Accretion and Core Formation of Earth-like Planets: Insights from Metal–Silicate Partitioning of Siderophile and Volatile Elements
Abstract
1. Introduction
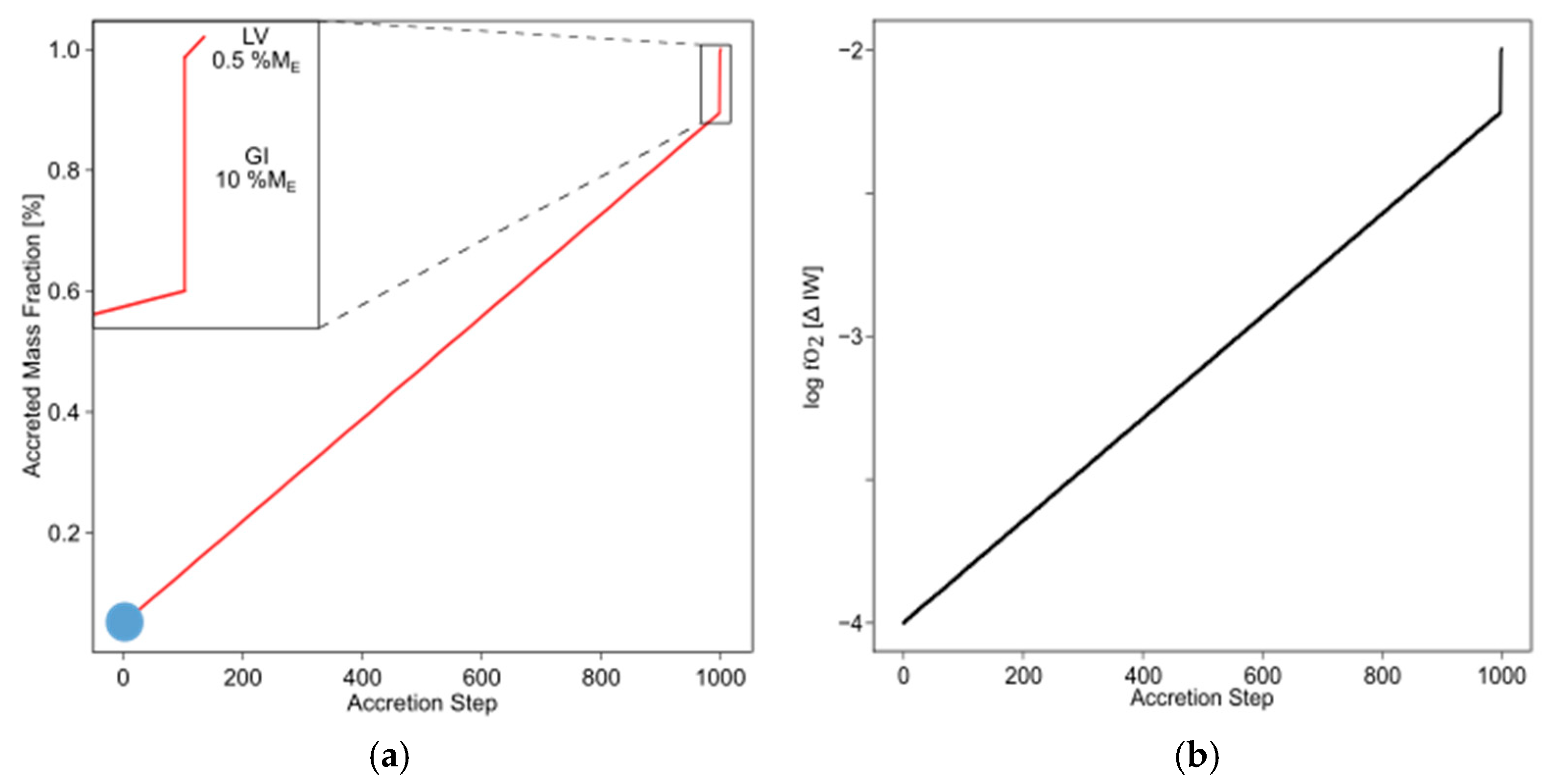
2. Materials and Methods

3. Results
3.1. Major Element Concentrations in Planetary Reservoirs
3.2. Sulfur
3.3. Moderately Volatile Elements
4. Concluding Remarks
Supplementary Materials
Author Contributions
Funding
Data Availability Statement
Acknowledgments
Conflicts of Interest
References
- Kleine, T.; Münker, C.; Mezger, K.; Palme, H. Rapid Accretion and Early Core Formation on Asteroids and the Terrestrial Planets from Hf–W Chronometry. Nature 2002, 418, 952–955. [Google Scholar] [CrossRef] [PubMed]
- Yin, Q.; Jacobsen, S.B.; Yamashita, K.; Blichert-Toft, J.; Télouk, P.; Albarède, F. A Short Timescale for Terrestrial Planet Formation from Hf–W Chronometry of Meteorites. Nature 2002, 418, 949–952. [Google Scholar] [CrossRef] [PubMed]
- Münker, C.; Pfänder, J.A.; Weyer, S.; Büchl, A.; Kleine, T.; Mezger, K. Evolution of Planetary Cores and the Earth-Moon System from Nb/Ta Systematics. Science 2003, 301, 84–87. [Google Scholar] [CrossRef] [PubMed]
- Chou, C.-L. Fractionation of Siderophile Elements in the Earth’s Upper Mantle. Proc. Lunar Planet. Sci. Conf. 1978, 1, 219–230. [Google Scholar]
- O’Neill, H.S.C. The Origin of the Moon and the Early History of the Earth-A Chemical Model. Part 2: The Earth. Geochim. Cosmochim. Acta 1991, 55, 1159–1172. [Google Scholar] [CrossRef]
- Holzheid, A.; Sylvester, P.; O’Neill, H.S.C.; Ruble, D.C.; Palme, H. Evidence for a Late Chondritic Veneer in the Earth’s Mantle from High-Pressure Partitioning of Palladium and Platinum. Nature 2000, 406, 396–399. [Google Scholar] [CrossRef]
- Palme, H.; O’Neill, H. Cosmochemical Estimates of Mantle Composition. In Treatise on Geochemistry, 2nd ed.; Elsevier: Amsterdam, The Netherlands, 2014; Volume 3, pp. 1–39. ISBN 978-0-08-098300-4. [Google Scholar]
- Javoy, M. The Integral Enstatite Chondrite Model of the Earth. Geophys. Res. Lett. 1995, 22, 2219–2222. [Google Scholar] [CrossRef]
- Rubie, D.C.; Frost, D.J.; Mann, U.; Asahara, Y.; Nimmo, F.; Tsuno, K.; Kegler, P.; Holzheid, A.; Palme, H. Heterogeneous Accretion, Composition and Core-Mantle Differentiation of the Earth. Earth Planet. Sci. Lett. 2011, 301, 31–42. [Google Scholar] [CrossRef]
- Rubie, D.C.; Nimmo, F.; Melosh, H.J. Formation of the Earth’s Core. In Treatise on Geophysics, 2nd ed.; Elsevier: Amsterdam, The Netherlands, 2015; Volume 9, pp. 43–79. ISBN 978-0-444-53803-1. [Google Scholar]
- Wang, Z.; Becker, H. Ratios of S, Se and Te in the Silicate Earth Require a Volatile-Rich Late Veneer. Nature 2013, 499, 328–331. [Google Scholar] [CrossRef] [PubMed]
- Braukmüller, N.; Wombacher, F.; Funk, C.; Münker, C. Earth’s Volatile Element Depletion Pattern Inherited from a Carbonaceous Chondrite-like Source. Nat. Geosci. 2019, 12, 564–568. [Google Scholar] [CrossRef]
- Mezger, K.; Schönbächler, M.; Bouvier, A. Accretion of the Earth-Missing Components? Space Sci Rev 2020, 216, 27. [Google Scholar] [CrossRef]
- Piani, L.; Marrocchi, Y.; Rigaudier, T.; Vacher, L.G.; Thomassin, D.; Marty, B. Earth’s Water May Have Been Inherited from Material Similar to Enstatite Chondrite Meteorites. Science 2020, 369, 1110–1113. [Google Scholar] [CrossRef]
- Warren, P.H. Stable-Isotopic Anomalies and the Accretionary Assemblage of the Earth and Mars: A Subordinate Role for Carbonaceous Chondrites. Earth Planet. Sci. Lett. 2011, 311, 93–100. [Google Scholar] [CrossRef]
- Schiller, M.; Bizzarro, M.; Fernandes, V.A. Isotopic Evolution of the Protoplanetary Disk and the Building Blocks of Earth and the Moon. Nature 2018, 555, 507–510. [Google Scholar] [CrossRef] [PubMed]
- Kleine, T.; Budde, G.; Burkhardt, C.; Kruijer, T.S.; Worsham, E.A.; Morbidelli, A.; Nimmo, F. The Non-Carbonaceous–Carbonaceous Meteorite Dichotomy. Space Sci. Rev. 2020, 216, 55. [Google Scholar] [CrossRef]
- Burkhardt, C.; Spitzer, F.; Morbidelli, A.; Budde, G.; Render, J.H.; Kruijer, T.S.; Kleine, T. Terrestrial Planet Formation from Lost Inner Solar System Material. Sci. Adv. 2021, 7, eabj7601. [Google Scholar] [CrossRef]
- Obrien, D.; Morbidelli, A.; Levison, H. Terrestrial Planet Formation with Strong Dynamical Friction. Icarus 2006, 184, 39–58. [Google Scholar] [CrossRef]
- Walsh, K.J.; Morbidelli, A. The Effect of an Early Planetesimal-Driven Migration of the Giant Planets on Terrestrial Planet Formation. Astron. Astrophys. 2011, 526, A126. [Google Scholar] [CrossRef]
- Canup, R.M. Forming a Moon with an Earth-like Composition via a Giant Impact. Science 2012, 338, 1052–1055. [Google Scholar] [CrossRef] [PubMed]
- Cuk, M.; Stewart, S.T. Making the Moon from a Fast-Spinning Earth: A Giant Impact Followed by Resonant Despinning. Science 2012, 338, 1047–1052. [Google Scholar] [CrossRef]
- Hartmann, W.K.; Davis, D.R. Satellite-Sized Planetesimals and Lunar Origin. Icarus 1975, 24, 504–515. [Google Scholar] [CrossRef]
- Canup, R.M.; Asphaug, E. Origin of the Moon in a Giant Impact near the End of the Earth’s Formation. Nature 2001, 412, 708–712. [Google Scholar] [CrossRef]
- Kegerreis, J.A.; Ruiz-Bonilla, S.; Eke, V.R.; Massey, R.J.; Sandnes, T.D.; Teodoro, L.F.A. Immediate Origin of the Moon as a Post-Impact Satellite. Astrophys. J. Lett. 2022, 937, L40. [Google Scholar] [CrossRef]
- Nakajima, M. Melting and Mixing States of the Earth’s Mantle after the Moon-Forming Impact. Earth Planet. Sci. Lett. 2015, 10, 286–295. [Google Scholar] [CrossRef]
- Rubie, D.C.; Jacobson, S.A.; Morbidelli, A.; O’Brien, D.P.; Young, E.D.; de Vries, J.; Nimmo, F.; Palme, H.; Frost, D.J. Accretion and Differentiation of the Terrestrial Planets with Implications for the Compositions of Early-Formed Solar System Bodies and Accretion of Water. Icarus 2015, 248, 89–108. [Google Scholar] [CrossRef]
- Thibault, Y.; Walter, M.J. The Influence of Pressure and Temperature on the Metal-Silicate Partition Coefficients of Nickel and Cobalt in a Model C1 Chondrite and Implications for Metal Segregation in a Deep Magma Ocean. Geochim. Cosmochim. Acta 1995, 59, 991–1002. [Google Scholar] [CrossRef]
- Li, J.; Agee, C.B. Geochemistry of Mantle-Core Differentiation at High Pressure. Nature 1996, 381, 686–689. [Google Scholar] [CrossRef]
- Li, J.; Agee, C.B. Element Partitioning Constraints on the Light Element Composition of the Earth’s Core. Geophys. Res. Lett. 2001, 28, 81–84. [Google Scholar] [CrossRef]
- Righter, K.; Drake, M.J.; Yaxley, G. Prediction of Siderophile Element Metal-Silicate Partition Coefficients to 20 GPa and 2800 °C: The Effects of Pressure, Temperature, Oxygen Fugacity, and Silicate and Metallic Melt Compositions. Phys. Earth Planet. Inter. 1997, 100, 115–134. [Google Scholar] [CrossRef]
- Righter, K.; Nickodem, K.; Pando, K.; Danielson, L.; Boujibar, A.; Righter, M.; Lapen, T.J. Distribution of Sb, As, Ge, and In between Metal and Silicate during Accretion and Core Formation in the Earth. Geochim. Cosmochim. Acta 2017, 198, 1–16. [Google Scholar] [CrossRef]
- Righter, K.; Pando, K.; Marin, N.; Ross, D.K.; Righter, M.; Danielson, L.R.; Lapen, T.J.; Lee, C. Volatile Element Signatures in the Mantles of Earth, Moon, and Mars: Core Formation Fingerprints from Bi, Cd, In, and Sn. Meteorit. Planet. Sci. 2018, 53, 284–305. [Google Scholar] [CrossRef]
- Gessmann, C.K.; Rubie, D.C. The Origin of the Depletions of V, Cr and Mn in the Mantles of the Earth and Moon. EPSL 2000, 184, 95–107. [Google Scholar] [CrossRef]
- Wade, J.; Wood, B.J. Core Formation and the Oxidation State of the Earth. Earth Planet. Sci. Lett. 2005, 236, 78–95. [Google Scholar] [CrossRef]
- Wade, J.; Wood, B.J. Metal-Silicate Partitioning Experiments in the Diamond Anvil Cell: A Comment on Potential Analytical Errors. Phys. Earth Planet. Inter. 2012, 192–193, 54–58. [Google Scholar] [CrossRef]
- Kegler, P.; Holzheid, A.; Frost, D.J.; Rubie, D.C.; Dohmen, R.; Palme, H. New Ni and Co Metal-Silicate Partitioning Data and Their Relevance for an Early Terrestrial Magma Ocean. Earth Planet. Sci. Lett. 2008, 268, 28–40. [Google Scholar] [CrossRef]
- Cottrell, E.; Walter, M.J.; Walker, D. Metal-Silicate Partitioning of Tungsten at High Pressure and Temperature: Implications for Equilibrium Core Formation in Earth. Earth Planet. Sci. Lett. 2009, 281, 275–287. [Google Scholar] [CrossRef]
- Ringwood, A.E. Chemical Evolution of the Terrestrial Planets. Geochim. Cosmochim. Acta 1966, 30, 41–104. [Google Scholar] [CrossRef]
- Ringwood, A.E. Origin of the Earth and Moon; Springer Science & Business Media: Berlin/Heidelberg, Germany, 1979; ISBN 978-1-4612-6167-4. [Google Scholar]
- Newsom, H.E. Accretion and Core Formation in the Earth: Evidence from Siderophile Elements. In Origin of the Earth; Newsom, H.E., Jones, J.H., Newsom, H.E., Jones, J.H., Eds.; Oxford University Press: New York, NY, USA, 1990; pp. 273–288. [Google Scholar]
- Walter, M.; Newsom, H.E.; Ertel-Ingrisch, W.; Holzheid, A. Siderophile Elements in the Earth and Moon: Metal/Silicate Partitioning and Implications for Core Formation. Orig. Earth Moon 2000, 1, 265–289. [Google Scholar]
- Wood, B.J.; Wade, J.; Kilburn, M.R. Core Formation and the Oxidation State of the Earth: Additional Constraints from Nb, V and Cr Partitioning. Geochim. Cosmochim. Acta 2008, 72, 1415–1426. [Google Scholar] [CrossRef]
- Corgne, A.; Keshav, S.; Wood, B.J.; McDonough, W.F.; Fei, Y. Metal–Silicate Partitioning and Constraints on Core Composition and Oxygen Fugacity during Earth Accretion. Geochim. Cosmochim. Acta 2008, 72, 574–589. [Google Scholar] [CrossRef]
- Drake, M.J.; Righter, K. Determining the Composition of the Earth. Nature 2002, 416, 39–44. [Google Scholar] [CrossRef] [PubMed]
- Albarède, F. Volatile Accretion History of the Terrestrial Planets and Dynamic Implications. Nature 2009, 461, 1227–1233. [Google Scholar] [CrossRef] [PubMed]
- Schönbächler, M.; Carlson, R.W.; Horan, M.F.; Mock, T.D.; Hauri, E.H. Heterogeneous Accretion and the Moderately Volatile Element Budget of Earth. Science 2010, 328, 884–887. [Google Scholar] [CrossRef]
- Mann, U.; Frost, D.J.; Rubie, D.C.; Becker, H.; Audétat, A. Partitioning of Ru, Rh, Pd, Re, Ir and Pt between Liquid Metal and Silicate at High Pressures and High Temperatures - Implications for the Origin of Highly Siderophile Element Concentrations in the Earth’s Mantle. Geochim. Cosmochim. Acta 2012, 84, 593–613. [Google Scholar] [CrossRef]
- Marty, B. The Origins and Concentrations of Water, Carbon, Nitrogen and Noble Gases on Earth. Earth Planet. Sci. Lett. 2012, 313–314, 56–66. [Google Scholar] [CrossRef]
- Ballhaus, C.; Laurenz, V.; Münker, C.; Fonseca, R.O.C.; Albarède, F.; Rohrbach, A.; Lagos, M.; Schmidt, M.W.; Jochum, K.P.; Stoll, B.; et al. The U/Pb Ratio of the Earth’s Mantle-A Signature of Late Volatile Addition. Earth Planet. Sci. Lett. 2013, 362, 237–245. [Google Scholar] [CrossRef]
- Walker, R.J. Highly Siderophile Elements in the Earth, Moon and Mars: Update and Implications for Planetary Accretion and Differentiation. Chem. Erde 2009, 69, 101–125. [Google Scholar] [CrossRef]
- Lodders, K. An Oxygen Isotope Mixing Model for the Accretion and Composition of Rocky Planets. Space Sci. Rev. 2000, 92, 341–354. [Google Scholar] [CrossRef]
- Wood, B.J.; Smythe, D.J.; Harrison, T. The Condensation Temperatures of the Elements: A Reappraisal. Am. Mineral. 2019, 104, 844–856. [Google Scholar] [CrossRef]
- Frost, D.J.; Mann, U.; Asahara, Y.; Rubie, D.C. The Redox State of the Mantle during and Just after Core Formation. Philos. Trans. R. Soc. A Math. Phys. Eng. Sci. 2008, 366, 4315–4337. [Google Scholar] [CrossRef]
- Mann, U.; Frost, D.J.; Rubie, D.C. Evidence for High-Pressure Core-Mantle Differentiation from the Metal-Silicate Partitioning of Lithophile and Weakly-Siderophile Elements. Geochim. Cosmochim. Acta 2009, 73, 7360–7386. [Google Scholar] [CrossRef]
- Ballhaus, C.; Fonseca, R.O.C.; Münker, C.; Rohrbach, A.; Nagel, T.; Speelmanns, I.M.; Helmy, H.M.; Zirner, A.; Vogel, A.K.; Heuser, A. The Great Sulfur Depletion of Earth’s Mantle Is Not a Signature of Mantle–Core Equilibration. Contrib. Mineral. Petrol. 2017, 172, 68. [Google Scholar] [CrossRef]
- Jagoutz, E.; Palme, H.; Baddenhausen, H.; Blum, K.; Cendales, M.; Dreibus, G.; Spettel, B.; Lorenz, V.; Wänke, H. The Abundances of Major, Minor and Trace Elements in the Earth’s Mantle as Derived from Primitive Ultramafic Nodules. In Proceedings of the 10th Lunar and Planetary Science Conference, Houston, TX, USA, 19–23 March 1979; pp. 2031–2050. [Google Scholar]
- Arculus, R.J.; Delano, J.W. Siderophile Element Abundances in the Upper Mantle: Evidence for a Sulfide Signature and Equilibrium with the Core. Geochim. Cosmochim. Acta 1981, 45, 1331–1343. [Google Scholar] [CrossRef]
- Brett, R. Chemical Equilibration of the Earth’s Core and Upper Mantle. Geochim. Cosmochim. Acta 1984, 48, 1183–1188. [Google Scholar] [CrossRef]
- McDonough, W.F. Compositional Model for the Earth’s Core. In Treatise on Geochemistry, 2nd ed.; Elsevier: Amsterdam, The Netherlands, 2014; Volume 3, pp. 559–577. ISBN 978-0-08-098300-4. [Google Scholar]
- Lodders, K.; Fegley, B. The Planetary Scientist’s Companion; Oxford University Press: New York, NY, USA, 1998; ISBN 0-19-511694-1. [Google Scholar]
- Loroch, D.; Hackler, S.; Rohrbach, A.; Klemme, S.; Berndt, J. Replication Data for: Accretion and Core Formation in Earth-like Planets: Insights from the Metal-Silicate Partitioning of Siderophile and Volatile Elements. 2024. [Google Scholar]
- Steenstra, E.S.; Berndt, J.; Klemme, S.; Van Westrenen, W. LA-ICP-MS Analyses of Fe-Rich Alloys: Quantification of Matrix Effects for 193 Nm Excimer Laser Systems. J. Anal. At. Spectrom. 2019, 34, 222–231. [Google Scholar] [CrossRef]
- Beattie, P.; Drake, M.J.; Jones, J.; Leeman, W.; Longhi, J.; McKay, G.; Nielsen, R.; Palme, H.; Shaw, D.; Takahashi, E.; et al. Terminology for Trace-Element Partitioning. Geochim. Cosmochim. Acta 1993, 57, 1605–1606. [Google Scholar] [CrossRef]
- Vogel, A.K. Siderophile Element Partitioning at High Pressures and Temperatures - Implications for Core Formation Processes, Universitaet Bayreuth: Bayreuth, Germany, 2014.
- Siebert, J.; Corgne, A.; Ryerson, F.J. Systematics of Metal-Silicate Partitioning for Many Siderophile Elements Applied to Earth’s Core Formation. Geochim. Cosmochim. Acta 2011, 75, 1451–1489. [Google Scholar] [CrossRef]
- Chabot, N.L.; Draper, D.S.; Agee, C.B. Conditions of Core Formation in the Earth: Constraints from Nickel and Cobalt Partitioning. Geochim. Cosmochim. Acta 2005, 69, 2141–2151. [Google Scholar] [CrossRef]
- Hillgren, V.J.; Drake, M.J.; Rubie, D.C. High Pressue and High Temperature Metal-Sillicate Partitioning of Siderophile Elements: The Importance of Silicate Liquid Composition. Geochim. Cosmochim. Acta 1996, 60, 2257–2263. [Google Scholar] [CrossRef]
- Righter, K.; Drake, M.J. Metal/Silicate Equilibrium in the Early Earth-New Constraints from the Volatile Moderately Siderophile Elements Ga, Cu, P, and Sn. Geochim. Cosmochim. Acta 2000, 64, 3581–3597. [Google Scholar] [CrossRef]
- Steenstra, E.S.; Sitabi, A.B.; Lin, Y.H.; Rai, N.; Knibbe, J.S.; Berndt, J.; Matveev, S.; van Westrenen, W. The Effect of Melt Composition on Metal-Silicate Partitioning of Siderophile Elements and Constraints on Core Formation in the Angrite Parent Body. Geochim. Cosmochim. Acta 2017, 212, 62–83. [Google Scholar] [CrossRef]
- Wade, J.; Wood, B.J.; Tuff, J. Metal-Silicate Partitioning of Mo and W at High Pressures and Temperatures: Evidence for Late Accretion of Sulphur to the Earth. Geochim. Cosmochim. Acta 2012, 85, 58–74. [Google Scholar] [CrossRef]
- Wang, Z.; Laurenz, V.; Petitgirard, S.; Becker, H. Earth ’ s Moderately Volatile Element Composition May Not Be Chondritic: Evidence from In, Cd and Zn. Earth Planet. Sci. Lett. 2016, 435, 136–146. [Google Scholar] [CrossRef]
- Wood, B.J.; Kiseeva, E.S.; Mirolo, F.J. Accretion and Core Formation: The Effects of Sulfur on Metal-Silicate Partition Coefficients. Geochim. Cosmochim. Acta 2014, 145, 248–267. [Google Scholar] [CrossRef]
- Geßmann, C.K.; Rubie, D.C. The Effect of Temperature on the Partitioning of Nickel, Cobalt, Manganese, Chromium, and Vanadium at 9 GPa and Constraints on Formation of the Earth’s Core. Geochim. Cosmochim. Acta 1998, 62, 867–882. [Google Scholar] [CrossRef]
- Fischer, R.A.; Nakajima, Y.; Campbell, A.J.; Frost, D.J.; Harries, D.; Langenhorst, F.; Miyajima, N.; Pollok, K.; Rubie, D.C. High Pressure Metal–Silicate Partitioning of Ni, Co, V, Cr, Si, and O. Geochim. Cosmochim. Acta 2015, 167, 177–194. [Google Scholar] [CrossRef]
- Righter, K.; Humayun, M.; Campbell, A.J.; Danielson, L.; Hill, D.; Drake, M.J. Experimental Studies of Metal–Silicate Partitioning of Sb: Implications for the Terrestrial and Lunar Mantles. Geochim. Cosmochim. Acta 2009, 73, 1487–1504. [Google Scholar] [CrossRef]
- Righter, K. Prediction of Metal-Silicate Partition Coefficients for Siderophile Elements: An Update and Assessment of PT Conditions for Metal-Silicate Equilibrium during Accretion of the Earth. Earth Planet. Sci. Lett. 2011, 304, 158–167. [Google Scholar] [CrossRef]
- Ma, Z. Thermodynamic Description for Concentrated Metallic Solutions Using Interaction Parameters. Metall. Mater. Trans. B 2001, 32, 87–103. [Google Scholar] [CrossRef]
- Shinkōkai, N.G. (Ed.) Steelmaking Data Sourcebook, Gordon and Breach Science Publishers: New York, NY, USA, 1988; ISBN 978-2-88124-153-6.
- Blanchard, I.; Rubie, D.C.; Jennings, E.S.; Franchi, I.A.; Zhao, X.; Petitgirard, S.; Miyajima, N.; Jacobson, S.A.; Morbidelli, A. The Metal–Silicate Partitioning of Carbon during Earth’s Accretion and Its Distribution in the Early Solar System. Earth Planet. Sci. Lett. 2022, 580, 117374. [Google Scholar] [CrossRef]
- Badro, J.; Brodholt, J.P.; Piet, H.; Siebert, J.; Ryerson, F.J. Core Formation and Core Composition from Coupled Geochemical and Geophysical Constraints. Proc. Natl. Acad. Sci. USA 2015, 112, 12310–12314. [Google Scholar] [CrossRef] [PubMed]
- Herzberg, C.; Zhang, J. Melting Experiments on Anhydrous Peridotite KLB-1: Compositions of Magmas in the Upper Mantle and Transition Zone. J. Geophys. Res. Solid Earth 1996, 101, 8271–8295. [Google Scholar] [CrossRef]
- Tronnes, R.G.; Frost, D.J. Peridotite Melting and Mineral-Melt Partitioning of Major and Minor Elements at 22-24.5 GPa. Earth Planet. Sci. Lett. 2002, 197, 117–131. [Google Scholar] [CrossRef]
- Liebske, C.; Frost, D.J. Melting Phase Relations in the MgO-MgSiO 3 System between 16 and 26GPa: Implications for Melting in Earth’s Deep Interior. Earth Planet. Sci. Lett. 2012, 345–348, 159–170. [Google Scholar] [CrossRef]
- Lodders, K. Solar System Abundances and Condensation Temperatures of the Elements. Astrophys. J. 2003, 591, 1220–1247. [Google Scholar] [CrossRef]
- Deguen, R.; Landeau, M.; Olson, P. Turbulent Metal-Silicate Mixing, Fragmentation, and Equilibration in Magma Oceans. Earth Planet. Sci. Lett. 2014, 391, 274–287. [Google Scholar] [CrossRef]
- Maas, C.; Hansen, U. Dynamics of a Terrestrial Magma Ocean under Planetary Rotation: A Study in Spherical Geometry. Earth Planet. Sci. Lett. 2019, 513, 81–94. [Google Scholar] [CrossRef]
- Maas, C.; Manske, L.; Wünnemann, K.; Hansen, U. On the Fate of Impact-Delivered Metal in a Terrestrial Magma Ocean. Earth Planet. Sci. Lett. 2021, 554, 116680. [Google Scholar] [CrossRef]
- Palme, H.; Weinbruch, S.; El Goresy, A. Reheating of Allende Components before Accretion. Meteoritics 1991, 26, 383. [Google Scholar]
- Badro, J.; Cote, A.S.; Brodholt, J.P. A Seismologically Consistent Compositional Model of Earth’s Core. Proc. Natl. Acad. Sci. USA 2014, 111, 7542–7545. [Google Scholar] [CrossRef]
- Steenstra, E.S.; Kelderman, E.; Berndt, J.; Klemme, S.; Bullock, E.S.; van Westrenen, W. Highly Reduced Accretion of the Earth by Large Impactors? Evidence from Elemental Partitioning between Sulfide Liquids and Silicate Melts at Highly Reduced Conditions. Geochim. Cosmochim. Acta 2020, 286, 248–268. [Google Scholar] [CrossRef]
- Steenstra, E.S.; Berndt, J.; Klemme, S.; Snape, J.F.; Bullock, E.S.; van Westrenen, W. The Fate of Sulfur and Chalcophile Elements during Crystallization of the Lunar Magma Ocean. J. Geophys. Res. (Planets) 2020, 125, e06328. [Google Scholar] [CrossRef]
- Steenstra, E.S.; Trautner, V.T.; Berndt, J.; Klemme, S.; van Westrenen, W. Trace Element Partitioning between Sulfide-, Metal- and Silicate Melts at Highly Reduced Conditions: Insights into the Distribution of Volatile Elements during Core Formation in Reduced Bodies. Icarus 2020, 335, 113408. [Google Scholar] [CrossRef]
- Boujibar, A.; Andrault, D.; Bouhifd, M.A.; Bolfan-Casanova, N.; Devidal, J.L.; Trcera, N. Metal-Silicate Partitioning of Sulphur, New Experimental and Thermodynamic Constraints on Planetary Accretion. Earth Planet. Sci. Lett. 2014, 391, 42–54. [Google Scholar] [CrossRef]
- Moynier, F.; Fegley, B. The Earth’s Building Blocks. In The Early Earth: Accretion and Differentiation; Wiley Online Library: Hoboken, NJ, USA, 2015; pp. 27–47. ISBN 978-1-118-86035-9. [Google Scholar]
- Kargel, J.S.; Lewis, J.S. The Composition and Early Evolution of Earth. Icarus 1993, 105, 1–25. [Google Scholar] [CrossRef]
- Morgan, J.W.; Anders, E. Chemical Composition of Earth, Venus, and Mercury. Proc. Natl. Acad. Sci. USA 1980, 77, 6973–6977. [Google Scholar] [CrossRef] [PubMed]
- Lodders, K.; Fegley, B. Chemistry of the Solar System; RSC Pub.: London, UK, 2011; ISBN 978-0-85404-128-2. [Google Scholar]
- Li, J.; Fei, Y. Experimental Constraints on Core Composition. In Treatise on Geochemistry, 2nd ed.; Elsevier: Amsterdam, The Netherlands, 2014; Volume 3, pp. 527–557. ISBN 978-0-08-098300-4. [Google Scholar]
- Savage, P.S.; Moynier, F.; Chen, H.; Shofner, G.; Siebert, J.; Badro, J.; Puchtel, I.S. Copper Isotope Evidence for Large-Scale Sulphide Fractionation during Earth’s Differentiation. Geochem. Perspect. Lett. 2015, 1, 53–64. [Google Scholar] [CrossRef]
- McDonough, W.F.; Sun, S. The Composition of the Earth. Chem. Geol. 1995, 120, 223–253. [Google Scholar] [CrossRef]
- Lee, C.-T. Geochemical Classification of Elements. In Encyclopedia of Engineering Geology; Bobrowsky, P., Marker, B., Bobrowsky, P., Marker, B., Eds.; Springer: Cham, Switzerland, 2016; pp. 1–5. ISBN 978-3-319-12127-7. [Google Scholar]
- Jana, D.; Walker, D. Siderophile Elements Among Metal and Silicate Liquids. Earth Planet. Sci. Lett. 1997, 150, 463–472. [Google Scholar] [CrossRef]
- Albarede, F.; Ballhaus, C.; Blichert-Toft, J.; Lee, C.-T.; Marty, B.; Moynier, F.; Yin, Q.-Z. Asteroidal Impacts and the Origin of Terrestrial and Lunar Volatiles. Icarus 2013, 222, 44–52. [Google Scholar] [CrossRef]
- Rubie, D.C.; Laurenz, V.; Jacobson, S.A.; Morbidelli, A.; Palme, H.; Vogel, A.K.; Frost, D.J.; Geoinstitut, B. Highly Siderophile Elements Were Stripped from Earth’s Mantle by Iron Sulfide Segregation. Science 2016, 353, aaf6919. [Google Scholar] [CrossRef] [PubMed]
- Burkhardt, C.; Kleine, T.; Dauphas, N.; Wieler, R. Origin of Isotopic Heterogeneity in the Solar Nebula by Thermal Processing and Mixing of Nebular Dust. Earth Planet. Sci. Lett. 2012, 357, 298–307. [Google Scholar] [CrossRef]
- Grützner, T.; Klemme, S.; Rohrbach, A.; Gervasoni, F.; Berndt, J. The effect of fluorine on the stability of wadsleyite: Implications for the nature and depths of the transition zone in the Earth’s mantle. Earth Planet. Sci. Lett. 2018, 482, 236–244. [Google Scholar] [CrossRef]
- Wijbrans, C.H.; Rohrbach, A.; Klemme, S. An experimental investigation of the stability of majoritic garnet in the Earth’s mantle and an improved majorite geobarometer. Contrib. Mineral. Petrol. 2016, 171, 50. [Google Scholar] [CrossRef]
- Jochum, K.P.; Nohl, U.; Herwig, K.; Lammel, E.; Stoll, B.; Hofmann, A.W. GeoReM: A New Geochemical Database for Reference Materials and Isotopic Standards. Geostand. Geoanalytical Res. 2005, 29, 333–338. [Google Scholar] [CrossRef]
- Griffin, W.L.; Powell, W.J.; Pearson, N.J.; O’Reilly, S.Y. GLITTER: data reduction software for laser ablation ICP-MS. In Laser Ablation–ICP–MS in the Earth Sciences; Sylvester, P., Ed.; Mineralogical Assn of Canada: Quebec City, QC, Canada, 2008; pp. 204–207. [Google Scholar]





| Val. | ai | bi | ci | di | |
|---|---|---|---|---|---|
| S | −2 | 2.32 | −1088 | 226.5 | |
| V | 3 | −2.03 ± 0.20 | −882 ± 393 | −11.6 ± 9.7 | −2.53 ± 0.24 |
| Ni | 2 | −0.90 ± 0.12 | 5670 ± 220 | −61.3 ± 6.4 | 2.44 ± 0.15 |
| Ga | 3 | −0.03 ± 0.43 | 298 ± 813 | −87.0 ± 19.7 | 10.9 ± 0.40 |
| Ge | 3 | 0.17 ± 0.45 | 3132 ± 878 | −23.8 ± 24.2 | 13.6 ± 0.48 |
| Ag | 1 | −0.87 ± 0.47 | 1315 ± 866 | −36.7 ± 30.3 | −3.49 ± 0.40 |
| Au | 4 | 2.00 ± 0.82 | −1812 ± 1634 | −112 ± 49.8 | 4.09 ± 0.76 |
| Unit | Cl | Cl* | CM | CV | CO | EH | EL | |
|---|---|---|---|---|---|---|---|---|
| O | wt.% | 45.9 | 47.0 | 43.2 | 37.0 | 28.0 | 31.0 | |
| Mg | wt.% | 9.50 | 9.80 | 11.5 | 14.3 | 14.5 | 10.7 | 13.8 |
| Al | wt.% | 0.84 | 1.02 | 1.13 | 1.68 | 1.40 | 0.82 | 1.00 |
| Si | wt.% | 10.7 | 11.0 | 12.7 | 15.7 | 15.8 | 16.6 | 18.8 |
| S | wt.% | 5.35 | 2.68 | 2.70 | 2.20 | 5.60 | 3.10 | |
| Ca | wt.% | 0.91 | 1.11 | 1.29 | 1.84 | 1.58 | 0.85 | 1.02 |
| V | μg/g | 54.6 | 60.6 | 75.0 | 97.0 | 95.0 | 56.0 | 64.0 |
| Cr | μg/g | 2623 | 2686 | 3050 | 3480 | 3520 | 3300 | 3030 |
| Mn | μg/g | 1916 | 1962 | 1650 | 1520 | 1620 | 2120 | 1580 |
| Fe | wt.% | 18.7 | 19.1 | 21.3 | 23.5 | 25.0 | 30.5 | 24.8 |
| Co | μg/g | 513 | 525 | 560 | 640 | 680 | 870 | 720 |
| Ni | wt.% | 1.09 | 1.12 | 1.23 | 1.32 | 1.42 | 1.84 | 1.47 |
| Ga | μg/g | 9.62 | 9.85 | 7.60 | 6.10 | 7.10 | 16.7 | 11.0 |
| Ge | μg/g | 32.6 | 33.4 | 26.0 | 16.0 | 20.0 | 38.0 | 30.0 |
| Ag | ng/g | 20.1 | 10.1 | 16.0 | 10.0 | 28.0 | 8.50 | |
| Au | ng/g | 14.8 | 15.2 | 15.0 | 15.3 | 19.0 | 33.0 | 24.0 |
| Model | Pressure | Temperature | Composition | ||
|---|---|---|---|---|---|
| Min | Max | Min | Max | ||
| [GPa] | [GPa] | [K] | [K] | ||
| Cl 56 | 7.6 | 56 | 2203 | 3467 | Cl |
| Cl* 64 | 8.7 | 64 | 2237 | 3649 | Cl* |
| CM 65 | 8.8 | 65 | 2241 | 3670 | CM |
| CO 69 | 9.4 | 69 | 2256 | 3751 | CO |
| CV 75 | 10.2 | 75 | 2278 | 3862 | CV |
| EH 58 | 7.9 | 58 | 2212 | 3515 | EH |
| EL 71 | 9.6 | 71 | 2264 | 3789 | EL |
| Bulk Earth/Planet | Core/Earth | Fe | Ni | Ca | Al | Mg | Si | S |
|---|---|---|---|---|---|---|---|---|
| % | wt.% | wt.% | wt.% | wt.% | wt.% | wt.% | wt.% | |
| McDonough [60] | 32.3 | 32.0 | 1.82 | 1.71 | 1.59 | 15.4 | 16.1 | 0.64 |
| Moynier and Fegley [95] a | 32.5 | 29.5 | 1.74 | 1.76 | 1.61 | 15.0 | 16.2 | 0.01 |
| Kargel and Lewis [96] | 32.0 | 1.72 | 1.66 | 1.43 | 14.9 | 14.6 | 0.89 | |
| Morgan and Anders [97] | 32.1 | 1.82 | 1.54 | 1.41 | 13.9 | 15.1 | 2.92 | |
| Lodders and Fegley [98] (EH) | 30.4 | 1.84 | 0.85 | 0.82 | 10.7 | 16.6 | 5.60 | |
| Rubie et al. [9] * | 30.7 | 30.1 | 1.80 | 1.85 | 1.69 | 15.7 | 17.4 | |
| Rubie et al. [27] ** | 31.1 | 29.9 | 1.70 | 1.78 | 1.64 | 15.3 | 17.2 | |
| CI_56 | 39.7 | 31.6 | 1.79 | 1.40 | 1.29 | 14.7 | 17.4 | 8.60 |
| CI*_64 | 34.6 | 31.9 | 1.87 | 1.84 | 1.40 | 15.9 | 17.8 | 3.42 |
| CM_65 | 35.1 | 31.9 | 1.88 | 1.86 | 1.64 | 16.6 | 18.4 | 3.92 |
| CO_69 | 33.7 | 32.1 | 1.85 | 1.99 | 1.76 | 18.2 | 19.9 | 2.53 |
| CV_75 | 33.7 | 32.0 | 1.82 | 2.33 | 2.13 | 18.1 | 19.9 | 2.60 |
| EH_58 | 37.2 | 31.8 | 1.70 | 0.85 | 0.82 | 10.7 | 16.9 | 6.02 |
| EL_71 | 34.8 | 32.0 | 1.98 | 1.21 | 1.19 | 16.3 | 22.0 | 3.48 |
| Fe [wt.%] | Ni [wt.%] | Ca [wt.%] | Al [wt.%] | Mg [wt.%] | Si wt.% | S wt.% | |
|---|---|---|---|---|---|---|---|
| BSE/BSP: Palme and O’Neill [7] | 6.30 | 0.186 | 2.61 | 2.38 | 22.2 | 21.2 | 0.020 |
| ±1% | ±5% | ±8% | ±8% | ±1% | ±1% | ±40% | |
| Rubie et al. [9] | 6.30 | 0.177 | 2.67 | 2.43 | 22.6 | 21.4 | |
| Rubie et al. [27] | 6.29 | 0.170 | 2.59 | 2.39 | 22.2 | 21.4 | |
| CI_56 | 6.65 | 0.184 | 2.32 | 2.14 | 24.3 | 25.7 | 0.350 |
| CI*_64 | 6.65 | 0.179 | 2.82 | 2.14 | 24.3 | 25.6 | 0.100 |
| CM_65 | 6.65 | 0.186 | 2.87 | 2.52 | 25.6 | 26.7 | 0.120 |
| CO_69 | 6.65 | 0.185 | 3.00 | 2.66 | 27.5 | 28.3 | 0.080 |
| CV_75 | 6.65 | 0.184 | 3.52 | 3.21 | 27.3 | 28.2 | 0.070 |
| EH_58 | 6.65 | 0.186 | 1.35 | 1.30 | 17.1 | 24.9 | 0.240 |
| EL_71 | 6.65 | 0.184 | 1.86 | 1.82 | 25.0 | 32.1 | 0.110 |
| Core: McDonough [60] | 85.5 | 5.20 | − | − | − | 6.00 | 1.90 |
| Rubie et al. [9] | 83.7 | 5.30 | − | − | − | 8.30 | − |
| Rubie et al. [27] | 82.3 | 5.23 | − | − | − | 7.73 | − |
| CI_56 | 69.5 | 4.41 | 2.59 | 21.1 | |||
| CI*_64 | 79.8 | 5.08 | 3.06 | 9.69 | |||
| CM_65 | 78.8 | 4.93 | 3.15 | 11.0 | |||
| CO_69 | 82.0 | 5.05 | 3.50 | 7.35 | |||
| CV_75 | 81.9 | 4.70 | 3.73 | 7.59 | |||
| EH_58 | 74.3 | 4.99 | 2.79 | 15.8 | |||
| EL_71 | 79.4 | 4.85 | 4.08 | 9.80 |
| Ga [μg/g] | Ge [μg/g] | Ag [μg/g] | Au [μg/g] | V [μg/g] | |
|---|---|---|---|---|---|
| BSE/BSP: | |||||
| Palme and O’Neill [7] | 4.40 | 1.20 | 0.006 | 0.002 | 86.0 |
| ±5% | ±20% | ±50% | ±30% | ±5% | |
| Rubie et al. [9] | 81.0 | ||||
| Rubie et al. [27] | 90.0 | ||||
| CI_56 | 13.0 | 6.85 | 0.153 | 0.003 | 53.9 |
| CI*_64 | 6.41 | 0.94 | 0.120 | 0.002 | 75.1 |
| CM_65 | 4.86 | 0.70 | 0.164 | 0.002 | 80.0 |
| CO_69 | 2.95 | 0.30 | 0.097 | 0.002 | 90.6 |
| CV_75 | 2.65 | 0.25 | 0.097 | 0.002 | 88.9 |
| EH_58 | 9.83 | 2.06 | 0.166 | 0.004 | 38.9 |
| EL_71 | 5.17 | 0.56 | 0.073 | 0.003 | 54.2 |
| Core: | |||||
| McDonough [60] | 0.01 | 20.0 | 0.15 | 0.50 | 150 |
| Rubie et al. [9] | 137 | ||||
| Rubie et al. [27] | 113 | ||||
| CI_56 | 19.5 | 130 | 0.61 | 0.64 | 145 |
| CI*_64 | 35.3 | 160 | 0.27 | 0.73 | 155 |
| CM_65 | 23.3 | 111 | 0.37 | 0.64 | 168 |
| CO_69 | 21.2 | 76.0 | 0.19 | 0.72 | 181 |
| CV_75 | 18.1 | 61.0 | 0.19 | 0.58 | 194 |
| EH_58 | 30.5 | 106 | 0.51 | 0.95 | 91.0 |
| EL_71 | 28.9 | 105 | 0.16 | 0.84 | 121 |
| Bulk: | |||||
| McDonough [60] | 3.00 | 7.00 | 0.10 | 0.20 | 105 |
| Rubie et al. [9] | 98.3 | ||||
| Rubie et al. [27] | 97.0 | ||||
| CI_56 | 15.6 | 55.7 | 0.33 | 0.26 | 90.0 |
| CI*_64 | 16.4 | 56.0 | 0.17 | 0.25 | 103 |
| CM_65 | 11.3 | 39.4 | 0.24 | 0.23 | 111 |
| CO_69 | 9.1 | 25.8 | 0.13 | 0.24 | 121 |
| CV_75 | 7.9 | 20.7 | 0.13 | 0.20 | 124 |
| EH_58 | 17.5 | 40.7 | 0.29 | 0.36 | 58.0 |
| EL_71 | 13.4 | 36.9 | 0.10 | 0.29 | 77.0 |
Disclaimer/Publisher’s Note: The statements, opinions and data contained in all publications are solely those of the individual author(s) and contributor(s) and not of MDPI and/or the editor(s). MDPI and/or the editor(s) disclaim responsibility for any injury to people or property resulting from any ideas, methods, instructions or products referred to in the content. |
© 2024 by the authors. Licensee MDPI, Basel, Switzerland. This article is an open access article distributed under the terms and conditions of the Creative Commons Attribution (CC BY) license (https://creativecommons.org/licenses/by/4.0/).
Share and Cite
Loroch, D.; Hackler, S.; Rohrbach, A.; Berndt, J.; Klemme, S. Accretion and Core Formation of Earth-like Planets: Insights from Metal–Silicate Partitioning of Siderophile and Volatile Elements. Geosciences 2024, 14, 281. https://doi.org/10.3390/geosciences14110281
Loroch D, Hackler S, Rohrbach A, Berndt J, Klemme S. Accretion and Core Formation of Earth-like Planets: Insights from Metal–Silicate Partitioning of Siderophile and Volatile Elements. Geosciences. 2024; 14(11):281. https://doi.org/10.3390/geosciences14110281
Chicago/Turabian StyleLoroch, Dominik, Sebastian Hackler, Arno Rohrbach, Jasper Berndt, and Stephan Klemme. 2024. "Accretion and Core Formation of Earth-like Planets: Insights from Metal–Silicate Partitioning of Siderophile and Volatile Elements" Geosciences 14, no. 11: 281. https://doi.org/10.3390/geosciences14110281
APA StyleLoroch, D., Hackler, S., Rohrbach, A., Berndt, J., & Klemme, S. (2024). Accretion and Core Formation of Earth-like Planets: Insights from Metal–Silicate Partitioning of Siderophile and Volatile Elements. Geosciences, 14(11), 281. https://doi.org/10.3390/geosciences14110281

