Discovery of Ancient Volcanoes in the Okhotsk Sea (Russia): New Constraints on the Opening History of the Kurile Back Arc Basin
Abstract
1. Introduction
2. Materials and Methods
3. Results
3.1. Morphology
3.2. Sampling and Petrography
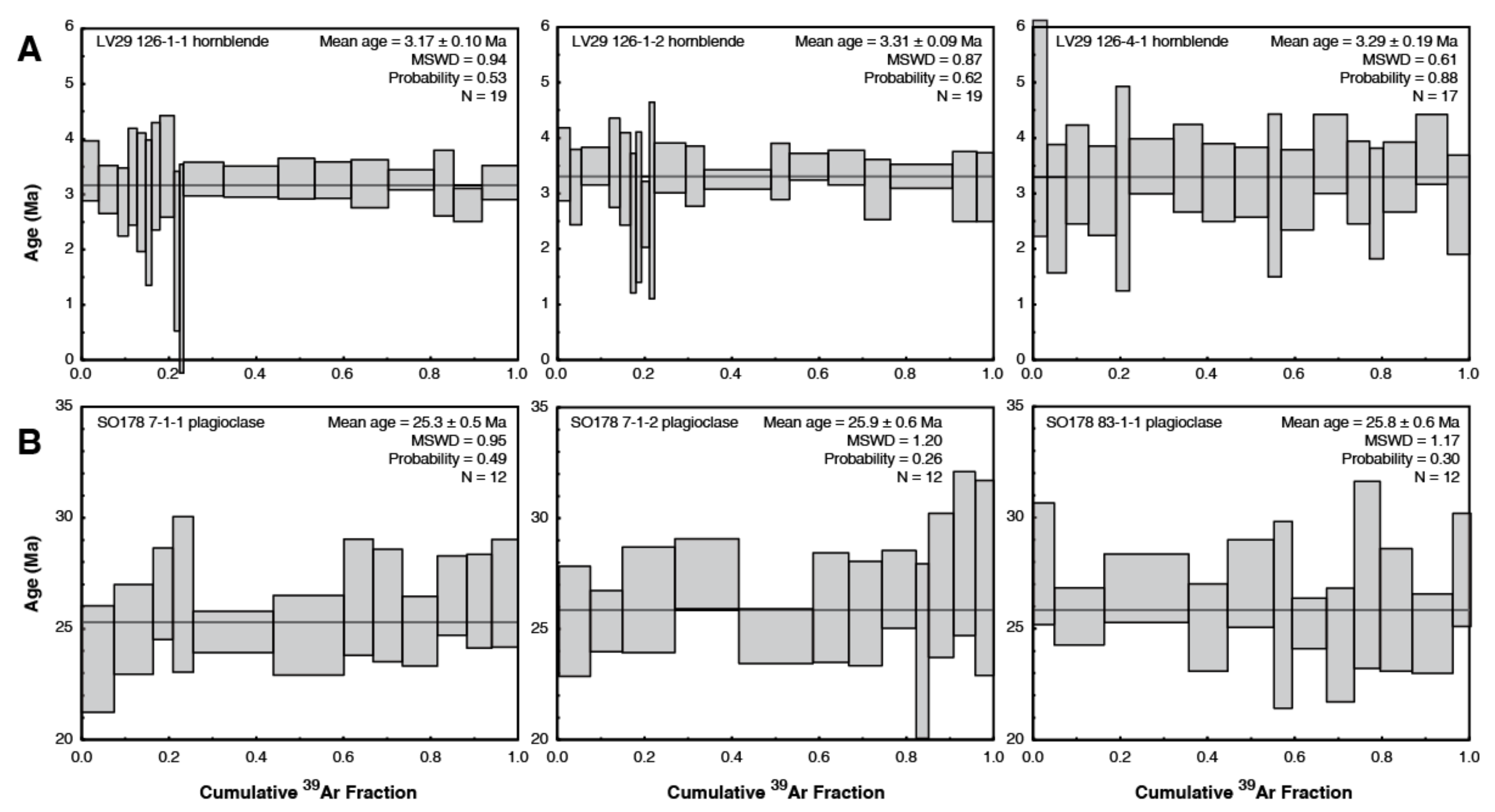
3.3. Ar/Ar Age Dating
3.4. Geochemistry
| Hydrographer Ridge | Central “Sonne Volcano” | ||||||
|---|---|---|---|---|---|---|---|
| LV29 126-1-1 | LV29 126-1-2 | LV29 126-1-2 Replicate | LV-29 126-4-1 | SO178 DR7-1-1 | SO178 DR7-1-2 | SO178 DR83-1-1 | |
| Major elements in weight percent (wt.%) | |||||||
| SiO2 | 57.29 | 56.59 | 50.61 | 59.5 | 60.06 | 60.14 | |
| TiO2 | 0.63 | 0.64 | 1.07 | 0.83 | 0.86 | 0.97 | |
| AL2O3 | 17.33 | 17.40 | 19.90 | 19.39 | 19.44 | 19.22 | |
| Fe2O3 | 6.16 | 6.34 | 7.30 | 5.67 | 5.74 | 5 | |
| MnO | 0.16 | 0.16 | 0.12 | 0.13 | 0.16 | 0.09 | |
| MgO | 3.12 | 3.30 | 3.46 | 0.34 | 0.41 | 0.38 | |
| CaO | 6.73 | 6.93 | 11.40 | 3.12 | 3.11 | 3.36 | |
| Na2O | 3.65 | 3.60 | 3.15 | 6.03 | 6.03 | 6.06 | |
| K2O | 2.98 | 2.88 | 1.79 | 3.82 | 3.91 | 3.25 | |
| P2O5 | 0.38 | 0.39 | 0.39 | 0.28 | 0.3 | 0.31 | |
| SUM | 98.43 | 98.23 | 99.19 | 99.11 | 100.02 | 98.78 | |
| H2O | 1.34 | 1.41 | 0.92 | 0.73 | 0.81 | 0.63 | |
| CO2 | 0.01 | 0.01 | 0.02 | 0.03 | 0.02 | 0.01 | |
| Total | 99.78 | 99.65 | 100.13 | 99.87 | 100.85 | 99.42 | |
| Mg# * | 0.53 | 0.53 | 0.51 | 0.12 | 0.14 | 0.14 | |
| Trace elements in parts per million (ppm) | |||||||
| Li | 5.85 | 6.46 | 6.40 | 4.33 | 8.49 | 9.80 | 7.52 |
| Sc | 14.3 | 14.1 | 14.2 | 32.8 | 15.2 | 15.0 | 14.5 |
| V | 161 | 152 | 154 | 296 | 38.4 | 38.4 | 55.5 |
| Cr | 36.2 | 28.4 | 28.1 | 222 | 0.89 | 0.50 | 0.805 |
| Co | 15.2 | 15.1 | 15.1 | 19.6 | 3.78 | 4.53 | 3.77 |
| Ni | 13.8 | 15.0 | 14.9 | 27.1 | 41.8 | 59.4 | 32.4 |
| Cu | 16.7 | 18.8 | 18.6 | 46.2 | 8.02 | 9.24 | 4.63 |
| Zn | 67.7 | 66.1 | 64.8 | 72.1 | 93.9 | 121 | 89.0 |
| Ga | 18.9 | 18.1 | 18.1 | 19.3 | 23.1 | 22.8 | 21.9 |
| Rb | 85.5 | 79.4 | 78.5 | 26.8 | 64.4 | 67.0 | 56.3 |
| Sr | 685 | 677 | 676 | 713 | 276 | 282 | 309 |
| Y | 28.2 | 27.7 | 27.4 | 26.9 | 48.4 | 51.2 | 50.5 |
| Zr | 141 | 124 | 123 | 98.5 | 330 | 328 | 337 |
| Nb | 12.8 | 12.0 | 11.9 | 11.2 | 9.90 | 9.93 | 11.1 |
| Mo | 2.21 | 2.13 | 2.16 | 1.42 | |||
| Sn | 0.92 | 0.86 | 0.85 | 0.89 | |||
| Sb | 0.12 | 0.10 | 0.10 | 0.09 | |||
| Cs | 4.53 | 4.39 | 4.34 | 0.88 | 1.32 | 1.32 | 0.69 |
| Ba | 600 | 570 | 569 | 354 | 715 | 712 | 747 |
| La | 29.4 | 28.9 | 28.6 | 17.0 | 34.2 | 35.9 | 33.5 |
| Ce | 62.3 | 61.7 | 61.1 | 37.7 | 72.4 | 73.7 | 70.6 |
| Pr | 8.18 | 8.08 | 8.02 | 5.24 | 10.0 | 10.3 | 10.1 |
| Nd | 33.0 | 32.8 | 32.5 | 22.9 | 44.0 | 45.6 | 45.1 |
| Sm | 7.22 | 7.32 | 7.23 | 5.33 | 9.82 | 9.91 | 9.98 |
| Eu | 1.85 | 1.87 | 1.85 | 1.59 | 2.56 | 2.53 | 2.60 |
| Gd | 7.10 | 7.08 | 7.09 | 5.40 | 9.56 | 9.78 | 9.61 |
| Tb | 0.94 | 0.95 | 0.93 | 0.78 | 1.42 | 1.43 | 1.46 |
| Dy | 5.01 | 5.01 | 4.91 | 4.60 | 9.33 | 9.27 | 9.59 |
| Ho | 0.93 | 0.93 | 0.91 | 0.91 | 1.91 | 1.92 | 1.95 |
| Er | 2.54 | 2.50 | 2.46 | 2.55 | 5.70 | 5.77 | 5.88 |
| Tm | 0.38 | 0.37 | 0.36 | 0.37 | 0.81 | 0.81 | 0.83 |
| Yb | 2.63 | 2.54 | 2.48 | 2.49 | 5.40 | 5.49 | 5.79 |
| Lu | 0.40 | 0.38 | 0.38 | 0.37 | 0.84 | 0.85 | 0.86 |
| Hf | 3.39 | 3.06 | 3.02 | 2.48 | 8.96 | 8.99 | 8.64 |
| Ta | 0.76 | 0.70 | 0.70 | 0.61 | 0.79 | 0.79 | 0.84 |
| Tl | 0.91 | 0.90 | 0.88 | 0.26 | 0.46 | 0.43 | 0.36 |
| Pb | 5.44 | 5.46 | 5.35 | 2.78 | 7.77 | 7.63 | 7.57 |
| Th | 5.20 | 5.10 | 4.98 | 2.33 | 7.44 | 7.48 | 7.75 |
| U | 1.84 | 1.79 | 1.78 | 2.68 | 1.71 | 1.68 | 1.98 |
| Hydrographer Ridge | Central “Sonne Volcano” | |||||
|---|---|---|---|---|---|---|
| LV29 126-1-1 | LV29 126-1-2 | LV-29 126-4-1 | SO178 DR7-1-1 | SO178 DR7-1-2 | SO178 DR83-1-1 | |
| 87Sr/86Sr | 0.703149 | 0.703178 | 0.702850 | 0.703145 | 0.703144 | 0.703174 |
| 2 SE | 0.000003 | 0.000002 | 0.000003 | 0.000005 | 0.000005 | 0.000005 |
| 143Nd/144Nd | 0.512974 | 0.512956 | 0.513053 | 0.512990 | 0.512989 | 0.512979 |
| 2 SE | 0.000002 | 0.000002 | 0.000003 | 0.000002 | 0.000002 | 0.000001 |
| 206Pb/204Pb | 18.367 | 18.373 | 18.325 | 18.044 | 18.043 | 18.096 |
| 2 SE | 0.0004 | 0.0004 | 0.0004 | 0.001 | 0.001 | 0.001 |
| 207Pb/204Pb | 15.478 | 15.481 | 15.474 | 15.466 | 15.464 | 15.475 |
| 2 SE | 0.0004 | 0.0004 | 0.0004 | 0.001 | 0.001 | 0.001 |
| 208Pb/204Pb | 38.110 | 38.121 | 38.058 | 37.867 | 37.860 | 37.929 |
| 2 SE | 0.0011 | 0.0012 | 0.0009 | 0.002 | 0.002 | 0.001 |
4. Discussion
4.1. Opening and Early Evolution of the Kurile Basin
4.2. Comparison of General Characteristics of the Back Arc Basins Along the Eastern Margin of Eurasia
Supplementary Materials
Author Contributions
Funding
Acknowledgments
Conflicts of Interest
References
- Savostin, L.A.; Zonenshain, L.P.; Baranov, B.V. Geology and plate tectonics of the Sea of Okhotsk. In Geodynamics of the Western Pacific; Hilde, T.W.H., Uyeda, S., Eds.; AGU Geodynamics Series 11; AGU Publications: Washington, DC, USA, 1983; pp. 189–221. [Google Scholar]
- Kimura, G.; Tamaki, K. Collision; rotation; and back-arc spreading in the region of the Okhotsk and Japan Seas. Tectonics 1986, 5, 386–401. [Google Scholar] [CrossRef]
- Jolivet, L. American-Eurasia plate boundary in eastern Asia and the opening of marginal seas. Earth Planet. Sci. Lett. 1987, 81, 282–288. [Google Scholar] [CrossRef]
- Maeda, J. Opening of the Kurile Basin deduced from the magmatic history of Central Hokkaido; North Japan. Tectonophysics 1990, 174, 235–255. [Google Scholar] [CrossRef]
- Gnibidenko, H.S.; Hilde, T.W.C.; Gretskaya, E.V.; Andreev, A.A. Kurile (South Okhotsk) back-arc basin. In Back-Arc Basins: Tectonics and Magmatism; Taylor, B., Ed.; Plenum: New York, NY, USA, 1995; pp. 421–449. [Google Scholar]
- Baranov, B.; Wong, H.K.; Dozorova, K.; Kimura, B.; Lüdmann, T.; Karnaukh, V. Opening geometry of the Kurile Basin (Okhotsk Sea) as inferred from structural data. Island Arc 2002, 11, 206–219. [Google Scholar] [CrossRef]
- Kharakhinov, V.V. Tectonics and development history of the sedimentary basins. In Structure and Dynamics of the Lithosphere and Asthenosphere of the Okhotsk Region; Rodnikov, A.G., Tuezov, I.K., Kharakhinov, V.V., Eds.; Russian Academy of Sciences: Moscow, Russia, 1996; pp. 256–305. (In Russian) [Google Scholar]
- Hayashi, T. The Study of Thermal Structure and Tectonic History of the Derugin Basin, Sea of Okhotsk. Master’s Thesis, Earthquake Research Institute, University of Tokyo, Tokyo, Japan, 1997. [Google Scholar]
- Karp, B.Y.; Karnaukh, V.N.; Baranov, B.V.; Dozorova, K.A. Seismic stratigraphy and sedimentary processes on the Kurile Basin northern slope (Okhotsk Sea). Mar. Geol. 2006, 228, 1–14. [Google Scholar] [CrossRef]
- Terekhov, E.P.; Tsoy, I.B.; Vashchenkova, N.G.; Mozherovskii, A.V.; Gorovaya, M.T. Sedimentation Settings and Evolution History of the Kuril Basin (Sea of Okhotsk) in the Cenozoic. Oceanology 2008, 48, 609–617. [Google Scholar] [CrossRef][Green Version]
- Emel’yanova, T.A.; Lelikov, E.P. Geochemistry and Petrogenesis of the Late Mesozoic–Early Cenozoic Volcanic rocks of the Okhotsk and Japan Marginal Seas. Geochem. Int. 2016, 54, 509–521. [Google Scholar] [CrossRef]
- Takeuchi, T.; Kodama, K.; Ozawa, T. Paleomagnetic evidence for block rotations in central Hokkaido-south Sakhalin, Northeast Asia. Earth Planet. Sci. Lett. 1999, 169, 7–21. [Google Scholar] [CrossRef]
- Ikeda, Y.; Stern, R.; Kagami, H.; Sun, C.-H. Pb, Nd, and Sr isotopic constraints on the origin of Miocene basaltic rocks from northeast Hokkaido, Japan: Implications for opening of the Kurile back-arc basin. Island Arc 2000, 9, 161–172. [Google Scholar] [CrossRef]
- Avdeiko, G.P.; Volynets, O.N.; Antonov, A.Y.; Bondarenko, V.I.; Rashidov, V.A.; Gladkov, N.G. Catalogue of submarine volcanoes of the Kurile Arc, North Iturup group. In Submarine Volcanism and Zonality of the Kurile Island Arc; Puscharovsky, Y.M., Ed.; Nauka: Moscow, Russia, 1992; pp. 172–198. (In Russian) [Google Scholar]
- Lelikov, E.P.; Emel’yanova, T.A.; Baranov, B.V. Magmatism of the submarine Vityaz Ridge (Pacific slope of the Kurile Island Arc). Oceanology 2008, 48, 239–249. [Google Scholar] [CrossRef]
- Emel’yanova, T.A.; Lelikov, E.P.; Kostitsyn, Y.A. Geochemistry of the submarine Vityaz Ridge at the Pacific slope of the Kurile Island Arc. Geochem. Int. 2012, 50, 289–303. [Google Scholar] [CrossRef]
- Baranov, B.V.; Werner, R.; Hoernle, K.A.; Tsoy, I.B.; Bogaard, P.v.d.; Tararin, I.A. Evidence for compressionally induced high subsidence rates in the Kurile Basin (Okhotsk Sea). Tectonophysics 2002, 350, 63–97. [Google Scholar] [CrossRef]
- Tuezov, I.K. Submarine volcanoes of the Kurile Basin (Okhotsk Sea). Pap. Acad. Sci. USSR 1977, 232, 198–200. (In Russian) [Google Scholar]
- Nürnberg, D.; Baranov, B.V.; Karp, B.Y. R/V Akademik M. A. Lavrentyev Cruise 27; GEOMAR Reports: Kiel, Germany, 1997; pp. 1–69. [Google Scholar]
- Biebow, N.; Hütten, E. Cruise Report KOMEX I and II: RV Professor Gagarinsky Cruise 22; RV Akademik M. A. Lavrentiev Cruise 28; GEOMAR Reports: Kiel, Germany, 1999; pp. 1–188. [Google Scholar]
- Galperin, E.I.; Kosminskaya, I.P. (Eds.) Structure of the Earth’s Crust in the Transition Zone from the Asian Continent to the Pacific Ocean; Science: Moscow, Russia, 1964; pp. 1–306. [Google Scholar]
- Biebow, N.; Kulinich, R.; Baranov, B. KOMEX II, Kurile Okhotsk Sea Marine Experiment: Cruise Report RV Akademik M.A.Lavrentyev Cruise 29, Leg 1 and Leg 2; IFM-GEOMAR: Kiel, Germany, 2003; p. 190. [Google Scholar]
- Dullo, W.C.; Biebow, N.; Georgeleit, K. SO178-KOMEX Cruise Report: Mass Exchange Processes and Balances in the Okhotsk Sea; IFM-GEOMAR: Kiel, Germany, 2004; p. 125. [Google Scholar]
- Lanphere, M.A.; Dalrymple, G.B. First-principles calibration of 38Ar tracers; implications for the ages of 40Ar/39Ar fluence monitors. USGS Prof. Pap. 2000, 1621, 1–10. [Google Scholar]
- Garbe-Schönberg, C.-D. Simultaneous determination of thirty-seven trace elements in twenty-eight international rock standards by ICP-MS. Geostand. Newsl. 1993, 17, 81–97. [Google Scholar] [CrossRef]
- Schwarz, S.; Klügel, A.; Van den Bogaard, P.; Geldmacher, J. Internal structure and evolution of a volcanic rift system in the eastern North Atlantic: The Desertas rift zone, Madeira archipelago. J. Volcanol. Geotherm. Res. 2005, 14, 123–155. [Google Scholar] [CrossRef]
- Hoernle, K.; Tilton, G. Sr-Nd-Pb isotope data for Fuerteventura (Canary Islands) basal complex and subaerial volcanics: Applications to magma genesis and evolution. Schw. Mineral. Petrograph. Mitt. 1991, 71, 5–21. [Google Scholar]
- Todt, W.; Cliff, R.A.; Hanser, A.; Hofmann, A.W.H. Evaluation of a 202Pb-205Pb double spike for high precision lead isotope analyses. In Earth Processes: Reading the Isotopic Code; Hart, S., Ed.; AGU: Washington, DC, USA, 1996; Volume 95, pp. 429–437. [Google Scholar]
- Karp, B.Y.; Baranov, B.V.; Karnaukh, V.N.; Prokudin, V. Refraction seismics. In Cruise Report R/V Akademik M.A.Lavrentiev Cruise 29; Leg 1 and 2; Biebow, N., Kulinich, R., Baranov, B., Eds.; GEOMAR Reports: Kiel, Germany, 2003; pp. 176–184. [Google Scholar]
- Werner, R.; Tararin, I.; Lelikov, E.P.; Baranov, B. Petrology and volcanology. In Cruise Report R/V Akademik M.A. Lavrentiev cruise 29; Leg 1 and 2; Biebow, N., Kulinich, R., Baranov, B., Eds.; GEOMAR Reports: Kiel, Germany, 2003; pp. 168–174. [Google Scholar]
- Werner, R.; Tararin, I.; Baranov, B. Petrology and volcanology. In SO178-KOMEX Cruise Report: Mass Exchange Processes and Balances in the Okhotsk Sea; Dullo, W.C., Biebow, N., Georgeleit, K., Eds.; IFM-GEOMAR: Kiel, Germany, 2004; pp. 115–121. [Google Scholar]
- Ludwig, K.R. Isoplot 3.00: A Geochronological Toolkit for Microsoft Excel; Special Publication No. 4; Berkeley Geochronological Center: Berkeley, CA, USA, 2003; pp. 1–74. [Google Scholar]
- Le Bas, M.J.; Le Maitre, R.W.; Streckeisen, A.; Zanettin, B.A. Chemical classification of volcanic rocks based on the total alkali-silica diagram. J. Petrol. 1986, 27, 745–750. [Google Scholar] [CrossRef]
- Hofmann, A.W. Chemical differentiation of the Earth: The relationship between mantle, continental crust, and oceanic crust. Earth Planet. Sci. Lett. 1988, 90, 297–314. [Google Scholar] [CrossRef]
- McDonough, W.F.; Sun, S.-S. The composition of the Earth. Chem. Geol. 1995, 120, 223–253. [Google Scholar] [CrossRef]
- Bindeman, I.N.; Bailey, J.C. Trace elements in anorthite megacrysts from the Kurile Island Arc: A window to across-arc geochemical variation in magma compositions. Earth Planet. Sci. Lett. 1999, 169, 209–226. [Google Scholar] [CrossRef]
- Hoernle, K.; Werner, R.; Volynets, O.; Avdeiko, G.; Schmidt, A.; Wenskowski, B.; Doubik, P.; Tararin, I.A. Magma genesis beneath the Kurile Island arc: The fundamental role of fluids in subduction zones. In Proceedings of the Third Workshop on Russian-German Cooperation in the Okhotsk Sea—Kurile Island arc system (KOMEX), Moscow, Russia, 17–19 April 2000; Institute of Oceanology: Moscow, Russia, 2000; p. 31. [Google Scholar]
- Martynov, A.Y.; Kimura, J.-I.; Martynov, Y.A.; Rybin, A.V. Geochemistry of late Cenozoic lavas on Kunashir island, Kurile arc. Island Arc 2010, 19, 86–104. [Google Scholar] [CrossRef]
- Martynov, Y.A.; Khanchuk, A.I.; Kimura, J.-I.; Rybin, A.V.; Martynov, A.Y. Geochemistry and petrogenesis of volcanic rocks in the Kurile island arc. Petrology 2010, 18, 489–513. [Google Scholar] [CrossRef]
- Martynov, A.Y.; Martynov, Y.A.; Rybin, A.V.; Kimura, J.-I. Role of back-arc tectonics in the origin of subduction magmas: New Sr, Nd, and Pb isotope data from middle Miocene lavas of Kunashir island (Kurile island arc). Russ. Geol. Geophys. 2015, 56, 363–378. [Google Scholar] [CrossRef]
- Martynova, A.Y. Role of backarc processes in the origin of across-arc geochemical zoning in volcanics of early evolutionary stages in Kunashir island. Petrology 2013, 21, 471–488. [Google Scholar] [CrossRef]
- Martynov, A.Y.; Martynov, Y.A. Pleistocene basaltic volcanism of Kunashir island (Kurile island arc): Mineralogy, geochemistry, and results of computer simulation. Petrology 2017, 25, 206–225. [Google Scholar] [CrossRef]
- Zindler, A.; Hart, S.R. Chemical geodynamics. Ann. Rev. Earth Planet. Sci. 1986, 14, 493–571. [Google Scholar] [CrossRef]
- Hart, S.R.; Hauri, E.H.; Oschmann, L.A.; Whitehead, J.A. Mantle plumes and entrainment: Isotopic evidence. Science 1992, 256, 517–520. [Google Scholar] [CrossRef] [PubMed]
- Harvey, J.; Gannoun, A.; Burton, K.W.; Rogers, N.W.; Alard, O.; Parkinson, I.J. Ancient melt extraction from the oceanic upper mantle revealed by Re-Os isotopes in abyssal peridotites from the Mid-Atlantic ridge. Earth Planet. Sci. Lett. 2006, 244, 606–621. [Google Scholar] [CrossRef]
- Sergeev, K.P. Tectonics of the Kurile Island System; Science Publ.: Moscow, Russia, 1976; pp. 1–238. (In Russian) [Google Scholar]
- Zlobin, T.K. Crustal and Upper Mantle Structure of the Kurile Island Arc According to Seismic Data; Far East Scientific Centre Publ.: Vladivostok, Russia, 1987; pp. 1–150. (In Russian) [Google Scholar]
- Zonenshain, L.P.; Kuzmin, M.I.; Natapov, L.M. Plate Tectonics of the USSR Territory; Nedra Publ.: Moscow, Russia, 1990; pp. 1–332. (In Russian) [Google Scholar]
- Verzhbitsky, E.V.; Kononov, M.V. Lithosphere Genesis of the Northern World Ocean; Scientific World Publ.: Moscow, Russia, 2010; pp. 1–477. (In Russian) [Google Scholar]
- Laverov, N.P.; Lappo, S.S.; Lobkovsky, L.I.; Baranov, B.V.; Kulinich, R.G.; Karp, B.Y. Central Kurile gap: Structure and seismic potential. Dokl. Earth Sci. 2006, 409, 787–790. [Google Scholar] [CrossRef]
- Kulinich, R.G.; Karp, B.Y.; Baranov, B.V.; Lelikov, E.P.; Karnaukh, V.N.; Valitov, M.G.; Nikolaev, S.M.; Kolpashchnikova, T.N.; Tsoi, I.B. Structural and Geological Characteristics of a “Seismic Gap” in the Central Part of the Kuril Island Arc. Russ. J. Pac. Geol. 2007, 1, 3–14. [Google Scholar] [CrossRef]
- Baranov, B.V.; Seliverstov, N.I.; Murav’ev, A.V.; Muzurov, E.L. The Komandorsky basin as a product of spreading behind a transform plate boundary. Tectonophysics 1991, 199, 237–270. [Google Scholar] [CrossRef]
- Kimura, G. Oblique subduction and collision, Forearc tectonics of the Kuril arc. Geology 1986, 14, 404–407. [Google Scholar] [CrossRef]
- Tu Zino, T.; Murakami, F. Evolution of collision-related basins in the eastern end of the Kurile Basin; Okhotsk Sea. NW. Pac. J. Asian Earth Sci. 2008, 33, 1–24. [Google Scholar] [CrossRef]
- Fournier, M.; Jolivet, L.; Huchson, P.H.; Sergeyev, K.F.; Oscorbin, L.S. Neogene strike–slip faulting in Sakhalin and Japan Sea. J. Geophys. Res. 1994, 99, 2701–2725. [Google Scholar] [CrossRef]
- Cormier, V.F. Tectonics near the junction of the Aleutian and Kuril–Kamchatka area and a mechanism for the middle Tertiary magmatism in the Kamchatka Basin. Geol. Soc. Am. Bull. 1975, 86, 443–453. [Google Scholar] [CrossRef]
- Seliverstov, N.I. Sea Bottom Structure off Kamchatka and Geodynamics of the Kamchatka/Aleutian Junction Area; Science: Moscow, Russia, 1998. (In Russian) [Google Scholar]
- Barth, G.A.; Scheirer, D.S.; Christeson, G.L.; Stern, R.J.; Scholl, D.W. New geophysical constraints on the tectonic history of the Bering Sea. In Proceedings of the AGU Fall Meeting, San Francisco, CA, USA, 3–7 December 2012; AGU: Washington, DC, USA, 2012. T51D-2625. [Google Scholar]
- Cooper, A.K.; Marlow, M.S.; Scholl, D.W. Bering Sea—A multifarious marginal basin. In Island Arcs, Deep Sea Trenches and Back-Arc Basins; Talwani, M., Pitman, W.C., III, Eds.; AGU Maurice Ewing Series; AGU: Washington, DC, USA, 1977; Volume 1, pp. 437–450. [Google Scholar]
- Cooper, A.K.; Marlow, M.S.; Scholl, D.W.; Stevenson, A.J. Evidence for Cenozoic crustal extension in the Bering Sea region. Tectonics 1992, 11, 719–731. [Google Scholar] [CrossRef]
- Scheirer, D.S.; Barth, G.A.; Scholl, D.W.; Stern, R.J. New magnetic anomaly compilation illuminates the formation of the aleutian basin. In Proceedings of the AGU Fall Meeting, San Francisco, CA, USA, 9–13 December 2013; AGU: Washington, DC, USA, 2013. OS13B-1706. [Google Scholar]
- Scholl, D.W.; Buffington, E.C.; Marlow, M.S. Plate tectonics and the structural evolution of the Aleutian-Bering Sea region. In Contribution to the Geology of the Bering Sea Basin and Adjacent Regions; Forbes, R.R., Ed.; Geological Society of America Special Paper: Boulder, CO, USA, 1975; Volume 15, pp. 1–31. [Google Scholar]
- Sharp, W.D.; Clague, D.A. 50-Ma Initiation of Hawaiian-Emperor Bend Records Major Change in Pacific Plate Motion. Science 2006, 313, 1281–1284. [Google Scholar] [CrossRef]
- Jicha, B.R.; Scholl, D.W.; Singer, B.S.; Yogodzinski, G.M.; Kay, S.M. Revised age of Aleutian Island Arc formation implies high rate of magma production. Geology 2006, 34, 661–664. [Google Scholar] [CrossRef]
- Stern, R.J.; Barth, G.A.; Scheirer, D.S.; Scholl, D.W. Did the Bering Sea Form as a Cenozoic Backarc Basin? In Proceedings of the AGU Fall Meeting, San Francisco, CA, USA, 3–7 December 2012; AGU: Washington, DC, USA, 2012. T54A-06. [Google Scholar]
- Xu, J.; Ben-Avraham, Z.; Kelty, T.; Yu, H.-S. Origin of marginal basins of the NW Pacific and their plate tectonic reconstructions. Earth Sci. Rev. 2014, 130, 154–196. [Google Scholar] [CrossRef]
- Scholl, D.W. Viewing the tectonic evolution of the Kamchatka-Aleutian (KAT) connection with an Alaska crustal extrusive perspective. In Volcanism and Subduction: The Kamchatka Region; Eichelberger, J., Gordeev, E., Izbekov, P., Kasahara, M., Lees, J., Eds.; AGU Geophysical Monograph: Washington, DC, USA, 2007; Volume 172, pp. 3–36. [Google Scholar]
- Wanke, M.; Portnyagin, M.; Hoernle, K.; Werner, R.; Hauff, F.; Van den Bogaard, P.; Garbe-Schönberg, D. Bowers Ridge (Bering Sea): An Oligocene–Early Miocene island arc. Geology 2012, 40, 687–690. [Google Scholar] [CrossRef]
- Cooper, A.K.; Marlow, M.S.; Ben-Avraham, Z.V.I. Multichannel seismic evidence bearing on the origin of Bowers Ridge, Bering Sea. Geol. Soc. Am. Bull. 1981, 92, 474–484. [Google Scholar] [CrossRef]
- Redfield, T.F.; Scholl, D.W.; Fitzgerald, P.G.; Beck, M.E. Escape tectonics and the extrusion of Alaska: Past, present, and future. Geology 2007, 35, 1039–1042. [Google Scholar] [CrossRef]
- Valyashko, G.M.; Chernyavsky, G.B.; Seliverstov, N.I.; Ivanenko, A.N. Backarc spreading in the Komandorsky Basin. Pap. Acad. Sci. USSR 1993, 338, 212–216. (In Russian) [Google Scholar]
- Geist, E.L.; Scholl, D.W. Large-scale deformation related to the collision of the Aleutian Arc with Kamchatka. Tectonics 1994, 13, 536–560. [Google Scholar] [CrossRef]
- Gaedicke, C.H.; Baranov, B.; Seliverstov, N.; Alexeiev, D.; Tsukanov, N.; Freitag, R. Structure of an active arc–continent collision area: The Aleutian–Kamchatka junction. Tectonophysics 2000, 325, 63–85. [Google Scholar] [CrossRef]
- Tamaki, K. Geological structure of the Japan Sea and its tectonic implications. Bull. Geol. Surv. Jpn. 1988, 39, 269–365. [Google Scholar]
- Tamaki, K.; Pisciotto, K.; Allan, J. Initial Reports ODP Leg 127 Japan Sea; Ocean Drilling Program: College Station, TX, USA, 1990; Volume 127. [Google Scholar] [CrossRef]
- Jolivet, L.; Tamaki, K. Neogene kinematics in the Japan Sea Region and volcanic activity of the Northeast Japan Arc. In Proceedings of the Ocean Drilling Program, Scientific Results; Tamaki, K., Suyehiro, K., Allan, J., McWilliams, M., Eds.; Ocean drilling Program: College Station, TX, USA, 1992; Volume 127/128, Part 2, pp. 1311–1331. [Google Scholar] [CrossRef]
- Ingle, J.C., Jr. Subsidence of the Japan Sea: Stratigraphic evidence from ODP sites and onshore sections. In Proceedings of the Ocean Drilling Program, Scientific Results; Tamaki, K., Suyehiro, K., Allan, J., McWilliams, M., Eds.; Ocean Drilling Program: College Station, TX, USA, 1992; Volume 127/128, Part 2, pp. 1197–1218. [Google Scholar] [CrossRef]









| Sample Number | Mineral Phase | Weighted Mean Age (Ma) (2s Error) | Mean Square Weighted Deviate (MSWD) | Probability | Number of Single-Crystal Analyses |
|---|---|---|---|---|---|
| Hydrographer Ridge: | |||||
| LV29 126-1-1 | hbl | 3.17 ± 0.10 | 0.94 | 0.53 | 19 |
| LV29 126-1-2 | hbl | 3.31 ± 0.09 | 0.87 | 0.62 | 19 |
| LV29 126-4-1 | hbl | 3.29 ± 0.19 | 0.61 | 0.88 | 17 |
| Central “Sonne Volcano”: | |||||
| SO178 DR7-1-1 | fsp | 25.30 ± 0.54 | 0.95 | 0.49 | 12 |
| SO178 DR7-1-2 | fsp | 25.86 ± 0.60 | 1.20 | 0.26 | 12 |
| SO178 DR83-1-1 | fsp | 25.83 ± 0.55 | 1.17 | 0.30 | 12 |
Publisher’s Note: MDPI stays neutral with regard to jurisdictional claims in published maps and institutional affiliations. |
© 2020 by the authors. Licensee MDPI, Basel, Switzerland. This article is an open access article distributed under the terms and conditions of the Creative Commons Attribution (CC BY) license (http://creativecommons.org/licenses/by/4.0/).
Share and Cite
Werner, R.; Baranov, B.; Hoernle, K.; Bogaard, P.v.d.; Hauff, F.; Tararin, I. Discovery of Ancient Volcanoes in the Okhotsk Sea (Russia): New Constraints on the Opening History of the Kurile Back Arc Basin. Geosciences 2020, 10, 442. https://doi.org/10.3390/geosciences10110442
Werner R, Baranov B, Hoernle K, Bogaard Pvd, Hauff F, Tararin I. Discovery of Ancient Volcanoes in the Okhotsk Sea (Russia): New Constraints on the Opening History of the Kurile Back Arc Basin. Geosciences. 2020; 10(11):442. https://doi.org/10.3390/geosciences10110442
Chicago/Turabian StyleWerner, Reinhard, Boris Baranov, Kaj Hoernle, Paul van den Bogaard, Folkmar Hauff, and Igor Tararin. 2020. "Discovery of Ancient Volcanoes in the Okhotsk Sea (Russia): New Constraints on the Opening History of the Kurile Back Arc Basin" Geosciences 10, no. 11: 442. https://doi.org/10.3390/geosciences10110442
APA StyleWerner, R., Baranov, B., Hoernle, K., Bogaard, P. v. d., Hauff, F., & Tararin, I. (2020). Discovery of Ancient Volcanoes in the Okhotsk Sea (Russia): New Constraints on the Opening History of the Kurile Back Arc Basin. Geosciences, 10(11), 442. https://doi.org/10.3390/geosciences10110442

