Mapping Landslide Prediction through a GIS-Based Model: A Case Study in a Catchment in Southern Italy
Abstract
1. Introduction
2. Materials and Methods
2.1. The 4SLIDE
2.2. Factor of Safety Index
2.3. Hydrological Model
2.4. The Vegetation Root Strength Model
2.5. 4SLIDE Tool Implementation
Input and Output Tool Data
2.6. Case Study
2.7. Calibration and Sensitivity Analysis
- Cohesion
- Friction angle
- Soil unit weight
- Root cohesion
- Water Unit Weight
2.8. 4SLIDE GIS-Based Model Validation
3. Results
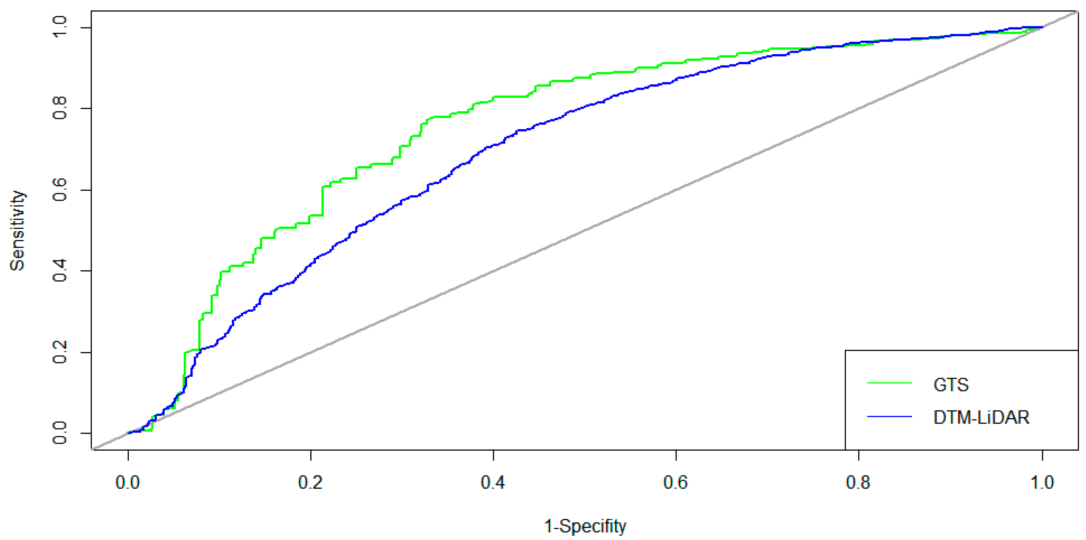
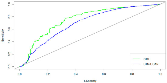
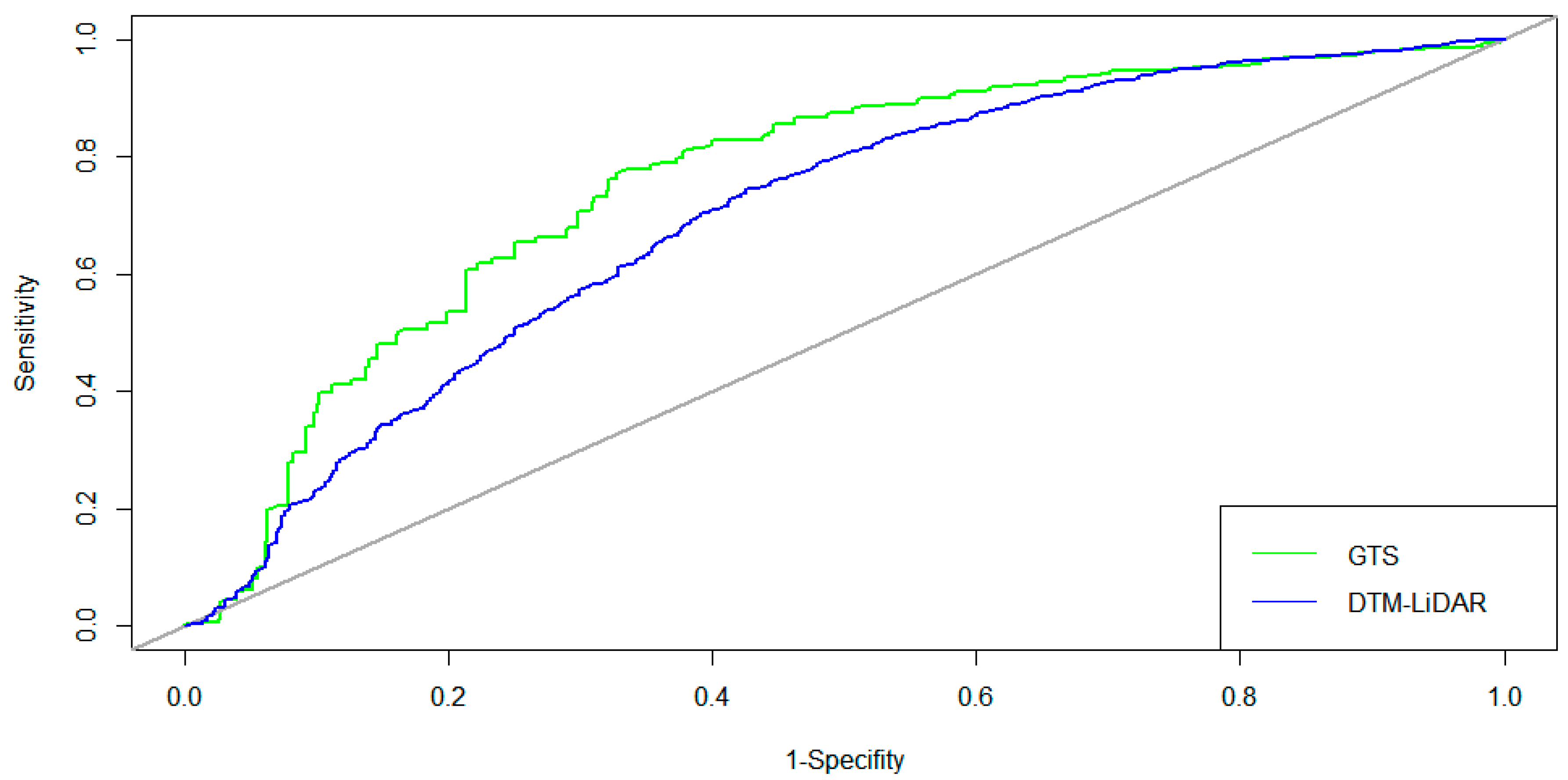
3.1. Performance of 4SLIDE (Calibration/Validation) Using the Physical Similarity Method
3.2. Sensitive Parameters and Their Calibration to Simulate Future Hydrogeological Risk
4. Discussion
5. Conclusions
Author Contributions
Funding
Acknowledgments
Conflicts of Interest
Appendix A







References
- Sidle, R.C.; Ochiai, H. Natural factors influencing landslides. Landslides Process. Predict. Land Use 2006, 18, 41–119. [Google Scholar] [CrossRef]
- Sidle, R.C.; Bogaard, T.A. Dynamic earth system and ecological controls of rainfall-initiated landslides. Earth Sci. Rev. 2016, 159, 275–291. [Google Scholar] [CrossRef]
- Sidle, R.C. A theoretical model of the effects of timber harvesting on slope stability. Water Resour. Res. 1992, 28, 1897–1910. [Google Scholar] [CrossRef]
- Salvati, P.; Bianchi, C.; Rossi, M.; Guzzetti, F. Societal landslide and flood risk in Italy. Nat. Hazards Earth Syst. Sci. 2010, 10, 465–483. [Google Scholar] [CrossRef]
- Trigila, A.; Iadanza, C. Classificazione dei Dissesti e Delle Opere di Difesa del Suolo Nella Banca Dati ReNDiS-Aggiornamento 2013; ISPRA: Roma, Italy, 2013. [Google Scholar]
- Trigila, A.; Iadanza, C.; Esposito, C.; Scarascia-Mugnozza, G. Comparison of Logistic Regression and Random Forests Techniques for Shallow Landslide Susceptibility Assessment in Giampilieri (NE Sicily, Italy). Geomorphology 2015, 249, 119–136. [Google Scholar] [CrossRef]
- Guha-Sapir, D.; Hoyois, P.; Wallemacq, P.; Below, R. Annual Disaster Statistical Review 2016: The Numbers and Trends; Centre for Research on the Epidemiology of Disasters: Brussels, Belgium, 2016. [Google Scholar]
- Guzzetti, F.; Stark, C.P.; Salvati, P. Evaluation of flood and landslide risk to the population of Italy. Environ. Manag. 2005, 36, 15–36. [Google Scholar] [CrossRef] [PubMed]
- Spizzichino, D.; Cacace, C.; Iadanza, C.; Trigila, A. Cultural Heritage exposed to landslide and flood risk in Italy. In Proceedings of the EGU General Assembly Conference Abstracts 2013, Vienna, Austria, 7–12 April 2013; Volume 15. [Google Scholar]
- Canuti, P.; Casagli, N.; Ermini, L.; Fanti, R.; Farina, P. Landslide activity as a geoindicator in Italy: Significance and new perspectives from remote sensing. Environ. Geol. 2004, 45, 907–919. [Google Scholar] [CrossRef]
- Di Lallo, G.; Maesano, M.; Masiero, M.; Mugnozza, G.S.; Marchetti, M. Analyzing strategies to enhance small and low intensity managed forests certification in Europe using SWOT-ANP. Small Scale For. 2016, 15, 393–411. [Google Scholar] [CrossRef]
- Frate, L.; Carranza, M.L.; Garfì, V.; Di Febbraro, M.; Tonti, D.; Marchetti, M.; Ottaviano, M.; Santopuoli, G.; Chirici, G. Spatially explicit estimation of forest age by integrating remotely sensed data and inverse yield modeling techniques. IForest 2016, 9, 63–71. [Google Scholar] [CrossRef]
- Santopuoli, G.; Di Febbraro, M.; Maesano, M.; Balsi, M.; Marchetti, M.; Lasserre, B. Machine Learning Algorithms to Predict Tree-Related Microhabitats using Airborne Laser Scanning. Remote Sens. 2020, 12, 2142. [Google Scholar] [CrossRef]
- Sidle, R.C.; Pearce, A.J.; O’Loughlin, C.L. Hillslope stability and land use. Am. Geophys. Union 1985. [Google Scholar] [CrossRef]
- Maesano, M.; Lasserre, B.; Masiero, M.; Tonti, D.; Marchetti, M. First Mapping of the Main High Conservation Value Forests (HCVFs) at National Scale: The Case of Italy. Plant Biosyst. Int. J. Deal. Asp. Plant Biol. 2016, 150, 208–216. [Google Scholar] [CrossRef]
- Wu, W.; Sidle, R.C. A distributed slope stability model for steep forested basins. Water Resour. Res. 1995, 31, 2097–2110. [Google Scholar] [CrossRef]
- Sidle, R.C.; Wu, W. Simulating effects of timber harvesting on the temporal and spatial distribution of shallow landslides. Z. Geomorphol. 1999, 185–201. [Google Scholar] [CrossRef]
- An, K.; Kim, S.; Chae, T.; Park, D. Developing an accessible landslide susceptibility model using open-source resources. Sustainability 2018, 10, 293. [Google Scholar] [CrossRef]
- Pal, S.C.; Chowdhuri, I. GIS-based spatial prediction of landslide susceptibility using frequency ratio model of Lachung River basin, North Sikkim, India. SN Appl. Sci. 2019, 1, 416. [Google Scholar] [CrossRef]
- Hammond, C.J.; Prellwitz, R.W.; Miller, S.M. Landslide hazard assessment using Monte Carlo simulation. In Proceedings of the 6th International Symposium on Landslides, Christchurch, New Zealand, 10–14 February 1992; Balkema: Amsterdam, The Netherlands; Volume 2, pp. 251–294. [Google Scholar]
- Van Western, C.J.; Terlien, T.J. An approach towards deterministic landslide hazard analysis in GIS: A case study from Manizales (Columbia). Earth Surf. Proc. Landf. 1996, 21, 853–868. [Google Scholar] [CrossRef]
- Chae, B.-G.; Lee, J.-H.; Park, H.-J.; Choi, J. A method for predicting the factor of safety of an infinite slope based on the depth ratio of the wetting front induced by rainfall infiltration. Nat. Hazards Earth Syst. Sci. 2015, 15, 1835–1849. [Google Scholar] [CrossRef]
- Zhao, C.; Lu, Z. Remote sensing of landslides—A review. Remote Sens. 2018, 10, 279. [Google Scholar] [CrossRef]
- Wei, C.; Pourghasemi, H.R.; Kornejady, A.; Xie, X. GIS-Based Landslide Susceptibility Evaluation Using Certainty Factor and Index of Entropy Ensembled with Alternating Decision Tree Models; Springer: Cham, Switzerland, 2019; pp. 225–251. [Google Scholar]
- Montgomery, D.R.; Dietrich, W.E. A physically based model for the topographic control on shallow landsliding. Water Resour. Res. 1994, 30, 1153–1171. [Google Scholar] [CrossRef]
- Beven, K. TOPMODEL: A critique. Hydrol. Process. 1997, 11, 1069–1085. [Google Scholar] [CrossRef]
- Wu, T.H.; McKinnell, W.P., III; Swanston, D.N. Strength of tree roots and landslides on Prince of Wales Island, Alaska. Can. Geotech. J. 1979, 16, 19–33. [Google Scholar] [CrossRef]
- Sidle, R.C.; Alan, D.; Ziegler, J.N.; Nik, N.R.; Siew, R.; Turkelboom, F. Erosion processes in steep terrain—Truths, myths, and uncertainties related to forest management in Southeast Asia. Forest Ecol. Manag. 2006, 224, 199–225. [Google Scholar] [CrossRef]
- Burroughs, B.A.; Hayes, D.B.; Klomp, K.D.; Hansen, J.F.; Mistak, J. Effects of Stronach dam removal on fluvial geomorphology in the Pine River, Michigan, United States. Geomorphology 2009, 110, 96–107. [Google Scholar] [CrossRef]
- Sidle, R.C.; Swanston, D.N. Analysis of a small debris slide in coastal Alaska. Can. Geotech. J. 1982, 19, 167–174. [Google Scholar] [CrossRef]
- Beven, K.; Freer, J. A dynamic topmodel. Hydrol. Process. 2001, 15, 1993–2011. [Google Scholar] [CrossRef]
- Beven, K.J.; Kirkby, M.J.; Schofield, N.; Tagg, A.F. Testing a physically-based flood forecasting model (TOPMODEL) for three UK catchments. J. Hydrol. 1984, 69, 119–143. [Google Scholar] [CrossRef]
- Kirkby, M.J.; Statham, I. Surface stone movement and scree formation. J. Geol. 1975, 83, 349–362. [Google Scholar] [CrossRef]
- Abernethy, B.; Rutherfurd, I.D. The distribution and strength of riparian tree roots in relation to riverbank reinforcement. Hydrol. Process. 2001, 15, 63–79. [Google Scholar] [CrossRef]
- Genet, M.; Stokes, A.; Salin, F.; Mickovski, S.B.; Fourcaud, T.; Dumail, J.F.; Van Beek, R. The influence of cellulose content on tensile strength in tree roots. Plant Soil 2005, 278, 1–9. [Google Scholar] [CrossRef]
- Moresi, F.V.; Maesano, M.; Matteucci, G.; Romagnoli, M.; Sidle, R.C.; Mugnozza, S.G. Root Biomechanical Traits in a Montane Mediterranean Forest Watershed: Variations with Species Diversity and Soil Depth. Forests 2019, 10, 341. [Google Scholar] [CrossRef]
- Pack, R.T.; Tarboton, D.G.; Goodwin, C.N. The SINMAP approach to terrain stability mapping. In Proceedings of the 8th Congress of the International Association of Engineering Geology, Vancouver, BC, Canada, 21–25 September 1998; Volume 21, p. 25. [Google Scholar]
- Guzzetti, F. Landslide fatalities and the evaluation of landslide risk in Italy. Eng. Geol. 2000, 58, 89–107. [Google Scholar] [CrossRef]
- Conforti, M.; Pascale, S.; Robustelli, G.; Sdao, F. Evaluation of prediction capability of the artificial neural networks for mapping landslide susceptibility in the Turbolo River catchment (northern Calabria, Italy). Catena 2014, 113, 236–250. [Google Scholar] [CrossRef]
- Brunori, E.; Maesano, M.; Moresi, F.V.; Matteucci, G.; Biasi, R.; Mugnozza, S.G. The hidden land conservation benefits of olive-based (Olea europaea L.) landscapes: An agroforestry investigation in the southern Mediterranean (Calabria region, Italy). Land Degrad. Dev. 2020, 31, 801–815. [Google Scholar] [CrossRef]
- Iovine, G.G.R.; Gariano, S.L.; Iaquinta, P.; Lollino, P.; Terranova, O.G. Limit Equilibrium Analysis and Real-Time Monitoring as Support for Landslide Risk Mitigation: The San Rocco Case Study at San Benedetto Ullano (Calabria). Disaster Manag. Earth Obs. 2011. [Google Scholar] [CrossRef]
- Collalti, A.; Biondo, C.; Buttafuoco, G.; Maesano, M.; Caloiero, T.; Lucà, F.; Pellicone, G.; Ricca, N.; Salvati, R.; Veltri, A.; et al. Simulation, calibration and validation protocols for the model 3D-CMCC-CNR-FEM: A case study in the Bonis’ watershed (Calabria, Italy). Forest 2017, 14, 247–256. [Google Scholar] [CrossRef]
- Bonardi, G.; Cavazza, W.; Perrone, V.; Rossi, S. Calabria-Peloritani terrane and northern Ionian sea. In Anatomy of an Orogen: The Apennines and Adjacent Mediterranean Basins; Springer: Dordrecht, The Netherlands, 2001; pp. 287–306. [Google Scholar] [CrossRef]
- Bonardi, G.; Capoa, P.D.; Staso, A.D.; Perrone, V.; Sonnino, M.; Tramontana, M. The age of the Paludi Formation: A major constraint to the beginning of the Apulia-verging orogenic transport in the northern sector of the Calabria–Peloritani Arc. Terra Nova 2005, 17, 331–337. [Google Scholar] [CrossRef]
- Barone, M.; Dominici, R.; Muto, F.; Critelli, S. Detrital modes in a late Miocene wedge-top basin, northeastern Calabria, Italy: Compositional record of wedge-top partitioning. J. Sediment. Res. 2008, 78, 693–711. [Google Scholar] [CrossRef]
- Corbi, F.; Fubelli, G.; Lucà, F.; Muto, F.; Pelle, T.; Robustelli, G.; Scarciglia, F.; Dramis, F. Vertical movements in the Ionian margin of the Sila Massif (Calabria, Italy). Ital. J. Geosci. 2009, 128, 731–738. [Google Scholar] [CrossRef]
- Raab, G.; Halpern, D.; Scarciglia, F.; Raimondi, S.; Norton, K.; Pettke, T.; Hermann, J.; de Castro Portes, R.; Sanchez, A.M.A.; Egli, M. Linking tephrochronology and soil characteristics in the Sila and Nebrodi mountains, Italy. Catena 2017, 158, 266–285. [Google Scholar] [CrossRef]
- Conforti, M.; Lucà, F.; Scarciglia, F.; Matteucci, G.; Buttafuoco, G. Soil carbon stock in relation to soil properties and landscape position in a forest ecosystem of southern Italy (Calabria region). Catena 2016, 144, 23–33. [Google Scholar] [CrossRef]
- Callegari, G.; Ferrari, E.; Garfiz, G.; Iovino, F.; Veltri, A. Impact of thinning on the water balance of a catchment in a Mediterranean environment. For. Chron. 2003, 79, 301–306. [Google Scholar] [CrossRef]
- Bellotti, R.; Selleri, G. Correlazione tra le caratteristiche geotecniche di alcuni terreni di fondazione e confronto tra i risultati ottenibili con l’applicazione di diversi metodi di calcolo del carico ammissibile. Riv. Ital. Geotec. 1969, 2, 95–103. [Google Scholar]
- Morris, M.D. Factorial sampling plans for preliminary computational experiments. Technometrics 1991, 33, 161–174. [Google Scholar] [CrossRef]
- Collalti, A.; Thornton, P.E.; Cescatti, A.; Rita, A.; Nolè, A.; Borghetti, M.; Trotta, C.; Ciais, P.; Matteucci, G. The sensitivity of the forest carbon budget shifts between different parameters and processes along stand development and climate change. Ecol. Appl. 2019, 29, e01837. [Google Scholar] [CrossRef] [PubMed]
- Rossi, L.M.; Rapidel, B.; Roupsard, O.; Villatoro-Sánchez, M.; Mao, Z.; Nespoulous, J.; Perez, J.; Prieto, I.; Roumet, C.; Metselaar, K.; et al. Sensitivity of the landslide model LAPSUS_LS to vegetation and soil parameters. Ecol. Eng. 2017, 109, 249–255. [Google Scholar] [CrossRef]
- Fawcett, T. An introduction to ROC analysis. Pattern Recognit. Lett. 2006, 27, 861–874. [Google Scholar] [CrossRef]
- DeLong, E.R.; DeLong, D.M.; Clarke-Pearson, D.L. Comparing the areas under two or more correlated receiver operating characteristic curves: A non-parametric approach. Biometrics 1988, 44, 837–845. [Google Scholar] [CrossRef]
- Formetta, G.; Rago, V.; Capparelli, G.; Rigon, R.; Muto, F.; Versace, P. Integrated physically based system for modeling landslide susceptibility. Procedia Earth Planet. Sci. 2014, 9, 74–82. [Google Scholar] [CrossRef]
- Nilsson, B.; Højberg, A.L.; Refsgaard, J.C.; Troldborg, L. Uncertainty in geological and hydrogeological data. Hydrol. Earth Syst. Sci. Discuss. 2006, 3, 2675–2706. [Google Scholar] [CrossRef]
- Vieira, B.C.; Fernandes, N.F. Shallow landslide prediction in the Serra do Mar, São Paulo, Brazil. Nat. Hazards Earth Syst. Sci. 2010, 10, 1829–1837. [Google Scholar] [CrossRef]
- Dietrich, W.; Montgomery, D. A Digital Terrain Model for Mapping Shallow Landslide Potential (SHALSTAB); University of California: Berkeley, CA, USA, 1988. [Google Scholar]
- Martínez-Graña, A.M.; Goy, J.L.; Zazo, C. Geomorphological applications for susceptibility mapping of landslides in natural parks. Environ. Eng. Manag. J. (EEMJ) 2009, 15, 327–338. [Google Scholar] [CrossRef]
- Toth, C.K.; Mora, O.E.; Lenzano, M.G.; Grejner-Brzezinska, D.A.; Beach, K. Landslide hazard detection from LiDAR data. In Proceedings of the ASPRS 2013 Annual Conference, Baltimore, MD, USA, 26–28 March 2013; pp. 24–28. [Google Scholar]










| Predicted Stability Zone | Relative Slide Ranking | Factor of Safety Index (FS) |
|---|---|---|
| Upper Threshold of Instability | High | 0 < FS ≤ 0.5 |
| Lower Threshold of Instability | Moderate | 0.5 < FS ≤ 1 |
| Nominally Stable | Low | 1 < FS ≤ 1.3 |
| Moderately Stable | Very Low | 1.3 < FS ≤ 1.50 |
| Stable | Stable | FS > 1.50 |
| Input Parameters | Description | Numerical Value/Input Type Data |
|---|---|---|
| Cell Size (m) | Size of the cell side | N.V. |
| Transmissivity (m2/h) | Transmissivity: the rate at which groundwater flows horizontally through an aquifer. | N.V./raster map |
| Effective Drainable Porosity | Porosity: a measure of the void spaces in a material quantified as the fraction of the volume of voids per unit volume. | N.V./raster map |
| Basin Area (m2) | A drainage basin or catchment basin is the area of land where all surface water converges to a single point at a lower elevation, usually the outlet of the basin. | N.V. |
| Flow at the Watershed Outlet (m3/s) | The flow rate is the amount of water that crosses a channel cross-section of area A per unit time. | N.V./raster map |
| Input Raster DTM | Digital terrain model (DTM) is a 3D representation of the terrain surface. | Raster DTM |
| Root Cohesion (kPa) | Root systems contribute to soil strength by providing an artificial cohesion that can be added to effective soil cohesion in the Mohr-Couloumb equation for shear strength. | N.V./raster map |
| Cohesion (kPa) | Soil cohesion is the inherent “stickiness” of the material, caused by the attraction of its molecules to each other. For example, clay soils are cohesive, while dry sand is non-cohesive. | N.V./raster map |
| Internal Angle Of Friction (Rad) | Soil friction angle is a parameter related to shear strength of soils. It is experimentally derived from Mohr-Coulomb failure criterion and is used to describe the frictional shear resistance of soil grains together with the normal effective stress. | N.V./raster map |
| Weight of Saturated Soil (kg/cm3) | Moist unit weight, which is the unit weight of a soil when all void spaces are filled with water. | N.V./raster map |
| Soil Depth (m) | Soil depth is the vertical soil thickness. | N.V./raster map |
| Weight of Soil (kg/cm3) | Dry unit weight is the unit weight of a soil when all void spaces of the soil are completely filled with air. | N.V./raster map |
| Lithology | Cohesion (kPa) | Internal Friction Angle (rad) | Unit Weight of Soil (kN/m3) | Unit Weight of Saturated Soil (kN/m3) | Hydraulic Conductivity m2/h |
|---|---|---|---|---|---|
| Clay and sand | 13.72 | 0.37 | 15.3 | 19.2 | 0.172 |
| Clay | 20.30 | 0.34 | 13.6 | 18.5 | 0.072 |
| Sand | 0 | 0.61 | 13.4 | 16.9 | 0.802 |
| Sand and Silt | 8.16 | 0.52 | 14.8 | 18.8 | 0.680 |
| Silt | 12.74 | 0.42 | 16.6 | 20.6 | 0.502 |
| Area under the ROC Curve | Validation |
|---|---|
| A.U.C. ≤ 0.5 | Poor |
| 0.5 < A.U.C. < 0.7 | Slight |
| 0.7 < A.U.C. ≤ 0.9 | Fair |
| 0.9 < A.U.C. < 1.0 | Moderate |
| A.U.C. = 1.0 | Perfect |
| Input Parameter | Percentage Variation | Mean FS | FS Max | FS Min | Percentage Variation | mi |
|---|---|---|---|---|---|---|
| Cohesion | 10 | 1.67 | 284.03 | 0.14 | 2.158 | 0.192454858 |
| 5 | 1.68 | 280.32 | 0.14 | 0.823 | ||
| −5 | 1.65 | 275.57 | 0.14 | −0.886 | ||
| −10 | 1.64 | 273.46 | 0.13 | −1.646 | ||
| Friction Angle | 10 | 1.81 | 301.81 | 0.24 | 8.551 | 0.083363123 |
| 5 | 1.74 | 289.84 | 0.23 | 4.245 | ||
| −5 | 1.60 | 266.39 | 0.22 | −4.188 | ||
| −10 | 1.53 | 254.89 | 0.21 | −8.322 | ||
| Root Cohesion | 10 | 3.25 | 279.79 | 0.22 | 0.633 | 6.7987 × 10−17 |
| 5 | 1.67 | 278.91 | 0.22 | 0.316 | ||
| −5 | 3.22 | 277.15 | 0.14 | −0.316 | ||
| −10 | 3.21 | 276.27 | 0.14 | −0.633 | ||
| Soil Unit Weight | 10 | 1.69 | 285.48 | 0.21 | 2.678 | 0.1860320961 |
| 5 | 1.66 | 281.55 | 0.22 | 1.265 | ||
| −5 | 1.65 | 274.87 | 0.23 | −1.138 | ||
| −10 | 1.64 | 272.01 | 0.24 | −2.168 | ||
| Water Unit Weight | 10 | 1.67 | 278.03 | 0.22 | −0.002 | 4.25108 × 10−6 |
| 5 | 1.67 | 278.03 | 0.22 | −0.001 | ||
| −5 | 1.67 | 278.04 | 0.22 | 0.001 | ||
| −10 | 1.67 | 278.04 | 0.22 | 0.002 |
© 2020 by the authors. Licensee MDPI, Basel, Switzerland. This article is an open access article distributed under the terms and conditions of the Creative Commons Attribution (CC BY) license (http://creativecommons.org/licenses/by/4.0/).
Share and Cite
Moresi, F.V.; Maesano, M.; Collalti, A.; Sidle, R.C.; Matteucci, G.; Scarascia Mugnozza, G. Mapping Landslide Prediction through a GIS-Based Model: A Case Study in a Catchment in Southern Italy. Geosciences 2020, 10, 309. https://doi.org/10.3390/geosciences10080309
Moresi FV, Maesano M, Collalti A, Sidle RC, Matteucci G, Scarascia Mugnozza G. Mapping Landslide Prediction through a GIS-Based Model: A Case Study in a Catchment in Southern Italy. Geosciences. 2020; 10(8):309. https://doi.org/10.3390/geosciences10080309
Chicago/Turabian StyleMoresi, Federico Valerio, Mauro Maesano, Alessio Collalti, Roy C. Sidle, Giorgio Matteucci, and Giuseppe Scarascia Mugnozza. 2020. "Mapping Landslide Prediction through a GIS-Based Model: A Case Study in a Catchment in Southern Italy" Geosciences 10, no. 8: 309. https://doi.org/10.3390/geosciences10080309
APA StyleMoresi, F. V., Maesano, M., Collalti, A., Sidle, R. C., Matteucci, G., & Scarascia Mugnozza, G. (2020). Mapping Landslide Prediction through a GIS-Based Model: A Case Study in a Catchment in Southern Italy. Geosciences, 10(8), 309. https://doi.org/10.3390/geosciences10080309

