotechnical Engineering for Protection and Development of Environment and Constructions; CRC Press: Boca Raton, FL, USA, 2019; pp. 3893–3900. [Google Scholar]
- Banca Dati delle Prove Geognostiche della Regione Emilia-Romagna. Available online: https://servizimoka.regione.emilia-romagna.it/mokaApp/apps/geg/index.html (accessed on 23 January 2026).
- Porcino, D.; Diano, V. Laboratory study on pore pressure generation and liquefaction of low-plasticity silty sandy soils during the 2012 earthquake in Italy. J. Geotech. Geoenviron. Eng. 2016, 142, 4016048. [Google Scholar] [CrossRef]
- Chiaradonna, A.; Mohammadi, R.; Monaco, P. Simulation of the Seismic Response of a Man-Made Well-Graded Gravel as Recorded by a Vertical Instrumented Array. In Geo-Congress 2024; ASCE: Reston, VA, USA, 2024; pp. 132–140. [Google Scholar]
- Itasca Consulting Group. FLAC—Fast Lagrangian Analysis of Continua; User’s Guide; Itasca Consulting Group: Minneapolis, MN, USA, 2021. [Google Scholar]
- Ziotopoulou, A. Evaluating model uncertainty against strong motion records at liquefiable sites. In Masters Abstracts International; ProQuest: Ann Arbor, MI, USA, 2010. [Google Scholar]











| Parameter | SS1 | SS2 | SS3 | GSS1 | Clay1 | GSS2 | Clay2 |
|---|---|---|---|---|---|---|---|
| Apparent relative density DR | 0.38 | 0.38 | 0.38 | 0.35 | - | 0.35 | - |
| Undrained shear strength su/σ’v0 | - | - | - | - | 0.25 | - | 0.25 |
| Shear modulus coefficient, Go | 1769 | 1021 | 791 | 548 | 511 | 534 | 473 |
| Contraction rate parameter, hpo | 0.7 | 0.7 | 0.7 | 0.82 | 26 | 0.85 | 27 |
| Method | Type of Computation | Type of Dynamic Analysis | Data for Seismic Demand | Data for Cyclic Soil Resistance | Calibration Effort | Computational Effort | |
|---|---|---|---|---|---|---|---|
| Synthetic | Level Aa | Analytic | - | Max acceleration, magnitude | In situ test | - | Very low |
| Level Ab | Analytic | - | Max acceleration, magnitude | Cyclic Resistance Curve | - | Very low | |
| Level Ba | Numerical | Total stress | Time history of the input motion | In situ tests | - | Low/ Medium | |
| Level Bb | Numerical | Total stress | Time history of the input motion | Cyclic Resistance curve | - | Low/ Medium | |
| Simplified | Numerical | Total stress | Time history of the input motion | PWP model | Low | Low/ Medium | |
| Approximate | Numerical | Loosely coupled effective stress | Time history of the input motion | Cyclic response + PWP model | Low/ Medium | Low/ Medium | |
| Rigorous | Numerical | Fully coupled effective stress | Time history of the input motion | Advanced soil constitutive model | High | High | |
Disclaimer/Publisher’s Note: The statements, opinions and data contained in all publications are solely those of the individual author(s) and contributor(s) and not of MDPI and/or the editor(s). MDPI and/or the editor(s) disclaim responsibility for any injury to people or property resulting from any ideas, methods, instructions or products referred to in the content. |
© 2026 by the author. Licensee MDPI, Basel, Switzerland. This article is an open access article distributed under the terms and conditions of the Creative Commons Attribution (CC BY) license.
Share and Cite
Chiaradonna, A. Estimating Earthquake-Induced Pore Water Pressure: Hierarchy of Existing Methods. Geosciences 2026, 16, 61. https://doi.org/10.3390/geosciences16020061
Chiaradonna A. Estimating Earthquake-Induced Pore Water Pressure: Hierarchy of Existing Methods. Geosciences. 2026; 16(2):61. https://doi.org/10.3390/geosciences16020061
Chicago/Turabian StyleChiaradonna, Anna. 2026. "Estimating Earthquake-Induced Pore Water Pressure: Hierarchy of Existing Methods" Geosciences 16, no. 2: 61. https://doi.org/10.3390/geosciences16020061
APA StyleChiaradonna, A. (2026). Estimating Earthquake-Induced Pore Water Pressure: Hierarchy of Existing Methods. Geosciences, 16(2), 61. https://doi.org/10.3390/geosciences16020061
