Effects of the Diet Inclusion of Common Vetch Hay Versus Alfalfa Hay on the Body Weight Gain, Nitrogen Utilization Efficiency, Energy Balance, and Enteric Methane Emissions of Crossbred Simmental Cattle
Simple Summary
Abstract
1. Introduction
2. Materials and Methods
2.1. Animals, Treatments, and Diets
2.2. Chamber Description
2.3. Energy Balance
2.4. Sample Collection and Procedures
2.5. Chemical Analysis
2.6. Statistical Analysis
3. Results
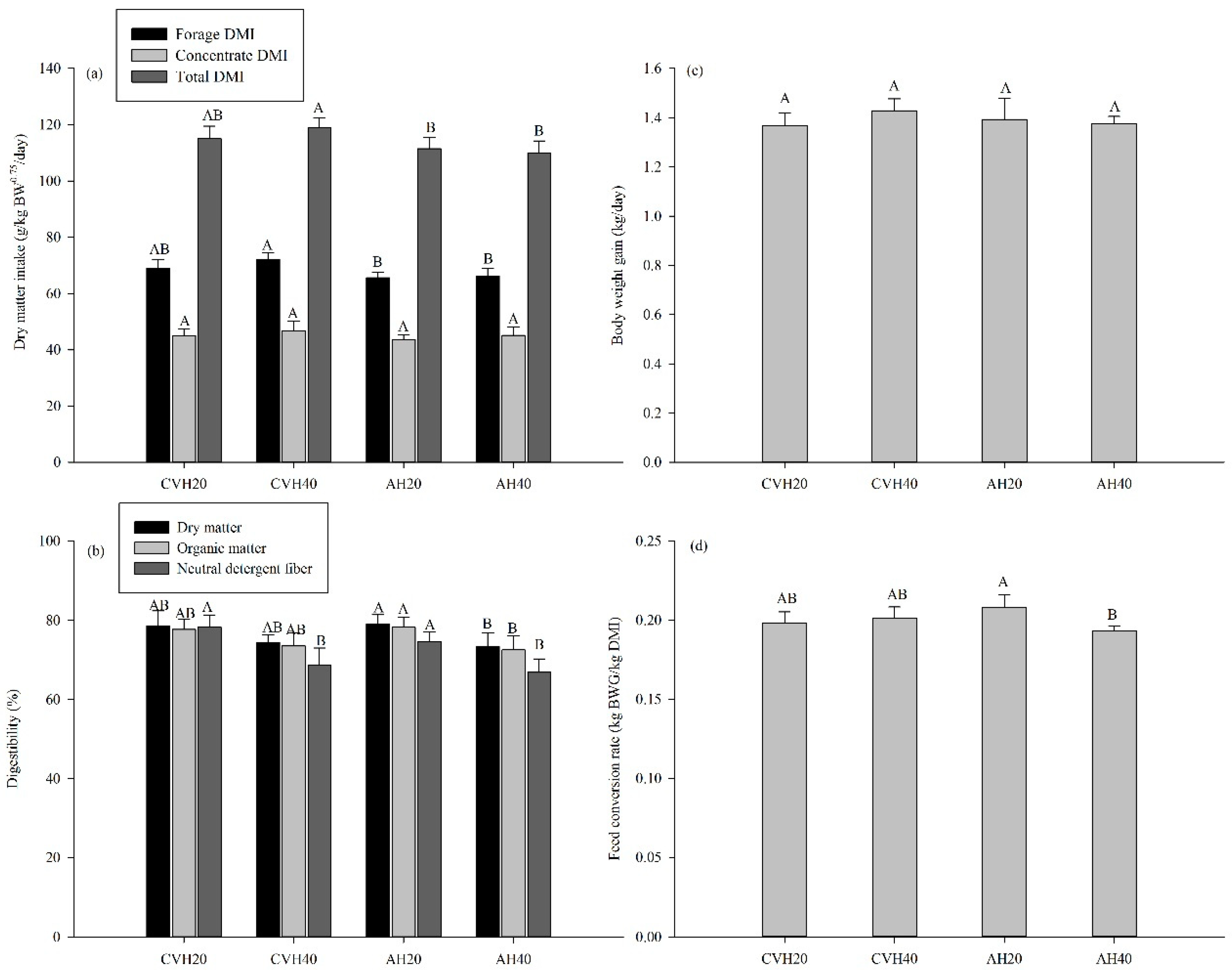
3.1. Feed Intake, Apparent Nutrient Digestibility, and BWG
3.2. Enteric CH4 Emission, Energy Balance, and Energy Utilization Efficiency
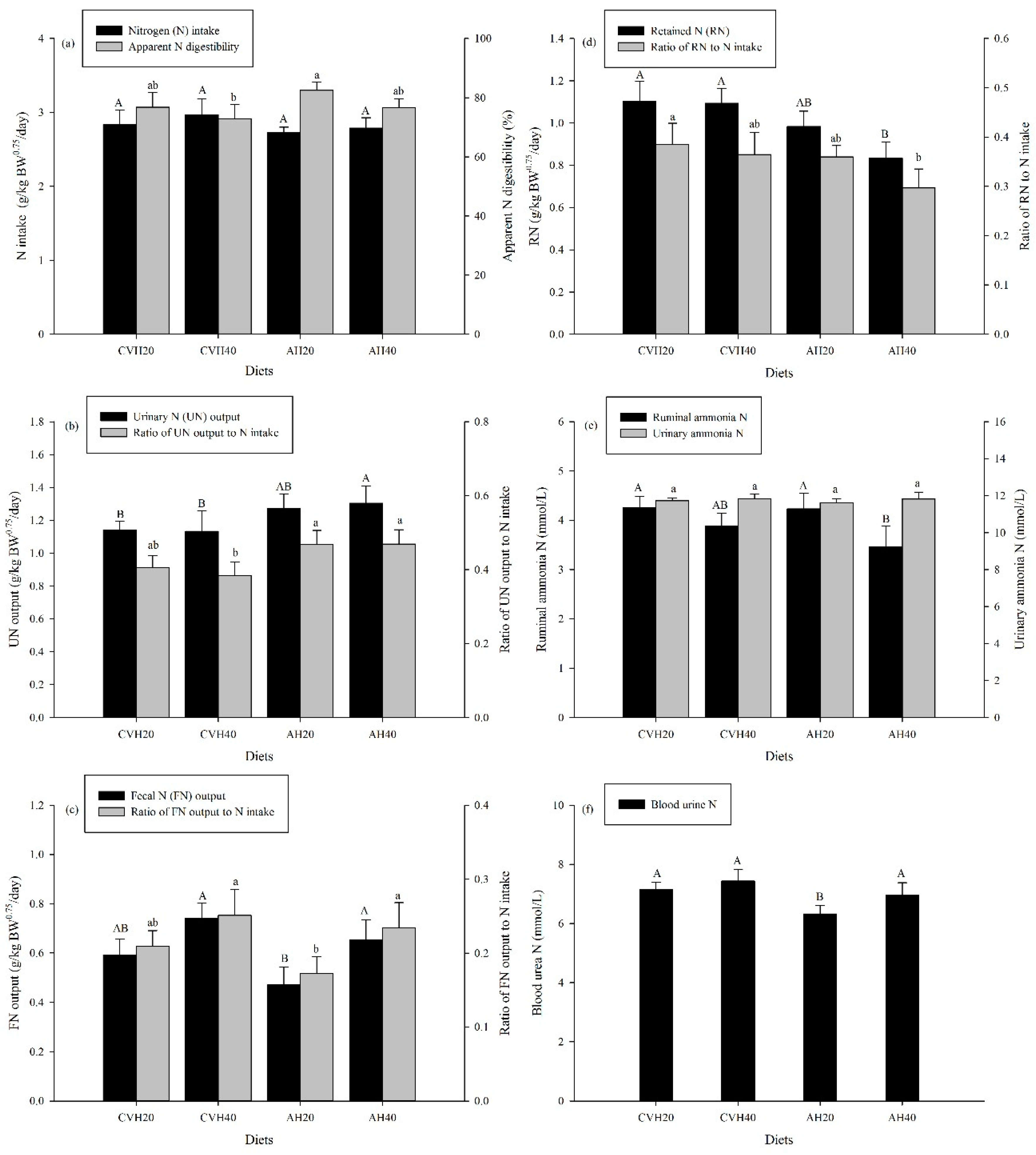
3.3. N Balance, N Metabolism, and NUE
3.4. Ruminal Fermentation Parameters
4. Discussion
4.1. Feed Intake, Nutrient Digestibility, and BWG
4.2. Enteric CH4 Emission and Ruminal Fermentation
4.3. Energy Balance
4.4. N Balance, N Metabolism, and N Utilization Efficiency (NUE)
5. Conclusions
Author Contributions
Funding
Acknowledgments
Conflicts of Interest
References
- National Research Council (NRC). Air Emissions from Animal Feeding Operations: Current Knowledge, Future Needs; National Academies Press: Washington, DC, USA, 2003. [Google Scholar]
- Montes, F.; Meinen, R.; Dell, C.; Rotz, A.; Hristov, A.N.; Oh, J.; Waghorn, G.; Gerber, P.J.; Henderson, B.; Makkar, H.P.S.; et al. Special topics—Mitigation of methane and nitrous oxide emissions from animal operations: II. A review of manure management mitigation options. J. Anim. Sci. 2013, 91, 5070–5094. [Google Scholar] [CrossRef]
- Kebreab, E.; Dijkstra, J.; Bannink, A.; France, J. Recent advances in modeling nutrient utilization in ruminants. J. Anim. Sci. 2009, 87, E111–E122. [Google Scholar] [CrossRef] [PubMed]
- Hristov, A.N.; Oh, J.; Firkins, J.L.; Dijkstra, J.; Kebreab, E.; Waghorn, G.; Makkar, H.P.S.; Adesogan, A.T.; Yang, W.; Lee, C.; et al. Special topics—Mitigation of methane and nitrous oxide emissions from animal operations: I. A review of enteric methane mitigation options. J. Anim. Sci. 2013, 91, 5045–5069. [Google Scholar] [CrossRef] [PubMed]
- Dong, L.; Li, B.; Diao, Q. Effects of Dietary Forage Proportion on Feed Intake, Growth Performance, Nutrient Digestibility, and Enteric Methane Emissions of Holstein Heifers at Various Growth Stages. Animals 2019, 9, 725. [Google Scholar] [CrossRef] [PubMed]
- Yan, T.; Frost, J.P.; Keady, T.W.J.; Agnew, R.E.; Mayne, C.S. Prediction of nitrogen excretion in feces and urine of beef cattle offered diets containing grass silage. J. Anim. Sci. 2007, 85, 1982–1989. [Google Scholar] [CrossRef]
- Waldrip, H.M.; Todd, R.W.; Cole, N.A.H. Prediction of nitrogen excretion by beef cattle: A meta-analysis. J. Anim. Sci. 2013, 91, 4290–4302. [Google Scholar] [CrossRef]
- Givens, D.I.; Owen, E.; Omed, H.M.; Axford, R.F.E. Forage Evaluation in Ruminant Nutrition; CABI Publishing: Wallingford, UK, 2000; pp. 9–10. [Google Scholar]
- Graham, P.H.; Vance, C.P. Legumes: Importance and constraints to greater use. Plant Physiol. 2003, 131, 872–877. [Google Scholar] [CrossRef]
- Abreu, A.; Carulla, J.E.; Lascano, C.E.; Diaz, T.E.; Kreuzer, M.; Hess, H.D. Effects of Sapindus saponaria fruits on ruminal fermentation and duodenal nitrogen flow of sheep fed a tropical grass diet with and without legume. J. Anim. Sci. 2004, 82, 1392–1400. [Google Scholar] [CrossRef]
- Doran, M.P.; Laca, E.A.; Sainz, R.D. Total tract and rumen digestibility of mulberry foliage (Morus alba), alfalfa hay and oat hay in sheep. Anim. Feed. Sci. Technol. 2007, 138, 239–253. [Google Scholar] [CrossRef]
- McCaughey, W.P.; Wittenberg, K.; Corrigan, D. Impact of pasture type on methane production by lactating beef cows. Can. J. Anim. Sci. 1999, 79, 221–226. [Google Scholar] [CrossRef]
- Wuchen, D.; Fujiang, H.; Atsushi, T.; Kobayashi, N.; Fei, P.; Ichinohe, T. Effects of oat hay and leguminous forage mixture feeding on body weight gain, enteric methane emission and energy utilization in crossbred Simmental male beef cattle. Anim. Sci. J. 2019. under review. [Google Scholar]
- Kobayashi, N.; Hou, F.J.; Tsunekawa, A.; Chen, X.J.; Yan, T.; Ichinohe, T. Effects of substituting alfalfa hay for concentrate on energy utilization and feeding cost of crossbred Simmental male calves in Gansu Province, China. Grassl. Sci. 2017, 63, 245–254. [Google Scholar] [CrossRef]
- Kobayashi, N.; Hou, F.J.; Tsunekawa, A.; Chen, X.J.; Yan, T.; Ichinohe, T. Appropriate level of alfalfa hay in diets for rearing Simmental crossbred cattle in dryland China. Asian Australas. J. Anim. Sci. 2018, 31, 1881–1889. [Google Scholar] [CrossRef] [PubMed]
- Larbi, A.; El-Moneim, A.A.; Nakkoul, H.; Jammal, B.; Hassan, S. Intra-species variations in yield and quality determinants in Vicia species: 3. Common vetch (Vicia sativa ssp. sativa L.). Anim. Feed Sci. Technol. 2011, 164, 241–251. [Google Scholar] [CrossRef]
- Rihawi, S.; Iniguez, L.; Knaus, W.F.; Zaklouta, M.; Wurzinger, M.; Soelkner, J.; Larbi, A.; Bomfim, M.A.D. Fattening performance of lambs of different Awassi genotypes, fed under cost-reducing diets and contrasting housing conditions. Small Rumin. Res. 2010, 94, 38–44. [Google Scholar] [CrossRef]
- Assefa, G.; Ledin, I. Effect of variety, soil type and fertiliser on the establishment, growth, forage yield, quality and voluntary intake by cattle of oats and vetches cultivated in pure stands and mixtures. Anim. Feed Sci.Technol. 2001, 92, 95–111. [Google Scholar] [CrossRef]
- Hernández-Ortega, M.; Heredia-Nava, D.; Espinoza-Ortega, A.; Sánchez-Vera, E.; Arriaga-Jordán, C.M. Effect of silage from ryegrass intercropped with winter or common vetch for grazing dairy cows in small-scale dairy systems in Mexico. Trop. Anim. Health Prod. 2011, 43, 947–954. [Google Scholar] [CrossRef]
- Agricultural and Food Research Council. Energy and Protein Requirements of Ruminants. An Advisory Manual Prepared by the AFRC Technical Committee on Responses to Nutrients; Centre for Agriculture and Bioscience International: Wallingford, UK, 1993; pp. 1–38. [Google Scholar]
- Chinese Feeding Standard for Beef Cattle (CFSBC). Ministry of Agriculture of the People’s Republic of China. 2004. Available online: https://wenku.baidu.com/view/154d59bdf121dd36a32d8269.html (accessed on 4 October 2019).
- Zhao, Y.G.; Aubry, A.; O’Connell, N.E.; Annett, R.; Yan, T. Effects of breed, sex, and concentrate supplementation on digestibility, enteric methane emissions, and nitrogen utilization efficiency in growing lambs offered fresh grass. J. Anim. Sci. 2015, 93, 5764–5773. [Google Scholar] [CrossRef]
- Gerrits, W.; Labussiere, E.; Dijkstra, J.; Reynolds, C.; Metges, C.; Kuhla, B.; Lund, P.; Weisbjerg, M.R. Letter to the Editors: Recovery test results as a prerequisite for publication of gaseous exchange measurements. Animal 2018, 12, 4. [Google Scholar] [CrossRef]
- Brouwer, E. Report of sub-committee on constants and factors. In Proceedings of the 3rd Symposium on Energy Metabolism of Farm Animals of European Association for Animal Production; Blaxter, K.L., Ed.; Academic Press: Scotland, UK, 1965. [Google Scholar]
- Kohn, R.A.; Dinneen, M.M.; Russek-Cohen, E. Using blood urea nitrogen to predict nitrogen excretion and efficiency of nitrogen utilization in cattle, sheep, goats, horses, pigs, and rats. J. Anim. Sci. 2005, 83, 879–889. [Google Scholar] [CrossRef]
- Association of Official Analytical Chemists (AOAC). Official Methods of Analysis of the Association of Official Analytical Chemists, 15th ed; Association of Official Analytical Chemists: Arlington, VA, USA, 1990. [Google Scholar]
- Van Soest, P.J.; Robertson, J.B.; Lewis, B.A. Methods for dietary fiber, neutral detergent fiber, and nonstarch polysaccharides in relation to animal nutrition. J. Dairy Sci. 1991, 74, 3583–3597. [Google Scholar] [CrossRef]
- Buxton, D.R. Quality-related characteristics of forages as influenced by plant environment and agronomic factors. Anim. Feed Sci. Technol. 1996, 59, 37–49. [Google Scholar] [CrossRef]
- Karabulut, A.; Canbolat, O.; Kalkan, H.; Gurbuzol, F.; Sucu, E.; Filya, I. Comparison of in vitro gas production, metabolizable energy, organic matter digestibility and microbial protein production of some legume hays. Asian Australas. J. Anim. Sci. 2007, 20, 517–522. [Google Scholar] [CrossRef]
- Patra, A.K. Effects of supplementing low–quality roughages with tree foliages on digestibility, nitrogen utilization and rumen characteristics in sheep: A meta–analysis. J. Anim. Physiol. Anim. Nutr. 2010, 94, 338–353. [Google Scholar] [CrossRef] [PubMed]
- Archimède, H.; Eugène, M.; Marie Magdeleine, C.; Boval, M.; Martin, C.; Morgavi, D.P.; Lecomte, P.; Doreau, M. Comparison of methane production between C3 and C4 grasses and legumes. Anim. Feed Sci. Technol. 2011, 166, 59–64. [Google Scholar] [CrossRef]
- Lee, J.M.; Woodward, S.L.; Waghorn, G.C.; Clark, D.A. Methane emissions by dairy cows fed increasing proportions of white clover (Trifolium repens) in pasture. Proc. N. Z. Grassl. Assoc. 2004, 66, 151–155. [Google Scholar]
- Guglielmelli, A.; Calabrò, S.; Primi, R.; Carone, F.; Cutrignelli, M.I.; Tudisco, R.; Piccolo, G.; Ronchi, B.; Danieli, P.P. In vitro fermentation patterns and methane production of sainfoin (Onobrychis viciifolia Scop.) hay with different condensed tannin contents. Grass Forage Sci. 2011, 66, 488–500. [Google Scholar] [CrossRef]
- Grainger, C.; Beauchemin, K.A. Can enteric methane emissions from ruminants be lowered without lowering their production? Anim. Feed Sci. Technol. 2011, 166, 308–320. [Google Scholar] [CrossRef]
- Beauchemin, K.A.; Kreuzer, M.; O’Mara, F.; McAllister, T.A. Nutritional management for enteric methane abatement: A review. Aust. J. Exp. Agric. 2008, 48, 21–27. [Google Scholar] [CrossRef]
- Calabrò, S.; Carone, F.; Cutrignelli, M.; D’Urso, S.; Piccolo, G.; Tudisco, R.; Angelino, G.; Infascelli, F. The effect of haymaking on the neutral detergent soluble fraction of two intercropped forages cut at different growth stages. Ital. J. Anim. Sci. 2006, 5, 327–339. [Google Scholar] [CrossRef]
- Fievez, V.; Dohme, F.; Danneels, M.; Raes, K.; Demeyer, D. Fish oils as potent rumen methane inhibitors and associated effects on rumen fermentation in vitro and in vivo. Anim. Feed Sci. Technol. 2003, 104, 41–58. [Google Scholar] [CrossRef]
- Yan, T.; Agnew, R.E.; Gordon, F.J.; Porter, M.G. Prediction of methane energy output in dairy and beef cattle offered grass silage-based diets. Livest. Prod. Sci. 2000, 64, 253–263. [Google Scholar] [CrossRef]
- Chaokaur, A.; Nishida, T.; Phaowphaisal, I.; Sommart, K. Effects of feeding level on methane emissions and energy utilization of Brahman cattle in the tropics. Agric. Ecosyst. Environ. 2015, 199, 225–230. [Google Scholar] [CrossRef]
- Zou, C.X.; Lively, F.O.; Wylie, A.R.G.; Yan, T. Estimation of the maintenance energy requirements, methane emissions and nitrogen utilization efficiency of two suckler cow genotypes. Animal 2016, 10, 616–622. [Google Scholar] [CrossRef]
- Kirkpatrick, D.E.; Steen, R.W.J.; Unsworth, E.F. The effect of differing forage: Concentrate ratio and restricting feed intake on the energy and nitrogen utilization by beef cattle. Livest. Prod. Sci. 1997, 51, 151–164. [Google Scholar] [CrossRef]
- Estermann, B.L.; Sutter, F.; Schlegel, P.O.; Erdin, D.; Wettstein, H.R.; Kreuzer, M. Effect of calf age and dam breed on intake, energy expenditure, and excretion of nitrogen, phosphorus, and methane of beef cows with cattle. J. Anim. Sci. 2002, 80, 1124–1134. [Google Scholar] [CrossRef]
- Ferrell, C.L.; Jenkins, T.G. Body composition and energy utilization by steers of diverse genotypes fed a high-concentrate diet during the finishing period: I.; Angus, Belgian Blue, Hereford, and Piedmontese sires. J. Anim. Sci. 1998, 76, 637. [Google Scholar] [CrossRef]
- Koenig, K.M.; Beauchemin, K.A. Effect of feeding condensed tannins in high protein finishing diets containing corn distillers grains on ruminal fermentation, nutrient digestibility, and route of nitrogen excretion in beef cattle. J. Anim. Sci. 2018, 96, 4398–4413. [Google Scholar] [CrossRef]
- Ipharraguerre, I.R.; Clark, J.H. Varying protein and starch in the diet of dairy cows. II. Effects on performance and nitrogen utilization for milk production. J. Dairy Sci. 2005, 88, 2556–2570. [Google Scholar] [CrossRef]
- Dong, R.L.; Zhao, G.Y.; Chai, L.L.; Beauchemin, K.A. Prediction of urinary and fecal nitrogen excretion by beef cattle. J. Anim. Sci. 2014, 92, 4669–4681. [Google Scholar] [CrossRef]
- Abdoun, K.; Stumpff, F.; Martens, H. Ammonia and urea transport across the rumen epithelium: A review. Anim. Health Res. Rev. 2006, 7, 43–59. [Google Scholar] [CrossRef] [PubMed]




| Item † | Alfalfa Hay | Oat Hay | Common Vetch Hay | Soybean Meal | Wheat Bran | Maize |
|---|---|---|---|---|---|---|
| OM, g/kg DM | 905 | 942 | 918 | 935 | 931 | 983 |
| CP, g/kg DM | 168 | 60 | 177 | 465 | 182 | 83 |
| NDF, g/kg DM | 458 | 559 | 413 | 166 | 454 | 100 |
| ADF, g/kg DM | 347 | 407 | 302 | 102 | 186 | 20 |
| Ether extract, g/kg DM | 22 | 18 | 23 | 26 | 55 | 44 |
| GE, MJ/kg DM | 17.9 | 16.8 | 17.7 | 19.6 | 19.4 | 18.5 |
| MEC §, MJ/kg DM | 8.7 | 9.0 | 9.5 | 13.0 | 10.9 | 13.4 |
| MPC ¶, g/kg DM | 62 | 68 | 71 | 87 | 73 | 90 |
| Feed Formula | Experimental Diet † | |||
|---|---|---|---|---|
| CVH20 | CVH40 | AH20 | AH40 | |
| Forage | ||||
| Leguminous forage (g/kg DM) | 200 | 400 | 200 | 400 |
| Oat hay (g/kg DM) | 400 | 200 | 400 | 200 |
| Concentrate | ||||
| Maize (g/kg DM) | 30 | 80 | 48 | 120 |
| Soybean meal (g/kg DM) | 92 | 25 | 107 | 56 |
| Wheat bran (g/kg DM) | 278 | 295 | 245 | 224 |
| Nutrient value ‡ | ||||
| CP (g/kg DM) | 156.3 | 156.4 | 156.4 | 156.4 |
| MEC § (MJ/kg DM) | 10.05 | 10.05 | 10.05 | 10.05 |
| MPC ¶ (g/kg DM) | 102.9 | 94.6 | 106.1 | 101.4 |
| Item † | LS ‡ | LP ‡ | LS × LP ‡ |
|---|---|---|---|
| Dry matter intake (DMI) | |||
| Forage DMI (g/kg BW0.75/day) | 5.783 * | 0.932 | 0.498 |
| Concentrate DMI (g/kg BW0.75/day) | 1.108 | 1.189 | 0.001 |
| Total DMI (g/kg BW0.75/day) | 5.207 * | 0.109 | 0.598 |
| Digestibility | |||
| DM digestibility (%) | 0.215 | 5.671 * | 1.303 |
| OM digestibility (%) | 0.306 | 6.744 * | 1.582 |
| NDF digestibility (%) | 1.177 | 18.476 *** | 0.001 |
| Apparent N digestibility (%) | 5.515 * | 5.949 * | 0.265 |
| Growth performance | |||
| BWG (kg/day) | 0.205 | 0.403 | 1.389 |
| FCR (kg BWG/kg DMI) | 0.077 | 2.515 | 5.796 * |
| CH4 emissions | |||
| CH4 emissions (g/kg BW0.75/24 h) | 5.907 * | 7.056 * | 0.815 |
| CH4 emissions (g/kg DMI/24 h) | 1.698 | 5.604 * | 0.000 |
| Item † | LS ‡ | LP ‡ | LS × LP ‡ |
|---|---|---|---|
| Energy balance | |||
| GE intake (MJ/kg BW0.75/day) | 1.302 | 2.783 | 0.126 |
| ME intake (MJ/kg BW0.75/day) | 6.749 * | 1.132 | 0.127 |
| FE output (MJ/kg BW0.75/day) | 0.042 | 13.739 ** | 1.054 |
| UE output (MJ/kg BW0.75/day) | 4.675 | 1.584 | 1.992 |
| CH4-E (MJ/kg BW0.75/day) | 1.604 | 2.225 | 0.684 |
| HP (MJ/kg BW0.75/day) | 6.208 ** | 1.198 | 0.170 |
| RE (MJ/kg BW0.75/day) | 0.012 | 4.758 | 0.469 |
| Energy utilization efficiency | |||
| Ratio of ME intake to GE intake (MJ/MJ) | 0.436 | 1.589 | 0.224 |
| Ratio of FE output to GE intake (MJ/MJ) | 0.392 | 8.630 * | 0.504 |
| Ratio of UE output to GE intake (MJ/MJ) | 4.647 | 2.254 | 1.025 |
| Ratio of HP to GE intake (MJ/MJ) | 2.189 | 0.148 | 0.171 |
| Ratio of CH4-E to GE intake (MJ/MJ) | 2.332 | 3.644 | 0.066 |
| Ratio of RE to GE intake (MJ/MJ) | 0.051 | 2.993 | 0.178 |
| Nitrogen balance | |||
| N intake (g/kg BW0.75/day) | 2.956 | 1.317 | 0.168 |
| FN output (g/kg BW0.75/day) | 8.792 * | 21.653 *** | 0.207 |
| UN output (g/kg BW0.75/day) | 9.602 ** | 0.046 | 0.176 |
| RN (g/kg BW0.75/day) | 21.681 *** | 3.876 | 3.038 |
| N metabolism | |||
| Ruminal ammonia N (mmol/L) | 2.044 | 12.989 ** | 1.685 |
| Blood urea N (mmol/L) | 14.243 ** | 6.884 * | 0.970 |
| Urinary ammonia N (mmol/L) | 0.241 | 1.420 | 0.140 |
| Nitrogen utilization efficiency | |||
| Ratio of FN output to N intake (g/g) | 3.464 | 12.862 ** | 0.459 |
| Ratio of UN output to N intake (g/g) | 16.116 ** | 0.311 | 0.398 |
| Ratio of RN to N intake (g/g) | 5.992 * | 4.759 | 1.252 |
| Item | Experimental Diet † | Variance Analysis ‡ | |||||
|---|---|---|---|---|---|---|---|
| CVH20 | CVH40 | AH20 | AH40 | LS | LP | LS × LS | |
| Total VFA, mmol/L | 75.4 ± 6.73 | 72.5 ± 7.22 | 77.8 ± 3.32 | 75.7 ± 9.98 | 0.536 | 0.423 | 0.011 |
| pH | 6.07 ± 0.16 | 6.12 ± 0.25 | 6.05 ± 0.08 | 6.01 ± 0.06 | 0.686 | 0.009 | 0.293 |
| Molar proportions (mol/100 mol) | |||||||
| Acetate | 72.3 ± 1.24 | 70.8 ± 0.56 | 73.8 ± 0.64 | 72.7 ± 1.13 | 11.967 ** | 6.503 * | 0.122 |
| Propionate | 14.4 ± 0.24 | 15.7 ± 1.08 | 13.9 ± 0.76 | 15.2 ± 0.75 | 1.382 | 10.576 ** | 0.007 |
| Butyrate | 10.2 ± 1.11 | 10.2 ± 1.44 | 9.2 ± 0.72 | 8.9 ± 0.46 | 4.747 | 0.072 | 0.042 |
| Iso-butyrate | 1.1 ± 0.06 | 1.2 ± 0.19 | 1.1 ± 0.20 | 1.1 ± 0.15 | 0.173 | 0.640 | 0.539 |
| Valerate | 0.7 ± 0.12 | 0.6 ± 0.08 | 0.6 ± 0.18 | 0.6 ± 0.05 | 1.444 | 1.950 | 0.544 |
| Iso-valerate | 1.23 ± 0.09 | 1.44 ± 0.24 | 1.32 ± 0.23 | 1.37 ± 0.18 | 0.003 | 1.780 | 0.679 |
| Acetate/propionate ratio | 5.01 ± 0.11 | 4.53 ± 0.30 | 5.32 ± 0.30 | 4.78 ± 0.31 | 3.987 | 11.522 ** | 0.036 |
© 2019 by the authors. Licensee MDPI, Basel, Switzerland. This article is an open access article distributed under the terms and conditions of the Creative Commons Attribution (CC BY) license (http://creativecommons.org/licenses/by/4.0/).
Share and Cite
Du, W.; Hou, F.; Tsunekawa, A.; Kobayashi, N.; Ichinohe, T.; Peng, F. Effects of the Diet Inclusion of Common Vetch Hay Versus Alfalfa Hay on the Body Weight Gain, Nitrogen Utilization Efficiency, Energy Balance, and Enteric Methane Emissions of Crossbred Simmental Cattle. Animals 2019, 9, 983. https://doi.org/10.3390/ani9110983
Du W, Hou F, Tsunekawa A, Kobayashi N, Ichinohe T, Peng F. Effects of the Diet Inclusion of Common Vetch Hay Versus Alfalfa Hay on the Body Weight Gain, Nitrogen Utilization Efficiency, Energy Balance, and Enteric Methane Emissions of Crossbred Simmental Cattle. Animals. 2019; 9(11):983. https://doi.org/10.3390/ani9110983
Chicago/Turabian StyleDu, Wuchen, Fujiang Hou, Atsushi Tsunekawa, Nobuyuki Kobayashi, Toshiyoshi Ichinohe, and Fei Peng. 2019. "Effects of the Diet Inclusion of Common Vetch Hay Versus Alfalfa Hay on the Body Weight Gain, Nitrogen Utilization Efficiency, Energy Balance, and Enteric Methane Emissions of Crossbred Simmental Cattle" Animals 9, no. 11: 983. https://doi.org/10.3390/ani9110983
APA StyleDu, W., Hou, F., Tsunekawa, A., Kobayashi, N., Ichinohe, T., & Peng, F. (2019). Effects of the Diet Inclusion of Common Vetch Hay Versus Alfalfa Hay on the Body Weight Gain, Nitrogen Utilization Efficiency, Energy Balance, and Enteric Methane Emissions of Crossbred Simmental Cattle. Animals, 9(11), 983. https://doi.org/10.3390/ani9110983

