The Exotic Igneous Clasts Attributed to the Cuman Cordillera: Insights into the Makeup of a Cadomian/Pan-African Basement Covered by the Moldavides of the Eastern Carpathians, Romania
Abstract
1. Introduction
2. Geological Setting

3. Samples and Analytical Methods
3.1. Petrographic Analysis
3.2. Geochemical Analysis
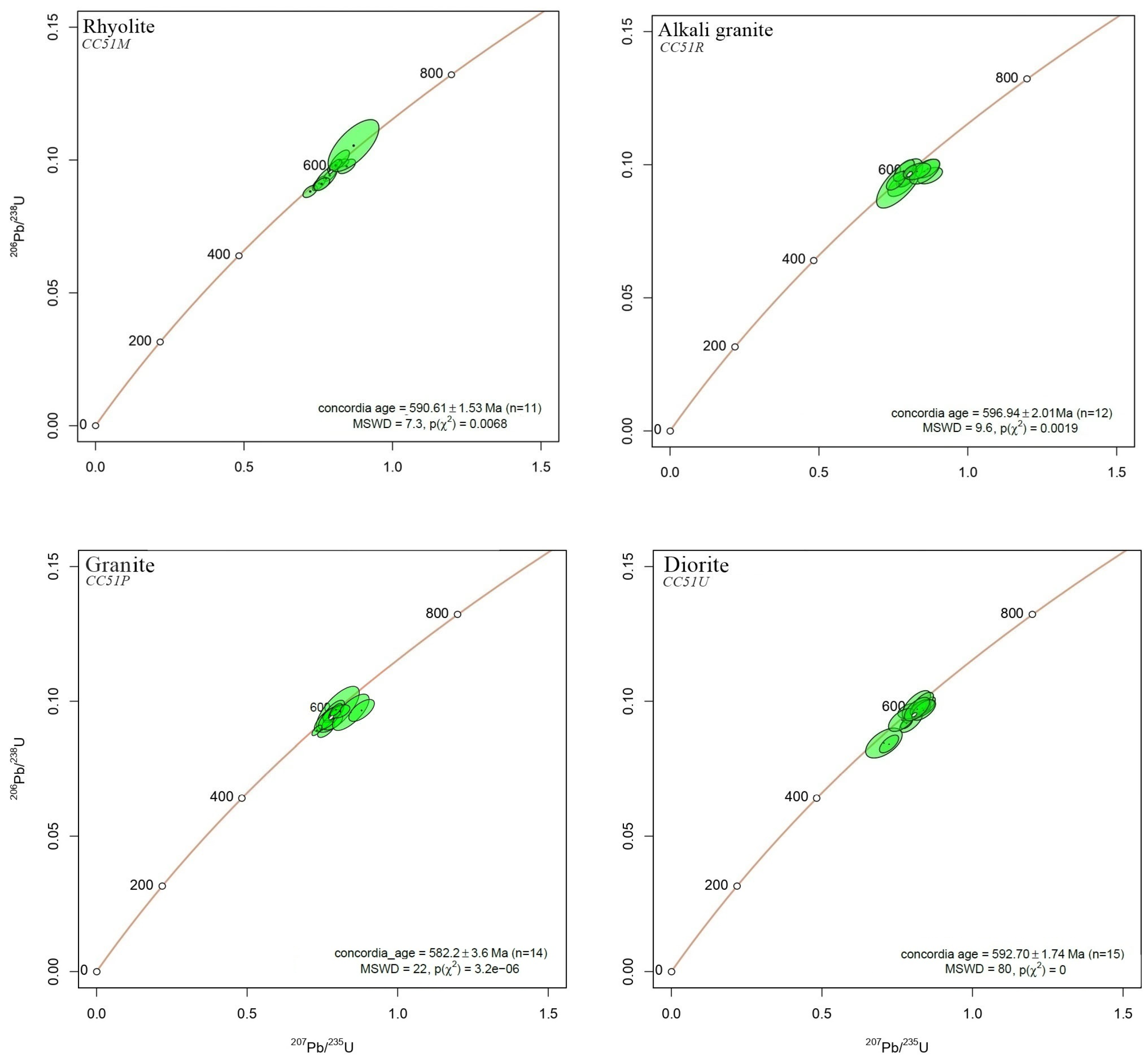
3.3. U-Pb Dating
3.4. Calcareous Nannofossil Analysis
4. Results
4.1. Calcareous Nannofossil Biostratigraphy
4.2. Petrography
4.3. SHRIMP Zircon U-Pb Ages
4.4. Geochemistry
5. Discussion
5.1. Magma Crystallization
5.2. Magmatic Conditions
5.3. Tectonomagmatic Affinities




5.4. Provenance of the Igneous Clasts Within the Cretaceous Successions of the Moldavides
5.5. Possible Correlations Involving the Rocks of the Cuman Cordillera

6. Summary and Conclusions
Supplementary Materials
Author Contributions
Funding
Data Availability Statement
Acknowledgments
Conflicts of Interest
References
- Balla, Z. Palaeotectonic reconstruction of the central Alpine-Mediterranean belt for the Neogene. Tectonophysics 1986, 127, 213–243. [Google Scholar] [CrossRef]
- Balla, Z. Tertiary palaeomagnetic data for the Carpatho-Pannonian region in the light of Miocene rotation kinematics. Tectonophysics 1987, 139, 67–98. [Google Scholar] [CrossRef]
- Ustaszewski, K.; Schmid, S.M.; Fügenschuh, B.; Tischler, M.; Kissling, E.; Spakman, W. A map-view restoration of the Alpine-Carpathian-Dinaridic system for the Early Miocene. Swiss J. Geosci. 2008, 101 (Suppl. 1), 273–294. [Google Scholar] [CrossRef]
- Bleahu, M. Zone de Subducţie in Carpaţii Româneşti. Dări Seamă Şedinţ. Inst. Geol. Rom. 1974, 60, 5–25. [Google Scholar]
- Săndulescu, M. Geotectonica României; Editura Tehnică: Bucharest, Romania, 1984. [Google Scholar]
- Săndulescu, M. Overview on Romanian geology, 2 Alcapa Congress, Field guidebook. Rom. J. Tecton. Reg. Geol. 1994, 75 (Suppl. 2), 3–15. [Google Scholar]
- Barbarin, B. Granitoids: Main petrogenetic classifications in relation to origin and tectonic setting. Geol. J. 1990, 25, 227–238. [Google Scholar] [CrossRef]
- Bonin, B.; Janoušek, V.; Moyen, J.F.; Janoušek, V.; Collins, W.J.; Farina, F.; Bowden, P. Post-Archean Granitic Rocks: Petrogenetic Processes and Tectonic Environments. Geol. Soc. Lond. Spec. Publ. 2020, 491, 9–51. [Google Scholar] [CrossRef]
- Roban, R.D.; Ducea, M.N.; Mațenco, L.; Panaiotu, G.C.; Profeta, L.; Krézsek, C.; Melinte-Dobrinescu, M.C.; Anastasiu, N.; Dimofte, D.; Apotrosoaiei, V.; et al. Lower Cretaceous provenance and sedimentary deposition in the Eastern Carpathians: Inferences for the evolution of the subducted oceanic domain and its European passive continental margin. Tectonics 2020, 39, e2019TC005780. [Google Scholar] [CrossRef]
- Filipescu, M.G.; Alexandrescu, G. Repartiţia gresiilor grosiere şi a arcozelor cu feldspat roşu în cretacicul Carpaţilor Orientali. Stud. Cercet. Geol. Geofiz. Geogr. Ser. Geol. 1962, 7, 241–248. [Google Scholar]
- Grigorescu, D.; Anastasiu, N. Coarse-grained clastic constituents of Cretaceous deposits from the black shales unit: Sedimentological significance. Stud. Cercet. Geol. Geofiz. Geogr. Ser. Geol. 1976, 21, 95–102. [Google Scholar]
- Balteş, N.; Antonescu, E.; Grigorescu, D.; Alexandrescu, G.; Micu, M. The black shales formation of the East Carpathians, Litho-biostratigraphy and oil potential. Anu. Inst. Geol. Geofiz. 1983, 59, 79–88. [Google Scholar]
- Melinte-Dobrinescu, M.C.; Roban, R.D. Cretaceous oxic-anoxic changes in the Romanian Carpathians. Sediment. Geol. 2011, 235, 79–90. [Google Scholar] [CrossRef]
- Roban, R.D.; Melinte-Dobrinescu, M.C. Lower Cretaceous lithofacies of the Audia Formation, Tarcău Nappe, Eastern Carpathians: Genetic significance and palaeoenvironments. Cretac. Res. 2012, 38, 52–67. [Google Scholar] [CrossRef]
- Ștefănescu, M. Stratigraphy and structure of Cretaceous and Paleogene flysch deposits between Prahova and Ialomiţa valleys. Rom. J. Tecton. Reg. Geol. 1995, 76, 4–49. [Google Scholar]
- Schmid, S.M.; Bernoulli, D.; Fugenschuh, B.; Matenco, L.; Schefer, S.; Schuster, R.; Tischler, M.; Ustaszewski, K. The Alpine-Carpathian-Dinaridic orogenic system: Correlation and evolution of tectonic units. Swiss J. Geosci. 2008, 101, 139–183. [Google Scholar] [CrossRef]
- Preda, D. Geologia și tectonica părții de răsărit a județului Prahova. Anu. Inst. Geol. Rom. 1925, 10, 13. [Google Scholar]
- Protescu, O.; Murgeanu, G. Géologie de la vallée de la Prahova entre Câmpina et Comarnic. In Guide des Excursions; Association pour l’Avancement de la Géologie des Carpates, II-e Réunion: Bucharest, Romania, 1927; 205p. [Google Scholar]
- Popescu-Voitești, I. Aperçu synthétique sur la structure des régions carpathiques. Rev. Muzeului Geol.-Mineral. Univ. Cluj 1929, 3, 35–36. [Google Scholar]
- Murgeanu, G. Ridicări geologice între Valea Ialomiței și V. Bărbulețului, la Nord de Pucioasa—Pietrari (Dâmbovița). Dări Seamă Şedinţ. Inst. Geol. Rom. 1930, 15, 84. [Google Scholar]
- Murgeanu, G. Sur une cordilière ante-sénonienne dans le geosynclinal du flysch carpatique. Dări Seamă Şedinţ. Inst. Geol. Rom. 1937, 21, 69–85. [Google Scholar]
- Filipescu, M.G. Note préliminaire sur les recherches géologiques dans la région comprise entre la Valea Teleajenului et la Valea Doftanei dans le district de Prahova. Extr. Comptes Rendus Séances Inst. Géol. Roum. 1933, 19, 9. [Google Scholar]
- Ștefănescu, M. Study of the Cretaceous Flysch in Fieni Zone; Unpublished Report; Archive of the Geological Institute of Romania: Bucharest, Romania, 1970; 30p. (In Romanian) [Google Scholar]
- Ștefănescu, M. Harta Geologică a României la scara 1:50.000, Foaia Comarnic; Editura Institutului Geologic al României: Bucharest, Romania, 1976. [Google Scholar]
- Ștefănescu, M.; Rădan, S.; Micu, M.; Mărunțeanu, M.; Ștefănescu, M. Harta Geologică a României la scara 1:50.000, Foaia Slănic (Prahova); Editura Institutului Geologic al României: Bucharest, Romania, 1978. [Google Scholar]
- Ștefănescu, M.; Ghenea, C.; Papianopol, I.; Ghenea, A.; Mihăilescu, N.; Ivan, V.; Munteanu, T.; Ștefănescu, M.; Munteanu, E. Harta Geologică a României la scara 1:50.000, Foaia Pucioasa; Editura Institutului Geologic al României: Bucharest, Romania, 1988. [Google Scholar]
- Codarcea, A. Étude micrographique des roches cristallines du Sénonien de Breaza. Extr. Comptes Rendus Séances Inst. Géol. Roum. 1937, 21, 85. [Google Scholar]
- Melinte, M.C.; Băceanu, I. Gresii cretacice şi terţiare din bazinul Bîsca Chiojdului (flişul extern al Carpaţilor Orientali). Anu. Inst. Geol. Rom. 1996, 69, 49–53. [Google Scholar]
- Bădescu, D. Tectono-Stratigraphic Evolution of the Eastern Carpathians During the Mesozoic and Cenozoic; Editura Economică: Bucharest, Romania, 2005; 308p. (In Romanian) [Google Scholar]
- Lőrincz, S.; Munteanu, M.; Dincă, G. First Mineral Chemistry Data on the Igneous Clasts from the Cretaceous Successions of the Moldavides (Eastern Carpathians, Romania): Insights into Magma Evolution and Geotectonic Setting. GeoEcoMarina 2024, 30, 163–172. [Google Scholar] [CrossRef]
- Williams, I.S.; Claesson, S. Isotopic evidence for the Precambrian provenance and Caledonian metamorphism of high grade paragneisses from the Seve Nappes, Scandinavian Caledonides, II, Ion microprobe U-Th-Pb. Contrib Miner. Pet. 1987, 97, 205–217. [Google Scholar] [CrossRef]
- Black, L.P.; Kamo, S.L.; Allen, C.M.; Aleinikoff, J.N.; Davis, D.W.; Korsch, R.J.; Foudoulis, C. TEMORA 1: A new zircon standard for Phanerozoic U–Pb geochronology. Chem. Geol. 2003, 200, 155–170. [Google Scholar] [CrossRef]
- Claoué-long, J.C.; Compston, W.; Roberts, J.; Fanning, C.M. Two Carboniferous ages: A comparison of SHRIMP zircon dating with conventional zircon ages and 40Ar/39Ar analysis. In Geochronology, Time Scales and Global Stratigraphic Correlation; Berggren, W.A., Kent, D.V., Aubry, M.P., Hardenbol, J., Eds.; SEPM: Tulsa, OK, USA, 1995. [Google Scholar] [CrossRef]
- Vermeesch, P. IsoplotR: A free and open toolbox for geochronology. Geosci. Front. 2018, 9, 1479–1493. [Google Scholar] [CrossRef]
- Bown, P.R.; Young, J.R. Techniques. In Calcareous Nannofossil Biostratigraphy; Bown, P.R., Ed.; British Micropalaeontological Society Publication Series; Chapman and Kluwer Academic: London, UK, 1998; pp. 16–28. [Google Scholar] [CrossRef]
- Perch-Nielsen, K. Mesozoic Calcareous Nannofossils. In Plankton Stratigraphy; Bolli, H.M., Saunders, J.B., Perch-Nielsen, K., Eds.; Cambridge University Press: Cambridge, UK, 1985; pp. 329–426. [Google Scholar]
- Burnett, J.A. Upper Cretaceous. In Calcareous Nannofossil Biostratigraphy; Bown, P.R., Ed.; British Micropalaeontological Society Publication Series; Kluwer Academic Publishing: Dordrecht, The Netherlands, 1998; pp. 132–199. [Google Scholar]
- Sissingh, W. Biostratigraphy of Cretaceous Calcareous Nannoplankton. Geol. Mijnb. 1977, 56, 37–65. [Google Scholar]
- Gradstein, F.M.; Ogg, J.; Schmitz, M.D.; Gradstein, G. The Geologic Time Scale 2012; Elsevier: Amsterdam, The Netherlands, 2012; 1144p. [Google Scholar] [CrossRef]
- Johannsen, A. A quantitative mineralogical classification of igneous rocks–revised, Part I. J. Geol. 1920, 28, 38–60. [Google Scholar] [CrossRef]
- Le Maître, R.W. (Ed.) A Classification of Igneous Rocks and Glossary of Terms; Blackwell Scientific Publications: Oxford, UK, 1989; 193p. [Google Scholar]
- Streckeisen, A.L.; Le Maître, R.W. A Chemical Approximation to the Modal QAPF Classification of the Igneous Rocks. Neues Jahrb. Mineral. Abh. 1979, 136, 169–206. [Google Scholar]
- Whalen, J.B.; Frost, C.D. The Q-ANOR Diagram: A Tool for the Petrogenetic and Tectonomagmatic Characterization of Granitic Suites. In Abstracts with Programs 45; Geological Society of America: Boulder, CO, USA, 2013; Volume 3, p. 24. [Google Scholar]
- Frost, B.R.; Barnes, C.G.; Collins, W.J.; Arculus, R.J.; Ellis, D.J.; Frost, C.D. A Geochemical Classification for Granitic Rocks. J. Petrol. 2001, 42, 2033–2048. [Google Scholar] [CrossRef]
- Sun, S.S.; Mcdonough, W.F. Chemical and isotopical systematics of oceanic basalts: Implications for mantle composition and processes, Magmatism in the Oceanic Basins. Geol. Soc. Lond. Spec. Publ. 1989, 42, 313–345. [Google Scholar] [CrossRef]
- Chappell, B.W.; White, A.J.R. Two contrasting granite types. Pac. Geol. 1974, 8, 173–174. [Google Scholar]
- Chappell, B.W.; White, A.J.R. Two contrasting granite types: 25 years later. Aust. J. Earth Sci. 2001, 48, 489–499. [Google Scholar] [CrossRef]
- Rudnick, R.L.; Gao, S. The Composition of the Continental Crust. In Treatise on Geochemistry; Holland, H.D., Turekian, K.K., Eds.; Elsevier-Pergamon: Oxford, UK, 2003; Volume 31, pp. 1–64. [Google Scholar] [CrossRef]
- Harangi, S.; Lenkey, L. Genesis of the Neogene to Quaternary Volcanism in the Carpathian-Pannonian Region: Role of Subduction, Extension, and Mantle Plume. In Cenozoic Volcanism in the Mediterranean Area; Beccaluva, L., Bianchini, G., Wilson, M., Eds.; Geological Society of America Special Paper; Geological Society of America: Boulder, CO, USA, 2007; Volume 418, pp. 67–92. [Google Scholar] [CrossRef]
- Whalen, J.B.; Currie, K.L.; Chappell, B.W. A-type granites: Geochemical characteristics, discrimination and petrogenesis. Contrib. Mineral. Petrol. 1987, 95, 407–419. [Google Scholar] [CrossRef]
- Shand, S.J. Eruptive Rocks: Their Genesis, Composition, and Classification, with a Chapter on Meteorites; John Willey and Sons: Hoboken, NJ, USA, 1943; 444p. [Google Scholar]
- Maniar, P.D.; Piccoli, P.M. Tectonic discrimination of granitoids. Bull. Geol. Soc. Am. 1989, 101, 635–643. [Google Scholar] [CrossRef]
- Wones, D.R.; Eugster, H.P. Stability of biotite: Experiment, theory, and application. Am. Mineral. 1965, 50, 1228–1272. [Google Scholar]
- Ishihara, S. The granitoid series and mineralization. Econ. Geol. 1981, 75, 458–484. [Google Scholar] [CrossRef]
- Pearce, J.A.; Harris, N.B.W.; Tindle, A.G. Trace Element Discrimination Diagrams for the Tectonic Interpretation of Granitic Rocks. J. Petrol. 1984, 25, 956–983. [Google Scholar] [CrossRef]
- Shabani, A.A.T.; Lalonde, A.E.; Whalen, J.B. Composition of biotite from granitic rocks of the Canadian Appalachian: A potential tectonomagmatic indicator? Can. Mineral. 2003, 41, 1381–1396. [Google Scholar] [CrossRef]
- Whalen, J.B.; Hildebrand, R.S. Trace element discrimination of arc, slab failure, and A-type granitic rocks. Lithos 2019, 348, 105179. [Google Scholar] [CrossRef]
- Hildebrand, R.S.; Whalen, J.B. The Tectonic Setting and Origin of Cretaceous Batholiths within the North American Cordillera: The Case for Slab Failure Magmatism and Its Significance for Crustal Growth. Geol. Soc. Am. Spec. Pap. 2017, 532, 113. [Google Scholar] [CrossRef]
- Filipescu, M.G. Etude physique des sables sénoniens de Breaza. Comptes Rendus Séances Inst. Géol. Roum. 1937, 21, 94–97. [Google Scholar]
- Filipescu, M.G. Sur la nature et l’âge du dépôt du soubassament du Sarmatien rencontré dans le forage du Horodnic. Bull. Sect. Sci. Acad. Roum. 1939, 21, 1–34. [Google Scholar]
- Ślaczka, A. Exotic-bearing shale from Bukowiec (Polish Eastern Carpathians). Rocz. Pol. Tow. Geol. 1961, 31, 129–143, (In Polish, English Summary). [Google Scholar]
- Ksiazkiewicz, M. (Ed.) Evolution of the Outer Carpathian Basins, Fascile 1–Cretaceous and Early Tertiary in the Polish External Carpathians. In Geological Atlas of Poland; Stratigraphic and Facial Problems; Instytut Geologiczny: Warsaw, Poland, 1962. [Google Scholar]
- Ślaczka, A.; Wieser, T. Shales with exotics in the Krosno beds of the Baligród region (Polish Eastern Carpathians). Kwart. Geol. 1962, 6, 662–677, (In Polish, English Summary). [Google Scholar]
- Ślaczka, A. (Ed.) Atlas of Paleotransport of Detrital Sediments in the Carpathian-Balkan Mountain System, Part I; Geological Institute: Warsaw, Poland, 1976. [Google Scholar]
- Danysh, V.V.; Elias, M.; Haas, J.; Kultchitsky, Y.O.; Lozynyak, P.Y.; Maslarevic, L.; Mihailescu, N.; Nachev, I.; Nemcok, J.; Obradovic, J.; et al. Atlas of Paleotransport of Detrital Sediments in the Carpathian-Balkan Mountain System, Part II; Hungarian Geological Institute: Budapest, Hungary, 1984. [Google Scholar]
- Golonka, J.; Krobicki, M.; Oszczypko, N.; Ślaczka, A.; Slomka, T. Geodynamic Evolution and Paleogeography of the Polish Carpathians and Adjacent Areas During Neo-Cimmerian; Geological Society, London, Special Publication: London, UK, 2003; Volume 208, pp. 138–158. [Google Scholar] [CrossRef]
- Golonka, J.; Gahagan, L.; Krobicki, M.; Marko, F.; Oszczypko, N.; Ślaczka, A. Plate-tectonic evolution and paleogeography of the Circum-Carpathian region. In The Carpathians and Their Foreland: Geology and Hydrocarbon Resources: AAPG Memoir; Golonka, J., Picha, F.J., Eds.; The American Association of Petroleum Geologists: Tulsa, OK, USA, 2005; Volume 84, pp. 11–46. [Google Scholar] [CrossRef]
- Golonka, J.; Waśkowska, A.; Cieszkowski, M.; Ślaczka, A.; Slomka, T. Geodynamics and paleogeography of the Silesian ridge in the Outher Carpathians. In Buletini I Shkencave Gjeologhike 1/2014-Special Issue, Proceedings of XX CBGA Congress, Tirana, Albania, 24–26 September 2014; PEGI SHPK: Albania, Tirana, 2014. [Google Scholar]
- Golonka, J. Evolution of the Outer Carpathian Basins. In Integrating Microfossil Records from the Oceans and Epicontinental Seas; Bak, M., Kaminski, M.A., Waśkowska, A., Eds.; Grzybowski Foundation, Special Publication: Krakow, Poland, 2011; Volume 17, pp. 3–14. [Google Scholar]
- Michalik, M.; Budzyn, B.; Gehrels, G. Cadomian granitoid clasts derived from the Silesian Ridge (results of the study of gneiss pebbles from Gródek at the Jezioro Rożnowskie Lake). Mineral. Pol.—Spec. Pap. 2006, 29, 168–171. [Google Scholar]
- Budzyn, B.; Kusiak, M.A.; Dunkley, D.J.; Poprawa, P.; Malata, T. SHRIMP dating of zircon in crystalline rocks clasts from the Carpathian flysch. Geophys. Res. Abstr. 2008, 10, EGU2008-A-08345. [Google Scholar]
- Burda, J.; Woskowicz-Slezak, B.; Klötzli, U.; Gawęda, A. Cadomian protolith ages of exotic mega blocks from Bugaj and Andrychów (Western Outer Carpathians, Poland) and their palaeogeographic significance. Geochronometria 2019, 46, 25–36. [Google Scholar] [CrossRef]
- Gawęda, A.; Golonka, J.; Waśkowska, A.; Szopa, K.; Chew, D.; Starzec, K.; Wieczorek, A. Neoproterozoic crystalline exotic clasts in the Polish Outer Carpathian flysch: Remnants of the ProtoCarpathian continent? Int. J. Earth Sci. 2019, 108, 1409–1427. [Google Scholar] [CrossRef]
- Gawęda, A.; Golonka, J.; Chew, D.; Waśkowska, A.; Szopa, K. Central European Variscan Basement in the Outer Carpathians: A Case Study from the Magura Nappe, Outer Western Carpathians, Poland. Minerals 2021, 11, 256. [Google Scholar] [CrossRef]
- Poprawa, P.; Malata, T.; Pécskay, Z.; Kusiak, M.A.; Banas, M.; Paszkowszki, M. Geochronology of the crystalline basement of the Western Outer Carpathians’ source areas—constraints from the K/Ar dating of mica and Th–U–Pb chemical dating of monazite from the crystalline ‘exotic’ pebbles. Geolines 2006, 20, 110–112. [Google Scholar]
- Zuber, R. Neue Karpathenstudien I, Über die Herkunft der exotischen Gesteine am Aussenrande der Karpatischen Flyschzone. In Jahrbuch der Kaiserlichen und Königlichen Reichsanstalt in Wien; Königlichen Reichsanstalt: Viena, Austria, 1902; Volume 52, pp. 245–258. [Google Scholar]
- Mrazec, L. Despre Rocile Verzi din Conglomeratele Terţiare ale Carpaţilor şi Subcarpaţilor din România. Dări Seamă Şedinţ. Inst. Geol. Rom. 1911, 1, 26–39. [Google Scholar]
- Stille, H. Der Geotektonische Werdegang der Karpathen. In Beihefte zum Geologischen Jahrbuch; Hannover Amt für Bodenforschung: Hanover, Germany, 1962; Volume 8, pp. 1–239. [Google Scholar]
- Paraschiv, D.; Paraschiv, C. Zona şisturilor verzi şi relaţiile ei cu celelalte unităţi ale vorlandului Carpaţilor Orientali din România. Stud. Cercet. Geol. Geogr. Geofiz. Ser. Geol. 1978, 23, 49–57. [Google Scholar]
- Pătruţ, I.; Costea, I.; Comşa, D.; Motaş, L.; Sindilar, V.; Voiculescu, C. Consideraţii geologice cu privire la partea vestică afundată a vorlandului est-carpatic. Rev. Rom. Pet. 1995, 26, 133–137. [Google Scholar]
- Kalvoda, J.; Melichar, R.; Babek, O.; Leichmann, J. Late Proterozoic-Paleozoic tectonostratigraphic development and paleogeography of Brunovistulian Terrane and comparision with other terranes at the SE margins of Baltica-Laurussia. J. Czech. Geol. Soc. 2002, 47, 32–41. [Google Scholar]
- Kalvoda, J.; Leichmann, J.; Babek, O.; Melichar, R. Brunovistulian Terrane (Central Europe) and Istanbul Zone (NW Turkey): Late Proterozoic and Paleozoic tectonostratigraphic development and paleogeography. Geol. Carpathica 2003, 54, 139–152. [Google Scholar]
- Żelaźniewicz, A.; Buła, Z.; Fanning, M.; Seghedi, A.; Żaba, J. More evidence on Neoproterozoic terranes in Southern Poland and south-eastern Romania. Geol. Q. 2009, 53, 93–124. [Google Scholar]
- Balintoni, I.; Balica, C.; Seghedi, A.; Ducea, M. Peri-Amazonian provenance of the Central Dobrogea terrane (Romania) attested by U/Pb detrital zircon age patterns. Geol. Carpathica 2011, 62, 299–307. [Google Scholar] [CrossRef]
- Balintoni, I.; Balica, C. Peri-Amazonian provenance of the Euxinic Craton components in Dobrogea and of the North Dobrogean Orogen components (Romania): A detrital zircon study. Precambrian Res. 2016, 278, 34–51. [Google Scholar] [CrossRef]
- Tari, G.; Dicea, O.; Faulkerson, J.; Georgiev, G.; Popov, S.; Stefănescu, M.; Weir, G. Cimmerian and Alpine Stratigraphy and Structural Evolution of the Moesian Platform (Romania/Bulgaria). In Regional and Petroleum Geology of the Black Sea and Surrounding Region; Robinson, A.G., Ed.; AAPG Memoir; American Association of Petroleum Geologists: Tulsa, OK, USA, 1997; Volume 68, pp. 63–90. [Google Scholar]
- Kalvoda, J.; Bábek, O.; Fatka, O.; Leichmann, J.; Melichar, R.; Nehyba, S.; Spacek, P. Brunovistulian terrane (Bohemian Massif, Central Europe) from late Proterozoic to late Paleozoic: A review. Int. J. Earth Sci. 2008, 97, 497–518. [Google Scholar] [CrossRef]
- Finger, F.; Frasl, G.; Dudek, A.; Jelínek, E.; Thoni, M. Cadomian Plutonism in the Moravo–Silesian Basement. In Pre-Permian Geology of Central and Eastern Europe; Dallmeyer, R.D., Franke, W., Weber, K., Eds.; Springer: Berlin/Heidelberg, Germany; New York, NY, USA, 1995; pp. 495–507. [Google Scholar]
- Finger, F.; Hanzl, P.; Pin, C.; Quadt, A.; Steyrer, H.P. The Brunovistulicum: Avalonian Precambrian at the Eastern End of the Variscides. In Orogenic Processes: Quantification and Modelling in the Variscan Belt of Central Europe; Franke, W., Altherr, R., Haak, W., Oncken, O., Tanner, D., Eds.; Geological Society, London, Special Publications: London, UK, 2000; Volume 179, pp. 103–112. [Google Scholar]
- Soejono, I.; Janoušek, V.; Žáčková, E.; Sláma, J.; Konopásek, J.; Machek, M.; Hanžl, P. Long-lasting Cadomian magmatic activity along an active northern Gondwana margin: U-Pb zircon and Sr–Nd isotopic evidence from the Brunovistulian Domain, eastern Bohemian Massif. Int. J. Earth Sci. 2017, 106, 2109–2129. [Google Scholar] [CrossRef]
- Jelínek, E.; Dudek, A. Geochemistry of subsurface Precambrian plutonic rocks from the Brunovistulian complex in the Bohemian massif, Czechoslovakia. Precambrian Res. 1993, 62, 103–125. [Google Scholar] [CrossRef]
- Scharbert, S.; Batík, P. The Age of the Thaya (Dyje) Pluton. In Verhandlungen der Geologischen Bundesanstalt; Geologische Bundesanstalt: Vienna, Austria, 1980; pp. 325–331. [Google Scholar]
- Van Breemen, O.; Aftalion, M.; Bowes, D.R.; Dudek, A.; Mísař, Z.; Povondra, P.; Vrána, S. Geochronological studies of the Bohemian Massif, Czechoslovakia, and their significance in the evolution of Central Europe. Trans. R. Soc. Edinb. Earth Sci. 1982, 73, 89–108. [Google Scholar] [CrossRef]
- Fritz, H.; Dallmeyer, R.D.; Neubauer, F. Thick-skinned versus thin-skinned thrusting: Rheology controlled thrust propagation in the Variscan collisional belt (the southeastern Bohemian Massif, Czech Republic–Austria). Tectonics 1996, 15, 1389–1413. [Google Scholar] [CrossRef]
- Friedl, G.; Finger, F.; Paquette, J.L.; Von Quadt, A.; Mcnaughton, N.J.; Fletcher, I.R. Pre-Variscan geological events in the Austrian part of the Bohemian Massif deduced from U/Pb zircon ages. Int. J. Earth Sci. 2004, 93, 802–823. [Google Scholar] [CrossRef]
- Winchester, J.A. Pace Tmr Network. Palaeozoic Amalgamation of Central Europe: New results from recent geological and geophysical investigations. Tectonophysics 2002, 360, 5–22. [Google Scholar] [CrossRef]
- Saintot, A.; Stephenson, R.A.; Stovba, S.; Brunet, M.F.; Yegorova, T.; Starostenko, V. The Evolution of the Southern Margin of Eastern Europe (Eastern European and Scythian platforms) from the Latest Precambrian-Early Palaeozoic to the Early Cretaceous. In European Lithosphere Dynamics; Gee, D.G., Stephenson, R.A., Eds.; Geological Society Memoirs; Geological Society Publications: London, UK, 2006; Volume 32, pp. 481–505. [Google Scholar] [CrossRef]
- Nikishin, A.M.; Cloetingh, S.; Bolotov, S.N.; Baraboshkin, E.Y.; Kopaevich, L.F.; Nazarevich, B.P.; Panov, D.I.; Brunet, M.F.; Ershov, A.V.; Il‘ina, V.V.; et al. Scythian Platform: Chronostratigraphy and Polyphase Stages of Tectonic History. In Peri-Tethys Memoir 3: Stratigraphy and Evolution of Peri-Tethyan Platforms, Memoires du Muséum National d‘Histoire Naturelle; Crasquin-Soleau, S., Barrier, E., Eds.; Éditions du Muséum: Paris, France, 1998; Volume 177, pp. 151–162. [Google Scholar]
- Li, X.; Zhang, C.; Behrens, H.; Holtz, F. Calculating biotite formula from electron microprobe analysis data using a machine learning method based on principal components regression. Lithos 2020, 356–357, 105371. [Google Scholar] [CrossRef]











Disclaimer/Publisher’s Note: The statements, opinions and data contained in all publications are solely those of the individual author(s) and contributor(s) and not of MDPI and/or the editor(s). MDPI and/or the editor(s) disclaim responsibility for any injury to people or property resulting from any ideas, methods, instructions or products referred to in the content. |
© 2025 by the authors. Licensee MDPI, Basel, Switzerland. This article is an open access article distributed under the terms and conditions of the Creative Commons Attribution (CC BY) license (https://creativecommons.org/licenses/by/4.0/).
Share and Cite
Lőrincz, S.; Munteanu, M.; Marincea, Ş.; Roban, R.D.; Cetean, V.M.; Dincă, G.; Melinte-Dobrinescu, M. The Exotic Igneous Clasts Attributed to the Cuman Cordillera: Insights into the Makeup of a Cadomian/Pan-African Basement Covered by the Moldavides of the Eastern Carpathians, Romania. Geosciences 2025, 15, 256. https://doi.org/10.3390/geosciences15070256
Lőrincz S, Munteanu M, Marincea Ş, Roban RD, Cetean VM, Dincă G, Melinte-Dobrinescu M. The Exotic Igneous Clasts Attributed to the Cuman Cordillera: Insights into the Makeup of a Cadomian/Pan-African Basement Covered by the Moldavides of the Eastern Carpathians, Romania. Geosciences. 2025; 15(7):256. https://doi.org/10.3390/geosciences15070256
Chicago/Turabian StyleLőrincz, Sarolta, Marian Munteanu, Ştefan Marincea, Relu Dumitru Roban, Valentina Maria Cetean, George Dincă, and Mihaela Melinte-Dobrinescu. 2025. "The Exotic Igneous Clasts Attributed to the Cuman Cordillera: Insights into the Makeup of a Cadomian/Pan-African Basement Covered by the Moldavides of the Eastern Carpathians, Romania" Geosciences 15, no. 7: 256. https://doi.org/10.3390/geosciences15070256
APA StyleLőrincz, S., Munteanu, M., Marincea, Ş., Roban, R. D., Cetean, V. M., Dincă, G., & Melinte-Dobrinescu, M. (2025). The Exotic Igneous Clasts Attributed to the Cuman Cordillera: Insights into the Makeup of a Cadomian/Pan-African Basement Covered by the Moldavides of the Eastern Carpathians, Romania. Geosciences, 15(7), 256. https://doi.org/10.3390/geosciences15070256

