Effect of Geometric Parameters and Construction Sequence on Ground Settlement of Offset Arrangement Twin Tunnels
Abstract
:1. Introduction
2. Three Dimensional Numerical Simulation
2.1. Constitutive Model Parameters
2.2. Finite Element Mesh and Initial Ground Conditions
2.3. Tunnel Geometry and Excavation Mechanism
- (a)
- Case (i) and (ii): Settlement magnitude has been extracted at the completion of the first tunnel excavation and at the end of the second tunnel excavation. The difference of these two settlement magnitudes is the settlement induced by the new second tunnel excavation.
- (b)
- Case (iii): Settlement magnitude has been extracted at the completion of concurrent twin tunnel excavation. This settlement magnitude can be compared against combined settlement obtained at the end of twin tunnels excavation for cases (i) and (ii).
2.4. Model Validation
3. Interpretation of Results and Discussions
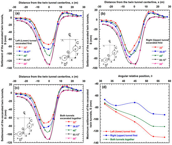
3.1. Effect of Angular Relative Position
3.2. Effect of Angular Spacing
3.3. Effect of Horizontal and Vertical Distance When Angular Spacing Is Fixed
3.4. Effect of Cover-to-Diameter Ratio
3.5. Effect of Construction Sequence
4. Design Charts for Settlement Calculation Due to Excavation of a New Second Tunnel
5. Limitations
- The use of a simple Mohr–Coulomb constitutive model in the analysis is one of the main limitations, as previously discussed in Section 2.1 and Section 3.1. Use of the soft soil model in MIDAS GTS NX can better represent clay behavior, particularly during unloading as is the case in tunnel excavation. Nevertheless, the approach was selected for its simplicity and the parametric nature of the work where various configurations are compared to each other.
- The finite element model of tunnelling by removing gravitational forces corresponding to an initial stress-state tend to predict incorrect shape of ground settlement profiles at the extremities, where deformations due to small strains prevail. The use of a simplified constitutive hypotheses also impacts the shape and magnitude of ground settlement. Studies performed by Cheng et al. [34] and Zhang et al. [35], among others, demonstrated the effectiveness of displacement-controlled method that is capable to limit the movement of the lower portion of the tunnel, for a better prediction of the magnitude and shape of subsidence. Deformation controlled analyses require that the employed displacements be calibrated, but this was not possible in our case due to the lack of data from physical observations. In addition, a displacement-controlled model where displacements can be applied to nodes around the tunnel rather than by applying forces is time consuming for a parametric study and was thus not utilized here. In any case, the results presented focused on parametric comparison of peak settlements and are therefore less affected by the modeling of small strain moduli.
- The results presented herein are relevant to uniform clay profiles with tunnels having C/D < 2.5. For example, it can be seen from this study that the excavation of the lower tunnel at first leads to higher settlement. However, this behavior can be reversed when a tunnel is excavated at much deeper soil (i.e., if the C/D ratio is much higher) and when the top layer of the soil is stiffer. Use of a high modulus of elasticity for the top layer in the FEA model or modeling of deeper excavations will result in fewer settlements for the lower tunnel and reduced upheaval for the upper tunnel.
- The tunnels employed in this parametric study have similar diameters. However, twin tunnels can be of different diameters or shapes especially when an existing tunnel has been constructed decades ago. Variation in tunnel diameter can have little to significant impact on the induced ground settlements, as shown in Figure 6, for a single tunnel excavation. Thus, the results are likely to hold for cases where similar diameters are used for twin tunneling, but less so when tunnels having different diameters are employed.
- The proposed design charts are based on a limited number of analyses performed using FEA models and are only applicable for clay soils similar to the clay profile described in this study. The design charts can be improved with the performance of additional FE analysis at various C/D ratios, angular relative position scenarios, and for various clay profiles. FE analyses were compared to data available in peer reviewed literature; however, the paucity of available data makes this validation limited to a handful of FE analysis and experimental work.
6. Conclusions
- The settlement trough was wider and deeper over the lower tunnel, whether excavated first or excavated second. When the upper tunnels were excavated, relative upheaval was generally observed. The magnitude of the upheaval is slightly larger when the upper tunnel is excavated in a greenfield site compared to when it is excavated in a brownfield site, presumably because brownfield sites provide reinforcement support due to the presence of an existing tunnel. It is also observed that the dominant contributor to the total settlement induced by the excavation of offset arrangement twin tunnels is always the lower tunnel.
- The position of the maximum total settlement is eccentrically displaced towards the new second tunnel, because a region of large strain concentration is believed to occur between the twin tunnels due to the excavation of the new second tunnel. The eccentricity decreases with increased cover depth as well as with the increase in distance (angular spacing) between the tunnels, although it is less definitive for the later.
- As the cover depths of the existing and new tunnels increase, settlement due to the excavation of the new tunnel decreases. Total settlement induced by the excavation of offset arrangement twin tunnels also decreases with the increase in cover-to-diameter (C/D) ratios. Furthermore, the larger the cover depth, the wider the settlement trough is and the more the position of maximum settlement is shifted towards the existing tunnel. However, the position of maximum settlement stays at or around the twin tunnel centerline when both tunnels are constructed concurrently.
- As the angle between the tunnels increases with respect to the horizontal axis, the surface soil settlement induced by the new second tunnel excavation decreases when the lower tunnel is excavated first. However, a distinct trend could not be identified when the upper tunnel is excavated first, because the magnitude of upheaval when the upper tunnel is excavated affects the settlement induced by the lower second tunnel.
- The settlement induced by the excavation of the new lower tunnel is generally larger with the increase in angular spacing when the upper tunnel is excavated first. On the contrary, it is generally observed, for all construction sequences, that as the angular spacing between the tunnels decrease, the total surface soil settlement of the excavated twin tunnels increases. However, a specific magnitude of angular distance can be represented by different dimensions in the horizontal and vertical directions, which can result in different settlement behavior. It can be concluded with caution that the vertical distance (Y) between two offset arrangement tunnels has a significant impact on the total surface settlement induced from the excavation of offset arrangement twin tunnels, whereas the horizontal distance (X) has little to negligible effects.
- The settlement profile is directly influenced by the construction sequence and the position of maximum settlement shifts towards the new upper tunnel when the magnitude of the total settlement increases. For example, the excavation of the lower tunnel at first induces higher total ground settlement than when the upper tunnel is excavated first as well as when both the lower and upper tunnels are excavated concurrently.
- The trough width of the settlement induced by the new second tunnel excavation and the total settlement induced from the twin tunnels excavation increase with the increase in angular relative position until it reaches a certain magnitude, then the trough width is generally stable and approximately constant. This behavior is not definitive for the changing angular spacing; however, it is a less sensitive parameter than the angular relative position since distance does not always correlate with influence zone.
7. Author Biographies
Author Contributions
Funding
Institutional Review Board Statement
Informed Consent Statement
Data Availability Statement
Acknowledgments
Conflicts of Interest
References
- Choi, J.-I.; Lee, S.-W. Influence of existing tunnel on mechanical behavior of new tunnel. KSCE J. Civ. Eng. 2010, 14, 773–783. [Google Scholar] [CrossRef]
- Addenbrooke, T.I. Numerical Analysis of Tunnelling in Stiff Clay. Ph.D. Thesis, Imperial College, London, UK, 1996. [Google Scholar]
- Islam, S.; Iskander, M. Twin tunnelling induced ground settlements: A review. Tunn. Undergr. Space Technol. 2021, 110, 103614. [Google Scholar] [CrossRef]
- Fang, Q.; Tai, Q.; Zhang, D.; Wong, L.N.Y. Ground surface settlements due to construction of closely-spaced twin tunnels with different geometric arrangements. Tunn. Undergr. Space Technol. 2016, 51, 144–151. [Google Scholar] [CrossRef]
- Standing, J.R.; Nyren, R.J.; Longworth, T.I.; Burland, J.B. The measurement of ground movements due to tunnelling at two control sites along the Jubilee Line Extension. In Proceedings of the International Symposium on Geotechnical Aspects of Underground Construction in Soft Ground, London, UK, 15–17 April 1996; Mair, R.J., Taylor, R.N., Eds.; Balkema: Rotterdam, The Netherlands, 1996; pp. 751–756. [Google Scholar]
- Nyren, R.J. Field Measurements above Twin Tunnels in Clay. Ph.D. Thesis, Imperial College, London, UK, 1998. [Google Scholar]
- Chehade, F.H.; Shahrour, I. Numerical analysis of the interaction between twin-tunnels: Influence of the relative position and construction procedure. Tunn. Undergr. Space Technol. 2008, 23, 210–214. [Google Scholar] [CrossRef]
- Midas GTS NX 2019 (v2.1); MIDAS Information Technology Company, Ltd.: Seongnam-si, Korea, 2019.
- Zhang, Z.; Huang, M. Geotechnical influence on existing subway tunnels induced by multiline tunneling in Shanghai soft soil. Comput. Geotech. 2014, 56, 121–132. [Google Scholar] [CrossRef]
- Addenbrooke, T.I.; Potts, D.M. Twin Tunnel Interaction: Surface and Subsurface Effects. Int. J. Géoméch. 2001, 1, 249–271. [Google Scholar] [CrossRef]
- Galli, G.; Grimaldi, A.; Leonardi, A. Three-dimensional modelling of tunnel excavation and lining. Comput. Geotech. 2004, 31, 171–183. [Google Scholar] [CrossRef]
- Ieronymaki, E.S.; Whittle, A.J.; Sureda, D.S. Interpretation of Free-Field Ground Movements Caused by Mechanized Tunnel Construction. J. Geotech. Geoenviron. Eng. 2017, 143, 04016114. [Google Scholar] [CrossRef]
- Skempton, A.W. Discussion: The Planning and Design of New Hong Kong Airport; Institute of Civil Engineers: London, UK, 1957; Volume 7, pp. 305–307. [Google Scholar] [CrossRef] [Green Version]
- Bjerrum, L.; Simons, N.E. Comparison of shear strength characteristics of normally consolidated clays. Nor. Geotech. Inst. Publ. 1960, 35, 13–22. [Google Scholar]
- Janbu, N. Soil compressibility as determined by odometer and triaxial tests. In Proceedings of the European Conference on Soil Mechanics and Foundation Engineering (ECSMFE), Wiesbaden, Germany, 1963; pp. 19–25. [Google Scholar]
- Jaky, J. The coefficient of earth pressure at rest. J. Soc. Hung. Arch. Eng. 1944, 78, 355–358. [Google Scholar]
- Li, Y.Q.; Xie, K.H.; Zhou, J.; Kong, X.L. Analysis of the factors influencing foundation pit deformations. In Geotechnical Aspects of Underground Construction in Soft Ground; Ng, C.W.W., Huang, H.W., Liu, G.B., Eds.; CRC Press: Boca Raton, FL, USA, 2008; pp. 153–158. [Google Scholar]
- Anagnostou, G.; Kovári, K. Face stability conditions with earth-pressure-balanced shields. Tunn. Undergr. Space Technol. 1996, 11, 165–173. [Google Scholar] [CrossRef]
- Rijke, Q.C. Innovation of Stress and Damage Reduction in Bored Tunnels during Construction Based on a Shield Equilibrium Model. Ph.D. Thesis, Delft University of Technology and Holland Railconsult, Utrecht, The Netherlands, 2006. [Google Scholar]
- Mollon, G.; Dias, D.; Soubra, A.-H. Probabilistic analyses of tunneling-induced ground movements. Acta Geotech. 2013, 8, 181–199. [Google Scholar] [CrossRef] [Green Version]
- Divall, S. Ground Movements Associated with Twin-Tunnel Construction in Clay. Ph.D. Thesis, City University London, London, UK, 2013. [Google Scholar]
- Shirlaw, J.; Doran, S.; Benjamin, B. A case study of two tunnels driven in the Singapore ‘Boulder Bed’ and in grouted coral sands. Geol. Soc. London, Eng. Geol. Spéc. Publ. 1988, 5, 93–103. [Google Scholar] [CrossRef]
- Do, N.-A.; Dias, D.; Oreste, P.; Djeran-Maigre, I. Three-dimensional numerical simulation for mechanized tunnelling in soft ground: The influence of the joint pattern. Acta Geotech. 2014, 9, 673–694. [Google Scholar] [CrossRef]
- Chapman, D.N.; Ahn, S.K.; Hunt, D.V. Investigating ground movements caused by the construction of multiple tunnels in soft ground using laboratory model tests. Can. Geotech. J. 2007, 44, 631–643. [Google Scholar] [CrossRef]
- Hefny, A.M.; Chua, H.C.; Jhao, J. Parametric studies on the interaction between Existing and new bored tunnels. Tunn. Undergr. Space Technol. 2004, 19, 471. [Google Scholar]
- Channabasavaraj, W.; Visvanath, B. Influence of relative position of the tunnels: A Numerical study on twin tunnels. In Proceedings of the 7th International Conference on Case Histories in Geotechnical Engineering, Chicago, IL, USA, 29 April–4 May 2013. [Google Scholar]
- Mair, R.J.; Taylor, R.N. Bored tunnelling in the Urban environment. In Proceedings of the 14th International Conference on Soil Mechanics and Foundation Engineering, Hamburg, Germany, 6–12 September 1997; pp. 2353–2385. [Google Scholar]
- Marshall, A.; Farrell, R.; Klar, A.; Mair, R. Tunnels in sands: The effect of size, depth and volume loss on greenfield displacements. Géotechnique 2012, 62, 385–399. [Google Scholar] [CrossRef]
- Ahmed, M.; Iskander, M. Analysis of Tunneling-Induced Ground Movements Using Transparent Soil Models. J. Geotech. Geoenviron. Eng. 2011, 137, 525–535. [Google Scholar] [CrossRef]
- Ahmed, M.; Iskander, M. Evaluation of tunnel face stability by transparent soil models. Tunn. Undergr. Space Technol. 2012, 27, 101–110. [Google Scholar] [CrossRef]
- Ads, A.; Islam, S.; Iskander, M. Effect of Face Losses and Cover-to-Diameter Ratio on Tunneling Induced Settlements in Soft Clay, Using Transparent Soil Models. Geotech. Geol. Eng. 2021, 39, 5529–5547. [Google Scholar] [CrossRef]
- Boonyarak, T.; Ng, C.W. Effects of construction sequence and cover depth on crossing-tunnel interaction. Can. Geotech. J. 2015, 52, 851–867. [Google Scholar] [CrossRef] [Green Version]
- Yamaguchi, I.; Yamazaki, I.; Kiritani, Y. Study of ground-tunnel interactions of four shield tunnels driven in close proximity, in relation to design and construction of parallel shield tunnels. Tunn. Undergr. Space Technol. 1998, 13, 289–304. [Google Scholar] [CrossRef]
- Cheng, C.; Dasari, G.; Chow, Y.; Leung, C. Finite element analysis of tunnel–soil–pile interaction using displacement controlled model. Tunn. Undergr. Space Technol. 2007, 22, 450–466. [Google Scholar] [CrossRef]
- Zhang, Z.; Huang, M.; Zhang, M. Deformation analysis of tunnel excavation below existing pipelines in multi-layered soils based on displacement controlled coupling numerical method. Int. J. Numer. Anal. Methods Géoméch. 2012, 36, 1440–1460. [Google Scholar] [CrossRef]






















| ID | Cover Depth, C | Horizontal Distance, x (D) | Vertical Distance, y (D) | Angular Spacing, Q (D) | Angular Relative Position, θ |
|---|---|---|---|---|---|
| 1 | 1.0 | 1.5 | 1.5 | 2.12 | 45 |
| 2 | 1.5 | 1.5 | 1.5 | 2.12 | 45 |
| 3 | 2.0 | 1.5 | 1.5 | 2.12 | 45 |
| 4 | 1.0 | 2.0 | 2.0 | 2.83 | 45 |
| 5 | 1.0 | 2.0 | 1.5 | 2.50 | 36.87 |
| 6 | 1.0 | 1.25 | 1.25 | 1.77 | 45 |
| 7 | 1.0 | 1.5 | 2.0 | 2.50 | 53.13 |
| 8 | 1.0 | 1.25 | 2.0 | 2.36 | 58 |
| 9 | 1.0 | 2.0 | 1.25 | 2.36 | 32 |
| Material Parameters | Clay Soil | Lining Segment |
|---|---|---|
| Unit weight (kN/m3) | 18.0 | 24.0 |
| Saturated density (kN/m3) | 20.0 | 25.2 |
| Initial Void ratio, e0 | 0.5 | - |
| Coefficient of permeability (m/s) | 1e-5 | - |
| K0 | 0.7412 | 1 |
| Elastic modulus, E (kN/m2) | 2000 + 1500 z 1 | 2.1e7 |
| Undrained poisson’s ratio, ν | 0.495 | - |
| Friction Angle, φ (°) | 15 | - |
| Cohesion, c (kN/m2) | 25 | - |
| Drainage conditions | Undrained | Drained |
| Pressure Parameters | Magnitude |
|---|---|
| Face support pressure | 180 kN/m2 |
| Jack thrust | 4500 kN/m2 |
| Shield external pressure | 50 kN/m2 |
| Segment external pressure | 1000 kN/m2 |
Publisher’s Note: MDPI stays neutral with regard to jurisdictional claims in published maps and institutional affiliations. |
© 2022 by the authors. Licensee MDPI, Basel, Switzerland. This article is an open access article distributed under the terms and conditions of the Creative Commons Attribution (CC BY) license (https://creativecommons.org/licenses/by/4.0/).
Share and Cite
Islam, M.S.; Iskander, M. Effect of Geometric Parameters and Construction Sequence on Ground Settlement of Offset Arrangement Twin Tunnels. Geosciences 2022, 12, 41. https://doi.org/10.3390/geosciences12010041
Islam MS, Iskander M. Effect of Geometric Parameters and Construction Sequence on Ground Settlement of Offset Arrangement Twin Tunnels. Geosciences. 2022; 12(1):41. https://doi.org/10.3390/geosciences12010041
Chicago/Turabian StyleIslam, Md Shariful, and Magued Iskander. 2022. "Effect of Geometric Parameters and Construction Sequence on Ground Settlement of Offset Arrangement Twin Tunnels" Geosciences 12, no. 1: 41. https://doi.org/10.3390/geosciences12010041
APA StyleIslam, M. S., & Iskander, M. (2022). Effect of Geometric Parameters and Construction Sequence on Ground Settlement of Offset Arrangement Twin Tunnels. Geosciences, 12(1), 41. https://doi.org/10.3390/geosciences12010041

