Metabolic and Stress Responses in Senegalese Soles (Solea senegalensis Kaup) Fed Tryptophan Supplements: Effects of Concentration and Feeding Period
Simple Summary
Abstract
1. Introduction
2. Material and Methods
2.1. Experimental Feed and Analysis
2.2. Experimental Desing
2.3. Sampling
2.4. Plasma and Liver Analyses
2.5. Statistical Analysis
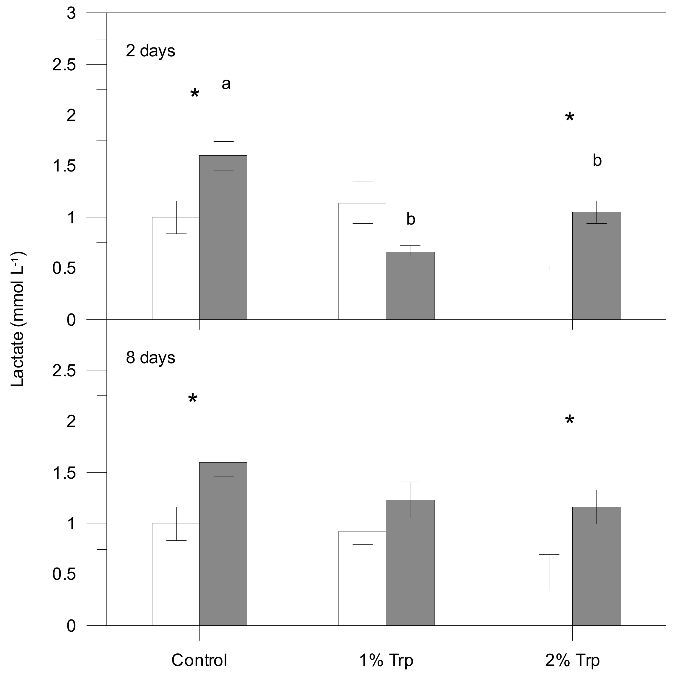
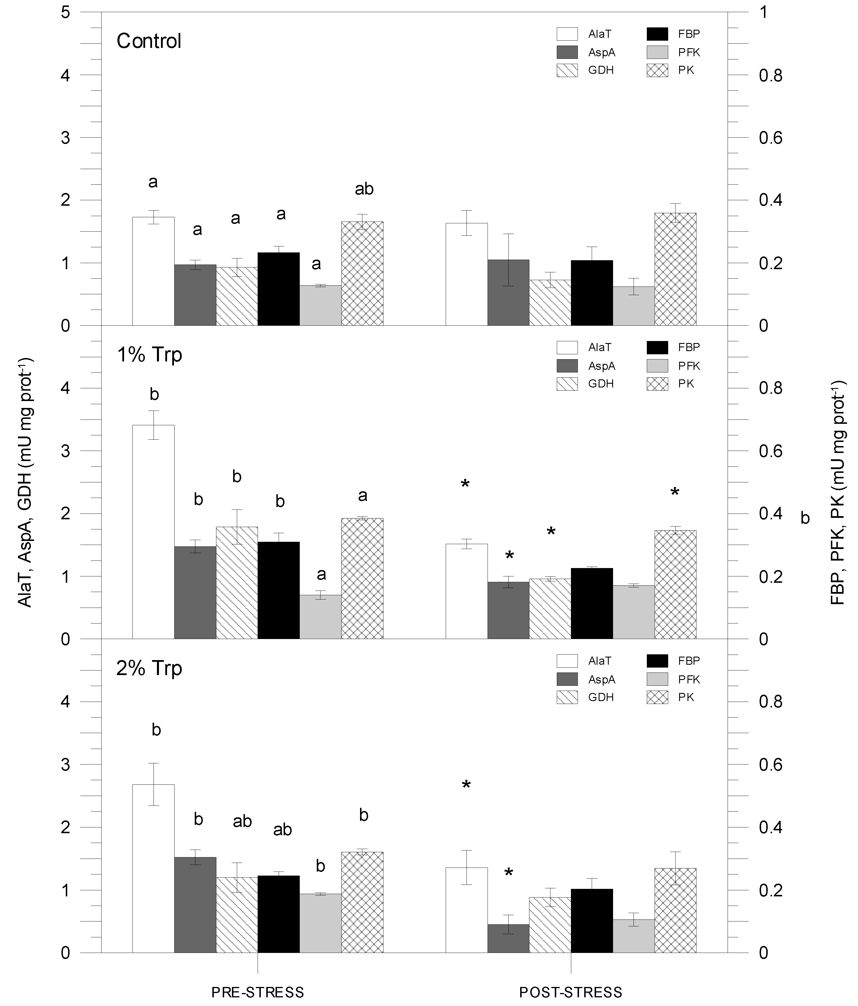
3. Results
4. Discussion
5. Conclusions
Author Contributions
Funding
Acknowledgments
Conflicts of Interest
References
- Schreck, C.B.; Tort, L.; Farrell, A.; Brauner, C. Biology of Stress in Fish, 1st ed.; Academic Press: London, UK, 2016; pp. 1–604. [Google Scholar]
- Acerete, L.; Reig, L.; Alvarez, D.; Flos, R.; Tort, L. Comparison of two stunning/slaughtering methods on stress response and quality indicators of European sea bass (Dicentrarchus labrax). Aquaculture 2009, 287, 139–144. [Google Scholar] [CrossRef]
- Matos, E.; Gonçalves, A.; Nunes, M.L.; Dinis, M.T.; Dias, J. Effect of harvesting stress and slaughter conditions on selected flesh quality criteria of gilthead seabream (Sparus aurata). Aquaculture 2010, 305, 66–72. [Google Scholar] [CrossRef]
- Conte, F. Stress and the welfare of cultured fish. Appl. Anim. Behav. Sci. 2004, 86, 205–223. [Google Scholar] [CrossRef]
- Gadient, M.; Fenster, R. Stability of ascorbic acid and other vitamins in extruded fish feeds. Aquaculture 1994, 124, 207–211. [Google Scholar] [CrossRef]
- Li, P.; Mai, K.; Trushenski, J.; Wu, G. New developments in fish amino acid nutrition: Towards functional and environmentally oriented aquafeeds. Amin. Acids 2009, 37, 43–53. [Google Scholar] [CrossRef] [PubMed]
- Tapia-Paniagua, S.T.; Díaz-Rosales, P.; León-Rubio, J.M.; García de La Banda, I.; Lobo, C.; Alarcón, F.J.; Chabrillón, M.; Rosas-Ledesma, P.; Varela, J.V.; Ruiz-Jarabo, I.; et al. Use of the probiotic Shewanella putrefaciens Pdp11 on the culture of Senegalese sole (Solea senegalensis, Kaup 1858) and gilthead seabream (Sparus aurata L.). Aquac. Int. 2012, 20, 1025–1039. [Google Scholar] [CrossRef]
- Estensoro, I.; Ballester-Lozano, G.; Benedito-Palos, L.; Grammes, F.; Martos-Sitcha, J.A.; Mydland, L.T.; Calduch-Giner, J.A.; Fuentes, J.; Karalazos, V.; Ortiz, A.; et al. Dietary Butyrate Helps to Restore the Intestinal Status of a Marine Teleost (Sparus aurata) Fed Extreme Diets Low in Fish Meal and Fish Oil. PLoS ONE 2016, 11, e0166564. [Google Scholar] [CrossRef] [PubMed]
- Conceição, L.E.C.; Aragão, C.; Dias, J.; Costas, B.; Terova, G.; Martins, C.; Tort, L. Dietary nitrogen and fish welfare. Fish Physiol. Biochem. 2012, 38, 119–141. [Google Scholar] [CrossRef] [PubMed]
- Fernstrom, J.D. A Perspective on the Safety of Supplemental Tryptophan Based on Its Metabolic Fates. J. Nutr. 2016, 146, 2601–2608. [Google Scholar] [CrossRef] [PubMed]
- Yao, K.; Fang, J.; Yin, Y.-L.; Feng, Z.-M.; Tang, Z.-R.; Wu, G. Tryptophan metabolism in animals: Important roles in nutrition and health. Front. Biosci. 2011, S3, 286–297. [Google Scholar]
- Le Floc’h, N.; Seve, B. Biological roles of tryptophan and its metabolism: Potential implications for pig feeding. Livest. Sci. 2007, 112, 23–32. [Google Scholar] [CrossRef]
- Grimmett, A.; Sillence, M.N. Calmatives for the excitable horse: A review of L-tryptophan. Vet. J. 2005, 170, 24–32. [Google Scholar] [CrossRef]
- Bosch, G.; Beerda, B.; Beynen, A.C.; van der Borg, J.A.M.; van der Poel, A.F.B.; Hendriks, W.H. Dietary tryptophan supplementation in privately owned mildly anxious dogs. Appl. Anim. Behav. Sci. 2009, 121, 197–205. [Google Scholar] [CrossRef]
- Lepage, O.; Tottmar, O.; Winberg, S. Elevated dietary intake of L-tryptophan counteracts the stress-induced elevation of plasma cortisol in rainbow trout (Oncorhynchus mykiss). J. Exp. Biol. 2002, 205, 3679–3687. [Google Scholar] [PubMed]
- Tejpal, C.S.; Pal, A.K.; Sahu, N.P.; Ashish Kumar, J.; Muthappa, N.A.; Vidya, S.; Rajan, M.G. Dietary supplementation of L-tryptophan mitigates crowding stress and augments the growth in Cirrhinus mrigala fingerlings. Aquaculture 2009, 293, 272–277. [Google Scholar] [CrossRef]
- Hoseini, S.M.; Hosseini, S.A.; Soudagar, M. Dietary tryptophan changes serum stress markers, enzyme activity, and ions concentration of wild common carp Cyprinus carpio exposed to ambient copper. Fish Physiol. Biochem. 2012, 38, 1419–1426. [Google Scholar] [CrossRef]
- Martins, C.I.M.; Silva, P.I.M.; Costas, B.; Larsen, B.K.; Santos, G.A.; Conceição, L.E.C.; Dias, J.; Øverli, Ø.; Höglund, E.; Schrama, J.W. The effect of tryptophan supplemented diets on brain serotonergic activity and plasma cortisol under undisturbed and stressed conditions in grouped-housed Nile tilapia Oreochromis niloticus. Aquaculture 2013, 400, 129–134. [Google Scholar] [CrossRef]
- Arjona, F.J.; Vargas-Chacoff, L.; Ruiz-Jarabo, I.; Gonçalves, O.; Páscoa, I.; Martín del Río, M.P.; Mancera, J.M. Tertiary stress responses in Senegalese sole (Solea senegalensis Kaup, 1858) to osmotic challenge: Implications for osmoregulation, energy metabolism and growth. Aquaculture 2009, 287, 419–426. [Google Scholar] [CrossRef]
- Salas-Leiton, E.; Anguis, V.; Martín-Antonio, B.; Crespo, D.; Planas, J.V.; Infante, C.; Cañavate, J.P.; Manchado, M. Effects of stocking density and feed ration on growth and gene expression in the Senegalese sole (Solea senegalensis): Potential effects on the immune response. Fish Shellfish Immunol. 2010, 28, 296–302. [Google Scholar] [CrossRef]
- Wunderink, Y.S.; Engels, S.; Halm, S.; Yúfera, M.; Martínez-Rodríguez, G.; Flik, G.; Klaren, P.H.M.; Mancera, J.M. Chronic and acute stress responses in Senegalese sole (Solea senegalensis): The involvement of cortisol, CRH and CRH-BP. Gen. Comp. Endocrinol. 2011, 171, 203–210. [Google Scholar] [CrossRef]
- Castro, C.; Pérez-Jiménez, A.; Guerreiro, I.; Peres, H.; Castro-Cunha, M.; Oliva-Teles, A. Effects of temperature and dietary protein level on hepatic oxidative status of Senegalese sole juveniles (Solea senegalensis). Comp. Biochem. Physiol. 2012, 163, 372–378. [Google Scholar] [CrossRef] [PubMed]
- Costas, B.; Aragão, C.; Soengas, J.L.; Míguez, J.M.; Rema, P.; Dias, J.; Afonso, A.; Conceição, L.E.C. Effects of dietary amino acids and repeated handling on stress response and brain monoaminergic neurotransmitters in Senegalese sole (Solea senegalensis) juveniles. Comp. Biochem. Physiol. 2012, 161, 18–26. [Google Scholar] [CrossRef] [PubMed]
- Herrera, M.; Aragão, A.; Hachero, I.; Ruiz-Jarabo, I.; Vargas-Chacoff, L.; Mancera, J.M.; Conceição, L. Physiological short-term response to sudden salinity change in the Senegalese sole (Solea senegalensis). Fish Physiol. Biochem. 2012, 38, 1741–1751. [Google Scholar] [CrossRef] [PubMed]
- Costas, B.; Conceição, L.E.C.; Dias, J.; Novoa, B.; Figueras, A.; Afonso, A. Dietary arginine and repeated handling increase disease resistance and modulate innate immune mechanisms of Senegalese sole (Solea senegalensis Kaup, 1858). Fish Shellfish Immunol. 2011, 3, 838–847. [Google Scholar] [CrossRef] [PubMed]
- Costas, B.; Aragão, C.; Dias, J.; Afonso, A.; Conceição, L.E.C. Interactive effects of a high quality protein diet and high stocking density on the stress response and some innate immune parameters of Senegalese sole Solea senegalensis. Fish Physiol. Biochem. 2013, 39, 1141–1151. [Google Scholar] [CrossRef] [PubMed]
- Costas, B.; Rêgo, P.C.N.P.; Conceição, L.E.C.; Dias, J.; Afonso, A. Dietary arginine supplementation decreases plasma cortisol levels and modulates immune mechanisms in chronically stressed turbot (Scophthalmus maximus). Aquac. Nutr. 2013, 19, 25–38. [Google Scholar] [CrossRef]
- Azeredo, R.; Machado, M.; Moura, J.; Martos-Sitcha, J.; Mancera, J.; Peres, H.; Oliva-Teles, A.; Afonso, A.; Costas, B. Dietary tryptophan supplementation modulates imune status and disease resistance in Senegalese sole, Solea senegalensis, reared at low or high density. In Proceedings of the International Meeting on Marine Research, Peniche, Portugal, 14–15 July 2016. [Google Scholar]
- Lee, C.-S.; Lim, C.; Gatlin, D.M., 3rd; Webster, C.D. Dietary Nutrients, Additives, and Fish Health; Willey Blackwell: Hoboken, NJ, USA, 2015; pp. 1–376. [Google Scholar]
- Johnston, I.A.; Dunn, J. Temperature acclimation and metabolism in ectotherms with particular reference to teleost fish. Symp. Soc. Exp. Biol. 1987, 41, 67–93. [Google Scholar]
- Halver, J.E.; Hardy, R.W. Fish Nutrition, 3rd ed.; Academic Press: London, UK, 2003; pp. 1–500. [Google Scholar]
- Lepage, O.; Vílchez, I.M.; Pottinger, T.G.; Winberg, S. Time-course of the effect of dietary L-tryptophan on plasma cortisol levels in rainbow trout Oncorhynchus mykiss. J. Exp. Biol. 2003, 206, 3589–3599. [Google Scholar] [CrossRef]
- Kumar, P.; Saurabh, S.; Pal, A.K.; Sahu, N.P.; Arasu, A.R.T. Stress mitigating and growth enhancing effect of dietary tryptophan in rohu (Labeo rohita, Hamilton, 1822) fingerlings. Fish Physiol. Biochem. 2014, 40, 1325–1338. [Google Scholar] [CrossRef]
- Herrera, M.; Herves, M.A.; Giráldez, I.; Skar, K.; Mogren, H.; Mortensen, A.; Puvanendran, V. Effects of amino acid supplementations on metabolic and physiological parameters in Atlantic cod (Gadus morhua) under stress. Fish Physiol. Biochem. 2017, 43, 591–602. [Google Scholar] [CrossRef]
- Basic, D.; Krogdahl, A.; Schjolden, J.; Winberg, S.; Vindas, M.A.; Mayer, I.; Skjerve, E.; Höglund, E. Short- and long-term effects of dietary l-tryptophan supplementation on the neuroendocrine stress response in seawater-reared Atlantic salmon (Salmo salar). Aquaculture 2013, 388, 8–13. [Google Scholar] [CrossRef]
- Höglund, E.; Bakke, M.J.; Øverli, Ø.; Winberg, S.; Nilsson, G.E. Suppression of aggressive behaviour in juvenile Atlantic cod (Gadus morhua), by L-tryptophan supplementation. Aquaculture 2005, 249, 525–531. [Google Scholar] [CrossRef]
- Basic, D.; Schjolden, J.; Krogdahl, A.; Krogh, K.V.; Hillestad, M.; Winberg, S.; Mayer, I.; Skjerve, E.; Höglund, E. Changes in regional brain monoaminergic activity and temporary down-regulation in stress response from dietary supplementation with L-tryptophan in Atlantic cod (Gadus morhua). Br. J. Nutr. 2013, 109, 2166–2174. [Google Scholar] [CrossRef] [PubMed]
- Dai, Z.; Wu, Z.; Ji, S.; Wu, G. Analysis of amino acid composition in proteins of animal tissues and foods as pre-column o-phthaldialdehyde derivatives by HPLC with fluorescence detection. J. Chromatogr. B 2014, 964, 116–127. [Google Scholar] [CrossRef] [PubMed]
- Herrera, M.; López, J.; Herves, A. A preliminary approach on the stress assessment through harmless procedures in farmed seabream (Sparus aurata L.). Anim. Welf. 2016, 25, 423–427. [Google Scholar] [CrossRef]
- De la Roca, E.; Sánchez, B.; López, J.M.; Herves, M.A.; Canalejo, A.; Herrera, M. Daily activity rhythms and the stress-related response in the wedge sole (Dicologoglossa cuneata Moreau, 1881). Physiol. Behav. 2017, 173, 272–278. [Google Scholar] [CrossRef]
- Costas, B.; Conceição, L.E.C.; Aragão, C.; Martos, J.A.; Ruiz-Jarabo, I.; Mancera, J.M.; Afonso, A. Physiological responses of Senegalese sole (Kaup, 1858) after stress challenge: Effects on non-specific immune parameters, plasma free amino acids and energy metabolism. Aquaculture 2011, 316, 68–76. [Google Scholar] [CrossRef]
- Herrera, M.; Ruiz-Jarabo, I.; Vargas-Chacoff, L.; De La Roca, E.; Mancera, J.M. Metabolic enzyme activities in relation to crowding stress in the wedge sole (Dicologoglossa cuneata). Aquac. Res. 2015, 46, 2808–2818. [Google Scholar] [CrossRef]
- Laiz-Carrión, R.; Martín del Río, M.P.; Mínguez, J.; Mancera, J.M.; Soengas, J.L. Influence of cortisol on osmoregulation and energy metabolism in gilthead seabream Sparus aurata. J. Exp. Zool. 2003, 298, 105–118. [Google Scholar] [CrossRef]
- Polakof, S.; Arjona, F.J.; Sangiao-Alvarellos, S.; Martín del Río, M.P.; Mancera, J.M.; Soengas, J.L. Food deprivation alters osmoregulatory and metabolic responses to salinity acclimation in gilthead sea bream Sparus auratus. J. Comp. Physiol. 2006, 176, 441–452. [Google Scholar] [CrossRef]
- Sangiao-Alvarellos, S.; Laíz-Carrión, R.; Guzmán, J.M.; Martín del Río, M.P.; Migues, J.M.; Mancera, J.M.; Soengas, J.L. Acclimation of S. auratus to various salinities alters energy metabolism of osmoregulatory and non-osmoregulatory organs. Am. J. Physiol. 2003, 285, R897–R907. [Google Scholar]
- Sangiao-Alvarellos, S.; Guzmán, J.M.; Laiz-Carrión, R.; Míguez, J.M.; Martín del Rio, M.P.; Mancera, J.M.; Soengas, J.L. Interactive effects of high stocking density and food deprivation on carbohydrate metabolism in several tissues of gilthead sea bream (Sparus aurata L.). J. Exp. Zool. 2005, 303, 761–775. [Google Scholar] [CrossRef]
- Vargas-Chacoff, L.; Arjona, F.J.; Ruiz-Jarabo, I.; Páscoa, I.; Gonçalves, O.; Martín del Río, M.P.; Mancera, J.M. Seasonal variation in osmoregulatory and metabolic parameters in earthen pond-cultured gilthead sea bream Sparus auratus. Aquac. Res. 2009, 40, 1279–1290. [Google Scholar] [CrossRef]
- Papoutsoglou, S.E.; Karakatsouli, N.; Chiras, G. Dietary l-tryptophan and tank colour effects on growth performance of rainbow trout (Oncorhynchus mykiss) juveniles reared in a recirculating water system. Aquac. Eng. 2005, 32, 277–284. [Google Scholar] [CrossRef]
- Wendelaar Bonga, S.E. The stress response in fish. Physiol. Rev. 1997, 77, 591–625. [Google Scholar] [CrossRef] [PubMed]
- Chaouloff, F. Physiopharmacological interactions between stress hormones and central serotonergic systems. Brain Res. Rev. 1993, 18, 1–32. [Google Scholar] [CrossRef]
- Liposits, Z.; Phelix, C.; Paull, W.K. Synaptic interaction of serotonergic axons and corticotropin releasing factor (CRF) synthesizing neurons in the hypothalamic paraventricular nucleus of the rat. A light and electron microscopic immunocytochemical study. Histochemistry 1987, 86, 541–549. [Google Scholar] [CrossRef]
- Mench, J.A.; Shea-Moore, M.M. Moods, minds and molecules: The neurochemistry of social behaviour. Appl. Anim. Behav. Sci. 1995, 44, 99–118. [Google Scholar] [CrossRef]
- Wolkers, C.P.B.; Serra, M.; Hoshiba, M.A.; Urbinati, E.C. Dietary l-tryptophan alters aggression in juvenile matrinxã Brycon amazonicus. Fish Physiol. Biochem. 2012, 38, 819–827. [Google Scholar] [CrossRef]
- López-Olmeda, J.F.; Blanco-Vives, B.; Pujante, I.M.; Wunderink, Y.S.; Mancera, J.M.; Sánchez-Vázquez, F.J. Daily rhythms in the hypothalamus-pituitary-interrenal axis and acute stress responses in a teleost flatfish, Solea senegalensis. Chronobiol. Int. 2013, 30, 530–539. [Google Scholar] [CrossRef] [PubMed]
- Barton, B.A.; Morgan, J.D.; Vijayan, M.M. Physiological and condition-related indicators of environmental stress on fish. In Biological Indicators of Aquatic Ecosystems Stress; Adams, S.M., Ed.; American Fisheries Society: Bethesda, MD, USA, 2002; pp. 111–148. [Google Scholar]
- Phillips, R.S.; Miles, E.W.; Cohen, L.A. Interactions of tryptophan synthase, tryptophanase, and pyridoxal phosphate with oxindolyl-L-alanine and 2,3-dihydro-L-tryptophan: Support for an indolenine intermediate in tryptophan metabolism. Biochemistry 1984, 23, 6228–6234. [Google Scholar] [CrossRef] [PubMed]
- Sánchez-Muros, M.J.; García-Rejón, L.; García-Salguero, L.; Higuera, M.; Lupiáñez, J.A. Long-term nutritional effects on the primary liver and kidney metabolism in rainbow trout. Adaptive response to starvation and a high-protein, carbohydrate-free diet on glutamate dehydrogenase and alanine aminotransferase kinetics. Int. J. Biochem. Cell B 1998, 30, 55–63. [Google Scholar] [CrossRef]
- Alexis, M.N.; Paparaskeva-Papatsoglou, E. Aminotransferase activity in the liver and white muscle of Mugil capito fed diets containing different levels of protein and carbohydrate. Comp. Physiol. Biochem. 1986, 83, 245–249. [Google Scholar] [CrossRef]
- Lupiáñez, J.A.; Sánchez-Lozano, M.J.; García-Rejón, L.; De la Higuera, M. Long-term effect of a high-protein/non-carbohydrate diet on the primary liver and kidney metabolism in rainbow trout (Salmo gairdneri). Aquaculture 1989, 79, 91–101. [Google Scholar] [CrossRef]
- Moyano, F.J.; Cardenete, G.; de la Higuera, M. Nutritive and metabolic utilization of proteins with high glutamic acid content by the rainbow trout (Oncorhynchus mykiss). Comp. Biochem. Physiol. 1991, 100, 759–762. [Google Scholar] [CrossRef]






| Amino Acid | Control (No Trp Added) | 1Trp (1% Trp Added) | 2Trp (2% Trp Added) |
|---|---|---|---|
| Glycine | 3.6 ± 0.4 | 3.6 ± 0.4 | 3.6 ± 0.4 |
| Valine | 3.8 ± 0.5 | 3.8 ± 0.5 | 3.8 ± 0.5 |
| Glutamic acid | 64.7 ± 11.6 | 64.7 ± 11.6 | 64.7 ± 11.6 |
| Leucine | 7.3 ± 0.9 | 7.3 ± 0.9 | 7.3 ± 0.9 |
| Threonine | 0.3 ± 0.0 | 0.3 ± 0.0 | 0.3 ± 0.0 |
| Isoleucine | 1.1 ± 0.1 | 1.1 ± 0.1 | 1.1 ± 0.1 |
| Proline | 7.2 ± 0.8 | 7.2 ± 0.8 | 7.2 ± 0.8 |
| Aspartic acid | 48.1 ± 7.8 | 48.1 ± 7.8 | 48.1 ± 7.8 |
| Methionine | 1.9 ± 0.3 | 1.9 ± 0.3 | 1.9 ± 0.3 |
| Phenylalanine | 4.3 ± 0.6 | 4.3 ± 0.6 | 4.3 ± 0.6 |
| Cysteine | 0.1 ± 0.0 | 0.1 ± 0.0 | 0.1 ± 0.0 |
| Lysine | 15.9 ± 2.1 | 15.9 ± 2.1 | 15.9 ± 2.1 |
| Histidine | 1.1 ± 0.2 | 1.1 ± 0.2 | 1.1 ± 0.2 |
| Tyrosine | 5.8 ± 3.3 | 5.8 ± 3.3 | 5.8 ± 3.3 |
| Glycine | 3.6 ± 0.4 | 3.6 ± 0.4 | 3.6 ± 0.4 |
| Tryptophan | 2.5 ± 0.2 | 5.8 ± 0.3 | 12.5 ± 0.7 |
| Substance | Feeding Period (FP) | Trp Added (Trp) | Condition (CD) | FP*Trp | FP * CD | Trp * CD | FP * Trp * CD | |
|---|---|---|---|---|---|---|---|---|
| Cortisol | F | 2.465 | 0.372 | 124.3 | 1.505 | 10.77 | 2.977 | 6.147 |
| p | ns | ns | <0.0005 | ns | 0.001 | 0.049 | 0.003 | |
| Glucose | F | 0.216 | 6.010 | 98.23 | 3.129 | 4.658 | 5.165 | 1.425 |
| p | ns | 0.003 | <0.0005 | 0.048 | 0.033 | 0.007 | ns | |
| Lactate | F | 0.356 | 9.151 | 13.32 | 0.111 | 3.313 | 7.014 | 2.497 |
| p | ns | 0.0002 | 0.0004 | ns | ns | 0.001 | ns | |
| Proteins | F | 3.255 | 0.17 | 94.58 | 0.963 | 1.597 | 0.0005 | 0.279 |
| p | ns | ns | <0.0005 | ns | ns | ns | ns | |
| Enzyme | Feeding Period (FP) | Trp Added (Trp) | Condition (CD) | FP * Trp | FP * CD | Trp * CD | FP * Trp * CD | |
|---|---|---|---|---|---|---|---|---|
| AlaT | F | 1.058 | 5.232 | 54.149 | 1.180 | 3.160 | 16.202 | 1.161 |
| p | ns | 0.010 | 0.000 | ns | ns | 0.000 | ns | |
| AspA | F | 3.102 | 5.881 | 0.193 | 2.778 | 2.999 | 0.053 | 2.083 |
| p | ns | 0.006 | ns | 0.041 | ns | ns | ns | |
| GDH | F | 2.154 | 13.792 | 22.623 | 2.761 | 2.415 | 3.484 | 1.956 |
| p | ns | 0.000 | 0.000 | 0.042 | ns | 0.041 | ns | |
| G6PDH | F | 2.927 | 2.751 | 1.521 | 0.886 | 0.686 | 5.976 | 0.814 |
| p | ns | ns | ns | ns | ns | 0.006 | ns | |
| FBP | F | 0.273 | 0.321 | 1.542 | 0.206 | 0.117 | 0.608 | 0.117 |
| p | ns | ns | ns | ns | ns | ns | ns | |
| PFK | F | 1.903 | 0.017 | 0.776 | 0.985 | 0.920 | 0.156 | 2.409 |
| p | ns | ns | ns | ns | ns | ns | ns | |
| PK | F | 2.655 | 0.398 | 4.044 | 2.926 | 0.215 | 1.657 | 0.556 |
| p | ns | ns | ns | 0.034 | ns | ns | ns |
© 2019 by the authors. Licensee MDPI, Basel, Switzerland. This article is an open access article distributed under the terms and conditions of the Creative Commons Attribution (CC BY) license (http://creativecommons.org/licenses/by/4.0/).
Share and Cite
Herrera, M.; Miró, J.M.; Giráldez, I.; Salamanca, N.; Martos-Sitcha, J.A.; Mancera, J.M.; López, J.R. Metabolic and Stress Responses in Senegalese Soles (Solea senegalensis Kaup) Fed Tryptophan Supplements: Effects of Concentration and Feeding Period. Animals 2019, 9, 320. https://doi.org/10.3390/ani9060320
Herrera M, Miró JM, Giráldez I, Salamanca N, Martos-Sitcha JA, Mancera JM, López JR. Metabolic and Stress Responses in Senegalese Soles (Solea senegalensis Kaup) Fed Tryptophan Supplements: Effects of Concentration and Feeding Period. Animals. 2019; 9(6):320. https://doi.org/10.3390/ani9060320
Chicago/Turabian StyleHerrera, Marcelino, Juan M. Miró, Inmaculada Giráldez, Natalia Salamanca, Juan A. Martos-Sitcha, Juan M. Mancera, and Jose R. López. 2019. "Metabolic and Stress Responses in Senegalese Soles (Solea senegalensis Kaup) Fed Tryptophan Supplements: Effects of Concentration and Feeding Period" Animals 9, no. 6: 320. https://doi.org/10.3390/ani9060320
APA StyleHerrera, M., Miró, J. M., Giráldez, I., Salamanca, N., Martos-Sitcha, J. A., Mancera, J. M., & López, J. R. (2019). Metabolic and Stress Responses in Senegalese Soles (Solea senegalensis Kaup) Fed Tryptophan Supplements: Effects of Concentration and Feeding Period. Animals, 9(6), 320. https://doi.org/10.3390/ani9060320

